Response of Leafhopper Community Structure and Diversity to Fragmented Habitat in a Rocky Karst Desertification Area, Guizhou, China
Simple Summary
Abstract
1. Introduction
- (i)
- A reduction in the degree of habitat fragmentation is conducive to increasing the diversity of leafhoppers at the genus level.
- (ii)
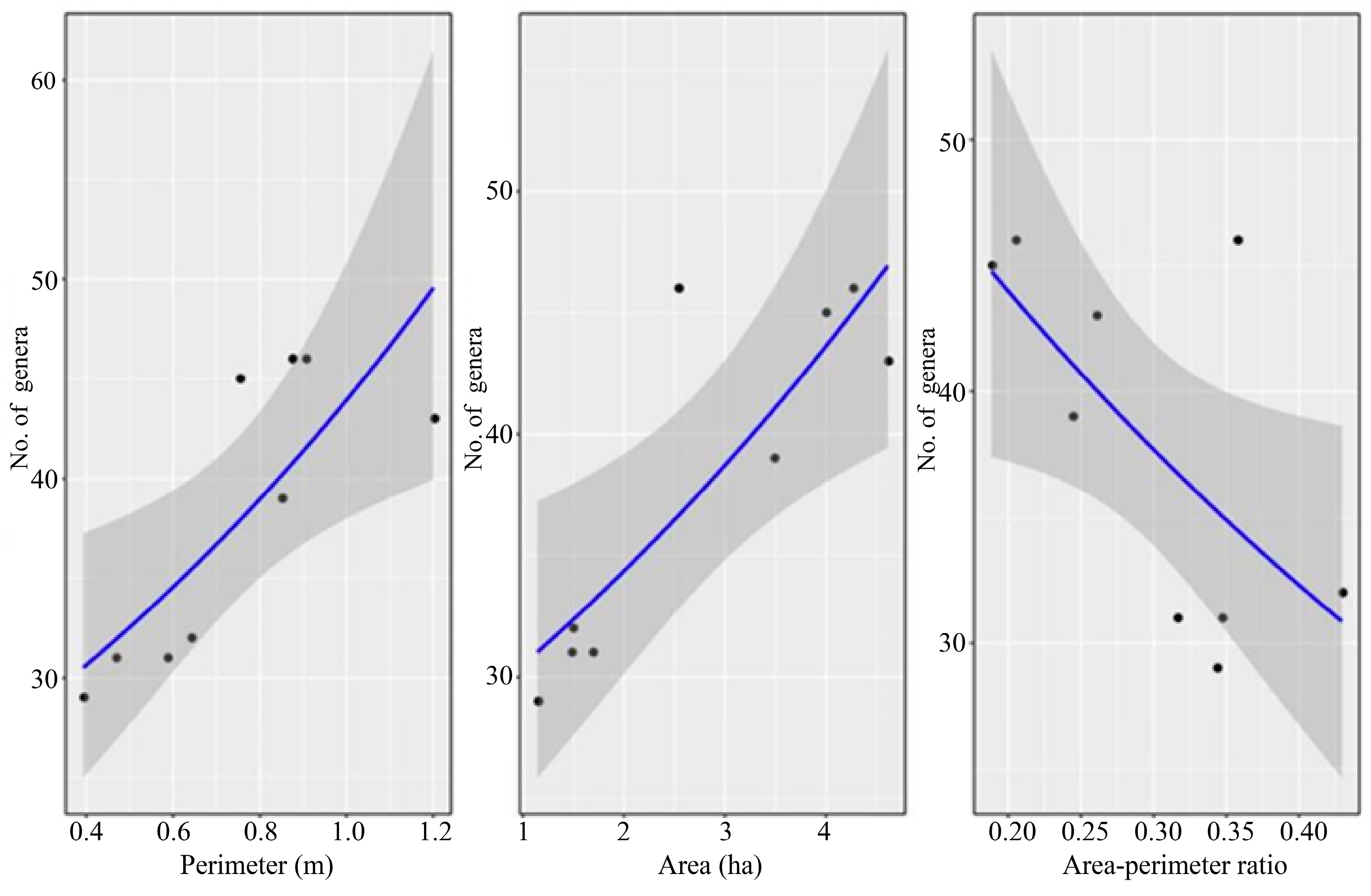
- Habitat patches that are smaller in area or more isolated have fewer leafhopper genera.
