Impact of Red Spinach Extract Supplementation on Bench Press Performance, Muscle Oxygenation, and Cognitive Function in Resistance-Trained Males
Abstract
1. Introduction
2. Methods
2.1. Participants
2.2. Anthropometrics and Body Composition Assessment
2.3. One Repetition Maximum (1RM) Testing
2.4. Supplementation Protocol
2.5. Experimental Trials
2.5.1. Heart Rate and Blood Pressure
2.5.2. Power Measures
2.5.3. Muscle Oxygen Saturation (SmO2) Assessment and Data Analysis
2.5.4. Stroop Test
2.5.5. Subjective Feelings and Ratings of Perceived Exertion
2.6. Statistical Analysis
3. Results
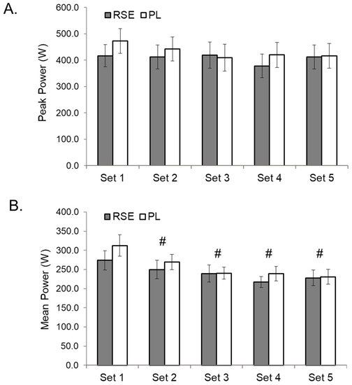
3.1. Performance Measures
3.2. Muscle Oxygenation
3.3. Subjective Measures
3.4. Stroop Test
3.5. Heart Rate and Blood Pressure
4. Discussion
5. Conclusions
Author Contributions
Funding
Institutional Review Board Statement
Informed Consent Statement
Data Availability Statement
Acknowledgments
Conflicts of Interest
References
- Richards, J.C.; Racine, M.L.; Hearon Jr, C.M.; Kunkel, M.; Luckasen, G.J.; Larson, D.G.; Allen, J.D.; Dinenno, F.A. Acute ingestion of dietary nitrate increases muscle blood flow via local vasodilation during handgrip exercise in young adults. Physiol. Rep. 2018, 6, e13572. [Google Scholar] [CrossRef]
- Hernández, A.; Schiffer, T.A.; Ivarsson, N.; Cheng, A.J.; Bruton, J.D.; Lundberg, J.O.; Weitzberg, E.; Westerblad, H. Dietary nitrate increases tetanic [Ca2+] i and contractile force in mouse fast-twitch muscle. J. Physiol. 2012, 590, 3575–3583. [Google Scholar] [CrossRef]
- Larsen, F.J.; Weitzberg, E.; Lundberg, J.O.; Ekblom, B. Dietary nitrate reduces maximal oxygen consumption while maintaining work performance in maximal exercise. Free Radic. Biol. Med. 2010, 48, 342–347. [Google Scholar] [CrossRef]
- Coggan, A.R.; Leibowitz, J.L.; Kadkhodayan, A.; Thomas, D.P.; Ramamurthy, S.; Spearie, C.A.; Waller, S.; Farmer, M.; Peterson, L.R. Effect of acute dietary nitrate intake on maximal knee extensor speed and power in healthy men and women. Nitric Oxide 2015, 48, 16–21. [Google Scholar] [CrossRef]
- Jones, A.M. Dietary nitrate supplementation and exercise performance. Sports Med. 2014, 44, 35–45. [Google Scholar] [CrossRef]
- Lundberg, J.O.; Weitzberg, E.; Gladwin, M.T. The nitrate–nitrite–nitric oxide pathway in physiology and therapeutics. Nat. Rev. Drug Discov. 2008, 7, 156–167. [Google Scholar] [CrossRef]
- Larsen, F.J.; Weitzberg, E.; Lundberg, J.; Ekblom, B. Effects of dietary nitrate on oxygen cost during exercise. Acta Physiol. 2007, 191, 59–66. [Google Scholar] [CrossRef] [PubMed]
- Gonzalez, A.M.; Accetta, M.R.; Spitz, R.W.; Mangine, G.T.; Ghigiarelli, J.J.; Sell, K.M. Red Spinach Extract Supplementation Improves Cycle Time Trial Performance in Recreationally Active Men and Women. J. Strength Cond. Res. 2019. [Google Scholar] [CrossRef] [PubMed]
- Thompson, C.; Vanhatalo, A.; Jell, H.; Fulford, J.; Carter, J.; Nyman, L.; Bailey, S.J.; Jones, A.M. Dietary nitrate supplementation improves sprint and high-intensity intermittent running performance. Nitric Oxide 2016, 61, 55–61. [Google Scholar] [CrossRef] [PubMed]
