Effective Intervention Features of a Doping Prevention Program for Athletes: A Systematic Review with Meta-Analysis
Abstract
1. Introduction
1.1. Cognitive Approach to Doping Prevention
1.2. Affective Approach to Doping Prevention
1.3. Active and Passive Participation in Doping Prevention Interventions
2. Materials and Methods
2.1. Search Strategy
2.1.1. Eligibility Criteria
2.1.2. Search Terms
2.2. Selection Criteria
2.2.1. Inclusion Criteria
2.2.2. Exclusion Criteria
2.3. Extraction and Synthesis of the Data
2.4. Statistical Analysis
2.5. Assessment of Methodological Quality
3. Results
3.1. Selection of Studies
3.2. Methodological Quality
3.3. Characteristics of Participants and Study Design
3.4. Evaluation of the Intervention Programs
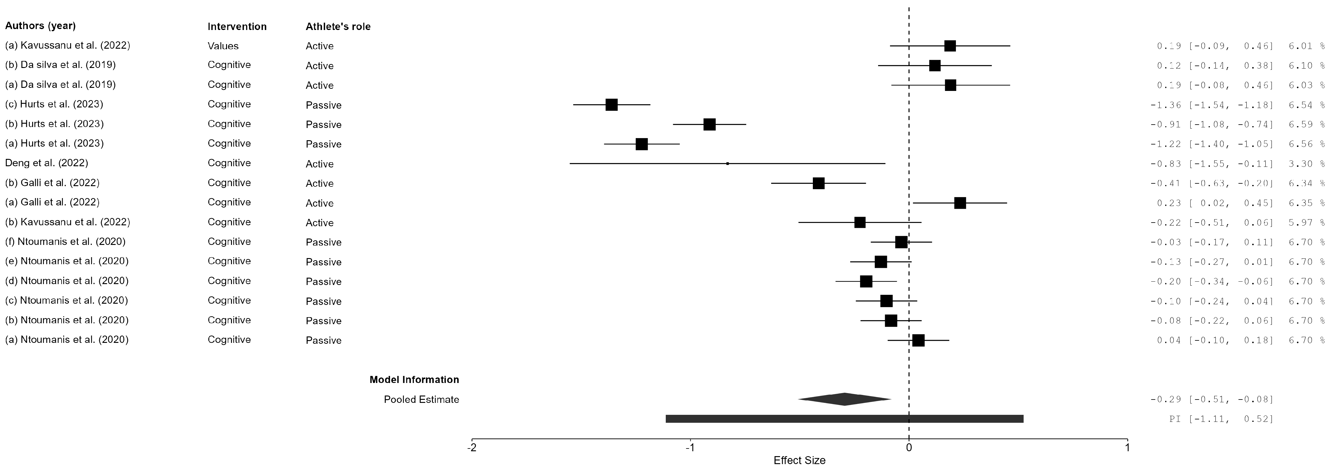
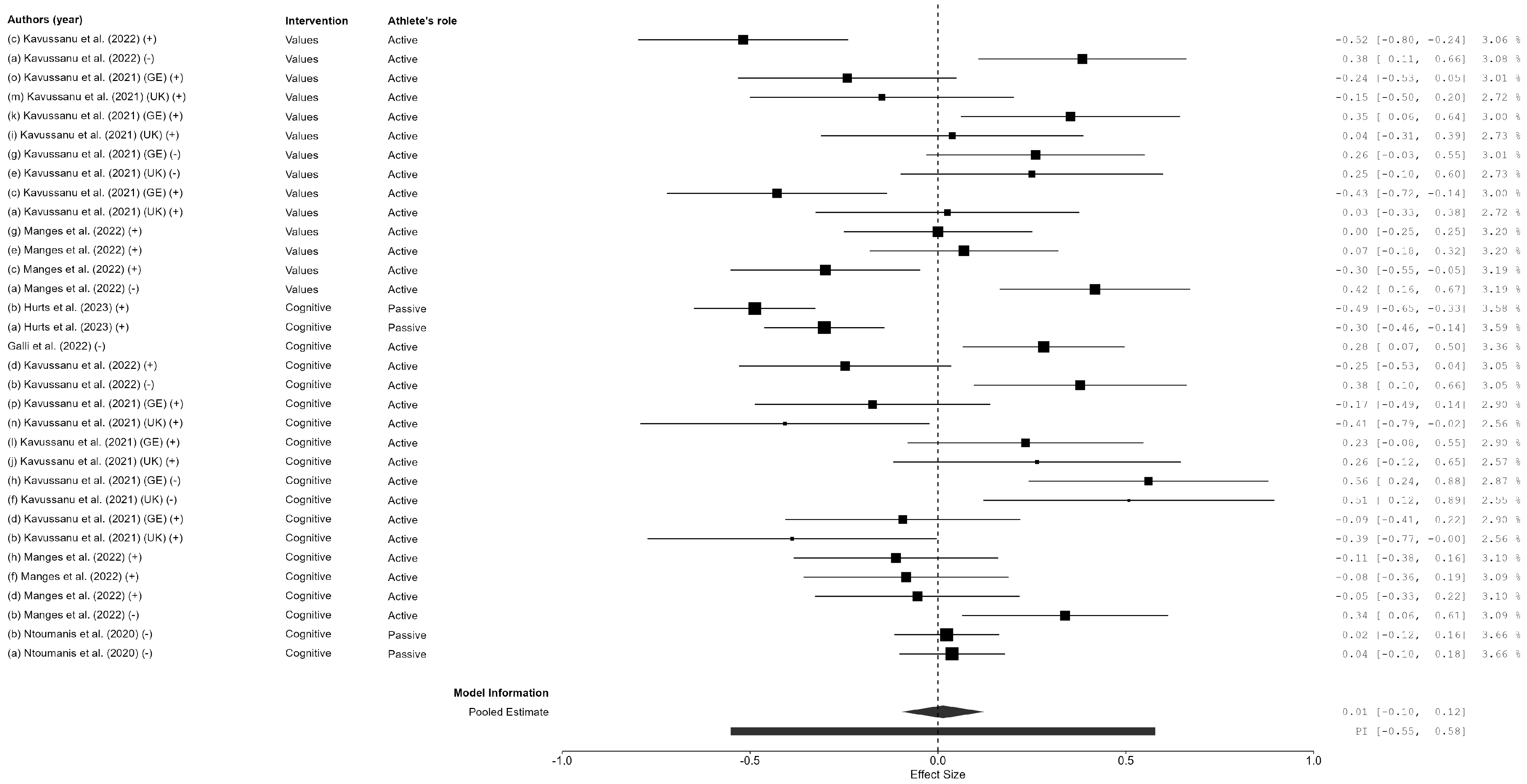
3.5. Meta-Analysis of the Studies
3.6. Descriptive Evaluation of the Results
3.6.1. Knowledge on Doping
3.6.2. Doping Intention
3.6.3. Doping Susceptibility
3.6.4. Attitudes Toward Doping
3.6.5. Moral Disengagement
3.6.6. Self-Regulatory Efficacy to Resist Doping and Anti-Doping Practices
3.6.7. Psychosocial Doping-Related Variables
4. Discussion
4.1. Practical Implications
- Mixed cognitive and affective approaches to interventions;
- The promotion of active and collaborative learning processes;
- The provision of multiple sessions, but the avoidance of very long intervention programs;
- The use of mentoring figures to reinforce values, morals, and anti-doping behaviors;
- An emphasis on motivational enhancement to avoid relapses in doping behaviors after the program concludes.
