Comparing Machine Learning Using UAVs to Ground Survey Methods to Quantify Milkweed Stem Density and Habitat Characteristics in ROWs
Simple Summary
Abstract
1. Introduction
2. Materials and Methods
2.1. Habitat Characteristics
2.2. Ground Truthing
2.3. Ground Survey Methodology
2.4. Machine Learning Vegetation Assessment
2.4.1. Flight Plans and Data Collection
2.4.2. UAV Platforms and Sensors
2.4.3. Image Analysis
2.4.4. Machine Learning Models
2.5. Comparison of Survey Methodologies
2.6. Cost Estimates
2.6.1. Labor Costs
Example: $28.27 × (1:42:5 × 24) = $48.50
2.6.2. Equipment Costs
Example: $38.50 + 18.43 = $56.93
$56.93 × (1:42:5 × 24) = $97.67
2.6.3. UAV Equipment Costs and Analysis
× (Recorded Time × 24) = Cost
Example: $28.50 + 18.43 + 16.59 = $63.52
$63.52 × (1:42:5 × 24) = $108.0
2.7. Statistical Analysis
3. Results
3.1. Ground Truthing
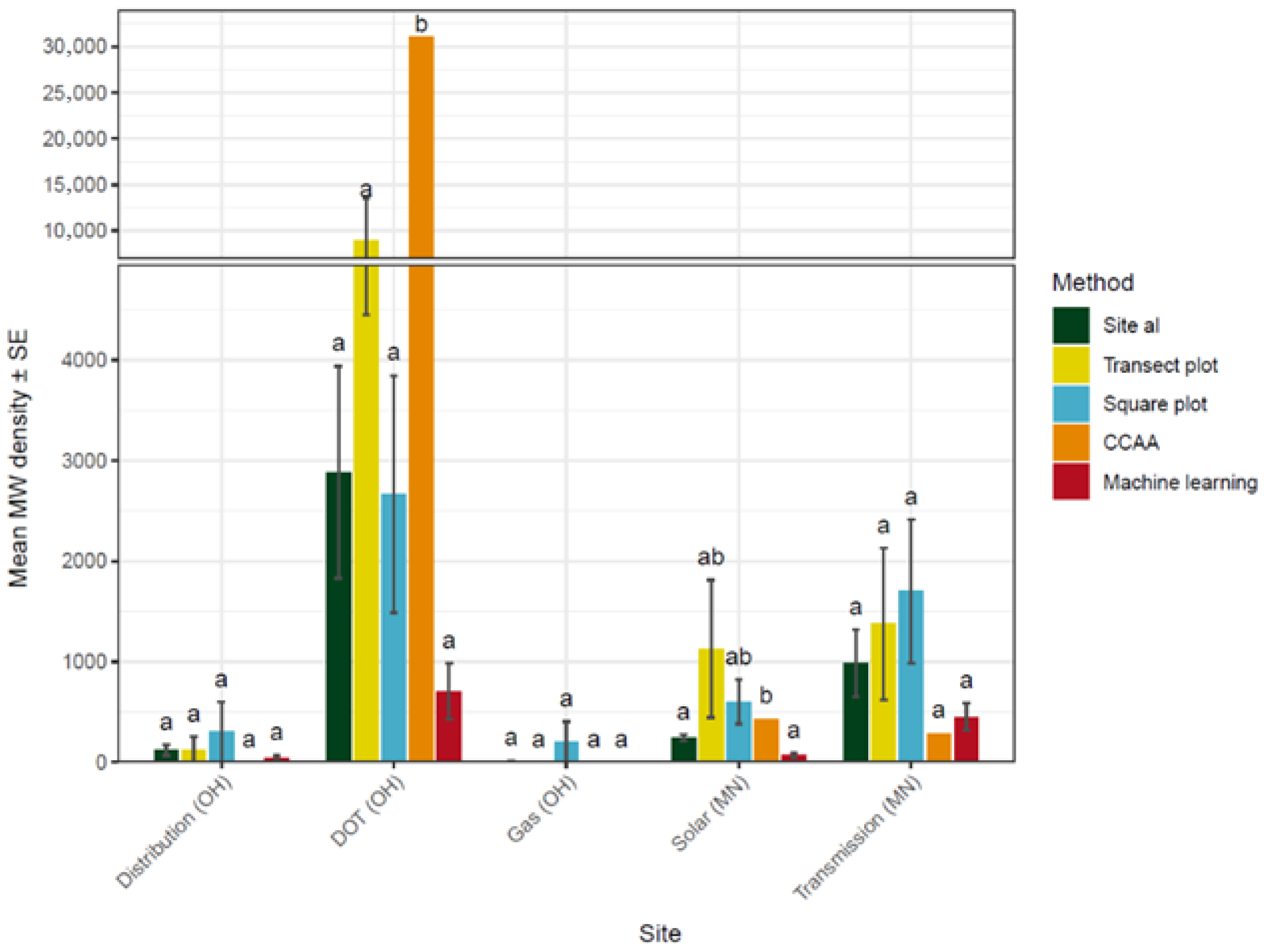
3.2. Comparison of Survey Methodology to Detect Milkweed Stem Density
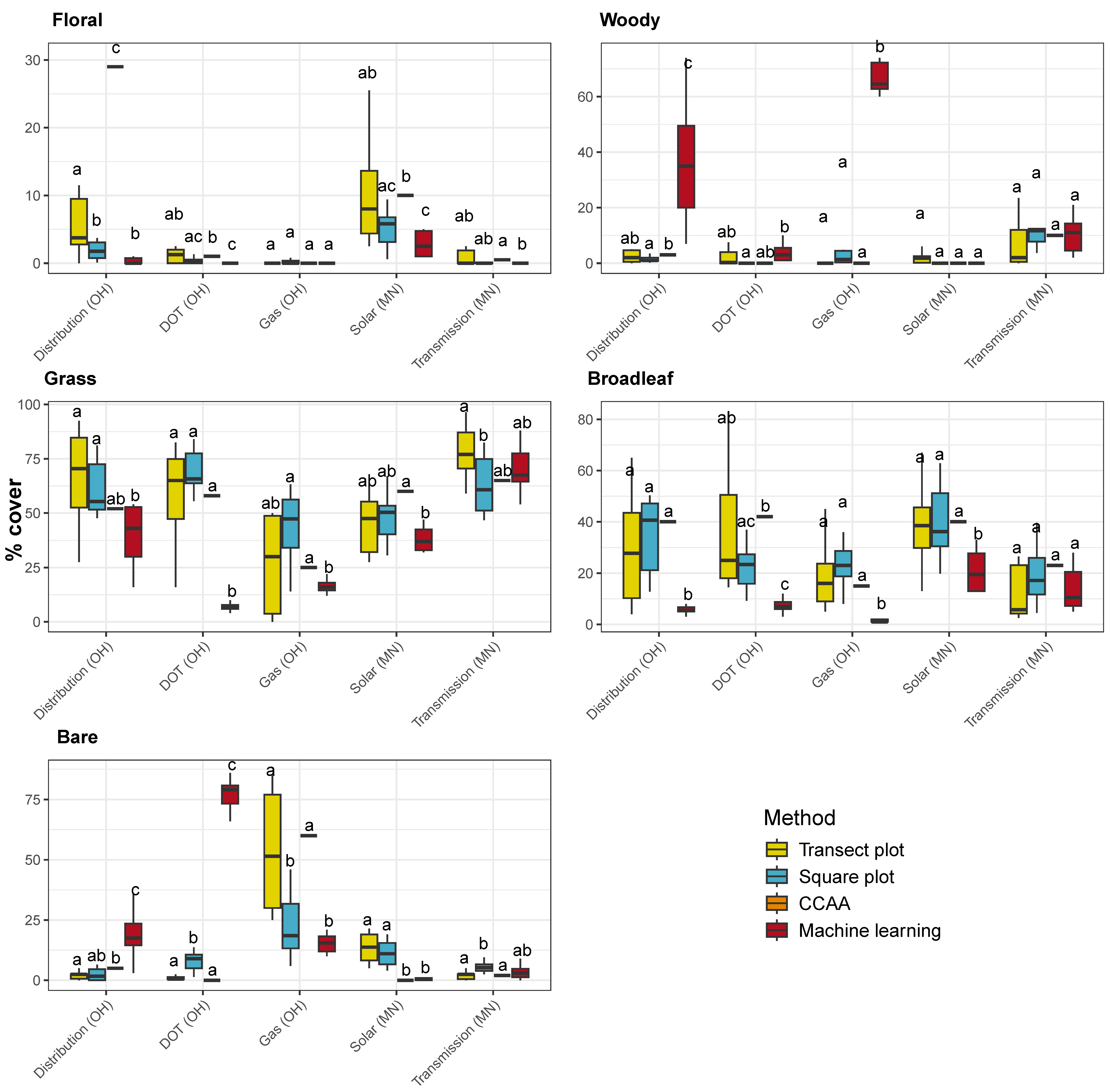
3.3. Comparison of Survey Methodologies to Estimate Habitat Characteristics
