Implications of Temperature and Prey Density on Predatory Mite Amblyseius swirskii (Acari: Phytoseiidae) Functional Responses
Abstract
Simple Summary
Abstract
1. Introduction
2. Materials and Methods
2.1. Laboratory Rearing of Prey and Predator Mites
2.2. Functional Response Experiment
2.3. Data Analysis
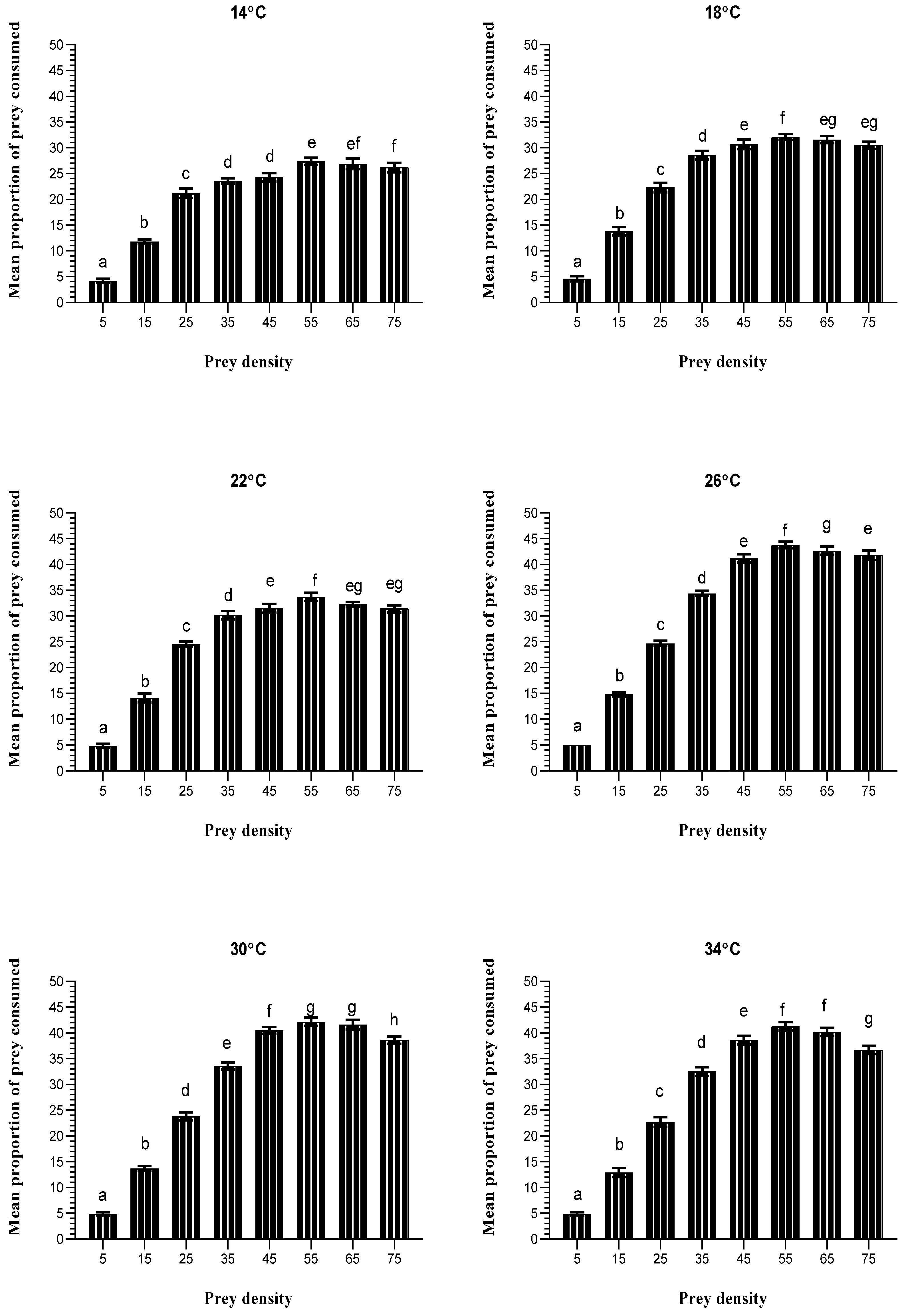
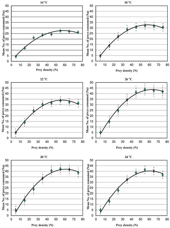
3. Results
4. Discussion
Author Contributions
Funding
Data Availability Statement
Acknowledgments
Conflicts of Interest
References
- Elmoghazy, M.M.E.; Alhaithloul, H.A.S. Survey and population density evaluation of olive trees mites with application of some integrated control of mites pests. J. Anim. Plant Sci. 2023, 33, 1158–1168. [Google Scholar]
- Maleknia, B.; Fathipour, Y.; Soufbaf, M. How greenhouse cucumber cultivars affect population growth and two-sex life table parameters of Tetranychus urticae (Acari: Tetranychidae). Int. J. Acarol. 2016, 42, 70–78. [Google Scholar] [CrossRef]
- Sousa, V.C.; Zélé, F.; Rodrigues, L.R.; Godinho, D.P.; de la Masselière, M.C.; Magalhães, S. Rapid host-plant adaptation in the herbivorous spider mite Tetranychus urticae occurs at low cost. Curr. Opin. Insect Sci. 2019, 36, 82–89. [Google Scholar] [CrossRef] [PubMed]
- Pavela, R. Extract from the roots of Saponaria officinalis as a potential acaricide against Tetranychus urticae. J. Pest Sci. 2017, 90, 683–692. [Google Scholar] [CrossRef]
- Marinosci, C.; Magalhaes, S.; Macke, E.; Navajas, M.; Carbonell, D.; Devaux, C.; Olivieri, I. Effects of host plant on life—History traits in the polyphagous spider mite Tetranychus urticae. Ecol. Evol. 2015, 5, 3151–3158. [Google Scholar] [CrossRef] [PubMed]
- Kwon, D.H.; Kang, T.-J.; Kim, Y.H.; Lee, S.H. Phenotypic-and genotypic-resistance detection for adaptive resistance management in Tetranychus urticae Koch. PLoS ONE 2015, 10, e0139934. [Google Scholar] [CrossRef] [PubMed]
- Dermauw, W.; Wybouw, N.; Rombauts, S.; Menten, B.; Vontas, J.; Grbić, M.; Clark, R.M.; Feyereisen, R.; Van Leeuwen, T. A link between host plant adaptation and pesticide resistance in the polyphagous spider mite Tetranychus urticae. Proc. Natl. Acad. Sci. USA 2013, 110, E113–E122. [Google Scholar] [CrossRef] [PubMed]
- Farazmand, A.; Fathipour, Y.; Kamali, K. Functional response and mutual interference of Neoseiulus californicus and Typhlodromus bagdasarjani (Acari: Phytoseiidae) on Tetranychus urticae (Acari: Tetranychidae). Int. J. Acarol. 2012, 38, 369–376. [Google Scholar] [CrossRef]
- Demite, P.R.; Cavalcante, A.C.; Dias, M.A.; Lofego, A.C. A new species and redescription of two species of Euseius wainstein (Acari: Phytoseiidae) from Cerrado biome areas in Brazil. Int. J. Acarol. 2016, 42, 334–340. [Google Scholar] [CrossRef]