- (iii)
- The plant species richness on habitat patches has a positive impact on leafhopper community diversity.
2. Materials and Methods
2.1. Study Sites
2.2. Sample Plot Setting and Sampling
2.3. Species Identification and Gene Determination
2.4. Data Statistics and Analysis
3. Results
3.1. Leafhopper Community Structure and Genetic Diversity
3.1.1. Composition and Diversity of Leafhopper Community in Different Years
3.1.2. Composition and Diversity of Leafhopper Communities in Different Patches
3.1.3. Genetic Diversity of Leafhoppers in Three Different Patches
3.2. Effects of Fragmented Habitats on the Diversity of Leafhoppers
3.2.1. The Isolation Effect at the Landscape Scale Is Detrimental to Leafhopper Community Diversity
3.2.2. Patch Characteristics and Gene Flow
3.3. Effects of Plant Composition and Meteorological Factors on Community Structure and Generic Diversity of Leafhoppers
4. Discussion
5. Conclusions
Author Contributions
Funding
Data Availability Statement
Conflicts of Interest
References
- Yang, X.Y.; Zhou, Z.F.; Zou, C.H. Spatial pattern analysis of karst rocky desertification based on landscape level index. J. Guizhou Norm. Univ. Nat. Sci. 2010, 28, 23–27. [Google Scholar]
- Cao, J.H.; Yuan, D.X.; Tong, L.Q.; Azim, M.; Yang, H.; Huang, F. An overview of karst ecosystem in southwest China: Current state and future management. J. Resour. Ecol. 2015, 6, 247–256. [Google Scholar] [CrossRef]
- Yuan, D.X. Global view on Karst rock desertification and integrating control measures and experiences of China. Pratac. Sci. 2008, 09, 19–25. [Google Scholar] [CrossRef]
- Wang, K.L.; Yue, Y.M.; Chen, H.S.; Wu, X.B.; Xiao, J.; Qi, X.K.; Zhang, W.; Du, H. The comprehensive treatment of karst rocky desertification and its regional restoration effects. Acta Ecol. Sin. 2019, 39, 7432–7440. [Google Scholar] [CrossRef]
- Li, C.L. Research Progress on the Relationship between Forest Vegetation Degradation and Water Conservation Service in Rocky Desertification Mountain Area. J. World For. 2020, 09, 49–55. [Google Scholar] [CrossRef]
- Haddad, N.M.; Brudvig, L.A.; Clobert, J.; Davies, K.F.; Gonzalez, A.; Holt, R.D.; Lovejoy, T.E.; Sexton, J.O.; Austin, M.P.; Collins, C.D.; et al. Habitat fragmentation and its lasting impact on Earth’s ecosystems. Sci. Adv. 2015, 1, e1500052. [Google Scholar] [CrossRef]
- Lord, J.M.; Norton, D.A. Scale and the spatial concept of fragmentation. Conserv. Biol. 1990, 4, 197–202. [Google Scholar] [CrossRef]
- Saunders, D.A.; Hobbs, R.J.; Margules, C.R. Biological consequences of ecosystem fragmentation: A review. Conserv. Biol. 1991, 5, 18–32. [Google Scholar] [CrossRef]
- Elgar, M.A.; Clode, D. Inbreeding and extinction in island populations: A cautionary note. Conserv. Biol. 2001, 15, 284–286. [Google Scholar] [CrossRef]
