Effectiveness of a Judo Intervention Programme on the Psychosocial Area in Secondary School Education Students
Abstract
1. Introduction
2. Materials and Methods
2.1. Participants
2.2. Instruments and Variables
2.3. Procedure
- Session 1 to Session 4: Games related to immobilising the opponent on the ground were carried out.
- Session 4 to Session 10: Ground Judo techniques were taught. Also, during session 9 and session 10 the students practiced randori on the ground using some immobilisation.
- Session 11: A day of technical evaluation of the immobilisations. The assessment consisted of performing two ground immobilisations on a colleague.
- Session 12 to Session 16: Playing games to teach the different falls.
- Session 16 to Session 20: Teaching Judo foot techniques.
- Session 20 to Session 23: Randori on foot applying the techniques seen from session 16 to session 20.
- Session 24: Evaluation of the technical execution of falls and Judo foot. The assessment consisted of performing a drop and a Judo foot technique.
- To learn the techniques of the main ground Judo and foot Judo keys;
- To apply Judo ground and Judo foot techniques to randori situations.
2.4. Data Analysis
3. Results
4. Discussion
5. Conclusions
Author Contributions
Funding
Institutional Review Board Statement
Informed Consent Statement
Data Availability Statement
Conflicts of Interest
References
- Vílchez-Polo, I.; Ramírez-Granizo, I.A.; Ubago-Jiménez, J.L. SLOC, as a new inclusive sport: A didactic approach. ESHPA 2019, 3, 324–335. [Google Scholar]
- Fung, A.L.C. Adolescent reactive and proactive aggression, and bullying in Hong Kong: Prevalence, psychosocial correlates, and prevention. J. Adolesc. Health 2019, 64, 65–72. [Google Scholar] [CrossRef]
- Cañas, E.; Estévez, J.F.; Estévez, E.; Aparisi, D. The role of emotional intelligence on psychological adjustment and peer victimization in a sample of Spanish adolescents. Front. Psychol. 2020, 11, 600972. [Google Scholar] [CrossRef]
- Estévez, E.; Estévez, J.F.; Segura, L.; Suárez, C. The influence of bullying and cyberbullying in the psychological adjustment of victims and aggressors in adolescence. Int. J. Environ. Res. Public Health 2019, 16, 2080. [Google Scholar] [CrossRef]
- Turner, H.A.; Shattuck, A.; Finkelhor, D.; Hamby, S. Effects of poly-victimization on adolescent social support, self-concept, and psychological distress. J. Interpers. Violence 2017, 32, 755–780. [Google Scholar] [CrossRef]
- Blanchard, D.C.; Blanchard, R.J. What can animal aggression research tell us about human aggression? Horm. Behav. 2003, 44, 171–177. [Google Scholar] [CrossRef]
- Twemlow, S.W.; Sacco, F.C.; Fonagy, P. Embodying the mind: Movement as a container for destructive aggression. Am. J. Psychother. 2008, 62, 1–33. [Google Scholar] [CrossRef]
- Arseneault, L. Annual Research Review: The persistent and pervasive impact of being bullied in childhood and adolescence: Implications for policy and practice. J. Child Psychol. Psychiatry 2018, 59, 405–421. [Google Scholar] [CrossRef]
- Fry, D.; Fang, X.; Elliott, S.; Casey, T.; Zheng, X.; Li, J.; Florian, L.; McCluskey, G. The relationships between violence in childhood and educational outcomes: A global systematic review and meta-analysis. Child Abus. Negl. 2018, 75, 16–28. [Google Scholar] [CrossRef]