- McMurtry, J.A.; De Moraes, G.J.; Sourassou, N.F. Revision of the lifestyles of phytoseiid mites (Acari: Phytoseiidae) and implications for biological control strategies. Syst. Appl. Acarol. 2013, 18, 297–320. [Google Scholar] [CrossRef]
- Van Lenteren, J.C. The state of commercial augmentative biological control: Plenty of natural enemies, but a frustrating lack of uptake. BioControl 2012, 57, 1–20. [Google Scholar] [CrossRef]
- Faraji, F.; Fathipour, Y.; Jafari, S. The influence of temperature on the functional response and prey consumption of Neoseiulus barkeri (Acari: Phytoseiidae) on Tetranychus urticae (Acari: Tetranychidae). J. Entomol. Soc. Iran 2012, 31, 39–52. [Google Scholar]
- Döker, İ.; Kazak, C.; Karut, K. Functional response and fecundity of a native Neoseiulus californicus population to Tetranychus urticae (Acari: Phytoseiidae, Tetranychidae) at extreme humidity conditions. Syst. Appl. Acarol. 2016, 21, 1463–1472. [Google Scholar] [CrossRef]
- Elmoghazy, M.M.E. Tetranychus urticae density on variety of plant leaves influencing predatory mite Euseius scutalis functional response. Int. J. Acarol. 2022, 48, 114–120. [Google Scholar]
- Sentis, A.; Hemptinne, J.-L.; Brodeur, J. Using functional response modeling to investigate the effect of temperature on predator feeding rate and energetic efficiency. Oecologia 2012, 169, 1117–1125. [Google Scholar] [CrossRef] [PubMed]
- Brown, J.H.; Gillooly, J.F.; Allen, A.P.; Savage, V.M.; West, G.B. Toward a metabolic theory of ecology. Ecology 2004, 85, 1771–1789. [Google Scholar] [CrossRef]
- Gotoh, T.; Nozawa, M.; Yamaguchi, K. Prey consumption and functional response of three acarophagous species to eggs of the two-spotted spider mite in the laboratory. Appl. Entomol. Zool. 2004, 39, 97–105. [Google Scholar] [CrossRef]
- Gorji, M.; Fathipour, Y.; Kamali, K. The effect of temperature on the functional response and prey consumption of Phytoseius plumifer (Acari: Phytoseiidae) on the two-spotted spider mite. Acarina 2009, 17, 231–237. [Google Scholar]
- Calvo, F.J.; Knapp, M.; van Houten, Y.M.; Hoogerbrugge, H.; Belda, J.E. Amblyseius swirskii: What made this predatory mite such a successful biocontrol agent? Exp. Appl. Acarol. 2015, 65, 419–433. [Google Scholar] [CrossRef]
- Xiao, Y.; Osborne, L.S.; Chen, J.; McKenzie, C.L. Functional responses and prey-stage preferences of a predatory gall midge and two predacious mites with two-spotted spider mites, Tetranychus urticae, as host. J. Insect Sci. 2013, 13, 1–12. [Google Scholar] [CrossRef]
