Proportions of Early Specializers Varies According to Methods and Skill Level
Abstract
:1. Introduction
2. Study 1
2.1. Study 1 Materials and Methods
Participants
2.2. Measures
2.2.1. Single Sport Participation
2.2.2. Year-Round Single Sport
2.2.3. Sport Specialization Scale Items
2.3. Coding
2.3.1. Single Sport Participation
2.3.2. Year-Round Single Sport
2.3.3. Sport Specialization Scale items
2.4. Analyses
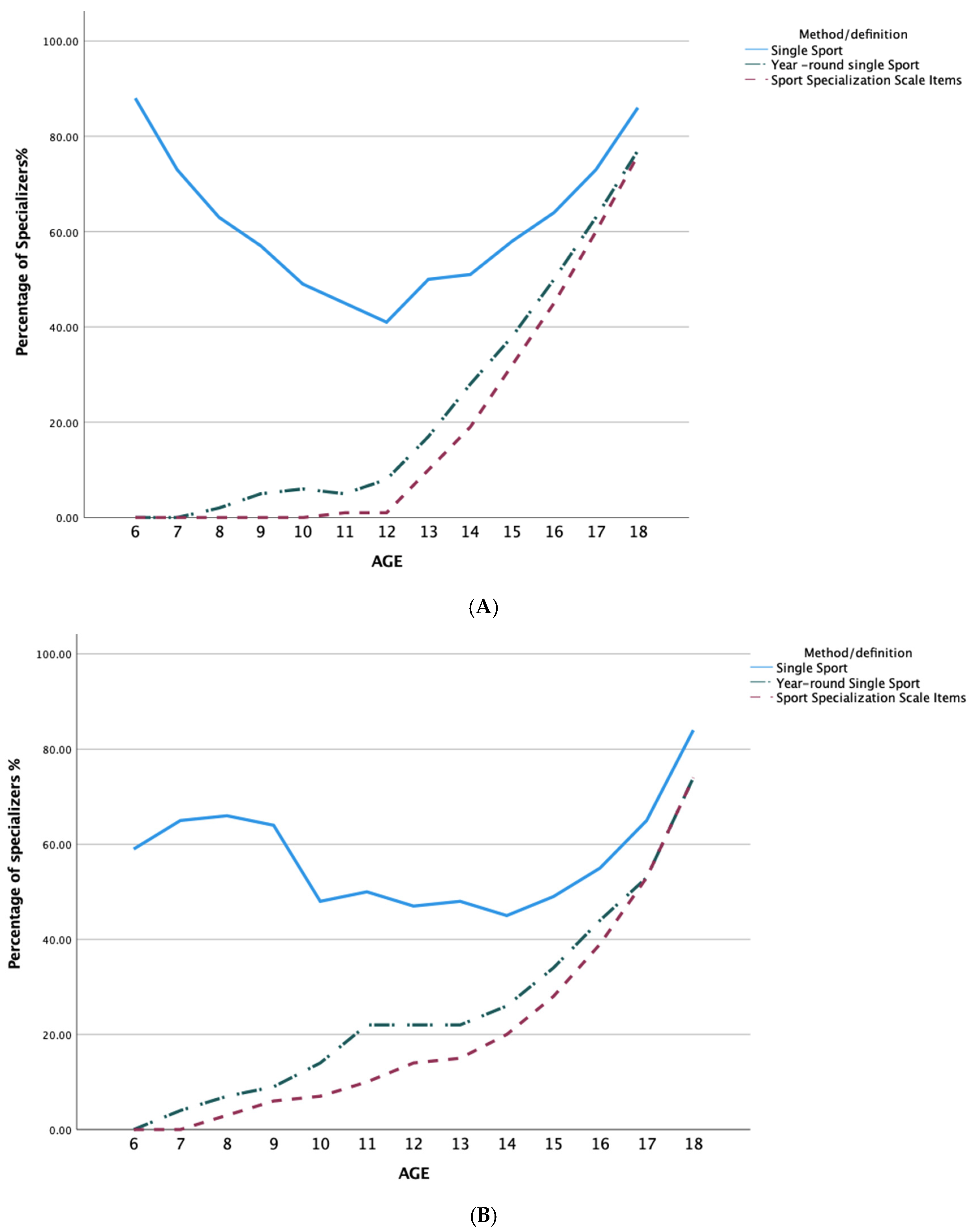
3. Study 1 Results
4. Study 1 Discussion
5. Study 2
5.1. Study 2 Materials and Methods
5.1.1. Participants
5.1.2. Measures
5.2. Analyses
6. Study 2 Results
7. Study 2 Discussion
8. General Discussion
Author Contributions
Funding
Institutional Review Board Statement
Informed Consent Statement
Data Availability Statement
Conflicts of Interest
References
- Mosher, A.; Fraser-Thomas, J.; Baker, J. What Defines Early Specialization: A Systematic Review of Literature. Front. Sports Act. Living 2020, 2, 596229. [Google Scholar] [CrossRef] [PubMed]
- Côté, J.; Fraser-Thomas, J. Youth involvement and positive development in sport. In Sport Psychology: A Canadian Perspective, 3rd ed.; Crocker, P.R.E., Ed.; Pearson Prentice Hall: Toronto, ON, Canada, 2016; pp. 256–287. [Google Scholar]
- Hill, G.M. Youth sport participation of professional baseball players. Sociol. Sport J. 1993, 10, 107–114. [Google Scholar] [CrossRef]
- Jayanthi, N.A.; LaBella, C.R.; Fischer, D.; Pasulka, J.; Dugas, L.R. Sports-specialized intensive training and the risk of injury in young athletes: A clinical case-control study. Am. J. Sports Med. 2015, 43, 794–801. [Google Scholar] [CrossRef] [PubMed]
- Wiersma, L.D. Risks and benefits of youth sport specialization: Perspectives and recommendations. Pediatr. Exerc. Sci. 2000, 12, 13–22. [Google Scholar] [CrossRef]
- Baker, J.; Mosher, A.; Fraser-Thomas, J. Is it too early to condemn early sport specialization? Br. J. Sports Med. 2021, 55, 179–180. [Google Scholar] [CrossRef]
- Brenner, J.S.; LaBella, C.R.; Brookes, M.A.; Diamond, A.; Hennrikus, W.; Kelly, A.K.W.; LaBotz, M.; Logan, K.; Loud, K.J.; Moffatt, K.A.; et al. Sports Specialization and Intensive Training in Young Athletes. Pediatrics 2016, 138, e20162148. [Google Scholar] [CrossRef] [Green Version]
- Baker, J.; Young, B. 20 years later: Deliberate practice and the development of expertise in sport. Int. Rev. Sport Exerc. Psychol. 2014, 7, 135–157. [Google Scholar] [CrossRef]
- Ericsson, K.A.; Krampe, R.T.; Tesch-Römer, C. The role of deliberate practice in the acquisition of expert performance. Psychol. Rev. 1993, 100, 363. [Google Scholar] [CrossRef]
- Black, S.; Black, K.; Dhawan, A.; Onks, C.; Seidenberg, P.; Silvis, M. Pediatric Sports Specialization in Elite Ice Hockey Players. Sports Health 2019, 11, 64–68. [Google Scholar] [CrossRef]