3.4. Comparison of Cost and Efficiency of Field Activities
4. Discussion
5. Conclusions
Author Contributions
Funding
Data Availability Statement
Acknowledgments
Conflicts of Interest
References
- Bramble, W.; Byrnes, W. Thirty years of research on development of plant cover on an electric transmission right-of-way. J. Arboric. 1983, 9, 67–74. [Google Scholar] [CrossRef]
- Smallidge, P.; Leopold, D.; Allen, C. Community characteristics of vegetation management of Karner blue butterfly (Lycaeides melissa samuelis) habitats on rights-of-way in east central New York, USA. J. Appl. Ecol. 1996, 33, 1405–1419. [Google Scholar] [CrossRef]
- Forrester, J.; Leopold, D.; Hafner, S. Maintaining critical habitat in a heavily managed landscape: Effects of power line corridor management on Karner Blue Butterfly (Lycaeides melissa samuelis) habitat. Restor. Ecol. 2005, 13, 488 498. [Google Scholar] [CrossRef]
- Russo, L.; Stout, H.; Roberts, D.; Ross, B.; Mahan, C. Powerline right-of-way management and flower-visiting insects: How vegetation management can promote pollinator diversity. PLoS ONE 2021, 16, e0245146. [Google Scholar]
- Bramble, W.; Yahner, R.; Byrnes, W. Effect of herbicide maintenance of an electric transmission line right-of-way on butterfly populations. J. Arboric. 1999, 25, 302–310. [Google Scholar] [CrossRef]
- Wagner, D.; Ascher, J. A transmission rights-of-way as habitat for wild bees (Hymenoptera: Apoidea: Anthopilla) in Connecticut. Ann. Entomol. Soc. Am. 2014, 107, 1110–1120. [Google Scholar] [CrossRef]
- Wagner, D.; Metzler, K.; Frye, H. Importance of transmis24sion line corridors for conservation of native bees and other pollinators. Biol. Conserv. 2019, 235, 147–156. [Google Scholar] [CrossRef]
- Xerces Society Western Monarch Count. Available online: https://westernmonarchcount.org/data/ (accessed on 15 December 2025).
- MonarchWatch: Is the Eastern Monarch Population Continuing to Decline? Available online: https://monarchwatch.org/blog/2024/03/29/is-the-eastern-monarch-population-continuing-to-decline/ (accessed on 15 December 2025).
