Phenomenological Constitutive Models for Hot Deformation Behavior of Ti6Al4V Alloy Manufactured by Directed Energy Deposition Laser
Abstract
1. Introduction
2. Experimental Methodology
Specimen Preparation
3. Results and Discussion
3.1. Flow Behavior
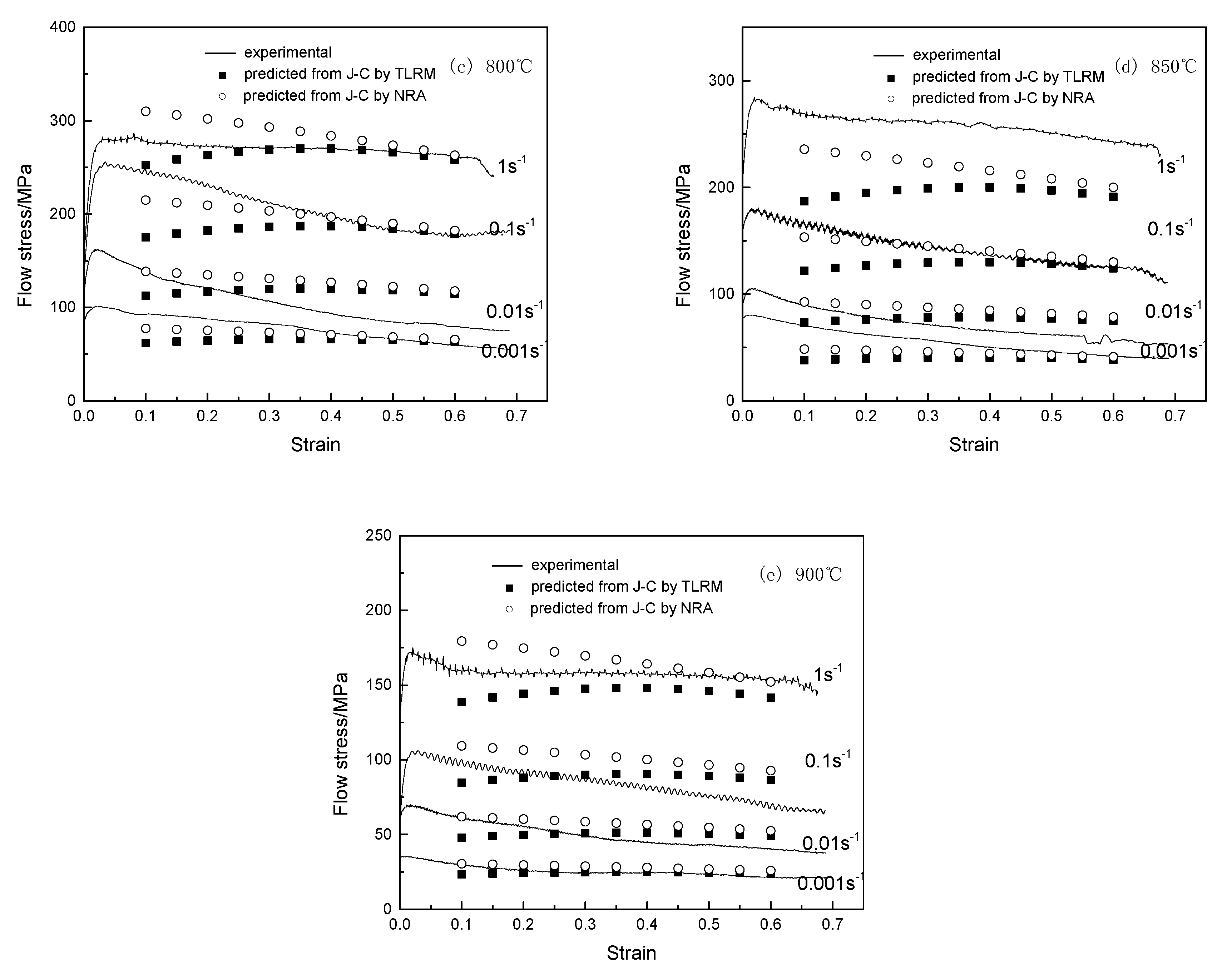
3.2. Modified Johnson–Cook Model
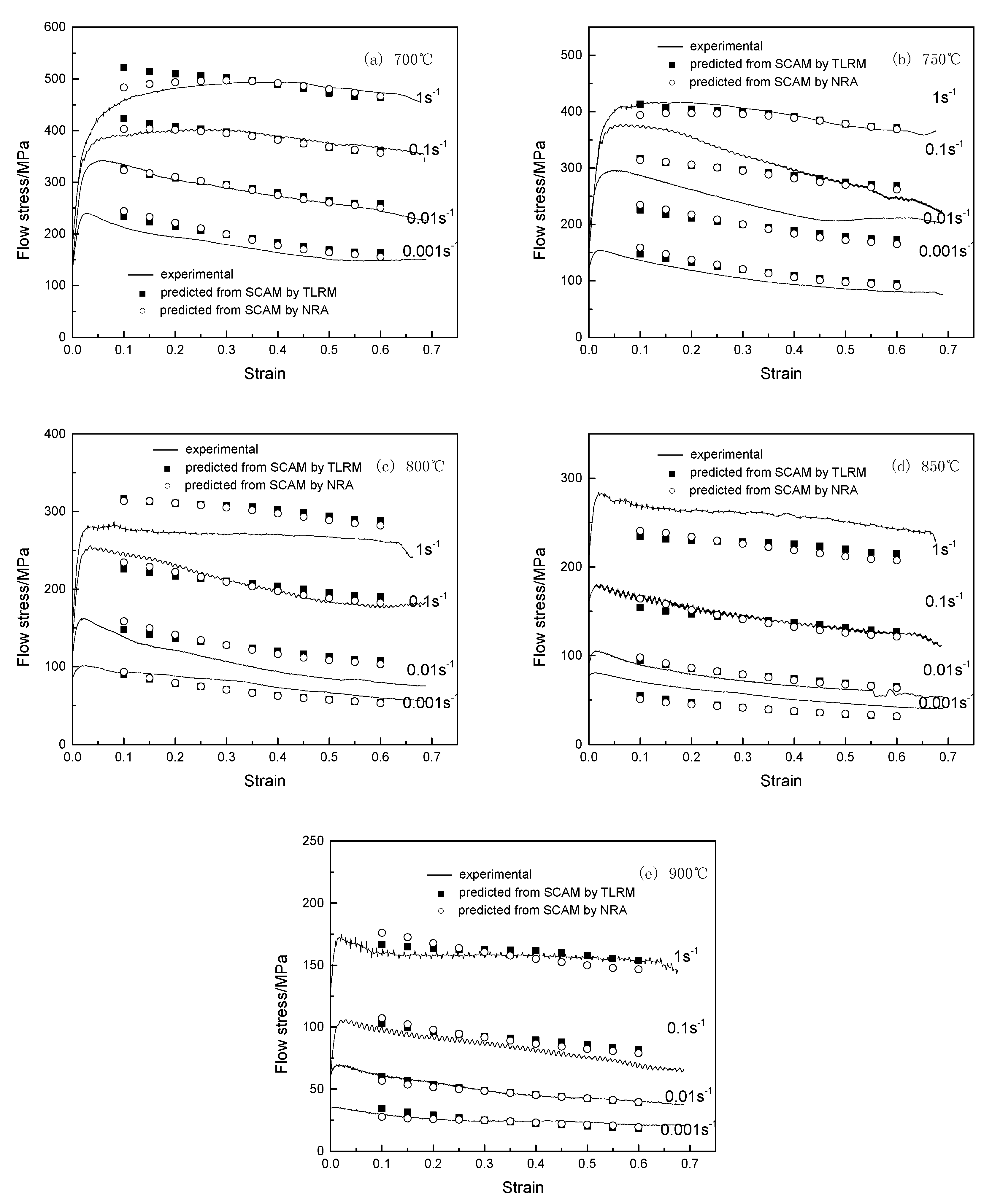
3.3. Strain Compensated Arrhenius Model (SCAM)
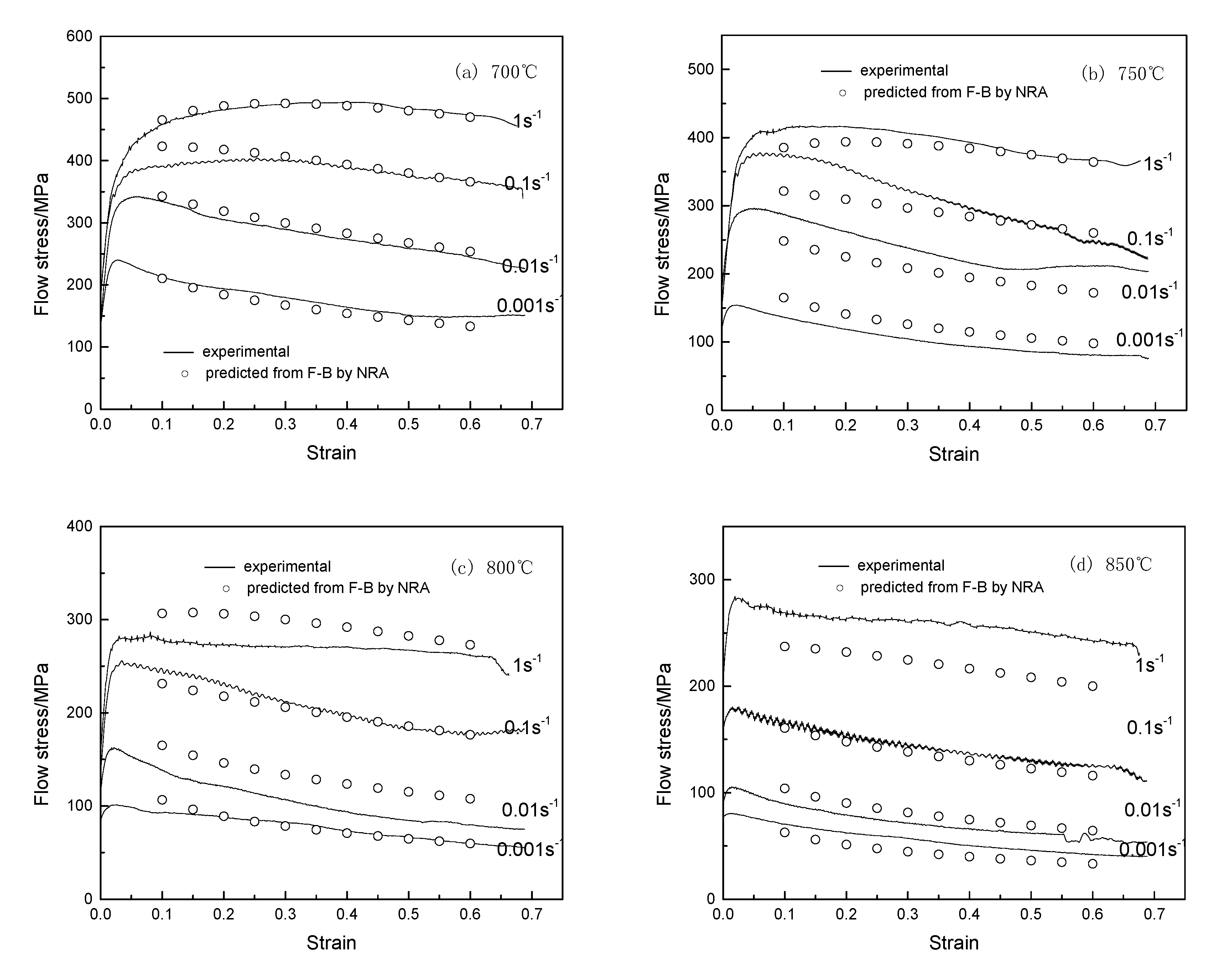
3.4. Modified Fields–Backofen (F-B) Model
3.5. Evaluation of the Phenomenological Models
4. Conclusions
- The deformation activation energy decrease from 435 kJ·mol−1 to 340 kJ·mol−1 with the increasing of strain increasing from 0.1 to 0.6, and this value is lower than that reported for conventional Ti6Al4V alloy.