4.2. Limitations and Future Research Directions
5. Conclusions
Supplementary Materials
Author Contributions
Funding
Institutional Review Board Statement
Informed Consent Statement
Data Availability Statement
Conflicts of Interest
References
- WADA. World Anti-Doping Code; World Anti-Doping Agency: Montreal, QC, Canada, 2021. [Google Scholar]
- WADA. World Anti-Doping Code International Standard for Education; World Anti-Doping Agency, Ed.; World Anti-Doping Agency: Montreal, QC, Canada, 2021. [Google Scholar]
- Lazuras, L.; Barkoukis, V.; Tsorbatzoudis, H. Toward an Integrative Model of Doping Use: An Empirical Study With Adolescent Athletes. J. Sport Exerc. Psychol. 2015, 37, 37–50. [Google Scholar] [CrossRef] [PubMed]
- Ntoumanis, N.; Ng, J.Y.Y.; Barkoukis, V.; Backhouse, S. Personal and Psychosocial Predictors of Doping Use in Physical Activity Settings: A Meta-Analysis. Sports Med. 2014, 44, 1603–1624. [Google Scholar] [CrossRef]
- Bandura, A. Social Learning Theory; Prentice Hall: Hoboken, NJ, USA, 1977. [Google Scholar]
- Daher, J.; El Khoury, D.; Dwyer, J.J.M. Education Interventions to Improve Knowledge, Beliefs, Intentions and Practices with Respect to Dietary Supplements and Doping Substances: A Narrative Review. Nutrients 2021, 13, 3935. [Google Scholar] [CrossRef]
- Chan, D.K.C.; Hardcastle, S.; Dimmock, J.A.; Lentillon-Kaestner, V.; Donovan, R.J.; Burgin, M.; Hagger, M.S. Modal Salient Belief and Social Cognitive Variables of Anti-Doping Behaviors in Sport: Examining an Extended Model of the Theory of Planned Behavior. Psychol. Sport Exerc. 2015, 16, 164–174. [Google Scholar] [CrossRef]
- Bandura, A. Self-Efficacy Mechanism in Human Agency. Am. Psychol. 1982, 37, 122–147. [Google Scholar] [CrossRef]
- Bandura, A. Moral Disengagement in the Perpetration of Inhumanities. Personal. Soc. Psychol. Rev. 1999, 3, 193–209. [Google Scholar] [CrossRef]
- Backhouse, S.H.; Erickson, K.; Whitaker, L. Preventing Doping in Youth Sport. In Sport Psychology for Young Athletes; Knight, C., Harwood, C., Gould, D., Eds.; Routledge: Abingdon, UK; New York, NY, USA, 2017; pp. 185–195. [Google Scholar]
- Sagoe, D.; Holden, G.; Rise, E.N.K.; Torgersen, T.; Paulsen, G.; Krosshaug, T.; Lauritzen, F.; Pallesen, S. Doping Prevention through Anti-Doping Education and Practical Strength Training: The Hercules Program. Perform. Enhanc. Health 2016, 5, 24–30. [Google Scholar] [CrossRef]
- Elbe, A.-M.; Brand, R. The Effect of an Ethical Decision-Making Training on Young Athletes’ Attitudes Toward Doping. Ethics Behav. 2016, 26, 32–44. [Google Scholar] [CrossRef]
- Mukhalalati, B.; Elshami, S.; Eljaam, M.; Hussain, F.N.; Bishawi, A.H. Applications of Social Theories of Learning in Health Professions Education Programs: A Scoping Review. Front. Med. 2022, 9, 912751. [Google Scholar] [CrossRef]
- Lazuras, L.; Barkoukis, V.; Rodafinos, A.; Tzorbatzoudis, H. Predictors of Doping Intentions in Elite-Level Athletes: A Social Cognition Approach. J. Sport Exerc. Psychol. 2010, 32, 694–710. [Google Scholar] [CrossRef]
- Patterson, L.B.; Backhouse, S.H.; Jones, B. The Role of Athlete Support Personnel in Preventing Doping: A Qualitative Study of a Rugby Union Academy. Qual. Res. Sport Exerc. Health 2023, 15, 70–88. [Google Scholar] [CrossRef]
- Kavussanu, M.; Barkoukis, V.; Hurst, P.; Yukhymenko-Lescroart, M.; Skoufa, L.; Chirico, A.; Lucidi, F.; Ring, C. A Psychological Intervention Reduces Doping Likelihood in British and Greek Athletes: A Cluster Randomized Controlled Trial. Psychol. Sport Exerc. 2022, 61, 102099. [Google Scholar] [CrossRef]
- Petróczi, A.; Norman, P.; Brueckner, S. Can We Better Integrate the Role of Anti-Doping in Sports and Society? A Psychological Approach to Contemporary Value-Based Prevention. In Acute Topics in Anti-Doping; Pitsiladis, Y., Rabin, O., Eds.; Karger Publishers: Basel, Switzerland, 2017; Volume 62, pp. 160–176. [Google Scholar]
- Chan, D.K.C.; Dimmock, J.A.; Donovan, R.J.; Hardcastle, S.; Lentillon-Kaestner, V.; Hagger, M.S. Self-Determined Motivation in Sport Predicts Anti-Doping Motivation and Intention: A Perspective from the Trans-Contextual Model. J. Sci. Med. Sport 2015, 18, 315–322. [Google Scholar] [CrossRef]
- Mudrak, J.; Slepicka, P.; Slepickova, I. Sport Motivation and Doping in Adolescent Athletes. PLoS ONE 2018, 13, 0205222. [Google Scholar] [CrossRef]
- Ajzen, I. The Theory of Planned Behavior. Organ. Behav. Hum. Decis. Process 1991, 50, 179–211. [Google Scholar] [CrossRef]
- Gentile, A.; Milovanovic, I.; Pišot, S.; Bianco, A.; Lavanco, G. Moral Disengagement in Youth Athletes: A Narrative Review. J. Funct. Morphol. Kinesiol. 2022, 7, 33. [Google Scholar] [CrossRef]
- Mallia, L.; Lazuras, L.; Barkoukis, V.; Brand, R.; Baumgarten, F.; Tsorbatzoudis, H.; Zelli, A.; Lucidi, F. Doping Use in Sport Teams: The Development and Validation of Measures of Team-Based Efficacy Beliefs and Moral Disengagement from a Cross-National Perspective. Psychol. Sport Exerc. 2016, 25, 78–88. [Google Scholar] [CrossRef]
- Kavussanu, M.; Hurst, P.; Yukhymenko-Lescroart, M.; Galanis, E.; King, A.; Hatzigeorgiadis, A.; Ring, C. A Moral Intervention Reduces Doping Likelihood in British and Greek Athletes: Evidence From a Cluster Randomized Control Trial. J. Sport Exerc. Psychol. 2021, 43, 125–139. [Google Scholar] [CrossRef]
- Deci, E.L.; Ryan, R.M. Conceptualizations of Intrinsic Motivation and Self-Determination. In Intrinsic Motivation and Self-Determination in Human Behavior; Springer: Boston, MA, USA, 1985; pp. 11–40. [Google Scholar]
- Barkoukis, V.; Lazuras, L.; Tsorbatzoudis, H.; Rodafinos, A. Motivational and Social Cognitive Predictors of Doping Intentions in Elite Sports: An Integrated Approach. Scand. J. Med. Sci. Sports 2013, 23, 330–340. [Google Scholar] [CrossRef]
- Filleul, V.; d’Arripe-Longueville, F.; Garcia, M.; Bimes, H.; Meinadier, E.; Maillot, J.; Corrion, K. Anti-Doping Education Interventions in Athletic Populations: A Systematic Review of Their Characteristics, Outcomes and Practical Implications. Int. Rev. Sport Exerc. Psychol. 2024, 1–63. [Google Scholar] [CrossRef]
- Au, J.; Gibson, B.C.; Bunarjo, K.; Buschkuehl, M.; Jaeggi, S.M. Quantifying the Difference Between Active and Passive Control Groups in Cognitive Interventions Using Two Meta-Analytical Approaches. J. Cogn. Enhanc. 2020, 4, 192–210. [Google Scholar] [CrossRef] [PubMed]
- Russo, G.; Moretta Tartaglione, A.; Cavacece, Y. Empowering Patients to Co-Create a Sustainable Healthcare Value. Sustainability 2019, 11, 1315. [Google Scholar] [CrossRef]
- Horcajo, J.; de la Vega, R. Changing Doping-Related Attitudes in Soccer Players: How Can We Get Stable and Persistent Changes? Eur. J. Sport Sci. 2014, 14, 839–846. [Google Scholar] [CrossRef] [PubMed]
- Ntoumanis, N.; Barkoukis, V.; Gucciardi, D.F.; Chan, D.K.C. Linking Coach Interpersonal Style With Athlete Doping Intentions and Doping Use: A Prospective Study. J. Sport Exerc. Psychol. 2017, 39, 188–198. [Google Scholar] [CrossRef] [PubMed][Green Version]