- Woodson, R. The North American species of Asclepias L. Ann. Mo. Bot. Gard. 1954, 41, 1–212. [Google Scholar] [CrossRef]
- Nowak, C.; Ballard, B. A framework for applying integrated vegetation management on rights-of-way. J. Arboric. 2005, 31, 28–37. [Google Scholar] [CrossRef]
- U.S. Energy Information Administration: Today in Energy. Available online: https://www.eia.gov/todayinenergy/detail.php?id=27152 (accessed on 15 December 2025).
- Russell, K.; Ikerd, H.; Droege, S. The potential conservation value of unmowed powerline strips for native bees. Biol. Conserv. 2005, 124, 133–148. [Google Scholar] [CrossRef]
- Nationwide CCAA for Monarch Butterfly. Available online: https://rightofway.erc.uic.edu/national-monarch-ccaa/ (accessed on 15 December 2025).
- Pollinator Habitat Scorecard. Available online: https://rightofway.erc.uic.edu/pollinator-habitat-scorecard/ (accessed on 15 December 2025).
- Marsch, D.; Trenham, P. Current trends in plant and animal population monitoring. Conserv. Biol. 2008, 22, 647–655. [Google Scholar] [CrossRef] [PubMed]
- Reisch, C.; Schmid, C.; Hartig, F. A comparison of methods for estimating plant population size. Biodivers. Conserv. 2018, 27, 2021–2028. [Google Scholar] [CrossRef]
- Keith, D. Sampling designs, field techniques and analytical methods for systematic plant population surveys. Ecol. Manag. Restor. 2000, 1, 125–139. [Google Scholar] [CrossRef]
- Field, S.; Tyre, A.; Possingham, H. Optimizing allocation of monitoring effort under economic and observational restraints. J. Wildl. Manag. 2005, 69, 473–482. [Google Scholar]
- Royle, J.; Nichols, J. Estimating abundance from repeated presence-absence data or point counts. Ecology 2003, 84, 777–790. [Google Scholar] [CrossRef]
- Phillippi, T. Adaptive cluster sampling for estimation of abundances within local populations of low-abundance plants. Ecology 2005, 86, 1091–1100. [Google Scholar] [CrossRef]
- De Castro, A.; Shi, Y.; Maja, J.; Pena, J. UAVs for vegetation monitoring: Overview and recent scientific contributions. Remote Sens. 2021, 13, 2139. [Google Scholar] [CrossRef]
- Betitame, K.; Igathinathane, C.; Howatt, K.; Mettler, J.; Koparan, C.; Sun, X. A practical guide to UAV-based weed identification in soybean: Comparing RGB and multispectral sensor performance. J. Agric. Food Res. 2025, 20, 101784. [Google Scholar] [CrossRef]
- Veeranaampalayam Sivakumar, A.; Li, J.; Scott, S.; Psota, E.; Jhala, A.; Luck, J.; Shi, Y. Comparison of object detection and patch-based classification deep learning models on mid to late-season weed detection in UAV imagery. Remote Sens. 2020, 12, 2136. [Google Scholar] [CrossRef]
- Zan, X.; Zhang, X.; Xing, Z.; Liu, W.; Zhang, X.; Su, W.; Liu, Z.; Zhao, Y.; Li, S. Automatic detection of maize tassels from UAV images by combining random forest classifier and VGG16. Remotes Sens. 2020, 12, 3049. [Google Scholar] [CrossRef]
- Huang, Y.; Reddy, K.; Thompson, S.; Yao, H. Assessment of soybean injury from glyphosate using airborne multispectral remote sensing. Pest Manag. Sci. 2015, 71, 545–552. [Google Scholar]
- Zhang, J.; Xie, T.; Yang, C.; Song, H.; Jiang, Z.; Zhou, G.; Zhang, D.; Feng, H.; Xie, J. Segmenting purple rapeseed leaves in the field from UAV RGB imagery using deep learning as an auxiliary means for nitrogen stress detection. Remote Sens. 2020, 12, 1403. [Google Scholar]
- Freeman, D.; Gupta, S.; Smith, D.; Maja, J.; Robbins, J.; Owen, J.; Pena, J.; de Castro, A. Watson on the farm: Using cloud-based artificial intelligence to identify early indications of water stress. Remote Sens. 2019, 11, 2645. [Google Scholar] [CrossRef]
- Mahan, C.; Ross, B.; Yahner, R. The effects of integrated vegetation management on richness of native compatible flowering plants and abundance of non-compatible tree species on a right-of-way in central Pennsylvania, USA. Arboric. Urban For. 2020, 46, 395–401. [Google Scholar]
- Robinson, J.; Lulla, K.; Kashiwagi, M.; Suzuki, M.; Nellis, M.; Bussing, C.; Long, J.; McKenzie, L. Conservation applications of astronaut photographs of Earth: Tidal-flat loss (Japan), elephant effects on vegetation (Botswana), and seagrass and mangrove monitoring (Australia). Conserv. Biol. 2001, 15, 867–884. [Google Scholar] [CrossRef]
- U.S. Bureau of Labor Statistics. Available online: https://www.bls.gov/oes/2023/may/oes194042.htm (accessed on 5 January 2026).
