Thermomechanical Treatment of Martensitic Stainless Steels Sheets and Its Effects on Their Deep Drawability and Resulting Hardness in Press Hardening
Abstract
1. Introduction
2. Materials and Methods
2.1. Selected Martensitic Stainless Steel Alloys
2.2. Definition of the Thermomechanical Process Parameters of Relevance
2.3. Metallurgical Analysis Based on Calculations by JMatPro® Software
2.4. Experimental Deep Drawing Test
2.5. Deep Drawing Simulation with Finite Elemente Software Simufact Forming®
3. Results
3.1. Metallurgical Analysis
3.2. Hot Deep Drawability of the MSS
3.2.1. Influence of the Flange Gap and Initial Forming Temperature on Maximum Drawing Depth
3.2.2. Influence of the Austenization Temperature and Initial Forming Temperature on Maximum Drawing Depth
3.2.3. Influence of the Drawing Ratio on Maximum Drawing Depth
3.2.4. Hardness Profile of the Deep Drawn Cups
3.3. FE Simulation of the Deep Drawing Process
3.3.1. Validation of the Cooling Rates Numerically Simulated with the Experimental
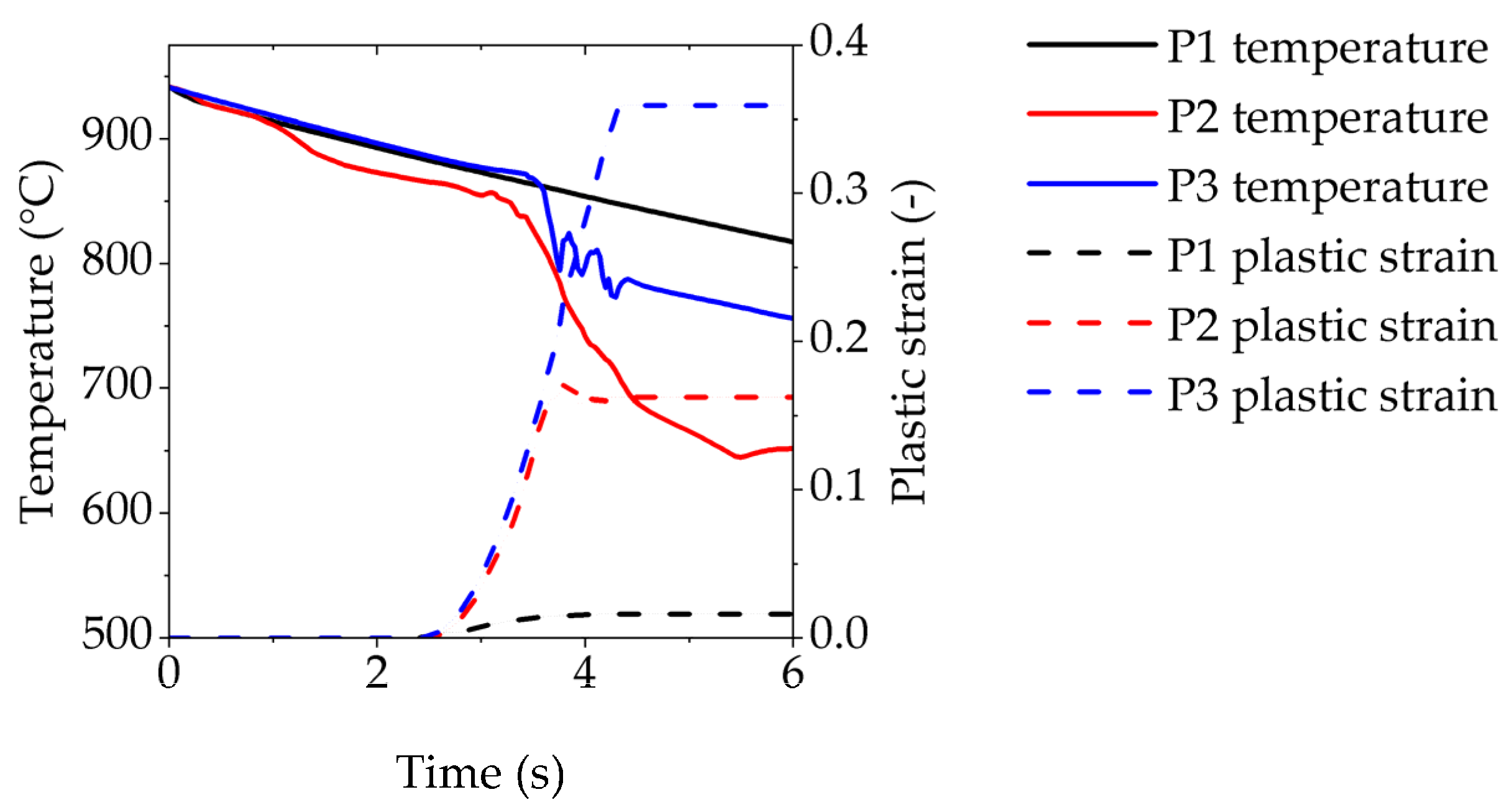
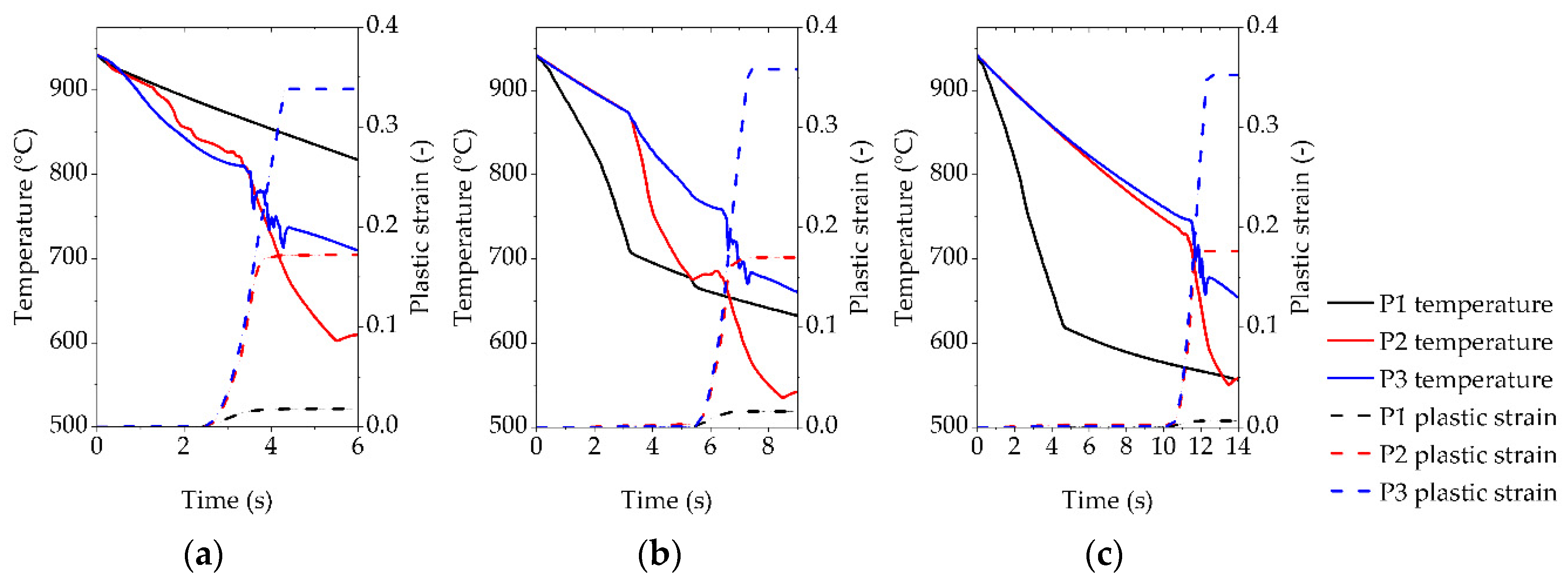
3.3.2. Contours Levels of the Plastic Strain
3.3.3. Interaction between Plastic Strain and Cooling Rate
3.3.4. Effect of the Time Interval during Blank Transfer on the Initial Forming Temperature
4. Discussion
4.1. Phase Transformation Temperatures
4.2. Influence of the Process Parameters on the Hot Deep Drawability
4.2.1. Influence of the Flange Gap and Initial Forming Temperature on Maximum Drawing Depth
4.2.2. Influence of the Austenization Temperature and Forming Temperature on Maximum Drawing Depth
4.2.3. Influence of the Drawing Ratio on Maximum Drawing Depth
4.2.4. Hardness Profile of the Deep Drawn Cups
4.3. Plastic Strain and Workpiece Temperature Sensitivity
5. Conclusions
Author Contributions
Funding
Acknowledgments
Conflicts of Interest
References
- McGuire, M. Chapter 9 Martensitic stainless steels. In Stainless Steels for Design Engineers, 1st ed.; ASM International: Materials Park, OH, USA, 2008; pp. 133–135. [Google Scholar]
- Gümpel, P. Rostfreie Stähle—Grundwissen, Konstruktion und Verarbeitungshinweise, Bd. 493; expert Verlag: Renningen-Malmsheim, Germany, 1996. [Google Scholar]