- Barkoukis, V.; Brooke, L.; Ntoumanis, N.; Smith, B.; Gucciardi, D.F. The Role of the Athletes’ Entourage on Attitudes to Doping. J. Sports Sci. 2019, 37, 2483–2491. [Google Scholar] [CrossRef] [PubMed]
- Elbe, A.-M.; Barkoukis, V. The Psychology of Doping. Curr. Opin. Psychol. 2017, 16, 67–71. [Google Scholar] [CrossRef]
- Barkoukis, V.; Lazuras, L.; Harris, P.R. The Effects of Self-Affirmation Manipulation on Decision Making about Doping Use in Elite Athletes. Psychol. Sport Exerc. 2015, 16, 175–181. [Google Scholar] [CrossRef]
- Morente-Sánchez, J.; Zabala, M. Doping in Sport: A Review of Elite Athletes’ Attitudes, Beliefs, and Knowledge. Sports Med. 2013, 43, 395–411. [Google Scholar] [CrossRef]
- Ntoumanis, N.; Dølven, S.; Barkoukis, V.; Boardley, I.D.; Hvidemose, J.S.; Juhl, C.B.; Gucciardi, D.F. Psychosocial Predictors of Doping Intentions and Use in Sport and Exercise: A Systematic Review and Meta-Analysis. Br. J. Sports Med. 2024, 58, 1145–1156. [Google Scholar] [CrossRef]
- Page, M.J.; McKenzie, J.E.; Bossuyt, P.M.; Boutron, I.; Hoffmann, T.C.; Mulrow, C.D.; Shamseer, L.; Tetzlaff, J.M.; Akl, E.A.; Brennan, S.E.; et al. The PRISMA 2020 Statement: An Updated Guideline for Reporting Systematic Reviews. BMJ 2021, 372, n71. [Google Scholar] [CrossRef]
- Amir-Behghadami, M.; Janati, A. Population, Intervention, Comparison, Outcomes and Study (PICOS) Design as a Framework to Formulate Eligibility Criteria in Systematic Reviews. Emerg. Med. J. 2020, 37, 387. [Google Scholar] [CrossRef] [PubMed]
- Borenstein, M.; Hedges, L.; Higgins, J.; Rothstein, H. Introduction to Meta-Analysis; John Wiley & Sons: Oxford, UK, 2009. [Google Scholar]
- Thomas, D.; Shabeek, A.A.; Ahmed, H.; Mohammed, M.; Kawaguchi-Suzuki, M.; Anderson, A.; Gopakumar, A.; Alhosani, R.; Khalifa, S.; Mottram, D. Impact of an Educational Flyer and Sensitization on Performance-Enhancement Attitudes of Bodybuilders in United Arab Emirates. F1000Research 2024, 12, 208. [Google Scholar] [CrossRef]
- da Silva, H.C.; de Miranda, Ê.F.; de Andrade, M.C.; Brandão, F.M.V.; Couteiro, R.P.; Brito, M.V.H.; Furtado, J.C.C.; Chaves, R.O. Heart at Risk: Electronic Educational Game with Information on Doping in Athletes. Rev. Bras. Med. Esporte 2019, 25, 379–383. [Google Scholar] [CrossRef]
- Barker, T.H.; Stone, J.C.; Sears, K.; Klugar, M.; Tufanaru, C.; Leonardi-Bee, J.; Aromataris, E.; Munn, Z. The Revised JBI Critical Appraisal Tool for the Assessment of Risk of Bias for Randomized Controlled Trials. JBI Evid. Synth. 2023, 21, 494–506. [Google Scholar] [CrossRef] [PubMed]
- Barker, T.H.; Habibi, N.; Aromataris, E.; Stone, J.C.; Leonardi-Bee, J.; Sears, K.; Hasanoff, S.; Klugar, M.; Tufanaru, C.; Moola, S.; et al. The Revised JBI Critical Appraisal Tool for the Assessment of Risk of Bias for Quasi-Experimental Studies. JBI Evid. Synth. 2024, 22, 378–388. [Google Scholar] [CrossRef] [PubMed]
- Ntoumanis, N.; Quested, E.; Patterson, L.; Kaffe, S.; Backhouse, S.H.; Pavlidis, G.; Whitaker, L.; Barkoukis, V.; Smith, B.J.; Staff, H.R.; et al. An Intervention to Optimise Coach-Created Motivational Climates and Reduce Athlete Willingness to Dope (CoachMADE): A Three-Country Cluster Randomised Controlled Trial. Br. J. Sports Med. 2021, 55, 213–219. [Google Scholar] [CrossRef]
- Manges, T.; Seidel, K.; Walter, N.; Schüler, T.; Elbe, A.-M. Answering the Call for Values-Based Anti-Doping Education—An Evidence-Informed Intervention for Elite Adolescent Athletes in Germany and Austria. Front. Sports Act. Living 2022, 4, 859153. [Google Scholar] [CrossRef]
- Nicholls, A.R.; Morley, D.; Thompson, M.A.; Huang, C.; Abt, G.; Rothwell, M.; Cope, E.; Ntoumanis, N. The Effects of the IPlayClean Education Programme on Doping Attitudes and Susceptibility to Use Banned Substances among High-Level Adolescent Athletes from the UK: A Cluster-Randomised Controlled Trial. Int. J. Drug Policy 2020, 82, 102820. [Google Scholar] [CrossRef]
- Galli, F.; Chirico, A.; Codella, R.; Zandonai, T.; Deplano, V.; De Maria, A.; Palombi, T.; Gotti, D.; Alivernini, F.; Mallia, L.; et al. “I Am on Top!”: An Interactive Intervention Program to Promote Self-Regulation Processes in the Prevention of the Use of Doping in Sports High Schools. Eur. J. Investig. Health Psychol. Educ. 2023, 13, 2630–2641. [Google Scholar] [CrossRef]
- Hurst, P.; King, A.; Massey, K.; Kavussanu, M.; Ring, C. A National Anti-Doping Education Programme Reduces Doping Susceptibility in British Athletes. Psychol. Sport Exerc. 2023, 69, 102512. [Google Scholar] [CrossRef]
- Deng, Z.; Guo, J.; Wang, D.; Huang, T.; Chen, Z. Effectiveness of the World Anti-Doping Agency’s e-Learning Programme for Anti-Doping Education on Knowledge of, Explicit and Implicit Attitudes towards, and Likelihood of Doping among Chinese College Athletes and Non-Athletes. Subst. Abus. Treat. Prev. Policy 2022, 17, 31. [Google Scholar] [CrossRef]
- Kavussanu, M.; Hatzigeorgiadis, A.; Elbe, A.-M.; Ring, C. The Moral Disengagement in Doping Scale. Psychol. Sport Exerc. 2016, 24, 188–198. [Google Scholar] [CrossRef]
- Kavussanu, M.; Ring, C. Moral Identity Predicts Doping Likelihood via Moral Disengagement and Anticipated Guilt. J. Sport Exerc. Psychol. 2017, 39, 293–301. [Google Scholar] [CrossRef] [PubMed]
- Nicholls, A.R.; Levy, A.R.; Meir, R.; Sanctuary, C.; Jones, L.; Baghurst, T.; Thompson, M.A.; Perry, J.L. The Development and Validation of the Adolescent Sport Drug Inventory (ASDI) among Athletes from Four Continents. Psychol. Assess. 2019, 31, 1279–1293. [Google Scholar] [CrossRef]
- Manges, T.; Walter, N.; Elbe, A.-M. Validierung Einer Skala Zur Erfassung Der Kollektiv-Moralischen Einstellung in Sportgruppen (KMES). Z. Sport. 2021, 28, 2–13. [Google Scholar] [CrossRef]
- Sipavičiūtė, B.; Šukys, S.; Dumčienė, A. Doping Prevention in Sport: Overview of Anti-Doping Education Programmes. Balt. J. Sport Health Sci. 2020, 2, 39–48. [Google Scholar] [CrossRef]
- Kavussanu, M. Moral Behaviour in Sport: A Critical Review of the Literature. Int. Rev. Sport Exerc. Psychol. 2008, 1, 124–138. [Google Scholar] [CrossRef]
- Lucidi, F.; Zelli, A.; Mallia, L.; Grano, C.; Russo, P.M.; Violani, C. The Social-Cognitive Mechanisms Regulating Adolescents’ Use of Doping Substances. J. Sports Sci. 2008, 26, 447–456. [Google Scholar] [CrossRef]
- Heuberger, J.A.A.C.; Henning, A.; Cohen, A.F.; Kayser, B. Dealing with Doping. A Plea for Better Science, Governance and Education. Br. J. Clin. Pharmacol. 2022, 88, 566–578. [Google Scholar] [CrossRef]
- Deci, E.L.; Ryan, R.M. The “What” and “Why” of Goal Pursuits: Human Needs and the Self-Determination of Behavior. Psychol. Inq. 2000, 11, 227–268. [Google Scholar] [CrossRef]
- Steward, B. Compliance, Adherence and Concordance: A Review of Engaging Patients in Their Treatment. Br. J. Hand Ther. 2004, 9, 88–95. [Google Scholar] [CrossRef]