- Make Compensation Your Competitive Advantage. Available online: https://www.payscale.com/ (accessed on 5 January 2026).
- R Core Team. R: A Language and Environment for Statistical Computing, v4.5.2; R Foundation for Statistical Computing: Vienna, Austria, 2025.
- Wickham, H.; Averick, M.; Bryan, J.; Chang, W.; McGowan, L.D.; François, R.; Grolemund, G.; Hayes, A.; Henry, L.; Hester, J.; et al. Welcome to the tidyverse. J. Open Source Softw. 2019, 4, 1686. [Google Scholar] [CrossRef]
- Wickham, H. How to Use R ggplot2: Elegant Graphics for Data Analysis; Springer: New York, NY, USA, 2016; pp. 189–201. [Google Scholar]
- Robinson, D.; Hayes, A.; Couch, S. broom: Convert Statistical Objects into Tidy Tibbles, R package version 2025.1.0.11; R Foundation for Statistical Computing: Vienna, Austria. Available online: https://cran.r-project.org/web/packages/broom/index.html (accessed on 5 January 2026).
- Wilke, C. cowplot: Streamlined Plot Theme and Plot Annotations for ggplot2, R package version 2025.1.2.0; R Foundation for Statistical Computing: Vienna, Austria. Available online: https://cran.r-project.org/web/packages/cowplot/index.html (accessed on 5 January 2026).
- Xu, S.; Dai, Z.; Jin, Y.; Tang, Y. ggbreak: Set Axis Breaks for ggplot2. R J. 2021, 13, 544–552. [Google Scholar]
- Graves, S.; Piepho, H.; Selzer, L.; Dorai-Raj, S. multcompView: Visualizations of Paired Comparisons, R package version 2024; R Foundation for Statistical Computing: Vienna, Austria. Available online: https://cran.r-project.org/web/packages/multcompView/index.html (accessed on 5 January 2026).
- Gogol-Prokurat, M. Characterizing habitat suitability for disturbance-dependent rare plants of gabbro soils. Calif. Fish Game 2014, 100, 19–33. [Google Scholar]
- Confer, J.; Pascoe, S. Avian communities on utility rights-of-way and other managed shrublands in northeastern United States. For. Ecol. Manag. 2003, 185, 195–205. [Google Scholar]
- Bramble, W.; Yahner, R.; Byrnes, W.; Liscinsky, S. Small mammals in plant cover types on an electric utility right-of-way. J. Arboric. 1992, 18, 318–319. [Google Scholar]
- Right-of-Way Stewardship Council. Accreditation. Available online: https://rowstewardship.org/accreditation.php (accessed on 3 February 2026).
- National Wildlife Federation. Certify Wildlife Habitat. Available online: https://www.nwf.org/Native-Plant-Habitats/Plant-Native/Certify-Wildlife-Habitat (accessed on 6 January 2025).