- Huxley, D.J.; O’Connor, D.; Larkin, P. The pathway to the top: Key factors and influences in the development of Australian Olympic and World Championship Track and Field athletes. Int. J. Sports Sci. Coach. 2017, 12, 264–275. [Google Scholar] [CrossRef]
- Buckley, P.S.; Bishop, M.; Kane, P.; Ciccotti, M.C.; Selverian, S.; Exume, D.; Emper, W.; Freedman, K.B.; Hammoud, S.; Cohen, S.B. Early Single-Sport Specialization: A Survey of 3090 High School, Collegiate, and Professional Athletes. Orthop. J. Sports Med. 2017, 5, 2325967117703944. [Google Scholar] [CrossRef] [Green Version]
- Brooks, M.A.; Post, E.G.; Trigsted, S.M.; Schaefer, D.A.; Wichman, D.M.; Watson, A.M.; McGuine, T.A.; Bell, D.R. Knowledge, Attitudes, and Beliefs of Youth Club Athletes Toward Sport Specialization and Sport Participation. Orthop. J. Sports Med. 2018, 6, 2325967118769836. [Google Scholar] [CrossRef] [Green Version]
- Strachan, L.; Côté, J.; Deakin, J. “Specializers” versus “samplers” in youth sport: Comparing experiences and outcomes. Sport Psychol. 2009, 23, 77–92. [Google Scholar] [CrossRef] [Green Version]
- Ferguson, B.; Stern, P.J. A case of early sports specialization in an adolescent athlete. J. Can. Chir. Assoc. 2014, 58, 377. [Google Scholar]
- Miller, M.; Malekian, S.; Burgess, J.; LaBella, C. Evaluating a commonly used tool for measuring sport specialization in young athletes. J. Athl. Train. 2019, 54, 1083–1088. [Google Scholar] [CrossRef] [Green Version]
- Smith, A.D.; Alleyne, J.M.; Pitsiladis, Y.; Schneider, C.; Kenihan, M.; Constantinou, D.; Webborn, N. Early sports specialization: An international perspective. Curr. Sports Med. Rep. 2017, 16, 439–442. [Google Scholar] [CrossRef]
- DiCesare, C.A.; Montalvo, A.; Foss, K.D.B.; Thomas, S.M.; Hewett, T.E.; Jayanthi, N.A.; Myer, G.D. Sport specialization and coordination differences in multisport adolescent female basketball, soccer, and volleyball athletes. J. Athl. Train. 2019, 54, 1105–1114. [Google Scholar] [CrossRef] [Green Version]
- DePhillipo, N.N.; Cinque, M.E.; Kennedy, N.I.; Chahla, J.; Moatshe, G.; LaPrade, R.F. Patellofemoral chondral defect in a preadolescent skier: A case report in early sport specialization. Int. J. Sports Phys. Ther. 2018, 13, 131. [Google Scholar] [CrossRef] [Green Version]
- Russell, W.; Molina, S. A comparison of female youth sport specializers and non-specializers on sport motivation and athletic burnout. J. Sport Behav. 2018, 41, 330–350. [Google Scholar]
- Güllich, A.; Macnamara, B.N.; Barth, M.; Hambrick, D.Z. Further Muddying the Waters? A Comment on Bell et al.’s 2021 Definition of Youth Sport Specialization. J. Athl. Train. 2021, 56, 1252–1254. [Google Scholar] [CrossRef]
- Bell, D.R.; Post, E.G.; Trigsted, S.M.; Hetzel, S.; McGuine, T.A.; Brooks, M.A. Prevalence of sport specialization in high school athletics: A 1-year observational study. Am. J. Sports Med. 2016, 44, 1469–1474. [Google Scholar] [CrossRef]