- Karbasian, H.; Tekkaya, A.E. A review on hot stamping. J. Mater. Process. Technol. 2010, 210, 2103–2118. [Google Scholar] [CrossRef]
- Meza-García, E.; Rautenstrauch, A.; Kräusel, V.; Landgrebe, D. Tailoring of mechanical properties of a side sill part made of martensitic stainless steel by press hardening. In AIP Conference Proceedings, Proceedings of the 19th International ESAFORM Conference on Material Forming, Nantes, France, 27 April 2016; Chinesta, F., Cueto, E., Abisset-Chavanne, E., Eds.; AIP Publishing: Melville, NY, USA, 2016; Volume 1769, pp. 1300015-1–1300015-5. [Google Scholar] [CrossRef]
- Meza-García, E.; Rautenstrauch, A.; Kräusel, V.; Landgrebe, D. Press hardening of a martensitic stainless steel sheet alloy for manufacturing a side sill demonstrator with tailored properties. In Proceedings of the 5th International Conference on Hot Sheet Metal Forming of High Performance Steel CHS2, Toronto, ON, Canada, 31 May–3 June 2015; Steinhoff, K., Oldenburg, M., Prakash, B., Eds.; Publisher: Auerbach, Germany, 2015; pp. 765–773. [Google Scholar]
- Mehner, T.; Landgraf, P.; Haack, E.; Scharf, I.; Grund, T.; Lampke, T. Pitting corrosion behavior of a laser hardened, high-alloyed steel. In IOP Conference Series: Materials Science and Engineering, Proceedings of the 21st Chemnitz Seminar on Materials Engineering, Chemnitz, Germany, 6–7 March 2019; IOP Publishing: Bristol, UK, 2019; Volume 480, p. 012018. [Google Scholar]
- Momeni, A.; Dehghani, K. Characterization of hot deformation behavior of 410 martensitic stainless steel using constitutive equations and processing maps. Mater. Sci. Eng. A 2010, 527, 5467–5473. [Google Scholar] [CrossRef]
- Chen, F.; Ren, F.; Chen, J.; Cui, Z.; Ou, H. Microstructural modeling and numerical simulation of multi-physical fields for martensitic stainless steel during hot forging process of turbine blade. Int. J. Adv. Manuf. Technol. 2016, 82, 85–98. [Google Scholar] [CrossRef]
- Garcia, C.; Alvarez, L.F. Optimization of the properties obtained by quenching in martensitic stainless steels X30-40Cr13 and X40-60CrMoV14. J. Mater. Sci. 1993, 28, 1264–1268. [Google Scholar] [CrossRef]
- Alvarez, L.F.; Garcia, C.; Lopez, V. Continuous cooling transformation in martensitic stainless steel. ISIJ Int. 1994, 34, 516–521. [Google Scholar] [CrossRef]
