RNA Interference-Mediated Knockdown of Male Fertility Genes in the Queensland Fruit Fly Bactrocera tryoni (Diptera: Tephritidae)
Abstract
1. Introduction
2. Materials and Methods
2.1. Insect Culture
2.2. RNA Isolation
2.3. RT-PCR Analysis
2.4. Preparation of dsRNA
2.5. Delivering dsRNA to B. tryoni Adult Males
2.6. B. tryoni Fertility Assays
2.7. Statistical Analysis
3. Results
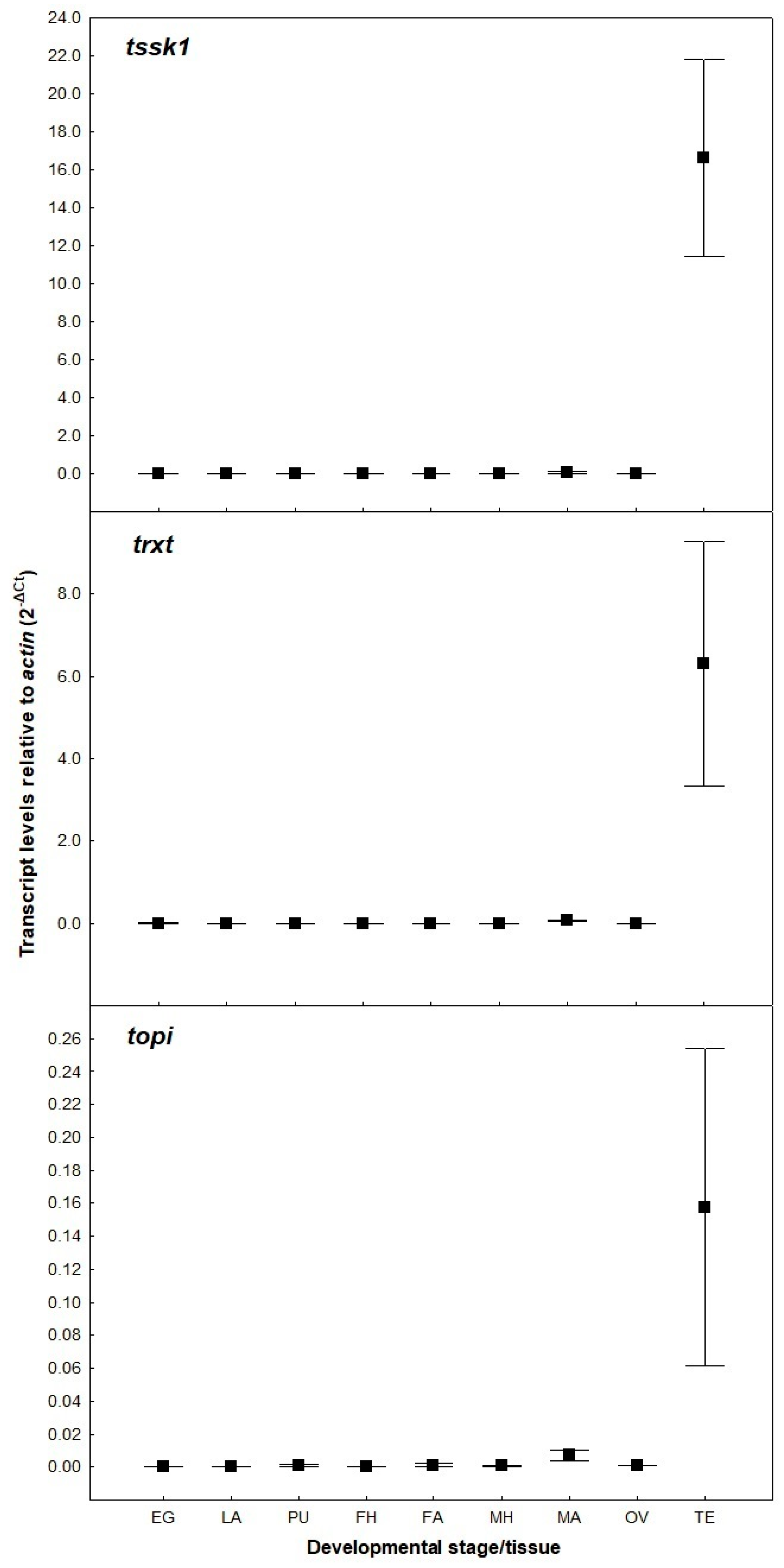
3.1. Target Genes Identification and Tissue-Specificity
3.2. RNAi-Mediated Knockdown of Target Genes
3.3. Effect of Gene Silencing on Male Fecundity
3.4. Effect of Gene Silencing on Male Competitiveness
4. Discussion
5. Conclusions
Supplementary Materials
Author Contributions
Funding
Acknowledgments
Conflicts of Interest
References
- Dominiak, B.C.; Wiseman, B.; Anderson, C.; Walsh, B.; McMahon, M.; Duthie, R. Definition of and management strategies for areas of low pest prevalence for Queensland fruit fly Bactrocera tryoni Froggatt. Crop Prot. 2015, 72, 41–46. [Google Scholar] [CrossRef]
- Fanson, B.G.; Sundaralingam, S.; Jiang, L.; Dominiak, B.C.; D’Arcy, G. A review of 16 years of quality control parameters at a mass-rearing facility producing Queensland fruit fly, Bactrocera tryoni. Entomol. Exp. Appl. 2014, 151, 152–159. [Google Scholar] [CrossRef]
- Juan-Blasco, M.; Sabater-Muñoz, B.; Pla, I.; Argilés, R.; Castañera, P.; Jacas, J.A.; Ibáñez-Gual, M.V.; Urbaneja, A. Estimating SIT-driven population reduction in the Mediterranean fruit fly, Ceratitis capitata, from sterile mating. Bull. Entomol. Res. 2014, 104, 233–242. [Google Scholar] [CrossRef] [PubMed]
- Dominiak, B.C.; Campbell, A.J.; Worsley, P.; Nicol, H.I. Evaluation of three ground release methods for sterile Queensland fruit fly Bactrocera tryoni (Froggatt) (Diptera: Tephritidae). Crop Prot. 2011, 30, 1541–1545. [Google Scholar] [CrossRef]
- Scott, M.J.; Concha, C.; Welch, J.B.; Phillips, P.L.; Skoda, S.R. Review of research advances in the screwworm eradication program over the past 25 years. Entomol. Exp. Appl. 2017, 164, 226–236. [Google Scholar] [CrossRef]
- Bowman, D.D. Successful and currently ongoing parasite eradication programs. Vet. Parasitol. 2006, 139, 293–307. [Google Scholar] [CrossRef] [PubMed]
- Bloem, S.; Carpenter, J.; Mccluskey, A.; Fugger, R.; Arthur, S.; Wood, S. Suppression of the Codling Moth Cydia pomonella in British Columbia, Canada Using an Area-Wide Integrated Approach with an SIT Components. In Area-Wide Control of Insect Pests; Vreysen, M.J.B., Robinson, A.S., Hendrichs, J., Eds.; Springer Netherlands: Dordrecht, The Netherlands, 2007; pp. 591–601. [Google Scholar]