- Sport for Life. Long-Term Development in Sport and Physical Activity. 2022. Available online: https://sportforlife.ca/wp-content/uploads/2019/06/Long-Term-Development-in-Sport-and-Physical-Activity-3.0.pdf (accessed on 1 January 2022).
- Hopwood, M.J.; Farrow, D.; MacMahon, C.; Baker, J. Sibling dynamics and sport expertise. Scand. J. Med. Sci. Sports 2015, 25, 724–733. [Google Scholar] [CrossRef]
- Wilson, S.G.; Wilson, M.J.; Baker, J. Parental sport achievement and the development of athlete expertise. Eur. J. Sport Sci. 2018, 19, 661–670. [Google Scholar] [CrossRef]
- Hopwood, M. The Developmental History of Athletes Questionnaire: Towards a Comprehensive Understanding of the Development of Sport Expertise. Ph.D. Thesis, Victoria University, Footscray, VIC, Australia, 2013. [Google Scholar]
- Hopwood, M.; Baker, J.; MacMahon, C.; Farrow, D. Reliability and validity of the Developmental History of Athletes Questionnaire (DHAQ). J. Exerc. Mov. Sport 2010, 42, 113. [Google Scholar]
- Dehghansai, N.; Lemez, S.; Wattie, N.; Baker, J. Training and development of Canadian wheelchair basketball players. Eur. J. Sport Sci. 2017, 17, 511–518. [Google Scholar] [CrossRef]
- Bridge, M.W.; Toms, M.R. The specialising or sampling debate: A retrospective analysis of adolescent sports participation in the UK. J. Sports Sci. 2013, 31, 87–96. [Google Scholar] [CrossRef]
- Swindell, H.W.; Marcille, M.L.; Trofa, D.P.; Paulino, F.E.; Desai, N.N.; Lynch, T.S.; Ahmad, C.S.; Popkin, C.A. An Analysis of Sports Specialization in NCAA Division I Collegiate Athletics. Orthop. J. Sports Med. 2019, 7, 2325967118821179. [Google Scholar] [CrossRef] [Green Version]
- Coakley, J. The “logic” of specialization: Using children for adult purposes. J. Phys. Educ. Recreat. Danc. 2010, 81, 16–25. [Google Scholar] [CrossRef]
- DiFiori, J.P.; Benjamin, H.J.; Brenner, J.S.; Gregory, A.; Jayanthi, N.; Landry, G.L.; Luke, A. Overuse injuries and burnout in youth sports: A position statement from the American Medical Society for Sports Medicine. Br. J. Sports Med. 2014, 48, 287–288. [Google Scholar] [CrossRef] [Green Version]
- Smucny, M.; Parikh, S.N.; Pandya, N.K. Consequences of Single Sport Specialization in the Pediatric and Adolescent Athlete. Orthop. Clin. N. Am. 2015, 46, 249–258. [Google Scholar] [CrossRef]
- Gulbin, J.P.; Oldenziel, K.E.; Weissensteiner, J.R.; Gagné, F. A look through the rear view mirror: Developmental experiences and insights of high performance athletes. Talent Dev. Excell. 2010, 2, 149–164. [Google Scholar]
- Wilhelm, A.; Choi, C.; Deitch, J. Early Sport Specialization: Effectiveness and Risk of Injury in Professional Baseball Players. Orthop. J. Sports Med. 2017, 5, 2325967117728922. [Google Scholar] [CrossRef] [PubMed]