- dos Santos, K.; Kinoshita, L.S.; dos Santos, F.A. Tree species composition and similarity in semideciduous forest fragments of southeastern Brazil. Biol. Conserv. 2007, 135, 268–277. [Google Scholar] [CrossRef]
- Wu, J.; Liu, Z.M. Effect of habitat fragmentation on biodiversity: A review. Chin. J. Ecol. 2014, 33, 1946–1952. [Google Scholar]
- Chen, X.X.; Jiang, J.; Zhang, N.; Yang, X.; Chi, Y.K.; Song, Y.H. Effects of habitat fragmentation on the population structure and genetic diversity of Erythroneurini in the typical karst rocky ecosystem, Southwest China. Insects 2022, 13, 499. [Google Scholar] [CrossRef] [PubMed]
- Oman, P.W.; Knight, W.J.; Nielson, M.W. Leathoppers (Cicadellidae): A bibliography generic checklist and index to the world literature 1956–1985. C.A.B. Int. Inst. Entomol. 1990, 84, 569. [Google Scholar] [CrossRef]
- Dietrich, C.H. Keys to the families of Cicadomorpha and subfamilies and tribes of Cicadellidae (Hemiptera: Auchenorrhyncha). Fla. Entomol. 2005, 88, 502–517. [Google Scholar] [CrossRef]
- Bartlett, C.R.; Deitz, L.L.; Dmitriev, D.A.; Sanborn, A.F.; Soulier-Perkins, A.; Wallace, M.S. The diversity of the true hoppers (Hemiptera: Auchenorrhyncha). Insect Biodivers. Sci. Soc. 2018, 2, 501–590. [Google Scholar] [CrossRef]
- Morris, M.G. Differences between the invertebrate faunas of grazed and ungrazed chalk grassland, IV. Abundance and diversity of Homoptera-Auchenorrhyncha. J. Appl. Entomol. 1971, 8, 37–52. [Google Scholar] [CrossRef]
- Vasquez, Y.M.; Li, Z.; Xue, A.Z.; Bennett, G.M. Chromosome-level genome assembly of the aster leafhopper (Macrosteles quadrilineatus) reveals the role of environment and microbial symbiosis in shaping pest insect genome evolution. Mol. Ecol. Resour. 2024, 24, e13919. [Google Scholar] [CrossRef]
- Marion-Poll, F.; Della Giustina, W.; Mauchamp, B.M. Changes of electric patterns related to feeding in a mesophyll feeding leafhopper. Entomol. Exp. Et Appl. 1987, 43, 115–124. [Google Scholar] [CrossRef]
- Weintraub, P.G.; Beanland, L.A. Insect vectors of phytoplasmas. Annu. Rev. Entomol. 2006, 51, 91–111. [Google Scholar] [CrossRef]
- Wilson, M.R.; Weintraub, P.G. An introduction to Auchenorrhyncha phytoplasma vectors. B. Insectol. 2007, 60, 177–178. [Google Scholar]
- Gu, W.; Ma, L.; Sun, H.; Wang, L.; Zhang, Z. Variation in structure and dynamics of insect community in larch plantations under different soil conditions. Sci. Silvae Sin. 2017, 53, 97–106. [Google Scholar] [CrossRef]
- Chen, X.X.; Gao, Y.; Xiong, K.N.; Song, Y.H. Structure characteristics of leafhopper community in Fanjingshan National Nature Reserve. J. Environ. Entomol. 2021, 43, 934–949. [Google Scholar] [CrossRef]