- Enkerlin, W.; Gutiérrez-Ruelas, J.M.; Cortes, A.V.; Roldan, E.C.; Midgarden, D.; Lira, E.; López, J.L.Z.; Hendrichs, J.; Liedo, P.; Arriaga, F.J.T. Area Freedom in Mexico from Mediterranean Fruit Fly (Diptera: Tephritidae): A Review of Over 30 Years of a Successful Containment Program Using an Integrated Area-Wide SIT Approach. Fla. Entomol. 2015, 98, 665–681. [Google Scholar] [CrossRef]
- Suckling, D.M.; Kean, J.M.; Stringer, L.D.; Cáceres-Barrios, C.; Hendrichs, J.; Reyes-Flores, J.; Dominiak, B.C. Eradication of tephritid fruit fly pest populations: Outcomes and prospects. Pest Manag. Sci. 2016, 72, 456–465. [Google Scholar] [CrossRef] [PubMed]
- Koyama, J.; Kakinohana, H.; Miyatake, T. Eradication of the melon fly, Bactrocera cucurbitae, in Japan: Importance of behavior, ecology, genetics, and evolution. Annu. Rev. Entomol. 2004, 49, 331–349. [Google Scholar] [CrossRef] [PubMed]
- Rull, J.; Encarnacion, N.; Birke, A. Mass rearing history and irradiation affect mating performance of the male fruit fly, Anastrepha obliqua. J. Insect Sci. 2012, 12, 1–10. [Google Scholar] [CrossRef] [PubMed]
- Hooper, G.H.S. Sterilization of the Mediterranean fruit fly with gamma radiation: Effect on male competitiveness and change on fertility of females alternately mated with irradiated and untreated males. J. Econ. Entomol. 1972, 65, 1–6. [Google Scholar] [CrossRef] [PubMed]
- Collins, S.R.; Weldon, C.W.; Banos, C.; Taylor, P.W. Effects of irradiation dose rate on quality and sterility of Queensland fruit flies, Bactrocera tryoni (Froggatt). J. Appl. Entomol. 2008, 132, 398–405. [Google Scholar] [CrossRef]
- Toledo, J.; Rull, J.; Oropeza, A.; Hernández, E.; Liedo, P. Irradiation of Anastrepha obliqua (Diptera: Tephritidae) Revisited: Optimizing Sterility Induction. J. Econ. Entomol. 2004, 97, 383–389. [Google Scholar] [CrossRef] [PubMed]
- Dominiak, B.C.; Sundaralingam, S.; Jiang, L.; Fanson, B.G.; Collins, S.R.; Banos, C.; Davies, J.B.; Taylor, P.W. Evaluating Irradiation Dose for Sterility Induction and Quality Control of Mass-Produced Fruit Fly Bactrocera tryoni (Diptera: Tephritidae). J. Econ. Entomol. 2014, 107, 1172–1178. [Google Scholar] [CrossRef] [PubMed]
- Whyard, S.; Singh, A.D.; Wong, S. Ingested double-stranded RNAs can act as species-specific insecticides. Insect Biochem. Mol. Biol. 2009, 39, 824–832. [Google Scholar] [CrossRef] [PubMed]