- Carrascosa, L.; Cava, M.J.; Buelga, S. Perfil psicosocial de adolescentes españoles agresores y víctimas de violencia de pareja. Univ. Psychol. 2018, 17, 183–193. [Google Scholar] [CrossRef]
- Castro-Sánchez, M.; Zurita-Ortega, F.; García-Marmol, E.; Chacón-Cuberos, R. Motivational climate towards the practice of physical activity, self-concept, and healthy factors in the school environment. Sustainability 2019, 11, 999. [Google Scholar] [CrossRef]
- González-García, A. Factores de riesgo en el ciberacoso: Revisión sistemática a partir del modelo del triple riesgo delictivo (TRD). IDP Rev. Internet Derecho Política 2016, 22, 62–81. [Google Scholar] [CrossRef][Green Version]
- Blakely-McClure, S.J.; Ostrov, J.M. Relational aggression, victimization and self-concept: Testing pathways from middle childhood to adolescence. J. Youth Adolesc. 2016, 45, 376–390. [Google Scholar] [CrossRef]
- Al-Yaaribi, A.; Kavussanu, M. Consequences of prosocial and antisocial behaviors in adolescent male soccer players: The moderating role of motivational climate. Psychol. Sport Exerc. 2018, 37, 91–99. [Google Scholar] [CrossRef]
- González-Valero, G.; Zurita-Ortega, F.; Martínez-Martínez, A. Panorama motivacional y de actividad física en estudiantes: Una revisión sistemática. ESHPA 2017, 1, 48961. [Google Scholar]
- Melguizo-Ibáñez, E.; Zurita-Ortega, F.; Ubago-Jiménez, J.L.; López-Gutiérrez, C.J.; González-Valero, G. An explanatory model of the relationships between sport motivation, anxiety and physical and social self-concept in educational sciences students. Curr. Psychol. 2022, 42, 15237–15247. [Google Scholar] [CrossRef]
- Sage, L.D.; Kavussanu, M. Goal orientations, motivational climate, and prosocial and antisocial behaviour in youth football: Exploring their temporal stability and reciprocal relationships. J. Sports Sci. 2008, 26, 717–732. [Google Scholar] [CrossRef]
- Castro-Sánchez, M.; Lara-Sánchez, A.J.; García-Mármol, E.; Chacón-Cuberos, R. Motivational climate is associated with use of video games and violence in schoolchildren: A structural equation model according to healthy behaviors. Int. J. Environ. Res. Public Health 2020, 17, 1272. [Google Scholar] [CrossRef]
- Miller, B.W.; Roberts, G.C.; Ommundsen, Y. Effect of perceived motivational climate on moral functioning, team moral atmosphere perceptions, and the legitimacy of intentionally injurious acts among competitive youth football players. Psychol. Sport Exerc. 2005, 6, 461–477. [Google Scholar] [CrossRef]
- Kokkinos, C.M.; Kipritsi, E. The relationship between bullying, victimization, trait emotional intelligence, self-efficacy and empathy among preadolescents. Soc. Psychol. Educ. 2012, 15, 41–58. [Google Scholar] [CrossRef]
- Baroncelli, A.; Ciucci, E. Unique effects of different components of trait emotional intelligence in traditional bullying and cyberbullying. J. Adolesc. 2014, 37, 807–815. [Google Scholar] [CrossRef] [PubMed]
- Castillo, R.; Salguero, J.M.; Fernández-Berrocal, P.; Balluerka, N. Effects of an emotional intelligence intervention on aggression and empathy among adolescents. J. Adolesc. 2013, 36, 883–892. [Google Scholar] [CrossRef] [PubMed]