- Biedermann, R.; Achtziger, R.; Nickel, H.; Stewart, A.J. Conservation of grassland leafhoppers: A brief review. J. Insect Conserv. 2005, 9, 229–243. [Google Scholar] [CrossRef]
- Khfif, K.; Labaioui, Z.; Koledenkova, K.; Mokrini, F.; Sbaghi, M.; Zaid, A.; Brostaux, Y.; El Rhaffari, L. Population dynamics of the leafhopper Jacobiasca lybica (Hemiptera: Cicadellidae) within vineyards and citrus orchards of Morocco. Int. J. Pest. Manag. 2023, 25, 330–342. [Google Scholar] [CrossRef]
- Liu, P.P.; Xiao, H.; Chen, H. Temporal and spatial evolution characteristics of rocky desertification control landscape pattern in Salaxi demonstration area in Bijie city. Agric. Sci. 2020, 33, 2316–2324. [Google Scholar]
- Li, Y.; Liu, Z.Q.; Liu, X.X.; Cao, Y.; Li, K.P. Effect of cave overlying soil and bedrock on drip water elements in rocky desertification area in Bijie, Guizhou. Environ. Chem. 2016, 35, 1894–1902. [Google Scholar] [CrossRef]
- Cui, L.; Xiong, K.N.; Guan, Z.H.; Chen, Y.B.; Liu, Z.Q. The model of karst land management based on plant diversity restoration and protection: Examples from Salaxi and Huajiang areas of Guizhou. Carsol. Sin. 2016, 35, 513–524. [Google Scholar]
- Yang, X.; Chen, X.X.; Yuan, Z.W.; Su, D.; Song, Y.H. Community structure and dynamics of leafhopper in different land restoration types in the light-moderate rocky desertification areas. Acta Ecol. Sin. 2022, 42, 6790–6800. [Google Scholar] [CrossRef]
- Ma, X.H. Research Method of Forest Ecosystem Positioning; China Science and Technology Press: Beijing, China, 1994. [Google Scholar]
- Dmitriev, D.A.; Angelova, R.; Anufriev, G.A.; Bartlett, C.R.; Blanco-Rodríguez, E.; Borodin, O.I.; Cao, Y.-H.; Cara, C.; Deitz, L.L.; Dietrich, C.H.; et al. World Auchenorrhyncha Database. TaxonPages. 2022. Available online: https://hoppers.speciesfile.org/ (accessed on 26 December 2025).
- Lu, R.K. Analysis Method of Soil Agricultural Chemistry; China Agricultural Science and Technology Press: Beijing, China, 2000. [Google Scholar]
- Li, Z.Z.; Li, H.; Xing, J.C. Insects (Auchenorrhyncha) Type Specimens in the Collection of Guizhou University; Guizhou Science and Technology Press: Guiyang, China, 2014. [Google Scholar]
- Li, Z.Z.; Xing, J.C. The Chinese Cicadellid Fauna; Guizhou Science and Technology Press: Guiyang, China, 2021. [Google Scholar]
- Kumar, S.; Stecher, G.; Tamura, K. MEGA7: Molecular evolutionary genetics analysis version 7.0 for bigger datasets. Mol. Biol. Evol. 2016, 33, 1870–1874. [Google Scholar] [CrossRef]
- Librado, P.; Rozas, J. DnaSP v5: A software for comprehensive analysis of DNA polymorphism data. Bioinformatics 2009, 25, 1451–1452. [Google Scholar] [CrossRef]
- Esri. ArcGIS Desktop: Release 10; Environmental Systems Research Institute: Redlands, CA, USA, 2011; Available online: https://www.esri.com (accessed on 26 December 2025).