- Whyard, S.; Erdelyan, C.; Partridge, A.L.; Singh, A.D.; Beebe, N.W.; Capina, R. Silencing the buzz: A new approach to population suppression of mosquitoes by feeding larvae double-stranded RNAs. Parasites Vectors 2015, 8, 1–11. [Google Scholar] [CrossRef] [PubMed]
- Thailayil, J.; Magnusson, K.; Godfray, H.C.J.; Crisanti, A.; Catteruccia, F. Spermless males elicit large-scale female responses to mating in the malaria mosquito Anopheles gambiae. Proc. Natl. Acad. Sci. 2011, 108, 13677–13681. [Google Scholar] [CrossRef] [PubMed]
- Ali, M.W.; Zheng, W.; Sohail, S.; Li, Q.; Zheng, W.; Zhang, H. A genetically enhanced sterile insect technique against the fruit fly, Bactrocera dorsalis (Hendel) by feeding adult double-stranded RNAs. Sci. Rep. 2017, 7, 4063. [Google Scholar] [CrossRef] [PubMed]
- Dong, Y.C.; Wang, Z.J.; Chen, Z.Z.; Clarke, A.R.; Niu, C.Y. Bactrocera dorsalis male sterilization by targeted RNA interference of spermatogenesis: Empowering sterile insect technique programs. Sci. Rep. 2016, 6, 35750. [Google Scholar] [CrossRef] [PubMed]
- Chen, S.L.; Dai, S.M.; Lu, K.H.; Chang, C. Female-specific doublesex dsRNA interrupts yolk protein gene expression and reproductive ability in oriental fruit fly, Bactrocera dorsalis (Hendel). Insect Biochem. Mol. Biol. 2008, 38, 155–165. [Google Scholar] [CrossRef] [PubMed]
- Peng, W.; Zheng, W.; Handler, A.M.; Zhang, H. The role of the transformer gene in sex determination and reproduction in the tephritid fruit fly, Bactrocera dorsalis (Hendel). Genetica 2015, 143, 717–727. [Google Scholar] [CrossRef] [PubMed]
- Yang, W.J.; Wu, Y.B.; Chen, L.; Xu, K.K.; Xie, Y.F.; Wang, J.J. Two chitin biosynthesis pathway genes in Bactrocera dorsalis (Diptera: Tephritidae): Molecular characteristics, expression patterns, and roles in larval-pupal transition. J. Econ. Entomol. 2015, 108, 2433–2442. [Google Scholar] [CrossRef] [PubMed]
- Wei, D.; Li, H.M.; Yang, W.J.; Wei, D.D.; Dou, W.; Huang, Y.; Wang, J.J. Transcriptome profiling of the testis reveals genes involved in spermatogenesis and marker discovery in the oriental fruit fly, Bactrocera dorsalis. Insect Mol. Biol. 2015, 24, 41–57. [Google Scholar] [CrossRef] [PubMed]
- Xu, B.; Hao, Z.; Jha, K.N.; Zhang, Z.; Urekar, C.; Digilio, L.; Pulido, S.; Strauss, J.F.; Flickinger, C.J.; Herr, J.C. Targeted deletion of Tssk1 and 2 causes male infertility due to haploinsufficiency. Dev. Biol. 2008, 319, 211–222. [Google Scholar] [CrossRef] [PubMed]