- Cañas, E.; Estévez, E.; Marzo, J.C.; Piqueras, J.A. Psychological adjustment in cybervictims and cyberbullies in secondary education. An. Psicol. 2019, 35, 434–443. [Google Scholar] [CrossRef]
- Carriedo, A. Satisfacción, Aprendizaje y Valoraciones de Escolares de Primaria ante las Actividades de Lucha con Agarre. Sport. Sci. J. Sch. Sport Phys. Educ. Psychomot. 2019, 5, 133–150. [Google Scholar] [CrossRef]
- Menéndez-Santurio, J.I.; Fernández-Río, J. Violence, Responsibility, Friendship and Basic Psychological Needs: Effects of a Sport Education and Teaching for Personal and Social Responsibility Program. Rev. Psicodidáct. 2016, 21, 245–260. [Google Scholar] [CrossRef]
- Ntoumanis, N.; Biddle, S.J. A review of motivational climate in physical activity. J. Sports Sci. 1999, 17, 643–665. [Google Scholar] [CrossRef]
- Jaakkola, T.; Yli-Piipari, S.; Barkoukis, V.; Liukkonen, J. Relationships among perceived motivational climate, motivational regulations, enjoyment, and PA participation among Finnish physical education students. Int. J. Sport Exerc. Psychol. 2017, 15, 273–290. [Google Scholar] [CrossRef]
- Babic, M.J.; Morgan, P.J.; Plotnikoff, R.C.; Lonsdale, C.; White, R.L.; Lubans, D.R. Physical activity and physical self-concept in youth: Systematic review and meta-analysis. Sports Med. 2014, 44, 1589–1601. [Google Scholar] [CrossRef]
- González-Valero, G.; Zurita-Ortega, F.; Lindell-Postigo, D.; Conde-Pipó, J.; Grosz, W.R.; Badicu, G. Analysis of Self-Concept in Adolescents before and during COVID-19 Lockdown: Differences by Gender and Sports Activity. Sustainability 2020, 12, 7792. [Google Scholar] [CrossRef]
- Jekauc, D.; Wagner, M.O.; Herrmann, C.; Hegazy, K.; Woll, A. Does Physical Self-concept mediate the relationship between motor abilities and physical activity in adolescents and young adults? PLoS ONE 2017, 12, e0168539. [Google Scholar] [CrossRef]
- Lindell-Postigo, D.; Zurita-Ortega, F.; Ortiz-Franco, M.; González-Valero, G. Cross-Sectional Study of Self-Concept and Gender in Relation to Physical Activity and Martial Arts in Spanish Adolescents during the COVID-19 Lockdown. Educ. Sci. 2020, 10, 210. [Google Scholar] [CrossRef]
- Conant, K.D.; Morgan, A.K.; Muzykewicz, D.; Clark, D.C.; Thiele, E.A. A karate program for improving self-concept and quality of life in childhood epilepsy: Results of a pilot study. Epilepsy Behav. 2008, 12, 61–65. [Google Scholar] [CrossRef] [PubMed]
- Rivera, P.; Renziehausen, J.; Garcia, J.M. Effects of an 8-week Judo program on behaviors in children with Autism Spectrum Disorder: A mixed-methods approach. Child. Psychiatry Hum. Dev. 2020, 51, 734–741. [Google Scholar] [CrossRef] [PubMed]
- Zillmann, D.; Katcher, A.H.; Milavsky, B. Excitation transfer from physical exercise to subsequent aggressive behavior. J. Exp. Soc. Psychol. 1972, 8, 247–259. [Google Scholar] [CrossRef]
- Viner, R.M.; Gireesh, A.; Stiglic, N.; Hudson, L.D.; Goddings, A.L.; Ward, J.L.; Nicholls, D.E. Roles of cyberbullying, sleep, and physical activity in mediating the effects of social media use on mental health and wellbeing among young people in England: A secondary analysis of longitudinal data. Lancet Child. Adolesc. Health 2019, 3, 685–696. [Google Scholar] [CrossRef]
- Lu, C. Eastern martial arts and violence prevention: Reversing a stereotype. Arch. Budo 2008, 4, 32–36. [Google Scholar]