- Saunders, N.; Guo, Z.; Li, X.; Miodownik, A.P.; Schillé, J.-P. Using JMatPro to model materials properties and behavior. JOM 2003, 55, 60–65. [Google Scholar] [CrossRef]
- Landgrebe, D.; Rautenstrauch, A.; Kunke, A.; Polster, S.; Kriechenbauer, S.; Mauermann, R. The effect of cushion-ram pulsation on hot stamping. In AIP Conference Proceedings, Proceedings of the 19th International ESAFORM Conference on Material Forming, Nantes, France, 27 April 2016; Chinesta, F., Cueto, E., Abisset-Chavanne, E., Eds.; AIP Publishing: Melville, NY, USA, 2016; Volume 1769, pp. 070014-1–070014-6. [Google Scholar] [CrossRef]
- Kusumi, K.; Nomura, N.; Yamamoto, S.; Nakata, M.; Abe, M.; Suehiro, M. Improvement of cylindrical deep drawability in hot stamping. Procedia Eng. 2014, 81, 1719–1724. [Google Scholar] [CrossRef][Green Version]
- Langrebe, D.; Kräusel, V.; Rautenstrauch, A.; Meza-García, E. Erweitertes Anwendungspotenzial von martensitischen nichtrostenden Stählen sowie von aushärtbaren Aluminiumlegierungen durch den thermomechanischen Blechumformprozess. In Proceedings of the “23. Sächsische Fachtagung Umformtechnik”, Dresden, Germany, 7–8 December 2016; pp. 52–61. [Google Scholar]

















| Alloy | C | Cr | Si | Mo | Mn | P | S | Ni | Cu | 
|---|---|---|---|---|---|---|---|---|---|
| X12Cr13 | 0.11 | 11.54 | 0.50 | 0.06 | 0.38 | 0.021 | <0.001 | 0.33 | 0.18 | 
| X30Cr13 | 0.35 | 13.47 | 0.47 | 0.94 | 0.42 | 0.021 | 0.001 | 0.38 | 0.06 | 
| X46Cr13 | 0.48 | 13.62 | 0.47 | 0.01 | 0.63 | 0.026 | <0.001 | 0.17 | 0.22 | 
| Alloy | Condition | Yield Strength (MPa) | Ultimate Tensile Strength (MPa) | Fracture Elongation A50mm (%) | 
|---|---|---|---|---|
| X12Cr13 | Normalized | 518 | 651 | 17 | 
| X30Cr13 | Normalized | 361 | 611 | 26 | 
| X46Cr13 | Normalized | 371 | 633 | 26 | 
| Austenization Temperature (Tγ)/°C | Austenization Time (tdwell)/s | Initial Forming Temperature /(°C) | Strain Rate/(s−1) | Tool Temperature/(°C) | Holding Time with Closed Tools/(s) | 
|---|---|---|---|---|---|
| 950–1150 | 180–600 | 700–900 | 0.1–0.5 | 20 | 0, not varied for this research | 
| Austenization Temperature (Tγ) (°C) | Austenization Time (tdwell) (s) | Initial Forming Temperature (°C) | Blank Diameter (mm) | Flange Gap (mm) | Ram Speed (mm/s) | 