- USFWS. Endangered Species Act Protection for Monarch Butterfly. Available online: https://www.fws.gov/press-release/2024-12/endangered-species-act-protection-monarch-butterfly (accessed on 6 February 2026).
- Miller, R. Best Management Practices—Integrated Vegetation Management, 3rd ed.; International Society of Arboriculture: Atlanta, GA, USA, 2021. [Google Scholar]
- ANSI Z-133; Safety Requirements for Arboriculture Operations. American National Standards Institute: Atlanta, GA, USA, 2017.
- Parasuraman, R.; Manzey, D. Complacency and bias in human use of automation: An attentional integration. J. Hum. Factors Ergon. Soc. 2010, 52, 3. [Google Scholar] [CrossRef]
- Fruggiero, F.; Fera, M.; Lambiase, A.; Maresca, P.; Caja, J. The role of human fatigue in the uncertainty of measurement. Procedia Manuf. 2017, 13, 1320–1327. [Google Scholar] [CrossRef]
- Baker, A.M.; Potter, D.A. Configuration and location of small urban gardens affect colonization by monarch butterflies. Front. Ecol. Evol. 2019, 7, 474. [Google Scholar] [CrossRef]
- Zalucki, M.; Kitching, R. Dynamics of oviposition in Danaus plexippus (Insecta: Lepidoptera) on milkweed, Asclepias spp. J. Zool. 1982, 198, 103–116. [Google Scholar]
- Pollard, E. Method for assessing changes in abundance of butterflies. Biol. Conserv. 1977, 12, 115–134. [Google Scholar] [CrossRef]
- Gao, Y.; Xue, X.; Qin, G.; Li, K.; Liu, J.; Zhang, Y.; Li, X. Application of machine learning in automatic image identification of insects—A review. Ecol. Inform. 2024, 80, 102539. [Google Scholar] [CrossRef]







| Groundcover Type | |||||||||||
|---|---|---|---|---|---|---|---|---|---|---|---|
| Floral | Woody | Grass | Broadleaf | Bare/Dead Vegetation | |||||||
| Method 1 | Method 2 | Slope | R2 | Slope | R2 | Slope | R2 | Slope | R2 | Slope | R2 |
| Machine learning | Transect plot | 2.6 | 0.41 | 0 | 0 | 0.5 | 0.18 | 0.6 | 0.07 | −0.2 | 0.04 |
| Machine learning | Square plot | 1.4 | 0.74 | 0.1 | 0.06 | 0 | 0 | 0.6 | 0.12 | 0 | 0.01 |
| Machine learning | CCAA | 19 | 0.71 | 0 | 0 | 0.4 | 0.3 | 1 | 0.14 | −0.1 | 0.02 |
| Transect plot | Square plot | 0.2 | 0.36 | 0.9 | 0.36 | 0.4 | 0.42 | 0.4 | 0.3 | 0.3 | 0.56 |
| Transect plot | CCAA | 0.5 | 0.05 | 0.4 | 0.89 | 0.5 | 0.69 | 0.9 | 0.68 | 0.7 | 0.93 |
| Square plot | CCAA | 11.2 | 0.93 | 0.4 | 0.95 | 0.9 | 0.56 | 0.4 | 0.15 | 1.4 | 0.81 |
| Probability of Outcome | ||||
|---|---|---|---|---|
| Characteristic | Method | Underestimate | Agreement | Overestimate |
| Milkweed | Transect plot | 0.54 | 0.24 | 0.22 |
| Square plot | 0.44 | 0.3 | 0.26 | |
| CCAA | 0.2 | 0.4 | 0.4 | |
| Machine learning | 0.5 | 0.5 | 0 | |
| Floral | Transect plot | 0 | 0.5 | 0.5 |
| Square plot | 0.02 | 0.46 | 0.52 | |
| CCAA | 0 | 0.2 | 0.8 | |
| Woody | Transect plot | 0.66 | 0.12 | 0.22 |
| Square plot | 0.64 | 0.3 | 0.06 | |
| CCAA | 0.6 | 0.4 | 0 | |