- Vertonghen, J.; Theeboom, M. The social-psychological outcomes of martial arts practise among youth: A review. J. Sports Sci. Med. 2010, 9, 528–537. [Google Scholar]
- Tadesse, M.E. Benefits and challenges of practicing taekwondo to adolescents in Addis Ababa City. Ethiopia. Rev. Artes Marciales Asiát. 2016, 11, 1–17. [Google Scholar] [CrossRef]
- Trulson, M.E. Martial arts training: A novel “cure” for juvenile delinquency. Hum. Relat. 1986, 39, 1131–1140. [Google Scholar] [CrossRef]
- Theeboom, M.; De Knop, P.; Vertonghen, J. Experiences of children in martial arts. Eur. J. Sport Soc. 2009, 6, 19–35. [Google Scholar] [CrossRef]
- Twemlow, S.W.; Sacco, F.C. The application of traditional martial arts practice and theory to the treatment of violent adolescents. Adolescence 1998, 33, 505–518. [Google Scholar]
- Bird, N.; McCarthy, G.; O’Sullivan, K. Exploring the effectiveness of an integrated mixed martial arts and psychotherapy intervention for young men’s mental health. Am. J. Men Health 2019, 13, 1557988319832121. [Google Scholar] [CrossRef] [PubMed]
- Moore, B.; Woodcock, S.; Dudley, D. Developing Wellbeing Through a Randomised Controlled Trial of a Martial Arts Based Intervention: An Alternative to the Anti-Bullying Approach. Int. J. Environ. Res. Public Health 2019, 16, 81. [Google Scholar] [CrossRef] [PubMed]
- Acebes-Sánchez, J.; Blanco-García, C.; Diez-Vega, I.; Mon-López, D.; Rodriguez-Romo, G. Emotional intelligence in physical activity, sports and Judo: A global approach. Int. J. Environ. Res. Public Health 2021, 18, 8695. [Google Scholar] [CrossRef] [PubMed]
- Fernández, M.M.; Brito, C.J.; Miarka, B.; Díaz-de-Durana, A.L. Anxiety and emotional intelligence: Comparisons between combat sports, gender and levels using the trait Meta-Mood Scale and the inventory of situations and anxiety response. Front. Psychol. 2020, 11, 130. [Google Scholar] [CrossRef] [PubMed]
- Zurita-Ortega, F.; Zafra-Santos, E.O.; Valdivia-Moral, P.; Rodríguez-Fernández, S.; Castro-Sánchez, M.; Muros-Molina, J.J. Analysis of resilience, self-concept and motivation in Judo as gender. Rev. Psicol. Deporte 2017, 26, 71–81. [Google Scholar]
- Iwasaki, S.; Sogabe, A.; Iredale, F.; Sasaki, T. An assessment of Australian Judo practitioners’ perceptions of motivational climate, mindfulness, aggression, and social skills. Med. Sci. Sports Exerc. 2016, 48, 842. [Google Scholar] [CrossRef]
- Montero-Carretero, C.; Roldan, A.; Zandonai, T.; Cervelló, E. A-Judo: An Innovative Intervention Programme to Prevent Bullying Based on Self-Determination Theory—A Pilot Study. Sustainability 2021, 13, 2727. [Google Scholar] [CrossRef]
- Coker, A.L.; Bush, H.M.; Clear, E.R.; Brancato, C.J.; McCauley, H.L. Bystander program effectiveness to reduce violence and violence acceptance within sexual minority male and female high school students using a cluster RCT. Prev. Sci. 2020, 21, 434–444. [Google Scholar] [CrossRef]
- Ramirez-Granizo, I.A.; Sánchez-Zafra, M.; Zurita-Ortega, F.; Puertas-Molero, P.; González-Valero, G.; Ubago-Jiménez, J.L. Multidimensional Self-Concept Depending on Levels of Resilience and the Motivational Climate Directed towards Sport in Schoolchildren. Int. J. Environ. Res. Public Health 2020, 17, 534. [Google Scholar] [CrossRef]