- McGarigal, K.; Marks, B.J. Fragstats: Spatial Pattern Analysis Program for Quantifying Landscape Structure; U.S. Department of Agriculture, Forest Service, Pacific Northwest Research Station: Portland, OR, USA, 1995. [Google Scholar] [CrossRef]
- Hammer, Ø.; Harper, D.A. Past: Paleontological statistics software package for educaton and data anlysis. Palaeontol. Electron. 2001, 4, 1. [Google Scholar]
- Mahajan, K.N.; Gokhale, L.A. Advanced Charting Techniques of Microsoft Excel 2016 Aiming Visualization. Int. J. Comput. Sci. Eng. 2019, 7, 198–207. [Google Scholar] [CrossRef]
- Hong, X.; Ge, X.; Li, J. Butterfly diversity and its influencing factors in Saihanwula Nature Reserve. Biodivers. Sci. 2018, 26, 590–600. [Google Scholar] [CrossRef]
- Shannon, C.E. A mathematical theory of communication. Bell Syst. Tech. J. 1984, 27, 379–423. [Google Scholar] [CrossRef]
- Margalef, D.R. Information theory in ecology. Gen. Syst. 1957, 3, 36–71. [Google Scholar]
- Pielou, E.C. Shannon’s formula as a measure of specific diversity: Its use and misuse. Am. Nat. 1966, 100, 463–465. [Google Scholar] [CrossRef]
- Peet, R.K. The measurement of species diversity. Annu. Rev. Ecol. Syst. 1974, 5, 285–307. [Google Scholar] [CrossRef]
- Cronk, B. How to Use IBM SPSS Statistics: A Step-by-Step Guide to Analysis and Interpretation, 8th ed.; Routledge: New York, NY, USA, 2016. [Google Scholar] [CrossRef]
- Šmilauer, P.; Lepš, J. Multivariate Analysis of Ecological Data Using CANOCO 5, 2nd ed.; Cambridge University Press: Cambridge, UK, 2014. [Google Scholar] [CrossRef]
- Blanchet, H.; Montaudouin, X.D.; Lucas, A.; Chardy, P. Heterogeneity of macrozoobenthic assemblages within a zostera noltii seagrass bed: Diversity, abundance, biomass and structuring factors. Estuar. Coast. Shelf Sci. 2004, 61, 111–123. [Google Scholar] [CrossRef]
- He, D.H.; Zhao, Z.H.; Zhang, D.Z. Responses of insect communities and populations on habitat fragmentation in grassland landscapes. Acta Pratac. Sin. 2009, 18, 235–241. [Google Scholar]
- Collinge, S.K. Effects of grassland fragmentation on insect species loss, colonization, and movement patterns. Ecology 2000, 81, 2211–2226. [Google Scholar] [CrossRef]
- Rossetti, M.R.; Tscharntke, T.; Aguilar, R.; Batáry, P. Responses of insect herbivores and herbivory to habitat fragmentation: A hierarchical meta-analysis. Ecol. Lett. 2017, 20, 264–272. [Google Scholar] [CrossRef]
- Li, D.D.; Zhou, Z.F.; Dan, Y.S.; Tan, W.Y.; Tian, Z.H. Spatial and temporal evolutionary study of landscape fragmentation in rocky desertification area based on esda model. Chin. J. Agric. Res. Reg. Plann. 2020, 41, 262–270. [Google Scholar]
- Madden, L.V.; Nault, L.R.; Heady, S.E.; Styer, W.E. Effect of temperature on the population dynamics of three Dalbulus leafhopper species. Ann. Appl. Biol. 1986, 108, 475–485. [Google Scholar] [CrossRef]
- Duso, C.; Zanettin, G.; Gherardo, P.; Pasqualotto, G.; Raniero, D.; Rossetto, F.; Pozzebon, A. Colonization patterns, phenology and seasonal abundance of the Nearctic leafhopper Erasmoneura vulnerata (Fitch), a new pest in European vineyards. Insects 2020, 11, 731. [Google Scholar] [CrossRef] [PubMed]