| Grass | Transect plot | 0.16 | 0.14 | 0.7 |
| Square plot | 0.2 | 0.06 | 0.74 | |
| CCAA | 0 | 0.2 | 0.8 | |
| Broadleaf | Transect plot | 0.16 | 0.06 | 0.78 |
| Square plot | 0.04 | 0.12 | 0.84 | |
| CCAA | 0 | 0 | 1 | |
| Bare | Transect plot | 0.46 | 0.14 | 0.4 |
| Square plot | 0.46 | 0.14 | 0.4 | |
| CCAA | 0.6 | 0.2 | 0.2 | |
| Site | Method | Field Technician 1 | Drone Pilot 2 | Equipment 3 | Image Analysis 4 | Total Cost |
|---|---|---|---|---|---|---|
| Transmission | Site al | $72.81 | ------ | $47.47 | ------ | $120.28 |
| Transmission | Transect plot | $17.28 | ------ | $11.27 | ------ | $28.55 |
| Transmission | Square plot | $31.40 | ------ | $20.47 | ------ | $51.88 |
| Transmission | CCAA | $4.58 | ------ | $2.98 | ------ | $7.56 |
| Transmission | Machine learning | ------ | $9.53 | $11.71 * | $35.24 | $56.48 |
| Solar | Site al | $48.50 | ------ | $31.62 | ------ | $80.12 |
| Solar | Transect plot | $40.71 | ------ | $26.54 | ------ | $67.25 |
| Solar | Square plot | $51.51 | ------ | $33.58 | ------ | $85.10 |
| Solar | CCAA | $6.29 | ------ | $4.10 | ------ | $10.39 |
| Solar | Machine learning | ------ | $8.07 | $9.91 * | $21.09 | $39.07 |
| Distribution | Site al | $53.23 | ------ | $34.70 | ------ | $87.94 |
| Distribution | Transect plot | $28.63 | ------ | $18.67 | ------ | $47.30 |
| Distribution | Square plot | $42.20 | ------ | $27.51 | ------ | $69.71 |
| Distribution | CCAA | $3.86 | ------ | $2.51 | ------ | $6.37 |
| Distribution | Machine learning | ------ | $8.17 | $10.04 * | $70.68 | $88.89 |
| DOT | Site al | $63.74 | ------ | $41.55 | ------ | $105.30 |
| DOT | Transect plot | $33.85 | ------ | $22.07 | ------ | $55.92 |
| DOT | Square plot | $46.00 | ------ | $29.99 | ------ | $75.99 |
| DOT | CCAA | $12.86 | ------ | $8.39 | ------ | $21.25 |
| DOT | Machine learning | ------ | $10.73 | $13.18 * | $47.31 | $71.22 |
| Gas | Site al | $6.67 | ------ | $4.35 | ------ | $11.01 |
| Gas | Transect plot | $13.63 | ------ | $8.89 | ------ | $22.52 |
| Gas | Square plot | $37.97 | ------ | $24.75 | ------ | $62.72 |
| Gas | CCAA | $2.10 | ------ | $1.37 | ------ | $3.46 |
| Gas | Machine learning | ------ | $11.64 | $14.30 * | $29.64 | $55.58 |
| Processing Time | |||||
|---|---|---|---|---|---|
| Site | Method | Time in Field | Time per Unit (# of Units) | Milkweed ID Model | Habitat Index Model |
| Transmission | Site al | 02:24:32 | 00:15:27 (10) | ------ | ------ |
| Transmission | Transect plot | 00:40:40 | 00:02:02 (20) | ------ | ------ |
| Transmission | Square plot | 01:06:39 | 00:00:40 (100) | ------ | ------ |
| Transmission | CCAA | 00:09:43 | 00:09:43 (1) | ------ | ------ |
| Transmission | Machine learning | 00:20:04 | 00:02:01 (10) | 00:22:46 | 00:41:09 |
| Solar | Site al | 01:42:56 | 00:10:17 (10) | ------ | ------ |
| Solar | Transect plot | 01:26:24 | 00:04:19 (20) | ------ | ------ |