- Ferrer-Cascales, R.; Albaladejo-Blázquez, N.; Sánchez-SanSegundo, M.; Portilla-Tamarit, I.; Lordan, O.; Ruiz-Robledillo, N. Effectiveness of the TEI program for bullying and cyberbullying reduction and school climate improvement. Int. J. Environ. Res. Public Health 2019, 16, 580. [Google Scholar] [CrossRef] [PubMed]
- Carrasco, C.; Alarcón, R.; Trianes, M.V. Social adjustment and cooperative work in primary education: Teacher and parent perceptions. Rev. Psicodidáct. 2018, 23, 56–62. [Google Scholar] [CrossRef]
- World Health Organization. WHO Guidelines on Physical Activity and Sedentary Behaviour: At a Glance; World Health Organization: Geneva, Switzerland, 2020. [Google Scholar]
- Shavelson, R.J.; Hubner, J.J.; Stanton, G.C. Self-concept: Validation of construct interpretations. Rev. Edu. Res. 1976, 4, 407–441. [Google Scholar] [CrossRef]
- García, F.; Musitu, G. Autoconcepto Forma 5; TEA Ediciones: Madrid, Spain, 1999. [Google Scholar]
- Zurita-Ortega, F.; González-Gonzalez de Mesa, C.; Martinez-Martinez, A.; Zafra-Santos, E.O.; Valdivia Moral, P.A. Análisis psicométrico y adaptación del test Autoconcepto Forma 5 hacia el Judo en una muestra chilena. Univ. Psychol. 2018, 17, 1–10. [Google Scholar] [CrossRef]
- Newton, M.; Duda, J.L.; Yin, Z. Examination of the psychometric properties of the perceived motivational climate in sport questionnaire-2 in a sample of female athletes. J. Sports Sci. 2000, 18, 275–290. [Google Scholar] [CrossRef] [PubMed]
- González-Cutre, D.; Sicilia, A.; Moreno, J. Modelo cognitivo-social de la motivación de logro en educación física. Psicothema 2008, 20, 642–651. [Google Scholar]
- García-Coll, V.; Graupera-Sanz, J.L.; Ruiz-Pérez, L.M.; Palomo-Nieto, M. Inteligencia Emocional en el Deporte: Validación española del Schutte Self Report Inventory (SSRI) en deportistas españoles. Cuad. Psicol. Deporte 2013, 13, 25–36. [Google Scholar] [CrossRef]
- Schutte, N.S.; Malouff, J.M.; Hall, L.E.; Haggerty, D.J.; Cooper, J.T.; Golden, C.J.; Dornheim, L. Development and validation of a measure of emotional intelligence. Pers. Individ. Dif. 1998, 25, 167–177. [Google Scholar] [CrossRef]
- Musitu, G.; Estévez, E.; Emler, N. Adjustment problems in the family and school contexts, attitude towards authority and violent behaviour at school in adolescence. Adolescence 2007, 42, 779–794. [Google Scholar]
- Little, T.D.; Henrich, C.C.; Jones, S.M.; Hawley, P.H. Disentangling the “whys” from the “whats” of aggressive behaviour. Int. J. Behav. Dev. 2003, 27, 122–133. [Google Scholar] [CrossRef]
- Cohen, J. A power primer. Psychol. Bull. 1992, 112, 155–159. [Google Scholar] [CrossRef]
- Kyriazos, T.A. Applied psychometrics: Sample size and sample power considerations in factor analysis (EFA, CFA) and SEM in general. Psychology 2018, 9, 2207–2230. [Google Scholar] [CrossRef]
- McDonald, R.P.; Marsh, H.W. Choosing a multivariate model: Noncentrality and goodness of fit. Psychol. Bull. 1990, 107, 247–255. [Google Scholar] [CrossRef]
- Barkoukis, V.; Tsorbatzoudis, H.; Grouios, G. Manipulation of motivational climate in physical education: Effects of a seven-month intervention. Eur. Phy. Educ. Rev. 2008, 14, 367–387. [Google Scholar] [CrossRef]