- Collado-Mateo, D.; Lavín-Pérez, A.M.; Peñacoba, C.; Del Coso, J.; Leyton-Román, M.; Luque-Casado, A.; Gasque, P.; Fernández-del-Olmo, M.Á.; Amado-Alonso, D. Key Factors Associated with Adherence to Physical Exercise in Patients with Chronic Diseases and Older Adults: An Umbrella Review. Int. J. Environ. Res. Public Health 2021, 18, 2023. [Google Scholar] [CrossRef] [PubMed]
- Kavussanu, M.; Yukhymenko-Lescroart, M.A.; Elbe, A.M.; Hatzigeorgiadis, A. Integrating Moral and Achievement Variables to Predict Doping Likelihood in Football: A Cross-Cultural Investigation. Psychol. Sport Exerc. 2020, 47, 101518. [Google Scholar] [CrossRef]
- Miskulin, I.; Grbic, D.S.; Miskulin, M. Doping Attitudes, Beliefs, and Practices among Young, Amateur Croatian Athletes. Sports 2021, 9, 25. [Google Scholar] [CrossRef]
- Sekulic, D.; Tahiraj, E.; Zvan, M.; Zenic, N.; Uljevic, O.; Lesnik, B. Doping Attitudes and Covariates of Potential Doping Behaviour in High-Level Team-Sport Athletes; Gender Specific Analysis. J. Sports Sci. Med. 2016, 15, 606–615. [Google Scholar] [PubMed]
- Sripada, R.K.; Ready, D.J.; Ganoczy, D.; Astin, M.C.; Rauch, S.A.M. When to Change the Treatment Plan: An Analysis of Diminishing Returns in VA Patients Undergoing Prolonged Exposure and Cognitive Processing Therapy. Behav. Ther. 2020, 51, 85–98. [Google Scholar] [CrossRef]
- Moeller, N.C.; Oestergaard, L.; Rasmussen, M.G.B.; Schmidt-Persson, J.; Larsen, K.T.; Juhl, C.B. How to Get Children Moving? The Effectiveness of School-Based Interventions Promoting Physical Activity in Children and Adolescents—A Systematic Review and Meta-Analysis of Randomized Controlled- and Controlled Studies. Health Place 2024, 89, 103333. [Google Scholar] [CrossRef]
- Kwasnicka, D.; Dombrowski, S.U.; White, M.; Sniehotta, F. Theoretical Explanations for Maintenance of Behaviour Change: A Systematic Review of Behaviour Theories. Health Psychol. Rev. 2016, 10, 277–296. [Google Scholar] [CrossRef]
- Woolf, J.J. An Examination of Anti-Doping Education Initiatives from an Educational Perspective: Insights and Recommendations for Improved Educational Design. Perform. Enhanc. Health 2020, 8, 100178. [Google Scholar] [CrossRef]
- Pöppel, K. Efficient Ways to Combat Doping in a Sports Education Context!? A Systematic Review on Doping Prevention Measures Focusing on Young Age Groups. Front. Sports Act. Living 2021, 3, 673452. [Google Scholar] [CrossRef]
- Petróczi, A.; Boardley, I.D. The Meaning of “Clean” in Anti-Doping Education and Decision Making: Moving Toward Integrity and Conceptual Clarity. Front. Sports Act. Living 2022, 4, 869704. [Google Scholar] [CrossRef]




| Study | Item | Total | ||||||||||||
|---|---|---|---|---|---|---|---|---|---|---|---|---|---|---|
| 1 | 2 | 3 | 4 | 5 | 6 | 7 | 8 | 9 | 10 | 11 | 12 | 13 | ||
| Ntoumanis et al. [43] | Yes | Yes | Yes | No | No | Yes | Yes | Yes | Yes | Yes | Yes | Yes | Yes | 11 |
| Manges et al. [44] | Yes | Unclear | Yes | Yes | No | Yes | No | Yes | Yes | Yes | No | Yes | Yes | 10.5 |
| Nicholls et al. [45] | Yes | Yes | No | Yes | No | Yes | Yes | Yes | Yes | Yes | No | Yes | Yes | 10 |
| Kavussanu et al. [23] | Yes | Yes | Yes | Yes | No | Yes | No | Yes | Yes | Yes | Yes | Yes | Yes | 11 |
| Kavussanu et al. [16] | Yes | Yes | Yes | Yes | No | Yes | No | Yes | Yes | Yes | Yes | Yes | Yes | 11 |
| Study | Item | Total | ||||||||
|---|---|---|---|---|---|---|---|---|---|---|
| 1 | 2 | 3 | 4 | 5 | 6 | 7 | 8 | 9 | ||
| Galli et al. [46] | Yes | Yes | Yes | Yes | Yes | Yes | Yes | No | Yes | 8 |
| Hurst et al. [47] | Yes | No | Yes | Yes | Yes | Yes | Yes | Yes | Yes | 8 |
| Thomas et al. [39] | Yes | No | Yes | Yes | Yes | Yes | Yes | Yes | Yes | 8 |
| da Silva et al. [40] | Yes | No | Yes | Yes | Yes | Yes | No | Yes | Yes | 7 |
| Deng et al. [48] | Yes | Yes | Yes | Yes | Yes | Yes | Yes | No | Yes | 8 |
| Reference | Population | Method | Intervention | Results |
|---|---|---|---|---|
| Ntoumanis et al. [43], United Kingdom (UK), Greece, and Australia | Athletes IG n = 444 (38.7% ♀, 43.2% ♂, 18.1% omitted). Age (M ±SD): 22.45 ±11.40 y. Athletes CG n = 462 (34.8% ♀, 63.6% ♂, 0.2% other, 1.4% omitted). Age (M ±SD): 18.62 ±7.07 y. Sport level: Not specified. | Study design: Cluster randomized controlled trial design with parallel group, two-condition, superiority trial. Three measures: baseline (pre-intervention), end of intervention (12 weeks), and follow-up (2 months post-intervention). Measures: 1. Willingness to take prohibited substances; 2. Doping moral disengagement; 3. Attitudes toward doping; 4. Efficacy to resist doping-related temptations; 5. Behaviors against inadvertent doping; 6. Anti-doping knowledge. 7. Perceived coach need-related support; 8. Perceived coach need-related thwarting; 9. Basic psychological needs-related satisfaction; 10. Basic psychological needs frustration; 11. Use of prohibited substances. | Name of the intervention (IG): Motivational enrichment anti-doping education. Domain: Cognitive and affective. Duration: Twelve 60 min sessions (one per week). Characteristics: Standard anti-doping education enrichment with motivational content about the supportive communication style of coaches. 1. Standard anti-doping education. 2. Introduction to the need for supportive communication. 3. How to apply the need for supportive communication to discuss doping-related issues with athletes. Athlete’s role: Passive. Name of the intervention (CG): Standard anti-doping education. Domain: Cognitive. Characteristics: A 60 min single-session using WADA’s NADO standard anti-doping education program. Athlete’s role: Passive. | Athletes Willingness to take prohibited substances (M ± SD) ↓* IG (T1 = 1.56 ± 0.99; T2 = 1.49 ± 0.85) vs. CG (T1 = 1.66 ± 1.10; T2 = 1.61 ± 1.01). ↔ IG (T2 = 1.49 ± 0.85; T3 = 1.42 ± 0.71) vs. CG (T2 = 1.61 ± 1.01; T3 = 1.57 ± 0.93). Doping moral disengagement (M ± SD) ↔ IG (T1 = 1.56 ± 0.77; T2 = 1.53 ± 0.83) vs. CG (T1 = 1.66 ± 0.85; T2 = 1.64 ± 0.87). ↔ IG (T2 = 1.53 ± 0.83; T3 = 1.53 ± 0.69) vs. CG (T2 = 1.64 ± 0.87; T3 = 1.57 ± 0.81). Attitudes toward doping (M ± SD) ↔ IG (T1 = 1.49 ± 0.74; T2 = 1.46 ± 0.75) vs. CG (T1 = 1.62 ± 0.82; T2 = 1.57 ± 0.91). ↔ IG (T2 = 1.46 ± 0.75; T3 = 1.46 ± 0.73) vs. CG (T2 = 1.57 ± 0.91; T3 = 1.55 ± 0.90). Efficacy to resist doping-related temptations (M ± SD) ↔ IG (T1 = 5.82 ± 1.83; T2 = 5.74 ± 1.94) vs. CG (T1 = 5.29 ± 2.08; T2 = 5.46 ± 2.05). ↔ IG (T2 = 5.74 ± 1.94; T3 = 5.79 ± 1.91) vs. CG (T2 = 5.46 ± 2.05; T3 = 5.41 ± 2.11). Behaviors against inadvertent doping (M ± SD) ↔ IG (T1 = 0.52 ± 1.16; T2 = 0.64 ± 1.16) vs. CG (T1 = 0.47 ± 0.99; T2 = 0.69 ± 1.28). ↔ IG (T2 = 0.64 ± 1.16; T3 = 0.58 ± 1.10) vs. CG (T2 = 0.69 ± 1.28; T3 = 0.74 ± 1.30). Anti-doping knowledge (M ± SD) ↔ IG (T1 = 2.53 ± 1.56; T2 = 2.73 ± 1.53) vs. CG (T1 = 2.51 ± 1.42; T2 = 2.56 ± 1.49). ↑* IG (T2 = 2.73 ± 1.53; T3 = 3.03 ± 1.49) vs. CG (T2 = 2.56 ± 1.49; T3 = 2.59 ± 1.58). Perceived coach need-related support (M ± SD) ↔ IG (T1 = 5.83 ± 0.78; T2 = 5.79 ± 0.88) vs. CG (T1 = 5.72 ± 0.82; T2 = 5.68 ± 0.84). ↔ IG (T2 = 5.79 ± 0.88; T3 = 5.39 ± 0.82) vs. CG (T2 = 5.68 ± 0.84; T3 = 5.87 ± 0.83). Perceived coach need-related thwarting (M ± SD) ↔ IG (T1 = 2.34 ± 0.88; T2 = 2.22 ± 0.92) vs. CG (T1 = 2.40 ± 0.93; T2 = 2.35 ± 0.90). ↔ IG (T2 = 2.22 ± 0.92; T3 = 2.08 ± 0.88) vs. CG (T2 = 2.22 ± 0.92; T3 = 2.16 ± 0.92). Basic psychological needs-related satisfaction (M ± SD) ↔ IG (T1 = 5.59 ± 0.98; T2 = 5.64 ± 0.94) vs. CG (T1 = 5.54 ± 0.85; T2 = 5.48 ± 0.90). ↔ IG (T2 = 5.64 ± 0.94; T3 = 5.77 ± 0.91) vs. CG (T2 = 5.48 ± 0.90; T3 = 5.62 ± 0.97). Basic psychological needs-related frustration (M ± SD) ↓* IG (T1 = 2.41 ± 1.19; T2 = 2.13 ± 0.97) vs. CG (T1 = 2.51 ± 1.20; T2 = 2.39 ± 1.13). ↔ IG (T2 = 2.13 ± 0.97; T3 = 1.13 ± 1.04) vs. CG (T2 = 2.39 ± 1.13; T3 = 2.32 ± 1.30). |