- The AARE values for modified J-C model by TLRM and NRA were 12.74% and 11.80%, and the corresponding RMSE values were 30.17 MPa and 22.64 MPa, respectively. The AARE values for modified SCAM model by TLRM and NRA were 9.42% and 8.96%, and the corresponding RMSE values were 20.32 MPa and 19.3 MPa, respectively. Compared with the TLRM, the NRA improves the accuracy of J-C model, while it has limited effect on that of SCAM model. Compared with traditional linear fitting, nonlinear fitting is more suitable for parameter identification of constitutive model.
- The AARE values for modified J-C, SCAM, and modified F-B models by NRA were 11.8%, 8.96%, and 9.08%, respectively, and the corresponding RMSE values were 22.64 MPa, 19.3 MPa, and 18.24 MPa. The accuracy of modified F-B and SCAM model is higher than that of modified J-C model. The modified F-B model is most suitable for the flow stress prediction in this study.
Author Contributions
Funding
Acknowledgments
Conflicts of Interest
References
- Liu, S.; Shin, Y.C. Additive manufacturing of Ti6Al4V alloy: A review. Mater. Des. 2019, 164, 107552. [Google Scholar] [CrossRef]
- Bambach, M.; Sizova, I.; Emdadi, A. Development of a processing route for Ti-6Al-4V forgings based on preforms made by selective laser melting. J. Manuf. Process. 2019, 37, 150–158. [Google Scholar] [CrossRef]
- Xie, Y.; Zhang, H.; Zhou, F. Improvement in geometrical accuracy and mechanical property for arc-based additive manufacturing using metamorphic rolling mechanism. J. Manuf. Sci. Eng. 2016, 138, 111002. [Google Scholar] [CrossRef]
- Colegrove, P.A.; Coules, H.E.; Fairman, J.; Martina, F.; Kashoob, T.; Mamash, H.; Cozzolino, L.D. Microstructure and residual stress improvement in wire and arc additively manufactured parts through high-pressure rolling. J. Mater. Process. Technol. 2013, 213, 1782–1791. [Google Scholar] [CrossRef]
- Donoghue, J.; Antonysamy, A.A.; Martina, F.; Colegrove, P.A.; Williams, S.W.; Prangnell, P.B. The effectiveness of combining rolling deformation with Wire–Arc Additive Manufacture on β-grain refinement and texture modification in Ti–6Al–4V. Mater. Charact. 2016, 114, 103–114. [Google Scholar] [CrossRef]
- Zhao, Y.; Sun, J.; Li, J.; Yan, Y.; Wang, P. A comparative study on Johnson-Cook and modified Johnson-Cook constitutive material model to predict the dynamic behavior laser additive manufacturing FeCr alloy. J. Alloy. Compd. 2017, 723, 179–187. [Google Scholar] [CrossRef]
- Bambach, M.; Sizova, I.; Silze, F.; Schnick, M. Hot workability and microstructure evolution of the nickel-based superalloy Inconel 718 produced by laser metal deposition. J. Alloy. Compd. 2018, 740, 278–287. [Google Scholar] [CrossRef]
- Bambach, M.; Sizova, I.; Szyndler, J.; Bennett, J.; Hyatt, G.; Cao, J.; Papke, T.; Merklein, M. On the hot deformation behavior of Ti-6Al-4V made by additive manufacturing. J. Mater. Process. Technol. 2021, 288, 116840. [Google Scholar] [CrossRef]
- Saboori, A.; Abdi, A.; Fatemi, S.A.; Marchese, G.; Biamino, S.; Mirzadeh, H. Hot deformation behavior and flow stress modeling of Ti–6Al–4V alloy produced via electron beam melting additive manufacturing technology in single β-phase field. Mater. Sci. Eng. A 2020, 792, 139822. [Google Scholar] [CrossRef]