|---|---|---|---|---|---|
| 1050, 1150 | 120, 300 | 700, 800, 900 | 170, 180, 200 | 0.5, 1.5, 2.5, 3.5 | 20 | 
| Alloy | Maximum Depth Drawability (up to 40 mm) | Quenchability | ||||
|---|---|---|---|---|---|---|
| Tγ (°C)/tdwell (s) | Flange Gap (mm) | Initial Forming Temp. (°C) | Tγ (°C)/ tdwell (s) | Initial Forming Temp. (°C) | Max. HV calc./ Measured | |
| X12Cr13 | 1150/300 | 2.5, 3.5 * | 700 *, 800 *, 900 | 1150/300 | 700–900 | 451/480 | 
| X30Cr13 | 1150/300 | 2.5, 3.5 | 700, 800 *, 900 * | 1150/300 | 800–900 | 578/657 | 
| X46Cr13 | 1150/300 | 2.5, 3.5 | 700, 800 | 1150/300 | 700–800 | 762/760 | 
| Publisher’s Note: MDPI stays neutral with regard to jurisdictional claims in published maps and institutional affiliations. | 
© 2020 by the authors. Licensee MDPI, Basel, Switzerland. This article is an open access article distributed under the terms and conditions of the Creative Commons Attribution (CC BY) license (http://creativecommons.org/licenses/by/4.0/).
Share and Cite
Meza-García, E.; Birnbaum, P.; Landgraf, P.; Grund, T.; Lampke, T.; Kräusel, V. Thermomechanical Treatment of Martensitic Stainless Steels Sheets and Its Effects on Their Deep Drawability and Resulting Hardness in Press Hardening. Metals 2020, 10, 1536. https://doi.org/10.3390/met10111536
Meza-García E, Birnbaum P, Landgraf P, Grund T, Lampke T, Kräusel V. Thermomechanical Treatment of Martensitic Stainless Steels Sheets and Its Effects on Their Deep Drawability and Resulting Hardness in Press Hardening. Metals. 2020; 10(11):1536. https://doi.org/10.3390/met10111536
Chicago/Turabian StyleMeza-García, Enrique, Peter Birnbaum, Pierre Landgraf, Thomas Grund, Thomas Lampke, and Verena Kräusel. 2020. "Thermomechanical Treatment of Martensitic Stainless Steels Sheets and Its Effects on Their Deep Drawability and Resulting Hardness in Press Hardening" Metals 10, no. 11: 1536. https://doi.org/10.3390/met10111536
APA StyleMeza-García, E., Birnbaum, P., Landgraf, P., Grund, T., Lampke, T., & Kräusel, V. (2020). Thermomechanical Treatment of Martensitic Stainless Steels Sheets and Its Effects on Their Deep Drawability and Resulting Hardness in Press Hardening. Metals, 10(11), 1536. https://doi.org/10.3390/met10111536
 
        



 
       