Mood State Changes Accompanying the Crossfit Open™ Competition in Healthy Adults
Abstract
1. Introduction
2. Materials and Methods
2.1. Participants
2.2. Experimental Design
2.3. Baseline Assessments
2.4. Competition Sessions
2.5. Questionnaire
2.6. Exercise Intensity and Duration
2.7. Statistical Analysis
3. Results
3.1. Workout Intensity and Duration
3.2. Baseline Comparisons
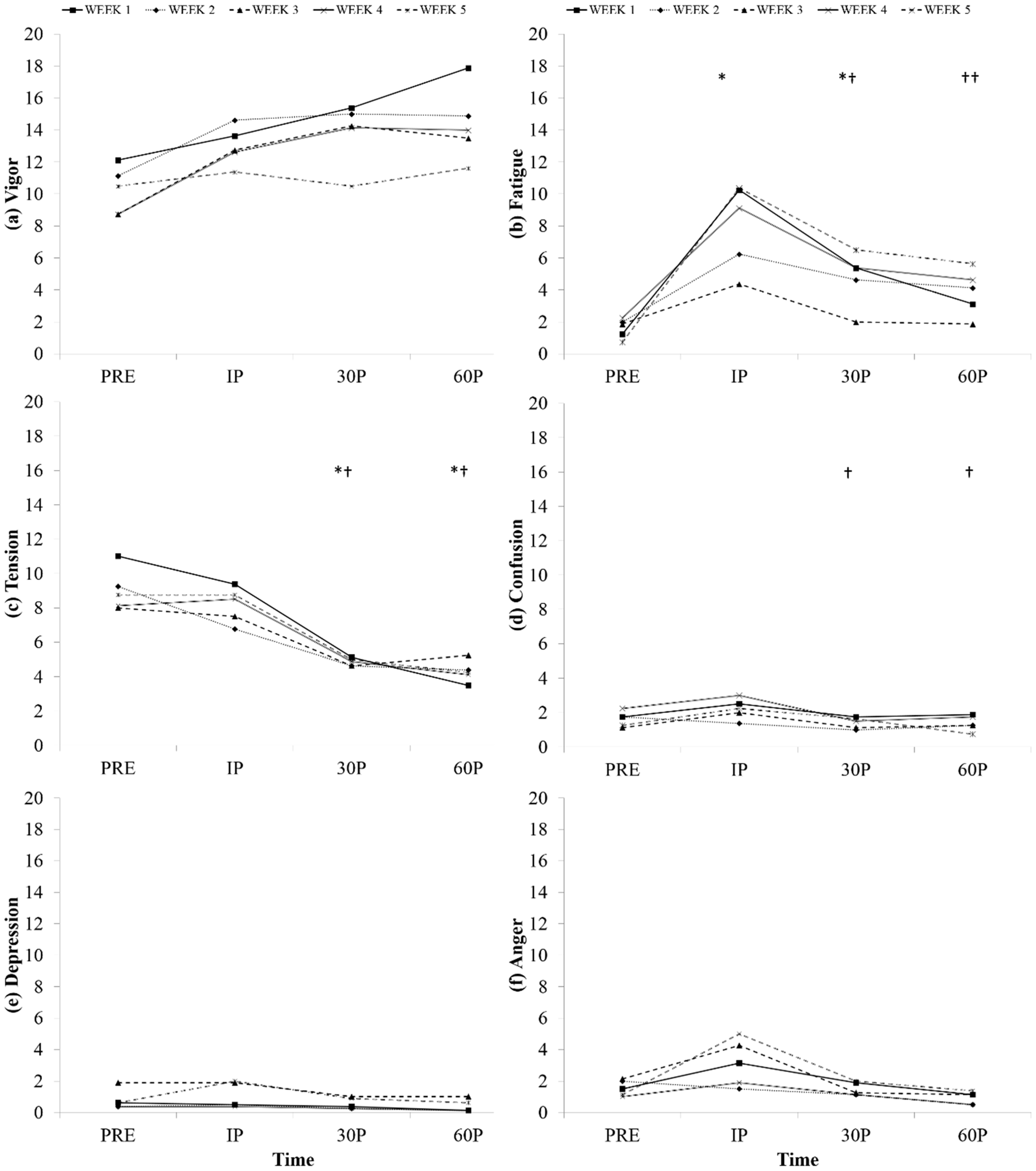
3.3. POMS Subscales
3.4. Total Mood Disturbance (TMD)
3.5. Energy Index (EI)
4. Discussion
Limitations
5. Conclusions
Author Contributions
Funding
Acknowledgments
Conflicts of Interest
References
- Ekkekakis, P.; Parfitt, G.; Petruzzello, S.J. The pleasure and displeasure people feel when they exercise at different intensities. Sports Med. 2011, 41, 641–671. [Google Scholar] [CrossRef] [PubMed]
- Ekkekakis, P.; Petruzzello, S.J. Acute aerobic exercise and affect: Current status, problems and prospects regarding dose-response. Sports Med. 1999, 28, 337–374. [Google Scholar] [CrossRef] [PubMed]
- Ekkekakis, P. The Measurement of Affect, Mood, and Emotion: A Guide for Health-Behavioral Research; Cambridge University Press: New York, NY, USA, 2013. [Google Scholar]
- Ekkekakis, P.; Hall, E.E.; Petruzzello, S.J. The relationship between exercise intensity and affective responses demystified: To crack the 40-year-old nut, replace the 40-year-old nutcracker! Ann. Behav. Med. 2008, 35, 136–149. [Google Scholar] [CrossRef] [PubMed]
- Russell, J.A.; Barrett, L.F. Core affect, prototypical emotional episodes, and other things called emotion: Dissecting the elephant. J. Pers. Soc. Psychol. 1999, 76, 805–819. [Google Scholar] [CrossRef] [PubMed]
- Thayer, R.E. Activation-deactivation adjective check list: Current overview and structural analysis. Psychol. Rep. 1986, 58, 607–614. [Google Scholar] [CrossRef]
- Ekkekakis, P.; Hall, E.E.; Petruzzello, S.J. Variation and homogeneity in affective responses to physical activity of varying intensities: An alternative perspective on dose-response based on evolutionary considerations. J. Sports Sci. 2005, 23, 477–500. [Google Scholar] [CrossRef] [PubMed]
