- Systematic Review
Exploring the Impact of Nanotherapeutics on Histone H3 and H4 Acetylation Enrichment in Cancer Epigenome: A Systematic Scoping Synthesis
- Milad Shirvaliloo,
- Sepideh Khoee,
- Samideh Khoei,
- Roghayeh Sheervalilou,
- Parisa Mohammad Hosseini,
- Reza Afzalipour and
- Sakine Shirvalilou
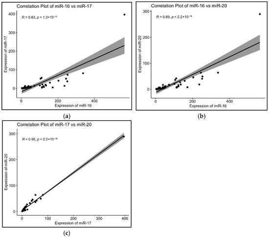
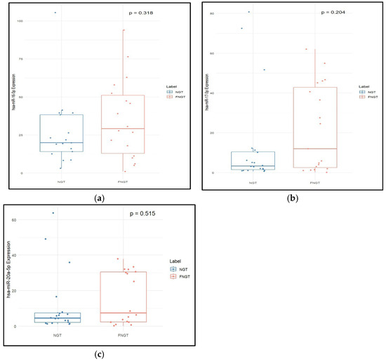
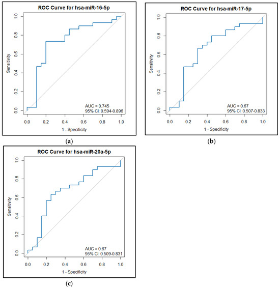
Background/Objectives: Histone acetylation regulates gene expression and plays a key role in cancer pathophysiology. Nanotherapeutics are known to modulate histone acetylation and influence cancer progression. This systematic scoping review examines...