- Benítez-Sillero, J.D.; Corredor-Corredor, D.; Córdoba-Alcaide, F.; Calmaestra, J. Intervention programme to prevent bullying in adolescents in physical education classes (PREBULLPE): A quasi-experimental study. Phys. Educ. Sport Pedagog. 2021, 26, 36–50. [Google Scholar] [CrossRef]
- Baudson, T.G.; Weber, K.E.; Freund, P.A. More than only skin deep: Appearance self-concept predicts most of secondary school students’ self-esteem. Front. Psychol. 2016, 7, 1568. [Google Scholar] [CrossRef] [PubMed]
- Antoñanzas, J.L. The relationship of personality, emotional intelligence, and aggressiveness in students: A study using the Big Five Personality Questionnaire for Children and Adults (BFQ-NA). Eur. J. Investig. Health Psychol. Educ. 2020, 11, 1. [Google Scholar] [CrossRef] [PubMed]
- Bibi, A.; Saleem, A.; Khalid, M.A.; Shafique, N. Emotional intelligence and aggression among university students of Pakistan: A correlational study. J. Aggress. Maltreat. Trauma 2020, 29, 1189–1203. [Google Scholar] [CrossRef]
- Alvarado, J.M.; Jiménez-Blanco, A.; Artola, T.; Sastre, S.; Azañedo, C.M. Emotional intelligence and the different manifestations of bullying in children. Int. J. Environ. Res. Public Health 2020, 17, 8842. [Google Scholar] [CrossRef]
- Segura, L.; Estévez, J.F.; Estévez, E. Empathy and Emotional Intelligence in Adolescent Cyberaggressors and Cybervictims. Int. J. Environ. Res. Public Health 2020, 17, 4681. [Google Scholar] [CrossRef]
- Casper, D.M.; Witte, T.; Stanfield, M.H. “A person I cared about was involved”: Exploring bystander motivation to help in incidents of potential sexual assault and dating violence. J. Interpers. Violence 2021, 36, 4406–4430. [Google Scholar] [CrossRef] [PubMed]
- Rivera-Pérez, S.; Fernandez-Rio, J.; Iglesias Gallego, D. Effects of an 8-Week Cooperative Learning Intervention on Physical Education Students’ Task and Self-Approach Goals, and Emotional Intelligence. Int. J. Environ. Res. Public Health 2021, 18, 61. [Google Scholar] [CrossRef]
- Zamorano-García, M.; Gil-Madrona, P.; Prieto-Ayuso, A.; Zamorano-García, D. Generated Emotions by Various Types of Games in Physical Education. RIMCAFD 2018, 18, 1–26. [Google Scholar] [CrossRef]
- GIl-Madrona, P.; Samalot-Rivera, A.; Kozub, F.M. Acquisition and transfer of values and social skills through a physical education program focused in the affective domain. Motricidade 2016, 12, 32–38. [Google Scholar] [CrossRef]
- Gil-Madrona, P.; Pascual-Francés, L.; Jordá-Espí, A.; Mujica-Johnson, F.; Fernández-Reveles, A.B. Affectivity and Motor Interaction in Popular Motor Games at School. Apunts. Educ. Fís. Depor. 2020, 139, 42–48. [Google Scholar] [CrossRef]
- Brasil, I.; Monteiro, W.; Lima, T.; Seabra, A.; Farinatti, P. Effects of Judo training upon body composition, autonomic function, and cardiorespiratory fitness in overweight or obese children aged 8- to 13 years. J. Sports Sci. 2020, 38, 2508–25016. [Google Scholar] [CrossRef]

| n | % | ||
|---|---|---|---|
| Gender | Male | 70 | 50.4% |
| Female | 69 | 49.6% | |
| Do you practice more than 3 h of PA per week outside school hours? | Yes | 107 | 77.0% |
| No | 32 | 23.0% | |
| Do you practice any kind of martial arts? | Yes | 20 | 14.4% |
| No | 119 | 85.6% |
| Variable | Test | Mean ± Standard Deviation | T | p | d | 95% Confidence Interval |
|---|---|---|---|---|---|---|