- Dong, Z.K.; Ge, F. The fitness of insects in response to climate warming. Chin. J. Appl. Entomol. 2011, 48, 1141–1148. [Google Scholar]
- Liu, X.H.; Tan, X.L.; Zhou, H.K.; Luo, X.R.; He, Y.; He, J.M. Study on species differences on the cotton leafhopper rise and fall weather conditions. Tianjin Agric. Sci. 2013, 19, 73–77. [Google Scholar]
- Geppert, C.; La Bella, G.; Boscutti, F.; Sanna, F.; Marangoni, F.; Marini, L. Effects of temperature and plant diversity on orthopterans and leafhoppers in calcareous dry grasslands. J. Insect. Conserv. 2021, 25, 287–296. [Google Scholar] [CrossRef]
- Holderegger, R.; Giulio, M. The genetic effects of roads: A review of empirical evidence. Basic Appl. Ecol. 2010, 11, 522–531. [Google Scholar] [CrossRef]
- Felix, H.; Thomas, F.; Franz, L.; Dominik, P. Effects of local climate, landscape structure and habitat quality on leafhopper assemblages of acidic grasslands. Agric. Ecosyst. Environ. 2017, 246, 94–101. [Google Scholar] [CrossRef]
- Yu, W.H.; Wu, B.F.; Liu, Y.H. Effects of habitat fragmentation on the genetic diversity of plants and animals. Chin. J. Appl. Entomol. 2019, 25, 743–749. [Google Scholar]
- Rowe, H.I.; Holland, J.D. High plant richness in prairie reconstructions support diverse leafhopper communities. Restor. Ecol. 2013, 21, 174–180. [Google Scholar] [CrossRef]
- Yin, Y.S. Biological overview of Cicadellidae insects. Jiangxi Plant Prot 1992, 4, 35–36. [Google Scholar]
- Yin, Y.S. Feeding habits of leafhoppers damages gaused by them and their damage pattern. J. Jiangxi Agric. Univ. 1992, 1, 30–34. [Google Scholar] [CrossRef]
- Chisté, M.N.; Mody, K.; Kunz, G.; Gunczy, J.; Blüthgen, N. Intensive land use drives small-scale homogenization of plant-and leafhopper communities and promotes generalists. Oecologia 2018, 186, 529–540. [Google Scholar] [CrossRef]








| Years | Number and Proportion of | Number and Proportion of Individuals of | ||||
|---|---|---|---|---|---|---|
| Dominant Genera | Common Genera | Rare Genera | Dominant Genera | Common Genera | Rare Genera | |
| 2019 | 65 (84.42%) | 7 (9.09%) | 5 (6.49%) | 6099 (72.23%) | 1184 (14.02%) | 1161 (13.75%) |
| 2020 | 65 (78.31%) | 14 (16.87%) | 4 (4.82%) | 5438 (59.56%) | 2604 (28.52%) | 1089 (11.93%) |
| 2021 | 63 (75.90%) | 16 (19.28%) | 4 (4.82%) | 4955 (52.72%) | 3449 (36.70%) | 955 (10.16%) |
| 2022 | 64 (79.01%) | 13 (16.05%) | 4 (4.82%) | 3334 (34.35%) | 5130 (52.85%) | 1243 (12.81%) |
| Patch | Number and Proportion of | Number and Proportion of Individuals of | ||||
|---|---|---|---|---|---|---|
| Dominant Genera | Common Genera | Rare Genera | Dominant Genera | Common Genera | Rare Genera | |
| Patch 1 | 4 (8.70%) | 10 (21.74%) | 32 (69.57%) | 823 (67.07%) | 282 (22.98%) | 122 (9.94%) |
| Patch 2 | 4 (8.70%) | 9 (19.57%) | 33 (71.74%) | 798 (61.43%) | 357 (27.48%) | 144 (11.09%) |
| Patch 3 | 6 (15.38%) | 6 (15.38%) | 27 (69.23%) | 1725 (84.11%) | 217 (10.58%) | 109 (5.31%) |
| Patch 4 | 7 (15.56%) | 13 (28.89%) | 25 (55.56%) | 227 (54.70%) | 141 (33.98%) | 47 (11.33%) |
| Patch 5 | 6 (13.95%) | 9 (20.93%) | 28 (65.12%) | 776 (64.77%) | 314 (26.21%) | 108 (9.02%) |