- Parfitt, G.; Rose, E.A.; Burgess, W.M. The psychological and physiological responses of sedentary individuals to prescribed and preferred intensity exercise. Br. J. Health Psychol. 2006, 11 Pt 1, 39–53. [Google Scholar] [CrossRef] [PubMed]
- Hall, E.E.; Ekkekakis, P.; Petruzzello, S.J. The affective beneficence of vigorous exercise revisited. Br. J. Health Psychol. 2002, 7 Pt 1, 47–66. [Google Scholar] [CrossRef] [PubMed]
- Bartlett, J.D.; Close, G.L.; MacLaren, D.P.; Gregson, W.; Drust, B.; Morton, J.P. High-intensity interval running is perceived to be more enjoyable than moderate-intensity continuous exercise: Implications for exercise adherence. J. Sports Sci. 2011, 29, 547–553. [Google Scholar] [CrossRef] [PubMed]
- Oliveira, B.R.; Slama, F.A.; Deslandes, A.C.; Furtado, E.S.; Santos, T.M. Continuous and high-intensity interval training: Which promotes higher pleasure? PLoS ONE 2013, 8, e79965. [Google Scholar] [CrossRef] [PubMed]
- Van Landuyt, L.M.; Ekkekakis, P.; Hall, E.E.; Petruzzello, S.J. Throwing the mountains into the lakes: On the perils of nomothetic conceptions of the exercise-affect relationship. J. Sport Exerc. Psychol. 2000, 22, 208–234. [Google Scholar] [CrossRef]
- Hansen, C.J.; Stevens, L.C.; Coast, J.R. Exercise duration and mood state: How much is enough to feel better? Health Psychol. 2001, 20, 267–275. [Google Scholar] [CrossRef] [PubMed]
- Thompson, W.R. Worldwide Survey of Fitness Trends for 2018: The CREP Edition. ACSM’S Health Fit. J. 2017, 21, 10–19. [Google Scholar] [CrossRef]
- Glassman, G. Understanding CrossFit. CrossFit J. 2007, 56, 1–2. [Google Scholar]
- Bycura, D.; Feito, Y.; Prather, C.C. Motivational Factors in CrossFit® Training Participation. Health Behav. Policy Rev. 2017, 4, 539–550. [Google Scholar] [CrossRef]
- Simpson, D.; Prewitt-White, T.R.; Feito, Y.; Giusti, J.; Shuda, R. Challenge, Commitment, Community, and Empowerment: Factors that Promote the Adoption of CrossFit as a Training Program. Sports J. 2017. Available online: http://thesportjournal.org/article/challenge-commitment-community-and-empowerment-factors-that-promote-the-adoption-of-crossfit-as-a-training-program/ (accessed on 1 April 2018).