| Manges et al. [44], Germany and Austria | IG values (IGv) k = 14; n = 134 (41.8% ♀, 57.5% ♂). Age (M ± SD): 15.59 ± 1.54 y. IG information (IGi) k = 9; n = 114 (33.3% ♀, 65.8% ♂). Age (M ± SD): 15.38 ± 1.67 y. CG k = 7; n = 73 (64.4% ♀, 35.6% ♂). Age (M ± SD): 15.15 ± 1.60 y. Sport level: IGv: Regional = 23.9%; National = 50.7%; International = 23.9%; Other = 1.5%. IGi: Regional = 22.8%; National = 65.8%; International = 10.5%; Other = 0.9%. CG: Regional = 53.4%; National = 42.5%; International = 2.7%; Other = 1.4%. | Study design: Cluster randomized control trial with two conditions and control group: IGv, IGi, and CG. Three time measures: pre-intervention (IGv, IGi and CG), post-intervention (IGV, IGi and CG), and follow-up 4 months post-intervention (IGv and IGi). Measures: 1. Doping susceptibility; 2. Doping intention; 3. Moral disengagement; 4. Anticipated guilt; 5. Empathy; 6. Collective moral norms. | Name of the intervention (IGv): Values-based intervention. Domain: Cognitive and affective. Duration: Six 45 min sessions (one per week). Characteristics: 1. Doping, yes or no? (introduction); 2. Anticipated guilt; 3. Empathy; 4. Moral disengagement; 5. Collective moral norms; 6. Summary of all the topics and conclusion. Athlete’s role: Active. Name of the intervention (IGi): Information-based intervention. Domain: Cognitive. Duration: Six 45 min sessions (one per week). Characteristics: 1. Doping, what is it? (introduction); 2. The prohibited substances list; 3. Consequences of doping; 4. Doping control procedure; 5. Supplements and related risks; 6. Summary and internet resources. Athlete’s role: Active. CG: No intervention. | Doping susceptibility (M ± SD) ↔ IGv (T1 = 3.46 ± 2.06; T2 = 3.36 ± 1.95) vs. CG (T1 = 2.91 ± 1.84; T2 = 3.56 ± 1.67). ↔ IGi (T1 = 3.39 ± 2.08; T2 = 3.33 ± 2.17) vs. CG (T1 = 2.91 ± 1.84; T2 = 3.56 ± 1.67). IGv ↔ T1 (3.46 ± 2.06) vs. T2 (3.36 ± 1.95). IGv ↔ T2 (3.36 ± 1.95) vs. T3 (3.48 ± 2.08). IGi ↔ T1 (3.39 ± 2.08) vs. T2 (3.33 ± 2.17). IGi ↔ T2 (3.33 ± 2.17) vs. T3 (3.42 ± 2.21). Doping intention (M ± SD) ↔ IGv (T1 = 2.17 ± 1.51; T2 = 2.05 ± 1.41) vs. CG (T1 = 2.11 ± 1.34; T2 = 2.45 ± 1.55). ↔ IGi (T1 = 1.72 ± 1.11; T2 = 1.72 ± 0.98) vs. CG (T1 = 2.11 ± 1.34; T2 = 2.45 ± 1.55). IGv ↔ T1 (2.17 ± 1.51) vs. T2 (2.05 ± 1.41). IGv ↔ T2 (2.05 ± 1.41) vs. T3 (2.05 ± 1.29). IGi ↔ T1 (1.72 ± 1.11) vs. T2 (1.72 ± 0.98). IGi ↔ T2 (1.72 ± 0.98) vs. T3 (1.56 ± 0.90). Moral disengagement (M ± SD) ↓* IGv (T1 = 2.05 ± 0.90; T2 = 1.71 ± 0.69) vs. CG (T1 = 1.91 ± 0.92; T2 = 1.95 ± 0.86). IGi (T1 = 1.91 ± 0.78; T2 = 1.66 ± 0.68) vs. CG (T1 = 1.91 ± 0.92; T2 = 1.95 ± 0.86). IGv ↓* T1 (2.05 ± 0.90) vs. T2 (1.71 ± 0.69). IGv ↔ T2 (1.71 ± 0.69) vs. T3 (2.05 ± 1.29). IGi ↓* T1 (1.91 ± 0.78) vs. T2 (1.66 ± 0.68). IGi ↔ T2 (1.66 ± 0.68) vs. T3 (1.56 ± 0.90). Anticipated guilt (M ± SD) ↑* IGv (T1 = 5.79 ± 1.40; T2 = 6.16 ± 0.99) vs. CG (T1 = 6.05 ± 1.20; T2 = 5.93 ± 1.46). ↔ IGi (T1 = 6.06 ± 1.23; T2 = 6.13 ± 1.33) vs. CG (T1 = 6.05 ± 1.20; T2 = 5.93 ± 1.46). IGv ↑* T1 (5.79 ± 1.40) vs. T2 (6.16 ± 0.99). IGv ↓* T2 (6.16 ± 0.99) vs. T3 (5.34 ± 0.87). IGi ↔ T1 (6.06 ± 1.23) vs. T2 (6.13 ± 1.33). IGi ↔ T2 (6.13 ± 1.33) vs. T3 (6.02 ± 1.82). Empathy (M ± SD) ↔ IGv (T1 = 3.49 ± 0.48; T2 = 3.45 ± 0.57) vs. CG (T1 = 3.48 ± 0.53; T2 = 3.65 ± 0.55). ↔ IGi (T1 = 3.42 ± 0.61; T2 = 3.47 ± 0.56) vs. CG (T1 = 3.48 ± 0.53; T2 = 3.65 ± 0.55). IGv ↔ T1 (3.49 ± 0.48) vs. T2 (3.45 ± 0.57). IGv ↑* T2 (3.45 ± 0.57) vs. T3 (3.82 ± 0.54). IGi ↔ T1 (=3.42 ± 0.61) vs. T2 (3.47 ± 0.56). IGi ↔ T2 (3.47 ± 0.56) vs. T3 (3.43 ± 0.73). Collective moral norms (M ± SD) ↔ IGv (T1 = 4.10 ± 0.70; T2 = 4.10 ± 0.88) vs. CG (T1 = 3.98 ± 0.86; T2 = 4.05 ± 0.74). ↔ IGi (T1 = 4.20 ± 0.73; T2 = 4.28 ± 0.69) vs. CG (T1 = 3.98 ± 0.86; T2 = 4.05 ± 0.74). IGv ↔ T1 (4.10 ± 0.70) vs. T2 (4.10 ± 0.88). IGv ↔ T2 (4.10 ± 0.88) vs. T3 (4.19 ± 0.79). IGi ↔ T1 (=4.20 ± 0.73) vs. T2 (4.28 ± 0.69). IGi ↔ T2 (4.28 ± 0.69) vs. T3 (4.24 ± 0.67). |
| Nicholls et al. [45], United Kingdom (UK) | IG Presentation (IGp) n = 254 (6.3% ♀, 93.7% ♂). Age (M ± SD): 16.5 ± 1.1 y. IG Online (IGo) n = 251 (20.7% ♀, 79.3% ♂). Age (M ± SD): 15.9 ± 1.3 y. IG Presentation Online (IGo-p) n = 262 (100% ♂). Age (M ± SD): 16.2 ± 1.3 y. CG n = 314 (34.7% ♀, 65.3% ♀). Age (M ± SD): 15.9 ± 1.6 y. Sport level: High-level adolescent athletes. | Study design: Cluster randomized controlled trial with three conditions and control group: IGp, IGo, IGo-p, and CG. Three time measures: pre, post-intervention, and follow-up (8 weeks after intervention). Measures: The Adolescent Sport Doping Inventory two dimensions: 1. Doping attitudes; 2. Doping susceptibility. | Name of intervention (IGp): Presentation iPlayClean. Domain: Cognitive and affective. Duration: Two 90 min face-to-face sessions for athletes (8 weeks between sessions) and one 60 min face-to-face session for parents and coaches for IG presentation. Characteristics: (1) Introduction to doping; (2) Goals; (3) Motivation; (4) Doping myths. (5) Playing fair; (6) Resisting temptations; (7) Making the right decisions; (8) Drug testing and health; (9) Nutritional supplements; (10) Coping strategies. Athlete’s role: Active. Name of intervention (IGo): Online iPlayClean. Domain: Cognitive and affective. Duration: Online access to IPlayClean website. Characteristics: Free interaction on the IPlayClean web platform. Athlete’s role: Active. Name of intervention (IGp-o): Online presentation iPlayClean. Domain: Cognitive and affective. Duration: Online access to IPlayClean website and two 90 min face-to-face sessions for athletes (8 weeks between sessions). Sixty minute face-to-face session for parents and coaches for IG presentation. Characteristics: Free interaction on the IPlayClean web platform and 10 of the same modules as the presentation. Athlete’s role: Active. CG: No intervention | Doping attitudes (M ± SD) ↓* IGp (T1 = 10.50 ± 7.30; T2 = 5.80 ± 2.70) vs. CG (T1 = 9.80 ± 5.90; T2 = 10.70 ± 6.70). ↓* IGo (T1 = 11.10 ± 6.70; T2 = 6.00 ± 3.20) vs. CG (T1 = 9.80 ± 5.90; T2 = 10.70 ± 6.70). ↓* IGo-p (T1 = 9.30 ± 6.30; T2 = 6.40 ± 3.10) vs. CG (T1 = 9.80 ± 5.90; T2 = 10.70 ± 6.70). ↓* IGp (T1 = 10.50 ± 7.30; T3 = 4.90 ± 1.50) vs. CG (T1 = 9.80 ± 5.90; T3 = 9.90 ± 6.20). ↓* IGo (T1 = 11.10 ± 6.70; T3 = 6.40 ± 3.10) vs. CG (T1 = 9.80 ± 5.90; T3 = 9.90 ± 6.20). ↓* IGo-p (T1 = 9.30 ± 6.30; T3 = 6.60 ± 3.00) vs. CG (T1 = 9.80 ± 5.90; T3 = 9.90 ± 6.20). Doping susceptibility (M ± SD) ↓* IGp (T1 = 9.70 ± 6.60; T2 = 7.50 ± 3.70) vs. CG (T1 = 12.50 ± 8.20; T2 = 12.20 ± 7.30). ↓* IGo (T1 = 12.30 ± 8.10; T2 = 9.10 ± 5.40) vs. CG (T1 = 12.50 ± 8.20; T2 = 12.20 ± 7.30). ↓* IGo-p (T1 = 15.20 ± 10.40; T2 = 8.70 ± 4.40) vs. CG (T1 = 12.50 ± 8.20; T2 = 12.20 ± 7.30). ↓* IGp (T1 = 9.70 ± 6.60; T3 = 6.30 ± 2.70) vs. CG (T1 = 12.50 ± 8.20; T3 = 12.50 ± 7.90). ↔ IGo (T1 = 12.30 ± 8.10; T3 = 9.80 ± 6.10) vs. CG (T1 = 12.50 ± 8.20; T3 = 12.50 ± 7.90). ↔ IGo-p (T1 = 15.20 ± 10.40; T3 = 10.90 ± 6.30) vs. CG (T1 = 12.50 ± 8.20; T3 = 12.50 ± 7.90). |