- Park, H.-H.; Shipp, L.; Buitenhuis, R.; Ahn, J.J. Life history parameters of a commercially available Amblyseius swirskii (Acari: Phytoseiidae) fed on cattail (Typha latifolia) pollen and tomato russet mite (Aculops lycopersici). J. Asia-Pac. Entomol. 2011, 14, 497–501. [Google Scholar] [CrossRef]
- Xiang, D.; Wang, Z.; Xu, L.; Wang, Y.; Zhang, H.; Yang, K. Measurement of fitness and predatory ability of four predatory mite Species in tibetan plateau under laboratory conditions. Insects 2024, 15, 119. [Google Scholar] [CrossRef] [PubMed]
- Knapp, M.; van Houten, Y.; van Baal, E.; Groot, T. Use of predatory mites in commercial biocontrol: Current status and future prospects. Acarologia 2018, 58, 72–82. [Google Scholar] [CrossRef]
- Farazmand, A.; Amir-Maafi, M.; Atlihan, R. Temperature-dependent development of Amblyseius swirskii (Acari: Phytoseiidae) on Tetranychus urticae (Acari: Tetranychidae). Syst. Appl. Acarol. 2020, 25, 538–547. [Google Scholar]
- Lee, H.-S.; Gillespie, D.R. Life tables and development of Amblyseius swirskii (Acari: Phytoseiidae) at different temperatures. Exp. Appl. Acarol. 2011, 53, 17–27. [Google Scholar] [CrossRef]
- Wimmer, D.; Hoffmann, D.; Schausberger, P. Prey suitability of western flower thrips, Frankliniella occidentalis, and onion thrips, Thrips tabaci, for the predatory mite Amblyseius swirskii. Biocontrol Sci. Technol. 2008, 18, 533–542. [Google Scholar] [CrossRef]
- Filgueiras, R.M.C.; Mendes, J.D.A.; Da Silva, F.W.B.; Neto, E.P.D.S.; Melo, J.W.D.S. Prey stage preference and functional and numerical responses of Neoseiulus barkeri Hughes (Acari: Phytoseiidae) to eggs of Raoiella indica Hirst (Acari: Tenuipalpidae). Syst. Appl. Acarol. 2020, 25, 1147–1157. [Google Scholar]
- Fathipour, Y.; Maleknia, B.; Bagheri, A.; Soufbaf, M.; Zalucki, M.P. Functional and numerical responses of Neoseiulus barkeri (Acari: Phytoseiidae) on two-spotted spider mite: The effect of patch condition and additional food source. Syst. Appl. Acarol. 2021, 26, 543–556. [Google Scholar]
- Juliano, S.A. Nonlinear curve fitting: Predation and functional response curves. In Design and Analysis of Ecological Experiments; Chapman and Hall/CRC: Boca Raton, FL, USA, 2020; pp. 159–182. [Google Scholar]
- Xiao, Y.; Fadamiro, H.Y. Functional responses and prey-stage preferences of three species of predacious mites (Acari: Phytoseiidae) on citrus red mite, Panonychus citri (Acari: Tetranychidae). Biol. Control 2010, 53, 345–352. [Google Scholar] [CrossRef]
- Piyani, A.R.; Shishehbor, P.; Kocheili, F.; Riddick, E. Functional and numerical responses of the predator Amblyseius swirskii to its prey Tetranychus turkestani in the laboratory. Acarologia 2021, 61, 901–909. [Google Scholar] [CrossRef]