| Solar | Square plot | 01:48:47 | 00:01:06 (100) | ------ | ------ |
| Solar | CCAA | 00:13:21 | 00:13:21 (1) | ------ | ------ |
| Solar | Machine learning | 00:16:59 | 00:01:41 (10) | 00:23:51 | 00:41:11 |
| Distribution | Site al | 01:52:59 | 00:11:17 (10) | ------ | ------ |
| Distribution | Transect plot | 00:56:03 | 00:03:02 (20) | ------ | ------ |
| Distribution | Square plot | 01:41:00 | 00:01:00 (100) | ------ | ------ |
| Distribution | CCAA | 00:08:11 | 00:08:11 (1) | ------ | ------ |
| Distribution | Machine learning | 00:17:12 | 00:01:43 (10) | 00:23:51 | 00:41:11 |
| DOT | Site al | 02:14:32 | 00:13:31 (10) | ------ | ------ |
| DOT | Transect plot | 01:11:51 | 00:03:36 (20) | ------ | ------ |
| DOT | Square plot | 01:37:38 | 00:00:59 (100) | ------ | ------ |
| DOT | CCAA | 00:27:18 | 00:27:18 (1) | ------ | ------ |
| DOT | Machine learning | 00:22:35 | 00:02:16 (10) | 00:26:13 | 00:42:39 |
| Gas | Site al | 00:15:44 | 00:01:32 (10) | ------ | ------ |
| Gas | Transect plot | 00:28:56 | 00:02:53 (10) | ------ | ------ |
| Gas | Square plot | 01:13:30 | 00:01:37 (50) | ------ | ------ |
| Gas | CCAA | 00:04:27 | 00:04:27 (1) | ------ | ------ |
| Gas | Machine learning | 00:24:30 | 00:02:27 (10) | 00:23:11 | 00:43:21 |
Disclaimer/Publisher’s Note: The statements, opinions and data contained in all publications are solely those of the individual author(s) and contributor(s) and not of MDPI and/or the editor(s). MDPI and/or the editor(s) disclaim responsibility for any injury to people or property resulting from any ideas, methods, instructions or products referred to in the content. |
© 2026 by the authors. Licensee MDPI, Basel, Switzerland. This article is an open access article distributed under the terms and conditions of the Creative Commons Attribution (CC BY) license.
Share and Cite
Baker, A.M.; Emerick, G.; Bahlai, C.; Eikenbary, S. Comparing Machine Learning Using UAVs to Ground Survey Methods to Quantify Milkweed Stem Density and Habitat Characteristics in ROWs. Insects 2026, 17, 359. https://doi.org/10.3390/insects17040359
Baker AM, Emerick G, Bahlai C, Eikenbary S. Comparing Machine Learning Using UAVs to Ground Survey Methods to Quantify Milkweed Stem Density and Habitat Characteristics in ROWs. Insects. 2026; 17(4):359. https://doi.org/10.3390/insects17040359
Chicago/Turabian StyleBaker, Adam M., Greg Emerick, Christie Bahlai, and Scott Eikenbary. 2026. "Comparing Machine Learning Using UAVs to Ground Survey Methods to Quantify Milkweed Stem Density and Habitat Characteristics in ROWs" Insects 17, no. 4: 359. https://doi.org/10.3390/insects17040359
APA StyleBaker, A. M., Emerick, G., Bahlai, C., & Eikenbary, S. (2026). Comparing Machine Learning Using UAVs to Ground Survey Methods to Quantify Milkweed Stem Density and Habitat Characteristics in ROWs. Insects, 17(4), 359. https://doi.org/10.3390/insects17040359