- Perezgasga, L.; Jiang, J.; Bolival, B.J.; Hiller, M.; Benson, E.; Fuller, M.T.; White-Cooper, H. Regulation of transcription of meiotic cell cycle and terminal differentiation genes by the testis-specific Zn-finger protein matotopetli. Development 2004, 131, 1691–1702. [Google Scholar] [CrossRef] [PubMed]
- Svensson, M.J.; Don Chen, J.; Pirrotta, V.; Larsson, J. The ThioredoxinT and deadhead gene pair encode testis- and ovary-specific thioredoxins in Drosophila melanogaster. Chromosoma 2003, 112, 133–143. [Google Scholar] [CrossRef] [PubMed]
- Li, Y.-L.; Hou, M.-Z.; Shen, G.-M.; Lu, X.-P.; Wang, Z.; Jia, F.-X.; Wang, J.-J.; Dou, W. Functional analysis of five trypsin-like protease genes in the oriental fruit fly, Bactrocera dorsalis (Diptera: Tephritidae). Pestic. Biochem. Physiol. 2017, 136, 52–57. [Google Scholar] [CrossRef] [PubMed]
- Khan, M. Potential of liquid larval diets for mass rearing of Queensland fruit fly, Bactrocera tryoni (Froggatt) (Diptera: Tephritidae). Aust. J. Entomol. 2013, 52, 268–276. [Google Scholar] [CrossRef]
- Livak, K.J.; Schmittgen, T.D. Analysis of Relative Gene Expression Data Using Real-Time Quantitative PCR and the 2-ΔΔCt Method. Methods 2001, 25, 402–408. [Google Scholar] [CrossRef] [PubMed]
- Radhakrishnan, P.; Taylor, P.W. Ability of male Queensland fruit flies to inhibit receptivity in multiple mates, and the associated recovery of accessory glands. J. Insect Physiol. 2008, 54, 421–428. [Google Scholar] [CrossRef] [PubMed]
- Fletcher, B.S. The Biology of Dacine Fruit Flies. Ann. Rev. Entomol. 1987, 32, 115–144. [Google Scholar] [CrossRef]
- Amdam, G.V.; Simões, Z.L.P.; Guidugli, K.R.; Norberg, K.; Omholt, S.W. Disruption of vitellogenin gene function in adult honeybees by intraabdominal injection of double-stranded RNA. BMC Biotechnol. 2003, 3, 1–8. [Google Scholar] [CrossRef] [PubMed]
- Arakane, Y.; Dixit, R.; Begum, K.; Park, Y.; Specht, C.A.; Merzendorfer, H.; Kramer, K.J.; Muthukrishnan, S.; Beeman, R.W. Analysis of functions of the chitin deacetylase gene family in Tribolium castaneum. Insect Biochem. Mol. Biol. 2009, 39, 355–365. [Google Scholar] [CrossRef] [PubMed]
- Ramesh Kumar, D.; Saravana Kumar, P.; Gandhi, M.R.; Al-Dhabi, N.A.; Paulraj, M.G.; Ignacimuthu, S. Delivery of chitosan/dsRNA nanoparticles for silencing of wing development vestigial (vg) gene in Aedes aegypti mosquitoes. Int. J. Biol. Macromol. 2016, 86, 89–95. [Google Scholar] [CrossRef] [PubMed]
- Taning, C.N.T.; Christiaens, O.; Berkvens, N.; Casteels, H.; Maes, M.; Smagghe, G. Oral RNAi to control Drosophila suzukii: Laboratory testing against larval and adult stages. J. Pest. Sci. 2016, 89, 803–814. [Google Scholar] [CrossRef]