| Kavussanu et al. [23], United Kingdom (UK) and Greece | United Kingdom (UK) IG Moral (IGm) k = 6; n = 66 (24.2% ♀, 75.8% ♂). Age (M ± SD): 16.61 ± 0.68 y. IG Education (IGe) k = 6; n = 55 (38.2% ♀, 61.8% ♂). Age (M ± SD): 18.00 ± 1.83 y. Greece (Gr) IGm k = 10; n = 102 (35.3% ♀, 64.7% ♂). Age (M ± SD): 18.19 ± 2.49 y. IGe k = 11; n = 80 (36.3% ♀, 63.7% ♂). Age (M ± SD): 19.16 ± 1.69 y Sport level: Not specified. | Study design: Cluster randomized control trial with two conditions (moral and intervention) and two countries (UK and Greece). Four time point measures: pre-test, post-test, 3 months post-test, and 6 months post-test. Measures: 1. Doping likelihood; 2. Moral identity; 3. Moral disengagement; 4. Moral atmosphere; 5. Anticipated guilt. | Name of intervention: Moral intervention. Domain: Affective. Duration: Six 1 h sessions. Characteristics: (a) Moral identity: 1. Success in sport. 2. Values in sport. (b) Moral disengagement: 3. Justification for doping. 4. Consequences of doping for others. (c) Moral atmosphere: 5. The culture of the team. 6. Course conclusion. Athlete’s role: Active. Name of intervention: Educational intervention. Domain: Cognitive. Duration: Six 1 h sessions. Characteristics: 1. Introduction to doping; 2. Doping control; 3. Banned substances; 4. Sport supplements; 5. Nutrition; 6. Whistleblowing. Athlete’s role: Active. | Doping likelihood (M ± SD) IGm ↓* T1 (UK: 2.37 ± 1.49; Gr: 2.36 ± 1.40) vs. T2 (UK: 1.97 ± 1.22; Gr: 1.73 ± 0.97). IGm ↔ T2 (UK: 1.97 ± 1.22; Gr: 1.73 ± 0.97) vs. T3 (UK: 1.83 ± 1.13; Gr: 1.68 ± 0.92). IGm ↔ T3 (UK: 1.83 ± 1.13; Gr: 1.68 ± 0.92) vs. T4 (UK: 1.68 ± 1.13; Gr: 1.54 ± 0.82). IGe ↓* T1 (UK: 2.88 ± 1.69; Gr: 2.30 ± 1.17) vs. T2 (UK: 2.37 ± 1.56; Gr: 1.94 ± 1.13). IGe ↔ T2 (UK: 2.37 ± 1.56; Gr: 1.94 ± 1.13) vs. T3 (UK: 2.00 ± 1.39; Gr: 1.96 ± 1.21). IGe ↔ T3 (UK: 2.00 ± 1.39; Gr: 1.96 ± 1.21) vs. T4 (UK: 1.85 ± 1.12; Gr: 2.13 ± 1.45). Moral identity (M ± SD) IGm ↔ T1 (UK: 5.65 ± 1.16; Gr: 5.76 ± 1.19) vs. T2 (UK: 5.62 ± 1.21; Gr: 6.23 ± 0.96). IGm ↔ T2 (UK: 5.62 ± 1.21; Gr: 6.23 ± 0.96) vs. T3 (UK: 5.66 ± 1.12; Gr: 6.18 ± 0.82). IGm ↔ T3 (UK: 5.66 ± 1.12; Gr: 6.18 ± 0.82) vs. T4 (UK: 5.81 ± 1.26; Gr: 6.27 ± 0.70). IGe ↔ T1 (UK: 5.86 ± 1.08; Gr: 5.91 ± 0.95) vs. T2 (UK: 6.24 ± 0.84; Gr: 6.00 ± 0.96). IGe ↔ T2 (UK: 6.24 ± 0.84; Gr: 6.00 ± 0.96) vs. T3 (UK: 6.15 ± 1.05; Gr: 6.00 ± 0.84). IGe ↔ T3 (UK: 6.15 ± 1.05; Gr: 6.00 ± 0.84) vs. T4 (UK: 6.12 ± 1.01; Gr: 5.72 ± 1.12). Moral disengagement (M ± SD) IGm ↓* T1 (UK: 2.37 ± 0.87; Gr: 1.91 ± 0.78) vs. T2 (UK: 2.15 ± 0.88; Gr: 1.71 ± 0.75). IGm ↔ T2 (UK: 2.15 ± 0.88; Gr: 1.71 ± 0.75) vs. T3 (UK: 2.09 ± 1.10; Gr: 1.62 ± 0.64). IGm ↔ T3 (UK: 2.09 ± 1.10; Gr: 1.62 ± 0.64) vs. T4 (UK: 1.92 ± 0.93; Gr: 1.49 ± 0.60). IGe ↓* T1 (UK: 2.47 ± 0.88; Gr: 2.23 ± 1.05) vs. T2 (UK: 2.07 ± 0.66; Gr: 1.73 ± 0.68). IGe ↔ T2 (UK: 2.07 ± 0.66; Gr: 1.73 ± 0.68) vs. T3 (UK: 2.09 ± 0.89; Gr: 1.85 ± 0.83). IGe ↔ T3 (UK: 2.09 ± 0.89; Gr: 1.85 ± 0.83) vs. T4 (UK: 1.86 ± 0.74; Gr: 1.81 ± 0.79). Moral atmosphere (M ± SD) IGm ↔ T1 (UK: 2.34 ± 1.01; Gr: 2.61 ± 1.11) vs. T2 (UK: 2.30 ± 1.08; Gr: 2.25 ± 0.89). IGm ↔ T2 (UK: 2.30 ± 1.08; Gr: 2.25 ± 0.89) vs. T3 (UK: 1.94 ± 0.92; Gr: 2.11 ± 0.88). IGm ↔ T3 (UK: 1.94 ± 0.92; Gr: 2.11 ± 0.88) vs. T4 (UK: 1.96 ± 1.00; Gr: 2.02 ± 0.81). IGe ↔ T1 (UK: 2.78 ± 1.37; Gr: 2.77 ± 1.06) vs. T2 (UK: 2.45 ± 1.09; Gr: 2.53 ± 0.99). IGe ↔ T2 (UK: 2.45 ± 1.09; Gr: 2.53 ± 0.99) vs. T3 (UK: 2.06 ± 0.98; Gr: 2.65 ± 1.19). IGe ↔ T3 (UK: 2.06 ± 0.98; Gr: 2.65 ± 1.19) vs. T4 (UK: 1.90 ± 0.87; Gr: 2.37 ± 1.00). Anticipated guilt (M ± SD) IGm ↑* T1 (UK: 5.34 ± 1.45; Gr: 5.37 ± 1.28) vs. T2 (UK: 5.56 ± 1.48; Gr: 5.68 ± 1.28). IGm ↔ T2 (UK: 5.56 ± 1.48; Gr5.68 ± 1.28) vs. T3 (UK: 5.84 ± 1.42; Gr: 5.74 ± 1.24) IGm ↔ T3 (UK: 5.84 ± 1.42; Gr: 5.74 ± 1.24) vs. T4 (UK: 5.83 ± 1.62; Gr: 5.54 ± 1.46). IGe ↑* T1 (UK: 5.24 ± 1.51; Gr: 5.07 ± 1.45) vs. T2 (UK: 5.80 ± 1.19; Gr: 5.32 ± 1.41). IGe ↔ T2 (UK: 5.80 ± 1.19; Gr: 5.32 ± 1.41) vs. T3 (UK: 5.94 ± 1.41; Gr: 5.32 ± 1.40). IGe ↔ T3 (UK: 5.94 ± 1.41; Gr: 5.32 ± 1.40) vs. T4 (UK: 5.99 ± 1.34; Gr: 5.41 ± 1.43). |
| Kavussanu et al. [16], United Kingdom (UK) and Greece | IG Psychological (IGp) k = 10; n = 109 (38.5% ♀, 58.7% ♂; 2.8% not specified). Age (M ± SD): 17.68 ± 1.76 y. IG Education (IGe) k = 9; n = 99 (48.5% ♀, 51.5% ♂). Age (M ± SD): 18.54 ± 2.51 y. Sport level: Not specified. | Study design: Cluster randomized control trial with two conditions (psychological and intervention) and parallel group (UK and Greece). Three time point measures: pre-test, post-test, and 2 month follow-up. Measures: 1. Doping likelihood; 2. Anticipated guilt; 3. Moral disengagement; 4. Self-regulatory efficacy. | Name of intervention: Psychological intervention. Domain: Affective. Duration: Six 1 h sessions. Characteristics: 1. Moral agency; 2. Emotions; 3. Moral disengagement; 4. Moral engagement; 5. Self-regulatory efficacy; 6. Course review and conclusion. Athlete’s role: Active. Name of intervention: Educational intervention. Domain: Cognitive. Duration: Six 1 h sessions. Characteristics: 1. Introduction to WADA and regulation of doping in sport; 2. Doping control process; 3. Prohibited substances and their side effects; 4. The risks of supplements; 5. The role of healthy nutrition in terms of benefiting performance and recovery; 6. Whistleblowing and its role in protecting clean athletes. Athlete’s role: Active. | Doping likelihood (M ± SD) IGp ↓* T1 (2.53 ± 1.62) vs. T2 (1.76 ± 1.05). IGp ↔ T2 (1.76 ± 1.05) vs. T3 (1.76 ± 0.96). IGe ↔ T1 (2.51 ± 1.51) vs. T2 (2.15 ± 1.36). IGe ↓* T2 (2.15 ± 1.36) vs. T3 (1.88 ± 1.24). T1 to T2 changes ↓* IGp (2.53 ± 1.62; 1.76 ± 1.05) vs. IGe (2.51 ± 1.51; 2.15 ± 1.36). T2 to T3 changes ↓* IGe (2.15 ± 1.36; 1.88 ± 1.24) vs. IGp (1.76 ± 1.05; 1.76 ± 0.96). Anticipated guilt (M ± SD) IGp (pp) ↑* T1 (4.85 ± 2.11) vs. T2 (5.82 ± 1.54). IGp ↑* T2 (5.82 ± 1.54) vs. T3 (6.41 ± 0.83). IGe ↔ T1 (4.95 ± 1.74) vs. T2 (5.36 ± 1.56). IGe ↑* T2 (5.36 ± 1.56) vs. T3 (5.45 ± 1.62). T1 to T2 changes ↑* IGp (4.85 ± 2.11; 5.82 ± 1.54) vs. IGe (4.95 ± 1.74; 5.36 ± 1.56). T2 to T3 changes ↓* IGp (5.82 ± 1.54; 6.41 ± 0.83) vs. IGe (5.36 ± 1.56; 5.45 ± 1.62). Moral disengagement (M ± SD) IGp ↓* T1 (2.17 ± 0.99) vs. T2 (1.83 ± 0.74). IGp ↓* T2 (1.83 ± 0.74) vs. T3 (1.66 ± 0.72). IGe ↓* T1 (2.34 ± 1.07) vs. T2 (1.95 ± 0.98). IGe ↔ T2 (1.95 ± 0.98) vs. T3 (1.96 ± 0.92). T1 to T2 changes ↓* IGp (2.17 ± 0.99; 1.83 ± 0.74) vs. IGe (2.34 ± 1.07; 1.95 ± 0.98). T2 to T3 changes ↔ IGp (1.83 ± 0.74; 1.66 ± 0.72) vs. IGe (1.95 ± 0.98; 1.96 ± 0.92). Self-regulatory efficacy (mean ± SD) IGp (pp) ↓* T1 (5.39 ± 1.55) vs. T2 (5.06 ± 1.95). IGp ↔ T2 (5.06 ± 1.95) vs. T3 (5.43 ± 1.87). IGe ↔ T1 (4.76 ± 1.84) vs. T2 (5.17 ± 1.80). IGe ↔ T2 (5.17 ± 1.80) vs. T3 (5.29 ± 1.65). T1 to T2 changes ↑* IGe (4.76 ± 1.84; 5.17 ± 1.80) vs. IGp (5.39 ± 1.55; 5.06 ± 1.95). T2 to T3 changes ↔ IGe (5.17 ± 1.80; 5.29 ± 1.65) vs. IGp (5.06 ± 1.95; 5.43 ± 1.87). |
| Galli et al. [46], Italy | IG n = 167 (37.7% ♀, 62.3% ♂) Age (M ± SD): 17.51 ± 0.58 y. CG n = 112 (42% ♀, 58% ♂). Age (M ± SD): 17.65 ± 1.0 y. Sport level: IG: Amateur = 10.2%; Local = 3.6%; Regional = 37.1%; National = 38.9%; International = 6.0%; Not specified = 4.2%. CG: Amateur = 15.2%; Local = 13.4%; Regional = 35.7%; National = 19.6%; International = 7.1%; Not specified = 8.9%. | Study design: Quasi-experimental longitudinal design (two groups). Pre-test and post-test measures for both groups (intervention and control). Measures: 1. Doping intention; 2. Self-regulatory efficacy to resist social pressure towards the use of substances; 3. Moral disengagement; 4. Doping knowledge. | Name of the intervention: “Serious Game” (virtual video game). Domain: Cognitive and affective. Duration: Four 90 min sessions (one per month). Characteristics: Simulation of track and field athlete’s everyday life, four weeks before relevant competition. 1. Introduction to the “serious game”; 2. Play and discussion about the “serious game”; 3. Discussion about results of the serious game; 4. Doping knowledge class and discussion. Athlete’s role: Active. CG: No intervention. | Doping intention (M ± SD) ↔ IG T1 (=2.72 ± 1.39) vs. T2 (2.57 ± 1.44). ↔ CG T1 (2.51 ± 1.37) vs. T2 (2.67 ± 1.47). ↓* IG (T1 = 2.72 ± 1.39; T2 = 2.57 ± 1.44) vs. CG (T1 = 2.51 ± 1.37; T2 = 2.67 ± 1.47). Self-regulatory efficacy to resist social pressure towards the use of substances (M ± SD) ↓* IG T1 (5.52 ± 1.54) vs. T2 (5.12 ± 1.86). ↓* CG T1 (5.28 ± 1.82) vs. T2 (4.89 ± 1.88). ↔ IG (T1 = 5.52 ± 1.54; T2 = 5.12 ± 1.86) vs. CG (T1 = 5.28 ± 1.82; T2 = 4.89 ± 1.88). Moral disengagement (M ± SD) ↓* IG T1 (1.77 ± 0.51) vs. T2 (1.61 ± 0.52). ↓* CG T1 (1.64 ± 0.64) vs. T2 (1.57 ± 0.62). ↔ IG (T1 = 1.77 ± 0.51; T2 = 1.61 ± 0.52) vs. CG (T1 = 1.64 ± 0.64; T2 = 1.57 ± 0.62). Doping knowledge (M ± SD) ↔ IG T1 (6.59 ± 1.37) vs. T2 (7.16 ± 1.38). ↔ CG T1 (6.58 ± 1.74) vs. T2 (6.42 ± 1.92). ↑* IG (T1 = 6.59 ± 1.37; T2 = 7.16 ± 1.38) vs. CG (T1 = 6.58 ± 1.74; T2 = 6.42 ± 1.92). “Serious game” mediation effect Doping intention T1 → serious game scores → doping intention T2 (β = 0.13, 95% CI [0.06, 0.23]). |
| Deng et al. [48], China | IG athletes n = 16 (50% ♀, 50% ♂). Age (M ± SD): 20.7 ± 2.33 y. IG non-athletes n = 16 (50% ♀, 50% ♂). Age (M ± SD): 22.5 ± 2.94 y. CG athletes n = 16 (50% ♀, 50% ♂). Age (M ± SD): 21.81 ± 3.12 y. CG non-athletes n = 16 (50% ♀, 50% ♂). Age (M ± SD): 24.75 ± 3.64 y. Sport level: Intervention group: College first-level athletes = 50%; Non-athletes = 50%. Control group: College first-level athletes = 50%; Non-athletes = 50%. | Study design: Quasi-experimental design (intervention and control group). Pre-test–post-test measures. Measures: 1. ALPHA test (doping knowledge); 2. Performance enhancement attitude scale (attitudes towards doping); 3. Doping likelihood; 4. Picture-based doping brief implicit association test (BIAT, reaction time and error rate for judging pictures about doping and healthy food); 5. Functional near-infrared spectroscopy to monitor BIAT tasks. | Name of the intervention: Athlete Learning Program about Health and Anti-Doping (ALPHA). Domain: Cognitive. Duration: A single session to learn the eight ALPHA modules. All interventions had a mean 80 min duration. Characteristics: Eight modules: 1. The doping control process; 2. Whereabouts of athletes; 3. Therapeutic use exemptions (TUEs); 4. Results management; 5. Medical reasons not to dope; 6. Ethical reasons not to dope; 7. Practical help to stay clean; 8. How to deal with pressure. Athlete’s role: Passive. CG: No intervention. | Doping knowledge (M ± SD) IG ↑* T1 (non-athlete = 9.50 ± 1.46; athlete = 10.13 ± 1.31) vs. T2 (non-athlete = 11.19 ± 0.75; athlete = 11.13 ± 1.02). CG ↔ T1 (non-athlete = 9.06 ± 2.18; athlete = 10.06 ± 1.12) vs. T2 (non-athlete = 8.94 ± 2.02; athlete = 10.12 ± 1.26). IG ↔ athletes (T1 = 10.13 ± 1.31; T2 = 11.13 ± 1.02) vs. non-athletes (T1 = 9.50 ± 1.46; T2 = 11.19 ± 0.75). CG ↔ athletes (T1 = 10.06 ± 1.12; T2 = 10.12 ± 1.26) vs. non-athletes (T1 = 9.06 ± 2.18; T2 = 8.94 ± 2.02). Attitudes towards doping (M ± SD) IG ↓* T1 (non-athlete = 30.50 ± 9.68; athlete = 26.75 ± 7.50) vs. T2 (non-athlete = 25.56 ± 12.48; athlete = 23.00 ± 10.28). CG ↔ T1 (non-athlete = 29.43 ± 11.09; athlete = 27.37 ± 8.48) vs. T2 (non-athlete = 28.50 ± 11.46; athlete = 27.75 ± 8.72). IG ↔ athletes (T1 = 26.75 ± 7.50; T2 = 26.75 ± 7.50) vs. non-athletes (T1 = 30.50 ± 9.68; T2 = 25.56 ± 12.48). CG ↔ athletes (T1 = 27.37 ± 8.48; T2 = 27.75 ± 8.72) vs. non-athletes (T1 = 29.43 ± 11.09; T2 = 28.50 ± 11.46). Doping likelihood benefit situation (M ± SD) IG ↔ T1 (non-athlete = 2.74 ± 1.38; athlete = 1.97 ± 0.98) vs. T2 (non-athlete = 2.28 ± 1.19; athlete = 1.61 ± 0.80). CG ↔ T1 (non-athlete = 2.72 ± 1.22; athlete = 2.03 ± 0.92) vs. T2 (non-athlete = 2.68 ± 1.30; athlete = 2.10 ± 1.28). IG ↓* athletes (T1 = 1.97 ± 0.98; T2 = 1.61 ± 0.80) vs. non-athletes (T1 = 2.74 ± 1.38; T2 = 2.28 ± 1.19). CG ↓* athletes (T1 = 2.03 ± 0.92; T2 = 2.10 ± 1.28) vs. non-athletes (T1 = 2.72 ± 1.22; T2 = 2.68 ± 1.30). Doping likelihood cost situation (M ± SD) IG ↔ T1 (non-athlete = 1.51 ± 1.02; athlete = 1.25 ± 0.52) vs. T2 (non-athlete = 1.34 ± 0.53; athlete = 1.20 ± 0.50). CG ↔ T1 (non-athlete = 1.33 ± 0.43; athlete = 1.31 ± 0.50) vs. T2 (non-athlete = 1.28 ± 0.49; athlete = 1.41 ± 0.65). IG ↔ athletes (T1 = 1.25 ± 0.52; T2 = 1.20 ± 0.50) vs. non-athletes (T1 = 1.51 ± 1.02; T2 = 1.34 ± 0.53). CG ↔ athletes (T1 = 1.31 ± 0.50; T2 = 1.41 ± 0.65) vs. non-athletes (T1 = 1.33 ± 0.43; T2 = 1.28 ± 0.49). |