- Reynolds, C.M.; Evans, M.; Halpenny, C.; Hughes, C.; Jordan, S.; Quinn, A.; Hone, M.; Egan, B.J. Acute ingestion of beetroot juice does not improve short-duration repeated sprint running performance in male team sport athletes. J. Sports Sci. 2020, 38, 2063–2070. [Google Scholar] [CrossRef] [PubMed]
- Smith, K.; Muggeridge, D.J.; Easton, C.; Ross, M.D. An acute dose of inorganic dietary nitrate does not improve high-intensity, intermittent exercise performance in temperate or hot and humid conditions. Eur. J. Appl. Physiol. Occup. Physiol. 2019, 119, 723–733. [Google Scholar] [CrossRef]
- López-Samanes, Á.; Gómez Parra, A.; Moreno-Pérez, V.; Courel-Ibáñez, J.J.N. Does acute beetroot juice supplementation improve neuromuscular performance and match activity in young basketball players? A randomized, placebo-controlled study. Nutrients 2020, 12, 188. [Google Scholar] [CrossRef]
- Presley, T.D.; Morgan, A.R.; Bechtold, E.; Clodfelter, W.; Dove, R.W.; Jennings, J.M.; Kraft, R.A.; King, S.B.; Laurienti, P.J.; Rejeski, W.J. Acute effect of a high nitrate diet on brain perfusion in older adults. Nitric Oxide 2011, 24, 34–42. [Google Scholar] [CrossRef]
- Thompson, C.; Wylie, L.; Fulford, J.; Kelly, J.; Black, M.; McDonagh, S.; Jeukendrup, A.; Vanhatalo, A.; Jones, A. Dietary nitrate improves sprint performance and cognitive function during prolonged intermittent exercise. Eur. J. Appl. Physiol. 2015, 115, 1825. [Google Scholar] [CrossRef] [PubMed]
- Wightman, E.L.; Haskell-Ramsay, C.F.; Thompson, K.G.; Blackwell, J.R.; Winyard, P.G.; Forster, J.; Jones, A.M.; Kennedy, D.O. Dietary nitrate modulates cerebral blood flow parameters and cognitive performance in humans: A double-blind, placebo-controlled, crossover investigation. Physiol. Behav. 2015, 149, 149–158. [Google Scholar] [CrossRef] [PubMed]
- Flanagan, S.D.; Looney, D.P.; Miller, M.J.; DuPont, W.H.; Pryor, L.; Creighton, B.C.; Sterczala, A.J.; Szivak, T.K.; Hooper, D.R.; Maresh, C.M. The effects of nitrate-rich supplementation on neuromuscular efficiency during heavy resistance exercise. J. Am. Coll. Nutr. 2016, 35, 100–107. [Google Scholar] [CrossRef] [PubMed]
- Bailey, S.J.; Winyard, P.; Vanhatalo, A.; Blackwell, J.R.; DiMenna, F.J.; Wilkerson, D.P.; Tarr, J.; Benjamin, N.; Jones, A.M. Dietary nitrate supplementation reduces the O2 cost of low-intensity exercise and enhances tolerance to high-intensity exercise in humans. J. Appl. Physiol. 2009, 107, 1144–1155. [Google Scholar] [CrossRef] [PubMed]
- Nyakayiru, J.; Jonvik, K.L.; Trommelen, J.; Pinckaers, P.J.M.; Senden, J.M.; van Loon, L.J.C.; Verdijk, L.B. Beetroot Juice Supplementation Improves High-Intensity Intermittent Type Exercise Performance in Trained Soccer Players. Nutrients 2017, 9, 314. [Google Scholar] [CrossRef] [PubMed]
- Ferguson, S.K.; Hirai, D.M.; Copp, S.W.; Holdsworth, C.T.; Allen, J.D.; Jones, A.M.; Musch, T.I.; Poole, D.C. Impact of dietary nitrate supplementation via beetroot juice on exercising muscle vascular control in rats. J. Physiol. 2013, 591, 547–557. [Google Scholar] [CrossRef]