- Bazgir, F.; Shakarami, J.; Jafari, S. Functional response of the predatory mite Amblyseius swirskii (Acari: Phytoseiidae) to Eotetranychus frosti (Tetranychidae) and Cenopalpus irani (Tenuipalpidae). Acarologia 2020, 60, 30–39. [Google Scholar] [CrossRef]
- Midthassel, A.; Leather, S.R.; Wright, D.J.; Baxter, I.H. The functional and numerical response of Typhlodromips swirskii (Acari: Phytoseiidae) to the factitious prey Suidasia medanensis (Acari: Suidasidae) in the context of a breeding sachet. Biocontrol Sci. Technol. 2014, 24, 361–374. [Google Scholar] [CrossRef]
- Park, H.-H.; Shipp, L.; Buitenhuis, R. Predation, development, and oviposition by the predatory mite Amblyseius swirkii (Acari: Phytoseiidae) on tomato russet mite (Acari: Eriophyidae). J. Econ. Entomol. 2010, 103, 563–569. [Google Scholar] [CrossRef] [PubMed]
- Fathipour, Y.; Maleknia, B.; Bagheri, A.; Soufbaf, M.; Reddy, G.V. Functional and numerical responses, mutual interference, and resource switching of Amblyseius swirskii on two-spotted spider mite. Biol. Control 2020, 146, 104266. [Google Scholar] [CrossRef]
- Holling, C.S. The components of predation as revealed by a study of small-mammal predation of the European Pine Sawfly. Can. Entomol. 1959, 91, 293–320. [Google Scholar] [CrossRef]
- Fathipour, Y.; Karimi, M.; Farazmand, A.; Talebi, A.A. Age-specific functional response and predation rate of Amblyseius swirskii (Phytoseiidae) on two-spotted spider mite. Syst. Appl. Acarol. 2017, 22, 159–169. [Google Scholar] [CrossRef]
- Nielsen, M.; Davidson, M.; Butler, R. Predation rate of Thrips tabaci larvae by Neoseiulus cucumeris is influenced by prey density and presence of a host plant. N. Z. Plant Prot. 2014, 67, 197–203. [Google Scholar] [CrossRef]
- Yao, H.; Zheng, W.; Tariq, K.; Zhang, H. Functional and numerical responses of three species of predatory phytoseiid mites (Acari: Phytoseiidae) to Thrips flavidulus (Thysanoptera: Thripidae). Neotrop. Entomol. 2014, 43, 437–445. [Google Scholar] [CrossRef]
- Sakaki, S.; Sahragard, A. A new method to study the functional response of Scymnus syriacus (Coleoptera: Coccinellidae) to different densities of Aphis gossypii. J. Asia-Pac. Entomol. 2011, 14, 459–462. [Google Scholar] [CrossRef]
- Farazmand, A.; Amir-Maafi, M. Use of functional response modeling to evaluate the effect of temperature on predation of Amblyseius swirskii (Acari: Phytoseiidae) adults preying on Tetranychus urticae (Acari: Tetranychidae) nymphs. J. Econ. Entomol. 2021, 114, 2271–2276. [Google Scholar] [CrossRef]
- Elmoghazy, M.M.E. Plant texture and prey density of the two-spotted spider mite Tetranychus urticae Koch affecting the functional response of the predatory mite Neoseiulus californicus (McGregor)(Acari: Phytoseidae). J. Plant Prot. Pathol. 2012, 3, 1013–1021. [Google Scholar] [CrossRef]