- Post, E.G.; Trigsted, S.M.; Riekena, J.W.; Hetzel, S.; McGuine, T.A.; Brooks, M.A.; Bell, D.R. The association of sport specialization and training volume with injury history in youth athletes. Am. J. Sports Med. 2017, 45, 1405–1412. [Google Scholar] [CrossRef] [PubMed]
- Pasulka, J.; Jayanthi, N.; McCann, A.; Dugas, L.R.; LaBella, C. Specialization patterns across various youth sports and relationship to injury risk. Phys. Sport Med. 2017, 45, 344–352. [Google Scholar] [CrossRef] [PubMed]
- Bell, D.R.; Snedden, T.; Biese, K.; Nelson, E.; Watson, A.; McGuine, T.; Brooks, M.A.; Brown, R.; Kliethermes, S.A. Consensus Definition of Sport Specialization in Youth Athletes Using a Delphi Approach. J. Athl. Train. 2021, 56, 1239–1251. [Google Scholar] [CrossRef]



| Single Sport Participation | Year-Round Single Sport | Sport Specialization Scale Items | |
|---|---|---|---|
| Age | % specializers (n) | % specializers (n) | % specializers (n) |
| Age 5 | 19.61 (71) | 0.28 (1) | 0.00 (0) |
| Age 6 | 23.48 (85) | 0.83 (3) | 0.55 (2) |
| Age 7 | 25.69 (93) | 1.10 (4) | 0.55 (2) |
| Age 8 | 29.01 (105) | 2.21 (8) | 0.83 (3) |
| Age 9 | 30.66 (111) | 4.97 (18) | 2.49 (9) |
| Age 10 | 30.66 (111) | 7.73 (28) | 3.59 (13) |
| Age 11 | 31.77 (115) | 9.39 (34) | 5.80 (21) |
| Age 12 | 32.87 (119) | 12.43 (45) | 7.73 (28) |
| Age 13 | 39.78 (144) | 19.61 (71) | 13.81 (50) |
| Age 14 | 45.86 (166) | 30.11 (109) | 25.14 (91) |
| Age 15 | 54.14 (196) | 40.88 (148) | 37.57 (136) |
| Age 16 | 54.42 (197) | 45.58 (165) | 42.54 (154) |
| Age 17 | 54.14 (196) | 46.13 (167) | 45.30 (164) |
| Age 18 | 50.83 (184) | 44.48 (161) | 44.20 (160) |
| % Elite (n) | % Pre-Elite (n) | % Non-Elite (n) | |
|---|---|---|---|
| Age 5 | n = 26 | n = 13 | n = 7 |
| Single sport participation | 88% (23) | 77% (10) | 71% (5) |
| Year-round single sport | n/a | n/a | n/a |
| SSS items | n/a | n/a | n/a |
| Age 6 | n = 33 | n = 17 | n = 10 |
| Single sport participation | 88% (29) | 59% (10) | 60% (6) |
| Year-round single sport | 0% (0) | 0% (0) | 20% (2) |
| SSS | 0% (0) | 0% (0) | 20% (2) |
| Age 7 | n = 41 | n = 23 | n = 11 |
| Single sport participation | 73% (30) | 65% (15) | 55% (6) |
| Year-round single sport | 0% (0) | 4% (1) | 18% (2) |
| SSS items | 0% (0) | 0% (0) | 18% (2) |
| Age 8 | n = 52 | n = 29 | n = 23 |
| Single sport participation | 63% (33) | 66% (19) | 54% (7) |
| Year-round single sport | 2% (1) | 7% (2) | 15% (2) |
| SSS items | 0% (0) | 3% (1) | 15% (2) |
| Age 9 | n = 61 | n = 33 | n = 15 |
| Single sport participation | 57% (35) | 64% (21) | 53% (8) |
| Year-round single sport | 5% (3) | 9% (3) | 20% (3) |
| SSS items | 0% (0) | 6% (2) | 20% (3) |
| Age 10 | n = 71 | n = 42 | n = 20 |
| Single sport participation | 49% (35) | 48% (20) | 50% (10) |
| Year-round one sport | 6% (4) | 14% (6) | 15% (3) |
| SSS | 0% (0) | 7% (3) | 15% (3) |
| Age 11 | n = 77 | n = 46 | n = 23 |