- McMahon, S.; Jenkins, D.J.S.M. Factors affecting the rate of phosphocreatine resynthesis following intense exercise. Sports Med. 2002, 32, 761–784. [Google Scholar] [CrossRef] [PubMed]
- Mosher, S.L.; Sparks, S.A.; Williams, E.L.; Bentley, D.J.; Mc Naughton, L.R. Ingestion of a Nitric Oxide Enhancing Supplement Improves Resistance Exercise Performance. J. Strength Cond. Res. 2016, 30, 3520–3524. [Google Scholar] [CrossRef] [PubMed]
- Williams, T.D.; Martin, M.P.; Mintz, J.A.; Rogers, R.R.; Ballmann, C.G. Effect of Acute Beetroot Juice Supplementation on Bench Press Power, Velocity, and Repetition Volume. J. Strength Cond. Res. 2020, 34, 924–928. [Google Scholar] [CrossRef]
- Ranchal-Sanchez, A.; Diaz-Bernier, V.M.; La Florida-Villagran, D.; Alonso, C.; Llorente-Cantarero, F.J.; Campos-Perez, J.; Jurado-Castro, J.M. Acute Effects of Beetroot Juice Supplements on Resistance Training: A Randomized Double-Blind Crossover. Nutrients 2020, 12, 1912. [Google Scholar] [CrossRef]
- Bender, D.; Townsend, J.R.; Vantrease, W.C.; Marshall, A.C.; Henry, R.N.; Heffington, S.H.; Johnson, K.D. Acute beetroot juice administration improves peak isometric force production in adolescent males. Appl. Physiol. Nutr. Metab. 2018, 43, 816–821. [Google Scholar] [CrossRef]
- Trexler, E.T.; Keith, D.S.; Lucero, A.A.; Stoner, L.; Schwartz, T.A.; Persky, A.M.; Ryan, E.D.; Smith-Ryan, A.E. Effects of Citrulline Malate and Beetroot Juice Supplementation on Energy Metabolism and Blood Flow During Submaximal Resistance Exercise. J. Diet. Suppl. 2019, 1–20. [Google Scholar] [CrossRef]
- Subramanian, D.; Gupta, S. Pharmacokinetic study of amaranth extract in healthy humans: A randomized trial. Nutrition 2016, 32, 748–753. [Google Scholar] [CrossRef]
- Haun, C.T.; Kephart, W.C.; Holland, A.M.; Mobley, C.B.; McCloskey, A.E.; Shake, J.J.; Pascoe, D.D.; Roberts, M.D.; Martin, J.S. Differential vascular reactivity responses acutely following ingestion of a nitrate rich red spinach extract. Eur. J. Appl. Physiol. 2016, 116, 2267–2279. [Google Scholar] [CrossRef]
- Moore, A.N.; Haun, C.T.; Kephart, W.C.; Holland, A.M.; Mobley, C.B.; Pascoe, D.D.; Roberts, M.D.; Martin, J.S. Red Spinach Extract Increases Ventilatory Threshold during Graded Exercise Testing. Sports 2017, 5, 80. [Google Scholar] [CrossRef]
- Flueck, J.L.; Bogdanova, A.; Mettler, S.; Perret, C. Is beetroot juice more effective than sodium nitrate? The effects of equimolar nitrate dosages of nitrate-rich beetroot juice and sodium nitrate on oxygen consumption during exercise. Appl. Physiol. Nutr. Metab. 2016, 41, 421–429. [Google Scholar] [CrossRef]
- Beck, T.W. The importance of a priori sample size estimation in strength and conditioning research. J. Strength Cond. Res. 2013, 27, 2323–2337. [Google Scholar] [CrossRef]
- Govoni, M.; Jansson, E.Å.; Weitzberg, E.; Lundberg, J.O. The increase in plasma nitrite after a dietary nitrate load is markedly attenuated by an antibacterial mouthwash. Nitric Oxide 2008, 19, 333–337. [Google Scholar] [CrossRef] [PubMed]