- Fernández, J.F.; Solana, R.S.; Moya, D.; Marin, J.M.S.; Ramón, M.M. Acute physiological responses during crossfit® workouts. Eur. J. Human Mov. 2015, 35, 114–124. [Google Scholar]
- Bailey, B.; Benson, A.J.; Bruner, M.W. Investigating the organisational culture of CrossFit. Int. J. Sport Exerc. Psychol. 2017, 1–15. [Google Scholar] [CrossRef]
- Davies, M.J.; Coleman, L.; Stellino, M.B. The Relationship between Basic Psychological Need Satisfaction, Behavioral Regulation, and Participation in CrossFit. J. Sport Behav. 2016, 39, 239. [Google Scholar]
- Hallgren, M.A.; Moss, N.D.; Gastin, P. Regular exercise participation mediates the affective response to acute bouts of vigorous exercise. J. Sports Sci. Med. 2010, 9, 629–637. [Google Scholar] [PubMed]
- Beedie, C.J.; Terry, P.C.; Lane, A.M. The Profile of Mood States and athletic performance: Two meta-analyses. J. Appl. Sport Psychol. 2000, 12, 49–68. [Google Scholar] [CrossRef]
- Terry, P. The efficacy of mood state profiling with elite performers: A review and synthesis. Sport Psychol. 1995, 9, 309–324. [Google Scholar] [CrossRef]
- Alix-Sy, D.; Le Scanff, C.; Filaire, E. Psychophysiological responses in the pre-competition period in elite soccer players. J. Sports Sci. Med. 2008, 7, 446–454. [Google Scholar] [PubMed]
- Lane, A.M.; Chappell, R.C. Mood and performance relationships among players at the world student games basketball competition. J. Sport Behav. 2001, 24, 182. [Google Scholar]
- McNair, D.M.; Droppleman, L.F.; Lorr, M. Edits Manual for the Profile of Mood States: POMS; Educational and Industrial Testing Service: San Diego, CA, USA, 1992. [Google Scholar]
- McNair, D.; Lorr, M.; Droppleman, L. EITS Manual for the Profile of Mood States (POMS); Educational and Industrial Testing Service: San Diego, CA, USA, 1971. [Google Scholar]
- Albrecht, R.R.; Ewing, S.J. Standardizing the administration of the Profile of Mood States (POMS): Development of alternative word lists. J. Pers. Assess. 1989, 53, 31–39. [Google Scholar] [CrossRef] [PubMed]
- O’Connor, P.J.; Puetz, T.W. Chronic physical activity and feelings of energy and fatigue. Med. Sci. Sports Exerc. 2005, 37, 299–305. [Google Scholar] [CrossRef] [PubMed]
- Raglin, J.S. Psychological factors in sport performance: The Mental Health Model revisited. Sports Med. 2001, 31, 875–890. [Google Scholar] [CrossRef] [PubMed]
- Dupuy, O.; Lussier, M.; Fraser, S.; Bherer, L.; Audiffren, M.; Bosquet, L. Effect of overreaching on cognitive performance and related cardiac autonomic control. Scand. J. Med. Sci. Sports 2014, 24, 234–242. [Google Scholar] [CrossRef] [PubMed]
- Kenttä, G.; Hassmén, P.; Raglin, J.S. Mood state monitoring of training and recovery in elite kayakers. Eur. J. Sport Sci. 2006, 6, 245–253. [Google Scholar] [CrossRef]
- Fox, E.L. A simple, accurate technique for predicting maximal aerobic power. J. Appl. Physiol. 1973, 35, 914–916. [Google Scholar] [CrossRef] [PubMed]