- Shelly, T.; McInnis, D. Sterile Insect Technique and Control of Tephritid Fruit Flies: Do Species With Complex Courtship Require Higher Overflooding Ratios? Ann. Entomol. Soc. Am. 2016, 109, 1–11. [Google Scholar] [CrossRef]
- Reynolds, O.; Orchard, B.; Jessup, A.; Dominiak, B.C.; Smallridge, C.; Cockington, V.; Penrose, L.; Taylor, P.W.; Collins, S.R. Enhancing Emergence and Release Methods of the Sterile Insect Technique (SIT) to Improve Market Access; Horticulture Australia Ltd.: Sydney, Australia, 2012; ISBN 0-7341-2918-1. [Google Scholar]
- Joga, M.R.; Zotti, M.J.; Smagghe, G.; Christiaens, O. RNAi Efficiency, Systemic Properties, and Novel Delivery Methods for Pest Insect Control: What We Know So Far. Front. Physiol. 2016, 7, 1–14. [Google Scholar] [CrossRef] [PubMed]
- Palli, S.R. RNA interference in Colorado potato beetle: Steps toward development of dsRNA as a commercial insecticide. Curr. Opin. Insect Sci. 2014, 6, 1–8. [Google Scholar] [CrossRef] [PubMed]
- Liu, G.; Wu, Q.; Li, J.; Zhang, G.; Wan, F. RNAi-mediated knock-down of transformer and transformer 2 to generate male-only progeny in the oriental fruit fly, Bactrocera dorsalis (Hendel). PLoS ONE 2015, 10, e0128892. [Google Scholar] [CrossRef] [PubMed]




© 2018 by the authors. Licensee MDPI, Basel, Switzerland. This article is an open access article distributed under the terms and conditions of the Creative Commons Attribution (CC BY) license (http://creativecommons.org/licenses/by/4.0/).
Share and Cite
Cruz, C.; Tayler, A.; Whyard, S. RNA Interference-Mediated Knockdown of Male Fertility Genes in the Queensland Fruit Fly Bactrocera tryoni (Diptera: Tephritidae). Insects 2018, 9, 96. https://doi.org/10.3390/insects9030096
Cruz C, Tayler A, Whyard S. RNA Interference-Mediated Knockdown of Male Fertility Genes in the Queensland Fruit Fly Bactrocera tryoni (Diptera: Tephritidae). Insects. 2018; 9(3):96. https://doi.org/10.3390/insects9030096
Chicago/Turabian StyleCruz, Carlos, Alison Tayler, and Steve Whyard. 2018. "RNA Interference-Mediated Knockdown of Male Fertility Genes in the Queensland Fruit Fly Bactrocera tryoni (Diptera: Tephritidae)" Insects 9, no. 3: 96. https://doi.org/10.3390/insects9030096
APA StyleCruz, C., Tayler, A., & Whyard, S. (2018). RNA Interference-Mediated Knockdown of Male Fertility Genes in the Queensland Fruit Fly Bactrocera tryoni (Diptera: Tephritidae). Insects, 9(3), 96. https://doi.org/10.3390/insects9030096