| Single sport participation | 45% (35) | 50% (23) | 52% (12) |
| Year-round single sport | 5% (4) | 22% (10) | 13% (3) |
| SSS items | 1% (1) | 10% (5) | 13% (3) |
| Age 12 | n = 85 | n = 51 | n = 27 |
| Single sport participation | 41% (35) | 47% (24) | 48% (13) |
| Year-round single sport | 8% (7) | 22% (11) | 11% (3) |
| SSS items | 1% (1) | 14% (7) | 11% (3) |
| Age 13 | n = 92 | n = 58 | n = 29 |
| Single sport participation | 50% (46) | 48% (28) | 41% (12) |
| Year-round single sport | 17% (16) | 22% (13) | 10% (3) |
| SSS items | 10% (9) | 15% (9) | 10% (3) |
| Age 14 | n = 102 | n = 62 | n = 33 |
| Single sport participation | 51% (53) | 45% (28) | 39% (13) |
| Year-round single sport | 28% (29) | 26% (16) | 15% (5) |
| SSS items | 19% (20) | 20% (13) | 15% (5) |
| Age 15 | n = 110 | n = 65 | n = 33 |
| Single sport participation | 58% (64) | 49% (32) | 36% (12) |
| Year-round single sport | 38% (42) | 34% (22) | 18% (6) |
| SSS items | 32% (35) | 28% (18) | 18% (6) |
| Age 16 | n = 114 | n = 67 | n = 33 |
| Single sport participation | 64% (73) | 55% (37) | 36% (12) |
| Year-round single sport | 50% (58) | 44% (30) | 21% (7) |
| SSS items | 45% (51) | 39% (26) | 21% (7) |
| Age 17 | n = 116 | n = 68 | n = 34 |
| Single sport participation | 73% (85) | 65% (44) | 47% (16) |
| Year-round single sport | 63% (73) | 53% (36) | 26% (9) |
| SSS items | 60% (70) | 53% (36) | 26% (9) |
| Age 18 | n = 119 | n = 69 | n = 34 |
| Single sport participation | 86% (102) | 84% (58) | 70% (24) |
| Year-round single sport | 77% (92) | 74% (51) | 53% (18) |
| SSS items | 76% (91) | 74% (51) | 53% (18) |
Publisher’s Note: MDPI stays neutral with regard to jurisdictional claims in published maps and institutional affiliations. |
© 2022 by the authors. Licensee MDPI, Basel, Switzerland. This article is an open access article distributed under the terms and conditions of the Creative Commons Attribution (CC BY) license (https://creativecommons.org/licenses/by/4.0/).
Share and Cite
Mosher, A.; Fraser-Thomas, J.; Wilson, M.J.; Baker, J. Proportions of Early Specializers Varies According to Methods and Skill Level. Sports 2022, 10, 34. https://doi.org/10.3390/sports10030034
Mosher A, Fraser-Thomas J, Wilson MJ, Baker J. Proportions of Early Specializers Varies According to Methods and Skill Level. Sports. 2022; 10(3):34. https://doi.org/10.3390/sports10030034
Chicago/Turabian StyleMosher, Alexandra, Jessica Fraser-Thomas, Melissa J. Wilson, and Joseph Baker. 2022. "Proportions of Early Specializers Varies According to Methods and Skill Level" Sports 10, no. 3: 34. https://doi.org/10.3390/sports10030034
APA StyleMosher, A., Fraser-Thomas, J., Wilson, M. J., & Baker, J. (2022). Proportions of Early Specializers Varies According to Methods and Skill Level. Sports, 10(3), 34. https://doi.org/10.3390/sports10030034