| Hurst et al. [47], United Kingdom (UK) | IG n = 302 (41.4% ♀, 58.6% ♂). Age (M ± SD): 18.71 ± 2.61 y. Sport level: IG: Regional = 37.8%; National = 32.7%; International = 29.5%. | Study design: Pragmatic within-participant pre/post design (pre-experimental longitudinal design). Pre-test and post-test measures (three months after intervention). Measures: 1. Doping susceptibility; 2. Intention to use dietary supplements; 3. Spirit of sport; 4. Moral values; 5. Knowledge on anti-doping; 6. Anti-doping practices; 7. Whistleblowing. | Name of the intervention: UK Anti-Doping Clean Sport education program. Domain: Cognitive. Duration: A 60 min single session. Characteristics: Participants were provided with an overview of the doping control testing procedures and their rights and responsibilities under the World Anti-Doping Code. Athlete’s role: Passive. | Doping susceptibility (M ± SD) ↓* IG T1 (1.58 ± 1.35) vs. T2 (1.48 ± 1.20). Dietary supplementation intention (M ± SD) ↓* IG T1 (4.10 ± 2.32) vs. T2 (3.55 ± 2.25) Spirit of sport values (M ± SD) ↑* IG T1 (4.17 ± 0.85) vs. T2 (4.42 ± 0.80). Moral values (M ± SD) ↑* IG T1 (4.29 ± 0.50) vs. T2 (4.52 ± 0.44). Anti-doping knowledge (M ± SD) ↑* IG T1 (4.07 ± 1.26) vs. T2 (5.57 ± 1.19). Anti-doping practices (M ± SD) ↑* IG T1 (2.38 ± 1.04) vs. T2 (3.43 ± 1.25). Whistleblowing (M ± SD) ↑* IG T1 (3.99 ± 1.39) vs. T2 (5.81 ± 1.28). Anti-doping program mediation effect Doping susceptibility T1 → Δ supplement intention → doping susceptibility T2: (β = 0.04, 95% CI [0.01 to 0.07]). Doping susceptibility T1 → Δ supplement intention → supplement intention x moral values → doping susceptibility T2: (β1 = 0.05, 95% CI [0.01, 0.12]; β2 = 0.04, 95% CI [0.01, 0.09]; β1 = 0.03, 95% CI [−0.03, 0.10]). |
| da Silva et al. [40], Brazil | IG game: n = 20 (100% ♂) Age range: 18–20 y. Sport level: Semi-professional soccer players. | Study design: Quasi-experimental and descriptive design, one group with pre/post-test intervention measures. Measures: Ad hoc questionnaire design by the authors to measure: 1. Positive factors: non-steroidal anti-inflammatory, low dose of caffeine, vitamin C, doping, fruit, physical exercise, and water (20 items); 2. Negative factors: erythropoietin, diuretics, ephedrine (>10 mcg), contaminated thermogenic, growth hormone (GH), anabolic steroids, contaminated supplementation, cocaine, testosterone, and cannabis (20 items). | Name of intervention: Heart in Game. Domain: Cognitive. Duration: A single session to play the game. The game duration was 6 min as the maximum time and consisted of three stages. Characteristics: Athletes must play three stages of the game which presents to the athlete different scenarios where they must accomplish the mission to collect items considered positive factors and avoid the negative factors. The scenarios were: (1) a pharmacy; (2) a supermarket; (3) a gym. Athlete’s role: Active. | Positive factor knowledge (% of correct answers) Low dose of caffeine ↑* T1 (30%) vs. T2 (70%). Doping knowledge ↑* T1 (20%) vs. T2 (75%). Vitamin C ↔ T1 (95%) vs. T2 (90%). Physical activity ↔ T1 (95%) vs. T2 (100%). Non-steroidal anti-inflammatory ↔ T1 (40%) vs. T2 (40%). Fruits ↔ T1 (100%) vs. T2 (100%). Water ↔ T1 (100%) vs. T2 (100%). Negative factor knowledge (% of correct answers) Diuretics ↑* T1 (25%) vs. T2 (50%). Contaminated thermogenic ↑* T1 (35%) vs. T2 (70%). Growth hormone ↑* T1 (20%) vs. T2 (70%). Contaminated supplements ↑* T1 (15%) vs. T2 (80%). Testosterone ↑* T1 (35%) vs. T2 (90%). Erythropoietin ↔ T1 (20%) vs. T2 (45%). Ephedrine (>10 mcg) ↔ T1 (50%) vs. T2 (65%). Cannabis ↔ T1 (90%) vs. T2 (100%). Anabolic steroids ↔ T1 (90%) vs. T2 (80%). Cocaine ↔ T1 (85%) vs. T2 (85%). |
| Thomas et al. [39], United Arab Emirates (UAE) | IG n = 218 (100% ♂). Age (M ± SD): Not specified. Sport level: Adult non-sports employment (amateur) = 36.7%; full-time bodybuilders (professional) = 7.3%. University student bodybuilders = 50.9%. School student bodybuilders n = 5.0%. | Study design: Pre-experimental design with pre/post-test intervention measures. Measures: 1. Modified version (8 items) of Performance Enhancement Attitude Scale (PEAS). | Name of intervention: Educational Flyer “The Power of the Right Choice”. Domain: Cognitive. Duration: One session. Characteristics: An anti-doping educational flyer with a clear message about the risk of doping, information about how to check for safe supplements, and resources to learn about doping prevention. Athlete’s role: Passive. | Performance Enhancement Attitude Scale (median) ↓* T1 (median = 24) vs. T2 (median = 14). School student bodybuilders ↓* (median T2 = 11) vs. Full-time bodybuilders T2 (median = 21). |
| Pre–Post-Test | Pre-Test–Follow-Up | ||||||
|---|---|---|---|---|---|---|---|
| Variable | Moderator | ES | 95% CI | p | ES | 95% CI | p |
| Doping Intention | Athlete’s role | ||||||
| Passive | −0.83 | −1.128, −0.534 | <0.001 | −0.86 | −1.228, −0.487 | <0.001 | |
| Design | |||||||
| Quasi-experimental | −0.76 | −1.072, −0.441 | <0.001 | ||||
| Age | 0.12 | 0.061, 0.183 | <0.001 | 0.13 | 0.058, 0.210 | 0.002 | |
| Number of sessions | |||||||
| Long (six or more) | −0.55 | −0.773, −0.320 | <0.001 | −0.48 | −0.762, −0.204 | 0.002 | |
| Anti-Doping Behavior | Athlete’s role | ||||||
| Passive | −0.77 | −1.374, −0.162 | <0.019 | ||||
Disclaimer/Publisher’s Note: The statements, opinions and data contained in all publications are solely those of the individual author(s) and contributor(s) and not of MDPI and/or the editor(s). MDPI and/or the editor(s) disclaim responsibility for any injury to people or property resulting from any ideas, methods, instructions or products referred to in the content. |
© 2025 by the authors. Licensee MDPI, Basel, Switzerland. This article is an open access article distributed under the terms and conditions of the Creative Commons Attribution (CC BY) license (https://creativecommons.org/licenses/by/4.0/).
Share and Cite
Reynoso-Sánchez, L.F.; Molgado-Sifuentes, A.; Muñoz-Helú, H.; López-Walle, J.M.; Soto-García, D. Effective Intervention Features of a Doping Prevention Program for Athletes: A Systematic Review with Meta-Analysis. Sports 2025, 13, 108. https://doi.org/10.3390/sports13040108
Reynoso-Sánchez LF, Molgado-Sifuentes A, Muñoz-Helú H, López-Walle JM, Soto-García D. Effective Intervention Features of a Doping Prevention Program for Athletes: A Systematic Review with Meta-Analysis. Sports. 2025; 13(4):108. https://doi.org/10.3390/sports13040108
Chicago/Turabian StyleReynoso-Sánchez, Luis Felipe, Amairani Molgado-Sifuentes, Hussein Muñoz-Helú, Jeanette M. López-Walle, and Diego Soto-García. 2025. "Effective Intervention Features of a Doping Prevention Program for Athletes: A Systematic Review with Meta-Analysis" Sports 13, no. 4: 108. https://doi.org/10.3390/sports13040108
APA StyleReynoso-Sánchez, L. F., Molgado-Sifuentes, A., Muñoz-Helú, H., López-Walle, J. M., & Soto-García, D. (2025). Effective Intervention Features of a Doping Prevention Program for Athletes: A Systematic Review with Meta-Analysis. Sports, 13(4), 108. https://doi.org/10.3390/sports13040108