- Green, S.; Salkind, N.; Akey, T.; Jones, T.M. Methods for controlling type I error across multiple hypothesis tests. In Using SPSS for Windows: Analysing and Understanding Data; Prentice Hall: Upper Saddle Rive, NJ, USA, 1996; pp. 395–396. [Google Scholar]
- Steptoe, A.; Cox, S. Acute effects of aerobic exercise on mood. Health Psychol. 1988, 7, 329–340. [Google Scholar] [CrossRef] [PubMed]
- Herring, M.P.; O’Connor, P.J. The effect of acute resistance exercise on feelings of energy and fatigue. J. Sports Sci. 2009, 27, 701–709. [Google Scholar] [CrossRef] [PubMed]
- Heinrich, K.M.; Patel, P.M.; O’Neal, J.L.; Heinrich, B.S. High-intensity compared to moderate-intensity training for exercise initiation, enjoyment, adherence, and intentions: An intervention study. BMC Public Health 2014, 14, 789. [Google Scholar] [CrossRef] [PubMed]
- Williams, D.M.; Dunsiger, S.; Ciccolo, J.T.; Lewis, B.A.; Albrecht, A.E.; Marcus, B.H. Acute Affective Response to a Moderate-intensity Exercise Stimulus Predicts Physical Activity Participation 6 and 12 Months Later. Psychol. Sport Exerc. 2008, 9, 231–245. [Google Scholar] [CrossRef] [PubMed]
- Hill, C.M.; Hill, D.W. Influence of time of day on responses to the profile of mood states. Percept. Motor Skills 1991, 72, 434. [Google Scholar] [CrossRef]
- Berger, B.G.; Darby, L.A.; Zhang, Y.; Owen, D.R.; Tobar, D.A. Mood alteration after 15 minutes of preferred intensity exercise: Examining heart rate, perceived exertion, and enjoyment. J. Sport Behav. 2016, 39, 3. [Google Scholar]
- McNair, D.M.; Lorr, M. An Analysis of Mood in Neurotics. J. Abnormal Psychol. 1964, 69, 620–627. [Google Scholar] [CrossRef]
- Ekkekakis, P.; Petruzzello, S.J. Analysis of the affect measurement conundrum in exercise psychology: I. Fundamental issues. Psychol. Sport Exerc. 2000, 1, 71–88. [Google Scholar] [CrossRef]


| Age | Sex | Height (cm) | Weight (kg) | BMI | % Total Fat | Overall CFO Rank | |
|---|---|---|---|---|---|---|---|
| 26.0 | Female | 167.1 | 74.2 | 26.6 | 18.7 | ||
| 38.0 | Female | 159.3 | 84.7 | 33.4 | 32.1 | ||
| 35.0 | Female | 161.8 | 103.1 | 39.4 | 44.4 | ||
| 31.0 | Male | 177.8 | 76.8 | 24.3 | 10.1 | ||
| 35.0 | Male | 166.9 | 80.9 | 29.0 | 13.4 | ||
| 33.0 | Male | 177.8 | 79.6 | 25.2 | 13.4 | ||
| 45.0 | Female | 158.8 | 78.5 | 31.1 | 33.1 | ||
| 31.0 | Female | 147.8 | 44.2 | 20.2 | 18.8 | ||
| Average | 34.3 ± 5.6 | 164.7 ± 10.1 | 77.8 ± 16.2 | 28.7 ± 6.0 | 23.0 ± 12.1 | 40,508.6 |
| Week 1 | Week 2 | Week 3 | Week 4 | Week 5 | ||
|---|---|---|---|---|---|---|
| Workout Description (One round equals the completion of the designated movements) | As Many Repetitions as Possible (AMRAP) in 20 min. | 4-min rounds Must complete designated movements within each round to move into next round. | 7-min AMRAP | 13-min AMRAP | Complete descending repetition scheme (21-18-15-12-9-6-3 each) for time | |