- Rahmaan, T.; Abedini, A.; Butcher, C.; Pathak, N.; Worswick, M.J. Investigation into the shear stress, localization and fracture behaviour of DP600 and AA5182-O sheet metal alloys under elevated strain rates. Int. J. Impact Eng. 2017, 108, 303–321. [Google Scholar] [CrossRef]
- Abedini, A.; Noder, J.; Kohar, C.P.; Butcher, C. Accounting for Shear Anisotropy and Material Frame Rotation on the Constitutive Characterization of Automotive Alloys using Simple Shear Tests. Mech. Mater. 2020, 148, 103419. [Google Scholar] [CrossRef]
- Martina, F.; Colegrove, P.A.; Williams, S.W.; Meyer, J. Microstructure of Interpass Rolled Wire + Arc Additive Manufacturing Ti-6Al-4V Components. Metall. Mater. Trans. 2015, 46, 6103–6118. [Google Scholar] [CrossRef]
- Lin, Y.C.; Chen, X.M. A critical review of experimental results and constitutive descriptions for metals and alloys in hot working. Mater. Des. 2011, 32, 1733–1759. [Google Scholar] [CrossRef]
- Johnson, G.; Cook, W.H.C. A constitutive model and data for metals subjected to large strains, high strain rates and high temperatures. In Proceedings of the Seventh International Symposium on Ballistics, Den Haag, The Netherlands, 19–21 April 1983; pp. 541–547. [Google Scholar]
- Sellars, C.; Tegart, W.M. Hot workability. Int. Metall. Rev. 1972, 17, 1–24. [Google Scholar] [CrossRef]
- Fields, D.S.; Backofen, W.A. Determination of strain hardening characteristics by torsion testing. Proc. Am. Soc. Test. Mater 1957, 57, 1259–1272. [Google Scholar]
- Shen, J.; Hu, L.; Sun, Y.; Wan, Z.; Feng, X.; Ning, Y. A Comparative Study on Artificial Neural Network, Phenomenological-Based Constitutive and Modified Fields–Backofen Models to Predict Flow Stress in Ti-4Al-3V-2Mo-2Fe Alloy. J. Mater. Eng. Perform. 2019, 28, 4302–4315. [Google Scholar] [CrossRef]
- Kotkunde, N.; Deole, A.D.; Gupta, A.K.; Singh, S.K. Comparative study of constitutive modeling for Ti–6Al–4V alloy at low strain rates and elevated temperatures. Mater. Des. 2014, 55, 999–1005. [Google Scholar] [CrossRef]
- Ji, S.; Sun, Z.; Zhang, W.; Chen, X.; Xie, G.; Chang, H. Microstructural evolution and high temperature resistance of functionally graded material Ti-6Al-4V/Inconel 718 coated by directed energy deposition-laser. J. Alloy. Compd. 2020, 848, 156255. [Google Scholar] [CrossRef]
- Devadas, C.; Baragar, D.; Ruddle, G.; Samarasekera, I.V.; Hawbolt, E.B. The thermal and metallurgical state of steel strip during hot rolling: Part II. Factors influencing rolling loads. Metall. Mater. Trans. A 1991, 22, 321–333. [Google Scholar] [CrossRef]
- Seshacharyulu, T.; Medeiros, S.C.; Morgan, J.T.; Malas, J.C.; Frazier, W.G.; Prasad, Y.V.R.K. Hot deformation and microstructural damage mechanisms in extra-low interstitial (ELI) grade Ti–6Al–4V. Mater. Sci. Eng. A 2000, 279, 289–299. [Google Scholar] [CrossRef]
- Lin, Y.C.; Chen, X.-M.; Liu, G. A modified Johnson–Cook model for tensile behaviors of typical high-strength alloy steel. Mater. Sci. Eng. A 2010, 527, 6980–6986. [Google Scholar] [CrossRef]