- Orange, S.T.; Metcalfe, J.W.; Marshall, P.; Vince, R.V.; Madden, L.A.; Liefeith, A. Test-Retest Reliability of a Commercial Linear Position Transducer (GymAware PowerTool) to Measure Velocity and Power in the Back Squat and Bench Press. J. Strength Cond. Res. 2020, 728. [Google Scholar] [CrossRef]
- Trepanowski, J.F.; Farney, T.M.; Mccarthy, C.G.; Schilling, B.K.; Craig, S.A.; Bloomer, R.J.; Research, C. The effects of chronic betaine supplementation on exercise performance, skeletal muscle oxygen saturation and associated biochemical parameters in resistance trained men. J. Strength Cond. Res. 2011, 25, 3461–3471. [Google Scholar] [CrossRef] [PubMed]
- Lusina, S.-J.C.; Warburton, D.E.; Hatfield, N.G.; Sheel, A.W.J.A.P. Muscle deoxygenation of upper-limb muscles during progressive arm-cranking exercise. Appl. Physiol. Nutr. Metab. 2008, 33, 231–238. [Google Scholar] [CrossRef]
- Gómez-Carmona, C.D.; Bastida-Castillo, A.; Rojas-Valverde, D.; de la Cruz Sánchez, E.; García-Rubio, J.; Ibáñez, S.J.; Pino-Ortega, J. Lower-limb dynamics of muscle oxygen saturation during the back-squat exercise: Effects of training load and effort level. J. Strength Cond. Res. 2020, 34, 1227–1236. [Google Scholar] [CrossRef] [PubMed]
- Alvares, T.S.; Oliveira, G.V.d.; Soares, R.; Murias, J.M. Near-infrared spectroscopy-derived total haemoglobin as an indicator of changes in muscle blood flow during exercise-induced hyperaemia. J. Sports Sci. 2020, 38, 751–758. [Google Scholar] [CrossRef]
- Audenaert, K.; Lahorte, P.; Brans, B.; Van Laere, K.; Goethals, I.; van Heeringen, K.; Dierckx, R. The classical stroop interference task as a prefrontal activation probe: A validation study using 99Tcm-ECD brain SPECT. Nucl. Med. Commun. 2001, 22, 135–143. [Google Scholar] [CrossRef]
- Lee, K.A.; Hicks, G.; Nino-Murcia, G. Validity and reliability of a scale to assess fatigue. Psychiatry Res. 1991, 36, 291–298. [Google Scholar] [CrossRef]
- Robertson, R.J.; Goss, F.L.; Rutkowski, J.; Lenz, B.; Dixon, C.; Timmer, J.; Frazee, K.; Dube, J.; Andreacci, J. Concurrent Validation of the OMNI Perceived Exertion Scale for Resistance Exercise. Med. Sci. Sports Exerc. 2003, 35, 333–341. [Google Scholar] [CrossRef]
- Green, S.; Salkind, N.; Akey, T. Methods for controlling type I error across multiple hypothesis tests. Using SPSS Windows Anal. Underst. Data 2000, 2, 395–396. [Google Scholar]
- Wylie, L.; Mohr, M.; Krustrup, P.; Jackman, S.; Ermιdis, G.; Kelly, J.; Black, M.; Bailey, S.; Vanhatalo, A.; Jones, A. Dietary nitrate supplementation improves team sport-specific intense intermittent exercise performance. Eur. J. Appl. Physiol. 2013, 113, 1673. [Google Scholar] [CrossRef]
- Jonvik, K.L.; Hoogervorst, D.; Peelen, H.B.; De Niet, M.; Verdijk, L.B.; Van Loon, L.J.; van Dijk, J.-W. The impact of beetroot juice supplementation on muscular endurance, maximal strength and countermovement jump performance. Eur. J. Sport Sci. 2020, 1–8. [Google Scholar] [CrossRef]