| Reps/Movement/Weight (Male/Female) | Rx | 25-ft Overhead Walking Lunge (43 kg/29 kg) & 8 Burpees & 25-ft Overhead Walking Lunge (43 kg/29 kg) & 8 Chest-to-bar pull-up | 25 Toes-to-bar & 50 Double-unders & Squat Clean ° (15-13-11-9-7 rep scheme) | 10 Power Snatches (34 kg/25 kg) & 3 Bar Muscle-ups | 55 Deadlift (102 kg/70 kg) & 55 Wall-ball Shot * & Row (55 calories) & 55 Handstand Push-Up | Thruster (43 kg/29 kg) & Burpees |
| Scale | 25-ft Front Rack Walking Lunge (29 kg/15 kg) & 8 Burpees & 25-ft Front Rack Walking Lunge (29 kg/15 kg) & 8 Jumping Chin-Over-Bar pull-up | 25 Hanging Knee Raises & 50 Single-unders & Squat Clean ◊ (15-13-11-9-7 rep scheme) | 10 Power Snatches (20 kg/15 kg) & 8 Jumping Chest-to-Bar-Pull Up | 55 Deadlifts (61 kg/43 kg) & 55 Wall-ball Shot † (9 kg/4 kg) & Row (55 Calories) & 55 Handstand Release Push-up | Thruster (29 kg/20 kg) & Burpees | |
| Week 1 | Week 2 | Week 3 | Week 4 | Week 5 | |
|---|---|---|---|---|---|
| Est. Max HR * | %MHR † | %MHR 1 (Time ‡) | %MHR † | %MHR † | %MHR (Time ‡) |
| 194 | 90.72 s | 87.11 (12.00) | 88.14 s | 89.18 s | 91.24 (13.78) |
| 182 | 95.05 s | 96.15 (4.00) | 90.66 | 95.60 | 95.05 (18.38) |
| 185 | 102.70 s | 102.16 (16.00) | 97.30 s | 105.41 | 107.03 (26.98) |
| 189 | 88.89 | 88.36 (8.00) | 90.48 | 86.77 | 91.01 (13.47) |
| 185 | 89.73 | 89.19 (8.00) | 89.19 | 89.19 | 94.05 (14.47) |
| 187 | 91.98 | 90.91 (8.00) | 91.98 | 91.44 | 93.58 (18.38) |
| 175 | 106.29 s | 105.71 (4.00) | 107.43 s | 105.71 | 106.86 (19.93) |
| 189 | 94.18 | 92.59 (8.00) | 94.18 | 92.06 | 96.83 (15.25) |
| Average | 94.94 | 94.02 (8.50) | 93.67 | 94.42 | 96.96 (17.58) |
| M (SD) | M (SD) | M (SD) | M (SD) | M (SD) | M (SD) | |
|---|---|---|---|---|---|---|
| Energy Index | 3.63 (8.00) | 10.88 (3.36) | 9.13 (6.42) | 6.88 (6.83) | 6.50 (6.87) | 9.75 (7.54) |
| TMD | 109.63 (16.53) | 104.00 (10.03) | 104.25 (15.21) | 106.25 (10.98) | 105.25 (14.11) | 102.00 (7.96) |
| Vigor | 9.75 (4.37) | 12.13 (2.95) | 11.13 (6.40) | 8.75 (6.65) | 8.75 (6.56) | 10.50 (7.09) |
| Fatigue | 6.13 (6.38) | 1.25 (2.55) | 2.00 (4.47) | 1.88 (2.36) | 2.25 (5.26) | 0.75 (1.04) |
| Anger | 1.25 (2.12) | 1.50 (1.31) | 2.00 (3.51) | 2.13 (2.90) | 1.00 (1.60) | 1.13 (2.10) |
| Depression | 2.25 (3.28) | 0.63 (0.92) | 0.38 (0.74) | 1.88 (4.55) | 0.38 (0.74) | 0.63 (1.41) |
| Confusion | 3.13 (2.42) | 1.75 (1.28) | 1.75 (2.19) | 1.13 (1.25) | 2.25 (3.81) | 1.25 (1.58) |
| Tension | 6.63 (5.55) | 11.00 (6.70) | 9.25 (5.70) | 8.00 (6.55) | 8.13 (5.77) | 8.75 (6.41) |
| Week 1 | Week 2 | Week 3 | Week 4 | Week 5 | p-Value (Week) | |
|---|---|---|---|---|---|---|
| Energy Index | ||||||
| PRE | 10.88 ± 3.36 | 9.13 ± 6.42 | 6.88 ± 6.83 | 6.50 ± 6.87 | 9.75 ± 7.54 | 0.448 |
| IP | 3.38 ± 6.50 ° | 8.38 ± 6.91 | 8.38 ± 6.48 | 3.50 ± 9.86 | 1.00 ± 11.24 | 0.097 |
| 30P | 10.00 ± 6.16 | 10.38 ± 10.00 | 12.25 ± 3.58 | 8.75 ± 6.20 | 4.00 ± 5.42 † | 0.022 |
| 60P | 14.75 ± 8.66 | 10.75 ± 5.39 | 11.63 ± 4.00 | 9.38 ± 7.50 * | 6.00 ± 5.40 * † | 0.010 |