- Cai, J.; Wang, K.; Zhai, P.; Li, F.; Yang, J. A Modified Johnson-Cook Constitutive Equation to Predict Hot Deformation Behavior of Ti-6Al-4V Alloy. J. Mater. Eng. Perform. 2015, 24, 32–44. [Google Scholar] [CrossRef]
- Slooff, F.A.; Zhou, J.; Duszczyk, J.; Katgerman, L. Constitutive analysis of wrought magnesium alloy Mg–Al4–Zn1. Scr. Mater. 2007, 57, 759–762. [Google Scholar] [CrossRef]
- Ji, G.; Li, L.; Qin, F.; Zhu, L.; Li, Q. Comparative study of phenomenological constitutive equations for an as-rolled M50NiL steel during hot deformation. J. Alloy. Compd. 2017, 695, 2389–2399. [Google Scholar] [CrossRef]
- Wang, H.; Zhang, Z.; Zhai, R.; Ma, R.; Zhao, J. New Method to Develop High Temperature Constitutive Model of Metal Based on the Arrhenius-Type Model. Mater. Today Commun. 2020, 24, 101000. [Google Scholar] [CrossRef]
- Li, L.; Li, M. Constitutive model and optimal processing parameters of TC17 alloy with a transformed microstructure via kinetic analysis and processing maps. Mater. Sci. Eng. A 2017, 698, 302–312. [Google Scholar] [CrossRef]
- Luo, J.; Li, M.; Li, H.; Yu, W. Effect of the strain on the deformation behavior of isothermally compressed Ti–6Al–4V alloy. Mater. Ence Eng. A 2008, 505, 88–95. [Google Scholar] [CrossRef]
- Jha, J.S.; Toppo, S.P.; Singh, R.; Tewari, A.; Mishra, S.K. Flow stress constitutive relationship between lamellar and equiaxed microstructure during hot deformation of Ti6Al4V. J. Mater. Process. Technol. 2019, 270, 216–227. [Google Scholar] [CrossRef]
- Cai, J.; Li, F.; Liu, T.; Bo, C.; Min, H. Constitutive equations for elevated temperature flow stress of Ti–6Al–4V alloy considering the effect of strain. Mater. Des. 2011, 32, 1144–1151. [Google Scholar] [CrossRef]
- Zhang, X. Experimental and Numberical Study of Magnesium durging Hot Working Process. Ph.D. Thesis, Shanghai Jiaotong University, Shanghai, China, 2003. [Google Scholar]
- Cheng, Y.Q.; Zhang, H.; Chen, Z.H.; Xian, K.F. Flow stress equation of AZ31 magnesium alloy sheet during warm tensile deformation. J. Mater. Process. Technol. 2008, 208, 29–34. [Google Scholar] [CrossRef]
- Tsao, L.C.; Huang, Y.T.; Fan, K.H. Flow stress behavior of AZ61 magnesium alloy during hot compression deformation. Mater. Des. 2014, 53, 865–869. [Google Scholar] [CrossRef]
- Jia, W.; Xu, S.; Le, Q.; Fu, L.; Ma, L.; Tang, Y. Modified Fields-Backofen model for constitutive behavior of as-cast AZ31B magnesium alloy during hot deformation. Mater. Des. 2016, 106, 120–132. [Google Scholar] [CrossRef]
- Ning, J.; Liang, S.Y. Inverse identification of Johnson-Cook material constants based on modified chip formation model and iterative gradient search using temperature and force measurements. Int. J. Adv. Manuf. Technol. 2019, 102, 2865–2876. [Google Scholar] [CrossRef]
- Ning, J.; Nguyen, V.; Huang, Y.; Hartwig, K.T.; Liang, S.Y. Inverse determination of Johnson–Cook model constants of ultra-fine-grained titanium based on chip formation model and iterative gradient search. Int. J. Adv. Manuf. Technol. 2018, 99, 1131–1140. [Google Scholar] [CrossRef]
- Li, H.Y.; Wang, X.F.; Duan, J.Y.; Liu, J.J. A modified Johnson Cook model for elevated temperature flow behavior of T24 steel. Mater. Ence Eng. A 2013, 577, 138–146. [Google Scholar] [CrossRef]