- Wylie, L.J.; Park, J.W.; Vanhatalo, A.; Kadach, S.; Black, M.I.; Stoyanov, Z.; Schechter, A.N.; Jones, A.M.; Piknova, B. Human skeletal muscle nitrate store: Influence of dietary nitrate supplementation and exercise. J. Physiol. 2019. [Google Scholar] [CrossRef] [PubMed]
- Gallardo, E.J.; Coggan, A.R. What Is in Your Beet Juice? Nitrate and Nitrite Content of Beet Juice Products Marketed to Athletes. Int. J. Sport Nutr. Exerc. Metab. 2019, 29, 345–349. [Google Scholar] [CrossRef]
- Hobbs, D.A.; George, T.W.; Lovegrove, J.A. The effects of dietary nitrate on blood pressure and endothelial function: A review of human intervention studies. Nutr. Res. Rev. 2013, 26, 210–222. [Google Scholar] [CrossRef] [PubMed]
- Craig, J.C.; Broxterman, R.M.; Smith, J.R.; Allen, J.D.; Barstow, T.J. Effect of dietary nitrate supplementation on conduit artery blood flow, muscle oxygenation, and metabolic rate during handgrip exercise. J. Appl. Phisiol. 2018, 125, 254–262. [Google Scholar] [CrossRef] [PubMed]
- Husmann, F.; Bruhn, S.; Mittlmeier, T.; Zschorlich, V.; Behrens, M. Dietary Nitrate Supplementation Improves Exercise Tolerance by Reducing Muscle Fatigue and Perceptual Responses. Front. Physiol. 2019, 10, 404. [Google Scholar] [CrossRef] [PubMed]
- Bailey, S.J.; Varnham, R.L.; DiMenna, F.J.; Breese, B.C.; Wylie, L.J.; Jones, A.M. Inorganic nitrate supplementation improves muscle oxygenation, O2 uptake kinetics, and exercise tolerance at high but not low pedal rates. J. Appl. Physiol. 2015, 118, 1396–1405. [Google Scholar] [CrossRef]
- Papadopoulos, S.; Dipla, K.; Triantafyllou, A.; Nikolaidis, M.G.; Kyparos, A.; Touplikioti, P.; Vrabas, I.S.; Zafeiridis, A.J. Beetroot increases muscle performance and oxygenation during sustained isometric exercise, but does not alter muscle oxidative efficiency and microvascular reactivity at rest. J. Am. Coll. Nutr. 2018, 37, 361–372. [Google Scholar] [CrossRef]
- Lee, J.S.; Stebbins, C.L.; Jung, E.; Nho, H.; Kim, J.-K.; Chang, M.-J.; Choi, H.-M. Effects of chronic dietary nitrate supplementation on the hemodynamic response to dynamic exercise. Am. J. Physiol. Regul. Integr. Comp. Physiol. 2015, 309, R459–R466. [Google Scholar] [CrossRef] [PubMed]
- van der Avoort, C.M.; Jonvik, K.L.; Nyakayiru, J.; van Loon, L.J.; Hopman, M.T.; Verdijk, L.B. A Nitrate-Rich Vegetable Intervention Elevates Plasma Nitrate and Nitrite Concentrations and Reduces Blood Pressure in Healthy Young Adults. J. Acad Nutr. Diet. 2020, 120, 1305–1317. [Google Scholar] [CrossRef] [PubMed]


| Variable | Set 1 | Set 2 | Set 3 | Set 4 | Set 5 | |
|---|---|---|---|---|---|---|
| Bench Press Exercise | ||||||
| ∆%SmO2 | RSE | 63.2 ± 19.7 | 69.4 ± 15.8 | 59.7 ± 16.1 | 61.5 ± 5.3 | 62.0 ± 21.3 |
| PL | 69.0 ± 12.6 | 61.4 ± 15.8 | 60.7 ± 12.4 | 61.3 ± 17.1 | 66.5 ± 12.3 | |
| Rest Periods | ||||||
| SmO2RecT (s) | RSE | 60.8 ± 27.3 | 55.6 ± 18.8 | 53.2 ± 58.7 | 52.6 ± 17.4 | - |
| PL | 57.8 ± 9.3 | 60.2 ± 14.0 | 58.7 ± 9.7 | 60.9 ± 12.1 | - | |
| SmO2RecSlope | RSE | 1.14 ± 0.33 | 1.17 ± 0.41 | 0.91 ± 0.56 | 1.06 ± 0.68 | - |