- Khanamani, M.; Fathipour, Y.; Talebi, A.A.; Mehrabadi, M. Quantitative analysis of long-term mass rearing of Neoseiulus californicus (Acari: Phytoseiidae) on almond pollen. J. Econ. Entomol. 2017, 110, 1442–1450. [Google Scholar] [CrossRef] [PubMed]
- Mumtaz, M.; Rahman, V.J.; Saba, T.; Huang, T.; Zhang, Y.; Jiang, C.; Li, Q. Functional response of Neoseiulus californicus (Acari: Phytoseiidae) to Tetranychus urticae (Acari: Tetranychidae) at different temperatures. PeerJ 2023, 11, e16461. [Google Scholar] [CrossRef]
- Ganjisaffar, F.; Fathipour, Y.; Kamali, K. Effect of temperature on prey consumption of Typhlodromus bagdasarjani (Acari: Phytoseiidae) on Tetranychus urticae (Acari: Tetranychidae). Int. J. Acarol. 2011, 37, 556–560. [Google Scholar] [CrossRef]
- Skirvin, D.J.; Fenlon, J.S. The effect of temperature on the functional response of Phytoseiulus persimilis (Acari: Phytoseiidae). Exp. Appl. Acarol. 2003, 31, 37–49. [Google Scholar] [CrossRef] [PubMed]
- Pervez, A.; Omkar. Functional responses of coccinellid predators: An illustration of a logistic approach. J. Insect Sci. 2005, 5, 5. [Google Scholar] [CrossRef] [PubMed]
- Park, Y.-G.; Lee, J.-H.; Lim, U.T. Functional response of Amblyseius eharai (Acari: Phytoseiidae) on Tetranychus urticae (Acari: Tetranychidae). PLoS ONE 2021, 16, e0260861. [Google Scholar] [CrossRef] [PubMed]
- Afshar, F.R.; Latifi, M. Functional response and predation rate of Amblyseius swirskii (Acari: Phytosei-idae) at three constant temperatures. Persian J. Acarol. 2017, 6, 299–314. [Google Scholar]
- Skirvin, D.; Fenlon, J. Plant species modifies the functional response of Phytoseiulus persimilis (Acari: Phytoseiidae) to Tetranychus urticae (Acari: Tetranychidae): Implications for biological control. Bull. Entomol. Res. 2001, 91, 61–67. [Google Scholar] [CrossRef]




| °C | 14 | 18 | 22 | 26 | 30 | 34 | ANOVA | |
|---|---|---|---|---|---|---|---|---|
| Density | Mean ± SD. No. of T. urticae Consumed | F | Sig. | |||||
| 5 | 4.20 ± 0.42 a | 4.60 ± 0.52 b | 4.80 ± 0.42 bc | 5.00 ± 0.00 cd | 4.90 ± 0.32 bc | 4.90 ± 0.32 bc | 6.32 | <0.001 |
| 15 | 11.80 ± 0.42 a | 13.80 ± 0.79 b | 14.10 ± 0.88 bc | 14.80 ± 0.42 d | 13.70 ± 0.48 bc | 12.90 ± 0.88f | 23.74 | <0.001 |
| 25 | 21.20 ± 0.92 a | 22.30 ± 0.95 b | 24.50 ± 0.53 c | 24.70 ± 0.48 cd | 23.80 ± 0.79 ce | 22.70 ± 0.95 bf | 29.73 | <0.001 |
| 35 | 23.60 ± 0.52 a | 28.60 ± 0.84 b | 30.20 ± 0.79 c | 34.40 ± 0.52 d | 33.60 ± 0.70 e | 32.50 ± 0.85 f | 312.41 | <0.001 |
| 45 | 24.30 ± 0.82 a | 30.70 ± 0.95 b | 31.50 ± 0.85 c | 41.20 ± 0.79 d | 40.50 ± 0.71 ed | 38.60 ± 0.84 f | 653.73 | <0.001 |