| p-value (time) | 0.004 | 0.663 | 0.240 | 0.101 | 0.132 | |
| Total Mood Disturbance | ||||||
| PRE | 104.00 ± 10.03 | 104.25 ± 15.21 | 106.25 ± 10.98 | 105.25 ± 14.11 | 102.00 ± 7.96 | 0.896 |
| IP | 112.13 ± 10.64 ° | 101.75 ± 11.02 | 107.25 ± 15.97 | 110.25 ± 18.99 | 117.00 ± 20.30 | 0.073 |
| 30P | 99.13 ± 13.36 ° | 96.63 ± 14.61 | 95.75 ± 7.44 ° | 99.00 ± 15.62 ° | 105.5 ± 11.02 | 0.066 |
| 60P | 91.88 ± 11.22 ° | 95.50 ± 8.07 | 97.00 ± 7.29 ° | 97.13 ± 12.08 ° | 101.00 ± 5.45 | 0.088 |
| p-value | <0.001 | 0.040 | 0.008 | 0.001 | 0.043 | |
| Vigor | ||||||
| PRE | 12.13 ± 2.95 | 11.13 ± 6.40 | 8.75 ± 6.65 | 8.75 ± 6.56 | 10.50 ± 7.09 | 0.403 |
| IP | 13.63 ± 8.21 | 14.63 ± 5.07 | 12.75 ± 5.39 | 12.63 ± 8.52 | 11.38 ± 12.09 | 0.795 |
| 30P | 15.38 ± 4.66 | 15.00 ± 5.42 | 14.25 ± 3.92 | 14.13 ± 5.72 ° | 10.50 ± 8.62 | 0.154 |
| 60P | 17.88 ± 7.72 | 14.88 ± 5.28 | 13.50 ± 4.72 | 14.00 ± 7.27 ° | 11.63 ± 9.16 * | 0.037 |
| p-value | 0.085 | 0.261 | 0.107 | 0.040 | 0.861 | |
| Fatigue | ||||||
| PRE | 1.25 ± 2.55 | 2.00 ± 4.47 | 1.88 ± 2.36 | 2.25 ± 5.26 | 0.75 ± 1.04 | 0.559 |
| IP | 10.25 ± 4.03 † | 6.25 ± 7.09 | 4.38 ± 5.21 | 9.13 ± 5.87 † ° | 10.38 ± 7.29 † ° | 0.005 |
| 30P | 5.38 ± 6.57 | 4.63 ± 7.42 | 2.00 ± 2.78 | 5.38 ± 6.48 ° | 6.50 ± 5.95 ° | 0.062 |
| 60P | 3.13 ± 5.17 | 4.13 ± 7.28 | 1.88 ± 2.70 | 4.63 ± 5.68 ° | 5.63 ± 4.95 ° | 0.155 |
| p-value | < 0.001 | 0.074 | 0.095 | < 0.001 | 0.004 | |
| Tension | ||||||
| PRE | 11.00 ± 6.70 | 9.25 ± 5.70 | 8.00 ± 6.55 | 8.13 ± 5.77 | 8.75 ± 6.41 | 0.353 |
| IP | 9.38 ± 4.75 | 6.75 ± 5.63 ° | 7.50 ± 6.30 | 8.50 ± 7.63 | 8.75 ± 6.90 | 0.277 |
| 30P | 5.13 ± 5.11 ° | 4.63 ± 3.74 ° | 4.63 ± 4.24 ° | 4.88 ± 6.38 ° | 5.00 ± 4.72 | 0.973 |
| 60P | 3.50 ± 2.56 ° | 4.38 ± 2.83 ° | 5.25 ± 5.31 ° | 4.13 ± 3.52 ° | 4.25 ± 3.62 ° | 0.364 |
| p-value | < 0.001 | 0.001 | 0.001 | < 0.001 | 0.033 | |
© 2018 by the authors. Licensee MDPI, Basel, Switzerland. This article is an open access article distributed under the terms and conditions of the Creative Commons Attribution (CC BY) license (http://creativecommons.org/licenses/by/4.0/).
Share and Cite
Box, A.G.; Feito, Y.; Petruzzello, S.J.; Mangine, G.T. Mood State Changes Accompanying the Crossfit Open™ Competition in Healthy Adults. Sports 2018, 6, 67. https://doi.org/10.3390/sports6030067
Box AG, Feito Y, Petruzzello SJ, Mangine GT. Mood State Changes Accompanying the Crossfit Open™ Competition in Healthy Adults. Sports. 2018; 6(3):67. https://doi.org/10.3390/sports6030067
Chicago/Turabian StyleBox, Allyson G., Yuri Feito, Steven J. Petruzzello, and Gerald T. Mangine. 2018. "Mood State Changes Accompanying the Crossfit Open™ Competition in Healthy Adults" Sports 6, no. 3: 67. https://doi.org/10.3390/sports6030067
APA StyleBox, A. G., Feito, Y., Petruzzello, S. J., & Mangine, G. T. (2018). Mood State Changes Accompanying the Crossfit Open™ Competition in Healthy Adults. Sports, 6(3), 67. https://doi.org/10.3390/sports6030067