| PL | 1.26 ± 0.44 | 1.07 ± 0.32 | 0.86 ± 0.80 | 0.92 ± 0.49 | - | |
| SmO2Peak (%) | RSE | 85.3 ± 3.43 | 86.1 ± 4.89 | 84.1 ± 5.28 | 84.6 ± 6.38 | - |
| PL | 87.0 ± 3.24 | 87.3 ± 3.57 | 86.8 ± 3.60 | 86.1 ± 4.76 |
| Variable | Baseline | PRE | IP | |
|---|---|---|---|---|
| Subjective Measures | ||||
| Focus (cm) | RSE | 8.3 ± 2.5 | 9.0 ± 2.7 # | 9.8 ± 2.8 # |
| PL | 7.6 ± 2.6 | 8.7 ± 2.7 # | 9.9 ± 1.8 # | |
| Energy (cm) | RSE | 7.7 ± 2.7 | 8.8 ± 2.3 | 7.4 ± 2.5 |
| PL | 7.2 ± 2.9 | 8.5 ± 2.6 | 8.1 ± 2.7 | |
| Fatigue (cm) | RSE | 4.7 ± 3.2 | 5.0 ± 2.7 | 10.1 ± 2.4 # |
| PL | 4.4 ± 2.9 | 4.5 ± 2.3 | 8.9 ± 3.2 # | |
| Muscle Pump (cm) | RSE | 3.9 ± 3.1 | 6.2 ± 3.3 # | 11.2 ± 2.2 # |
| PL | 4.3 ± 4.1 | 6.6 ± 3.1 # | 11.0 ± 2.4 # | |
| Rating of Perceived Exertion (AU) | RSE | - | - | 8.3 ± 0.7 |
| PL | - | - | 9.9 ± 1.8 | |
| Stroop Test | ||||
| Congruence (ms) | RSE | 720.1 ± 129.4 | 625.0 ± 72.9 # | 607.3 ± 83.1 # |
| PL | 751.2 ± 148.0 | 648.6 ± 96.7 # | 614.9 ± 90.8 # | |
| Incongruence (ms) | RSE | 831.9 ± 106.1 | 749.0 ± 92.2 # | 740.9 ± 113.4 # † |
| PL | 877.4 ± 105.5 | 754.8 ± 91.3 # | 772.5 ± 111.0 # † | |
| Stroop Effect (ms) | RSE | 111.8 ± 107.1 | 126.0 ± 64.5 | 135.6 ± 113.8 |
| PL | 113.6 ± 72.4 | 106.1 ± 95.4 | 132.0 ± 54.5 |
Publisher’s Note: MDPI stays neutral with regard to jurisdictional claims in published maps and institutional affiliations. |
© 2021 by the authors. Licensee MDPI, Basel, Switzerland. This article is an open access article distributed under the terms and conditions of the Creative Commons Attribution (CC BY) license (https://creativecommons.org/licenses/by/4.0/).
Share and Cite
Haynes IV, J.T.; Townsend, J.R.; Aziz, M.A.; Jones, M.D.; Littlefield, L.A.; Ruiz, M.D.; Johnson, K.D.; Gonzalez, A.M. Impact of Red Spinach Extract Supplementation on Bench Press Performance, Muscle Oxygenation, and Cognitive Function in Resistance-Trained Males. Sports 2021, 9, 77. https://doi.org/10.3390/sports9060077
Haynes IV JT, Townsend JR, Aziz MA, Jones MD, Littlefield LA, Ruiz MD, Johnson KD, Gonzalez AM. Impact of Red Spinach Extract Supplementation on Bench Press Performance, Muscle Oxygenation, and Cognitive Function in Resistance-Trained Males. Sports. 2021; 9(6):77. https://doi.org/10.3390/sports9060077
Chicago/Turabian StyleHaynes IV, James T., Jeremy R. Townsend, Marko A. Aziz, Megan D. Jones, Laurel A. Littlefield, Matthew D. Ruiz, Kent D. Johnson, and Adam M. Gonzalez. 2021. "Impact of Red Spinach Extract Supplementation on Bench Press Performance, Muscle Oxygenation, and Cognitive Function in Resistance-Trained Males" Sports 9, no. 6: 77. https://doi.org/10.3390/sports9060077
APA StyleHaynes IV, J. T., Townsend, J. R., Aziz, M. A., Jones, M. D., Littlefield, L. A., Ruiz, M. D., Johnson, K. D., & Gonzalez, A. M. (2021). Impact of Red Spinach Extract Supplementation on Bench Press Performance, Muscle Oxygenation, and Cognitive Function in Resistance-Trained Males. Sports, 9(6), 77. https://doi.org/10.3390/sports9060077