| Patch 6 | 6 (19.35%) | 5 (16.13%) | 20 (64.52%) | 1201 (86.28%) | 116 (8.33%) | 75 (5.39%) |
| Patch 7 | 5 (17.24%) | 9 (31.03%) | 15 (51.72%) | 221 (73.18%) | 62 (20.53%) | 19 (6.29%) |
| Patch 8 | 4 (12.90%) | 9 (29.03%) | 18 (58.06%) | 466 (74.56%) | 124 (19.84%) | 35 (5.60%) |
| Patch 9 | 4 (12.50%) | 13 (40.63%) | 15 (46.88%) | 799 (66.14%) | 344 (28.48%) | 65 (5.38%) |
| Species | Gene | Patches | Nucleotide Diversity | Average Number of Nucleotide Differences | Number of Polymorphic Sites |
|---|---|---|---|---|---|
| E. acuminatus | mtDNA | Patch1 | 0.08258 | 127.333 | 185 |
| Patch4 | 0.05793 | 89.333 | 132 | ||
| Patch9 | 0.08344 | 128.667 | 193 | ||
| rDNA | Patch1 | 0.00548 | 7.667 | 11 | |
| Patch4 | 0.01097 | 15.333 | 23 | ||
| Patch9 | 0.01144 | 16.000 | 22 | ||
| mtDNA + rDNA | Patch1 | 0.04592 | 135.000 | 196 | |
| Patch4 | 0.03560 | 104.667 | 155 | ||
| Patch9 | 0.04921 | 144.667 | 215 | ||
| M. fascifrons | mtDNA | Patch1 | 0.17279 | 268.000 | 385 |
| Patch4 | 0.03954 | 61.333 | 91 | ||
| Patch9 | 0.12035 | 186.667 | 273 | ||
| rDNA | Patch1 | 0.00285 | 4.000 | 6 | |
| Patch4 | 0.00523 | 7.333 | 10 | ||
| Patch9 | 0.06177 | 86.667 | 130 | ||
| mtDNA + rDNA | Patch1 | 0.09208 | 272.000 | 391 | |
| Patch4 | 0.02325 | 68.667 | 101 | ||
| Patch9 | 0.09253 | 273.333 | 403 |
| Years | Patch Density | Edge Density | Contagion Index | Division Index | Aggregation Index |
|---|---|---|---|---|---|
| 2019 | 0.2280 | 10.9585 | 53.7434 | 0.7536 | 83.4282 |
| 2020 | 0.2238 | 10.8618 | 54.3878 | 0.7500 | 83.5698 |
| 2021 | 0.2205 | 10.6159 | 55.1561 | 0.7471 | 83.9374 |
Disclaimer/Publisher’s Note: The statements, opinions and data contained in all publications are solely those of the individual author(s) and contributor(s) and not of MDPI and/or the editor(s). MDPI and/or the editor(s) disclaim responsibility for any injury to people or property resulting from any ideas, methods, instructions or products referred to in the content. |
© 2025 by the authors. Licensee MDPI, Basel, Switzerland. This article is an open access article distributed under the terms and conditions of the Creative Commons Attribution (CC BY) license.
Share and Cite
Xu, W.; Wang, J.; Zhao, Y.; Song, Y. Response of Leafhopper Community Structure and Diversity to Fragmented Habitat in a Rocky Karst Desertification Area, Guizhou, China. Insects 2026, 17, 42. https://doi.org/10.3390/insects17010042
Xu W, Wang J, Zhao Y, Song Y. Response of Leafhopper Community Structure and Diversity to Fragmented Habitat in a Rocky Karst Desertification Area, Guizhou, China. Insects. 2026; 17(1):42. https://doi.org/10.3390/insects17010042
Chicago/Turabian StyleXu, Wenming, Jinqiu Wang, Yuanqi Zhao, and Yuehua Song. 2026. "Response of Leafhopper Community Structure and Diversity to Fragmented Habitat in a Rocky Karst Desertification Area, Guizhou, China" Insects 17, no. 1: 42. https://doi.org/10.3390/insects17010042
APA StyleXu, W., Wang, J., Zhao, Y., & Song, Y. (2026). Response of Leafhopper Community Structure and Diversity to Fragmented Habitat in a Rocky Karst Desertification Area, Guizhou, China. Insects, 17(1), 42. https://doi.org/10.3390/insects17010042