- Wang, Y.; Zhang, C.; Yang, Y.; Wang, Y.; Chen, L. The identification of improved Johnson-Cook constitutive model in a wide range of temperature and its application in predicting FLCs of Al–Mg–Li sheet. J. Mater. Res. Technol. 2020, 9, 3782–3795. [Google Scholar] [CrossRef]
- Niu, L.; Cao, M.; Liang, Z.; Han, B.; Zhang, Q. A modified Johnson-Cook model considering strain softening of A356 alloy. Mater. Ence Eng. A 2020, 789, 139612. [Google Scholar] [CrossRef]














| Element | Al | V | C | Fe | O | N | H | Ti |
|---|---|---|---|---|---|---|---|---|
| Composition (wt %) | 6.02 | 4 | 0.06 | 0.15 | 0.16 | 0.05 | 0.01 | Bal. |
| Constants | A1 | B1 | B2 | C1 | λ1 | λ2 |
|---|---|---|---|---|---|---|
| TLRM | 433.37 | 319.22 | −427.97 | 0.09276 | −0.00601 | 0.0005502 |
| NRA | 548.83 | −122.17 | −58.068 | 0.09143 | −0.00547 | 0.000561 |
| Parameter | Intercept | F1 | F2 | F3 | F4 | F5 |
|---|---|---|---|---|---|---|
| 0.00483 | 0.01377 | −0.0632 | 0.17456 | −0.22136 | 0.10374 | |
| 455.59 | −514.96 | 1945.3 | −6090.3 | 9009.3 | −4615.3 | |
| 4.4958 | −5.7946 | 13.048 | −33.594 | 56.381 | -35.985 | |
| 46.977 | −64.879 | 274.52 | −872.85 | 1304.2 | −687.92 |
| Parameter | Intercept | F1 | F2 | F3 | F4 | F5 |
|---|---|---|---|---|---|---|
| 0.01114 | −0.01387 | −0.06599 | 0.34121 | −0.54174 | 0.30837 | |
| 504.66 | −1418.2 | 8552.8 | −28,366 | 43,965 | −25,258 | |
| 3.5120 | −12.246 | 109.50 | −374.05 | 563.21 | −316.30 | |
| 48.139 | −143.28 | 961.94 | −3229.2 | 4974.5 | −2844.5 |
| K1 | K2 | K3 | n4 | n5 | n6 | m1 | m2 | b | s |
|---|---|---|---|---|---|---|---|---|---|
| 10,772,259 | 270,817.1 | −8,034,816,343 | −0.61745 | 0.037598 | −1.09516 | 0.00113 | −0.00846 | −0.46746 | 733.0061 |
Publisher’s Note: MDPI stays neutral with regard to jurisdictional claims in published maps and institutional affiliations. |
© 2020 by the authors. Licensee MDPI, Basel, Switzerland. This article is an open access article distributed under the terms and conditions of the Creative Commons Attribution (CC BY) license (http://creativecommons.org/licenses/by/4.0/).
Share and Cite
Niu, Y.; Sun, Z.; Wang, Y.; Niu, J. Phenomenological Constitutive Models for Hot Deformation Behavior of Ti6Al4V Alloy Manufactured by Directed Energy Deposition Laser. Metals 2020, 10, 1496. https://doi.org/10.3390/met10111496
Niu Y, Sun Z, Wang Y, Niu J. Phenomenological Constitutive Models for Hot Deformation Behavior of Ti6Al4V Alloy Manufactured by Directed Energy Deposition Laser. Metals. 2020; 10(11):1496. https://doi.org/10.3390/met10111496
Chicago/Turabian StyleNiu, Yong, Zhonggang Sun, Yaoqi Wang, and Jiawei Niu. 2020. "Phenomenological Constitutive Models for Hot Deformation Behavior of Ti6Al4V Alloy Manufactured by Directed Energy Deposition Laser" Metals 10, no. 11: 1496. https://doi.org/10.3390/met10111496
APA StyleNiu, Y., Sun, Z., Wang, Y., & Niu, J. (2020). Phenomenological Constitutive Models for Hot Deformation Behavior of Ti6Al4V Alloy Manufactured by Directed Energy Deposition Laser. Metals, 10(11), 1496. https://doi.org/10.3390/met10111496