| 55 | 27.40 ± 0.70 a | 32.10 ± 0.57 b | 33.70 ± 0.82 c | 43.80 ± 0.63 d | 42.20 ± 0.79 e | 41.30 ± 0.82 f | 822.06 | <0.001 |
| 65 | 26.90 ± 0.99 a | 31.60 ± 0.70 b | 32.30 ± 0.48 bc | 42.70 ± 0.82 d | 41.60 ± 0.97 e | 40.20 ± 0.79 f | 637.86 | <0.001 |
| 75 | 26.20 ± 0.92 a | 30.50 ± 0.71 b | 31.40 ± 0.70 c | 41.80 ± 0.92 d | 38.60 ± 0.70 e | 36.70 ± 0.82 f | 527.20 | <0.001 |
| °C | Type | |||||
|---|---|---|---|---|---|---|
| 14 | 0.015 | 66.667 | 0.690 | 0.751 | 0.976 | II |
| 18 | 0.011 | 92.593 | 0.738 | 0.823 | 0.996 | II |
| 22 | 0.010 | 96.154 | 0.737 | 0.859 | 0.990 | II |
| 26 | 0.005 | 200.000 | 0.845 | 0.919 | 0.993 | II |
| 30 | 0.006 | 166.667 | 0.821 | 0.910 | 0.989 | II |
| 34 | 0.007 | 135.135 | 0.787 | 0.912 | 0.986 | II |
Disclaimer/Publisher’s Note: The statements, opinions and data contained in all publications are solely those of the individual author(s) and contributor(s) and not of MDPI and/or the editor(s). MDPI and/or the editor(s) disclaim responsibility for any injury to people or property resulting from any ideas, methods, instructions or products referred to in the content. |
© 2024 by the authors. Licensee MDPI, Basel, Switzerland. This article is an open access article distributed under the terms and conditions of the Creative Commons Attribution (CC BY) license (https://creativecommons.org/licenses/by/4.0/).
Share and Cite
Elmoghazy, M.M.E.; Elsherbini, D.M.A.; Mashlawi, A.M.; Ibrahim, A.M.; El-Mansi, A.A.; El-Sherbiny, M. Implications of Temperature and Prey Density on Predatory Mite Amblyseius swirskii (Acari: Phytoseiidae) Functional Responses. Insects 2024, 15, 444. https://doi.org/10.3390/insects15060444
Elmoghazy MME, Elsherbini DMA, Mashlawi AM, Ibrahim AM, El-Mansi AA, El-Sherbiny M. Implications of Temperature and Prey Density on Predatory Mite Amblyseius swirskii (Acari: Phytoseiidae) Functional Responses. Insects. 2024; 15(6):444. https://doi.org/10.3390/insects15060444
Chicago/Turabian StyleElmoghazy, Mohammed M. E., Dalia Mahmoud Abdelmonem Elsherbini, Abadi M. Mashlawi, Ateya Megahed Ibrahim, Ahmed A. El-Mansi, and Mohamed El-Sherbiny. 2024. "Implications of Temperature and Prey Density on Predatory Mite Amblyseius swirskii (Acari: Phytoseiidae) Functional Responses" Insects 15, no. 6: 444. https://doi.org/10.3390/insects15060444
APA StyleElmoghazy, M. M. E., Elsherbini, D. M. A., Mashlawi, A. M., Ibrahim, A. M., El-Mansi, A. A., & El-Sherbiny, M. (2024). Implications of Temperature and Prey Density on Predatory Mite Amblyseius swirskii (Acari: Phytoseiidae) Functional Responses. Insects, 15(6), 444. https://doi.org/10.3390/insects15060444