| Family Self-Concept | Pre | 3.61 ± 0.46 | 0.224 | ≤0.05 | 0.022 | [0.213; 0.257] |
| Post | 3.60 ± 0.46 | |||||
| Social Self-Concept | Pre | 3.53 ± 0.46 | −1.481 | ˃0.05 | 0.137 | [0.098; 0.372] |
| Post | 3.59 ± 0.40 | |||||
| Physical Self-Concept | Pre | 3.48 ± 0.86 | −3.248 | ≤0.05 | 0.181 | [0.055; 0.416] |
| Post | 3.63 ± 0.79 | |||||
| Emotional Self-Concept | Pre | 2.77 ± 0.87 | 2.322 | ≤0.05 | 0.125 | [0.111; 0.36] |
| Post | 2.66 ± 0.89 | |||||
| Academic Self-Concept | Pre | 3.96 ± 0.60 | −0.566 | ˃0.05 | 0.032 | [0.203; 0.267] |
| Post | 3.98 ± 0.64 | |||||
| Task Climate | Pre | 4.08 ± 0.51 | 1.561 | ˃0.05 | 0.123 | [0.113; 0.358] |
| Post | 4.01 ± 0.62 | |||||
| Ego Climate | Pre | 2.30 ± 0.61 | −1.933 | ˃0.05 | 0.149 | [0.086; 0.385] |
| Post | 2.40 ± 0.71 | |||||
| Reactive Over Aggression | Pre | 1.09 ± 0.52 | 0.707 | ˃0.05 | 0.059 | [0.177; 0.294] |
| Post | 1.08 ± 0.50 | |||||
| Pure Over Aggression | Pre | 1.52 ± 0.35 | 0.406 | ˃0.05 | 0.033 | [0.202; 0.269] |
| Post | 1.49 ± 0.22 | |||||
| Instrumental Over Agression | Pre | 1.39 ± 0.42 | 1.919 | ˃0.05 | 0.149 | [0.086; 0.385] |
| Post | 1.33 ± 0.37 | |||||
| Pure Relational Aggression | Pre | 1.60 ± 0.49 | 3.112 | ≤0.05 | 0.258 | [0.022; 0.494] |
| Post | 1.48 ± 0.43 | |||||
| Reactive Relational Aggression | Pre | 1.17 ± 0.34 | 0.503 | ˃0.05 | 0.065 | [0.17; 0.3] |
| Post | 1.15 ± 0.26 | |||||
| Instrumental Relational Aggression | Pre | 1.29 ± 0.39 | 0.301 | ˃0.05 | 0.026 | [0.209; 0.261] |
| Post | 1.28 ± 0.38 | |||||
| Emotional Perception | Pre | 2.82 ± 0.51 | −1.007 | ˃0.05 | 0.077 | [0.158; 0.312] |
| Post | 2.86 ± 0.52 | |||||
| Self-Emotional Management | Pre | 2.59 ± 0.38 | −0.647 | ˃0.05 | 0.048 | [0.187; 0.284] |
| Post | 2.61 ± 0.43 | |||||
| Heteroemotional Management | Pre | 2.95 ± 0.37 | −0.276 | ˃0.05 | 0.027 | [0.208; 0.263] |
| Post | 2.96 ± 0.35 | |||||
| Emotional Utilisation | Pre | 2.30 ± 0.45 | −0.052 | ˃0.05 | 0.004 | [0.231; 0.239] |
| Post | 2.34 ± 0.43 |
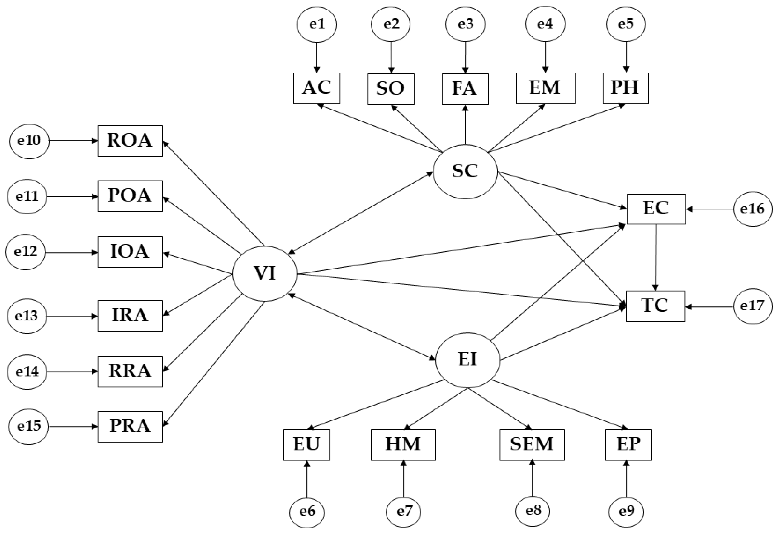
| Direction | Regression Weights | Standardised Regression Weight | |||
|---|---|---|---|---|---|
| Estimation | Estimation Error | Critical Ratio | p | Stimations | |
| EC ← SC | −1.055 | 0.558 | −1.891 | 0.059 | −0.580 |
| EC ← EI | 2.500 | 2.697 | 0.927 | 0.354 | 0.283 |
| EC ← VI | 0.206 | 0.266 | 0.775 | 0.438 | 0.080 |
| AC ← SC | 1.000 | 0.612 | |||
| SO ← SC | 0.519 | 0.103 | 5.031 | *** | 0.507 |
| FA ← SC | −1.100 | 0.226 | −4.869 | *** | −0.487 |
| EM ← SC | 0.608 | 0.118 | 5.141 | *** | 0.520 |
| PH ← SC | 1.351 | 0.216 | 6.249 | *** | 0.668 |
| EU ← EI | 1.000 | 0.186 | |||
| HM ← EI | 2.902 | 1.432 | 2.026 | ** | 0.674 |
| SEM ← EI | 4.251 | 2.077 | 2.047 | ** | 0.791 |
| EP ← EI | 5.589 | 2.722 | 2.053 | ** | 0.863 |
| IRA ← VI | 1.000 | 0.729 | |||
| RRA ← VI | 0.798 | 0.084 | 9.526 | *** | 0.846 |
| PRA ← VI | 0.993 | 0.139 | 7.146 | *** | 0.636 |
| IOA ← VI | 1.154 | 0.120 | 9.618 | *** | 0.855 |
| ROA ← VI | 0.566 | 0.071 | 8.021 | *** | 0.711 |
| POA ← VI | 1.034 | 0.162 | 6.390 | *** | 0.569 |
| TC ← SC | 1.584 | 0.576 | 2.748 | ** | 0.880 |
| TC ← EI | −3.892 | 2.958 | −1.316 | 0.188 | −0.509 |
| TC ← VI | 0.084 | 0.216 | 0.389 | 0.697 | 0.038 |
| TC ← EC | −0.248 | 0.086 | −2.881 | ** | −0.286 |
| VI ←→ EI | −0.007 | 0.004 | −1.682 | 0.093 | −0.298 |
| VI ←→ SC | −0.042 | 0.013 | −3.126 | ** | −0.384 |
| Direction | Regression Weights | Standardised Regression Weight | |||
|---|---|---|---|---|---|
| Estimation | Estimation Error | Critical Ratio | Estimation | Estimation Error | |
| EC ← SC | −0.626 | 0.205 | −3.046 | ** | −0.340 |
| EC ← EI | 0.259 | 0.246 | 1.050 | 0.294 | 0.018 |
| EC ← VI | 0.181 | 0.887 | 0.204 | 0.839 | 0.098 |
| AC ← SC | 1.000 | 0.606 | |||
| SO ← SC | 0.530 | 0.114 | 4.643 | *** | 0.512 |
| FA ← SC | 0.685 | 0.135 | 5.086 | *** | 0.581 |
| EM ← SC | −0.997 | 0.243 | −4.099 | *** | −0.438 |
| PH ← SC | 1.342 | 0.244 | 5.505 | *** | 0.658 |
| EU ← EI | 1.000 | 0.166 | |||
| HM ← EI | 3.362 | 1.889 | 1.780 | 0.75 | 0.694 |
| SEM ← EI | 5.135 | 2.866 | 1.792 | 0.73 | 0.849 |
| EP ← EI | 5.842 | 3.263 | 1.790 | 0.073 | 0.801 |
| IRA ← VI | 1.000 | 0.723 | |||
| RRA ← VI | 0.797 | 0.086 | 9.309 | *** | 0.841 |
| PRA ← VI | 0.994 | 0.142 | 6.998 | *** | 0.629 |
| IOA ← VI | 1.155 | 0.123 | 9.404 | *** | 0.851 |
| ROA ← VI | 0.566 | 0.072 | 7.844 | *** | 0.704 |
| POA ← VI | 1.035 | 0.165 | 6.258 | *** | 0.562 |
| TC ← SC | 0.873 | 0.181 | 4.819 | *** | 0.549 |
| TC ← EI | 0.040 | 0.596 | 0.067 | 0.947 | 0.005 |
| TC ← VI | 0.030 | 0.171 | 0.176 | 0.860 | 0.013 |
| TC ← EC | −0.290 | 0.063 | −4.621 | *** | −0.336 |
| VI ←→ EI | −0.032 | 0.013 | −2.582 | ** | −0.304 |
| VI←→ SC | −0.003 | 0.002 | −1.081 | 0.280 | −0.130 |
Disclaimer/Publisher’s Note: The statements, opinions and data contained in all publications are solely those of the individual author(s) and contributor(s) and not of MDPI and/or the editor(s). MDPI and/or the editor(s) disclaim responsibility for any injury to people or property resulting from any ideas, methods, instructions or products referred to in the content. |
© 2023 by the authors. Licensee MDPI, Basel, Switzerland. This article is an open access article distributed under the terms and conditions of the Creative Commons Attribution (CC BY) license (https://creativecommons.org/licenses/by/4.0/).
Share and Cite
Lindell-Postigo, D.; Zurita-Ortega, F.; Melguizo-Ibáñez, E.; González-Valero, G.; Ortiz-Franco, M.; Ubago-Jiménez, J.L. Effectiveness of a Judo Intervention Programme on the Psychosocial Area in Secondary School Education Students. Sports 2023, 11, 140. https://doi.org/10.3390/sports11080140
Lindell-Postigo D, Zurita-Ortega F, Melguizo-Ibáñez E, González-Valero G, Ortiz-Franco M, Ubago-Jiménez JL. Effectiveness of a Judo Intervention Programme on the Psychosocial Area in Secondary School Education Students. Sports. 2023; 11(8):140. https://doi.org/10.3390/sports11080140
Chicago/Turabian StyleLindell-Postigo, David, Félix Zurita-Ortega, Eduardo Melguizo-Ibáñez, Gabriel González-Valero, Manuel Ortiz-Franco, and José Luis Ubago-Jiménez. 2023. "Effectiveness of a Judo Intervention Programme on the Psychosocial Area in Secondary School Education Students" Sports 11, no. 8: 140. https://doi.org/10.3390/sports11080140
APA StyleLindell-Postigo, D., Zurita-Ortega, F., Melguizo-Ibáñez, E., González-Valero, G., Ortiz-Franco, M., & Ubago-Jiménez, J. L. (2023). Effectiveness of a Judo Intervention Programme on the Psychosocial Area in Secondary School Education Students. Sports, 11(8), 140. https://doi.org/10.3390/sports11080140

