Influence of Floral Strip Width on Spider and Carabid Beetle Communities in Maize Fields
Simple Summary
Abstract
1. Introduction
2. Materials and Methods
2.1. Study Area
2.2. Experiment Design
2.3. Vegetation Survey
2.4. Arthropod Sampling and Identification
2.5. Data Analysis
3. Results
3.1. Differences in Composition and Structure of Natural Enemy Communities Between Floral Strips and Control Strips
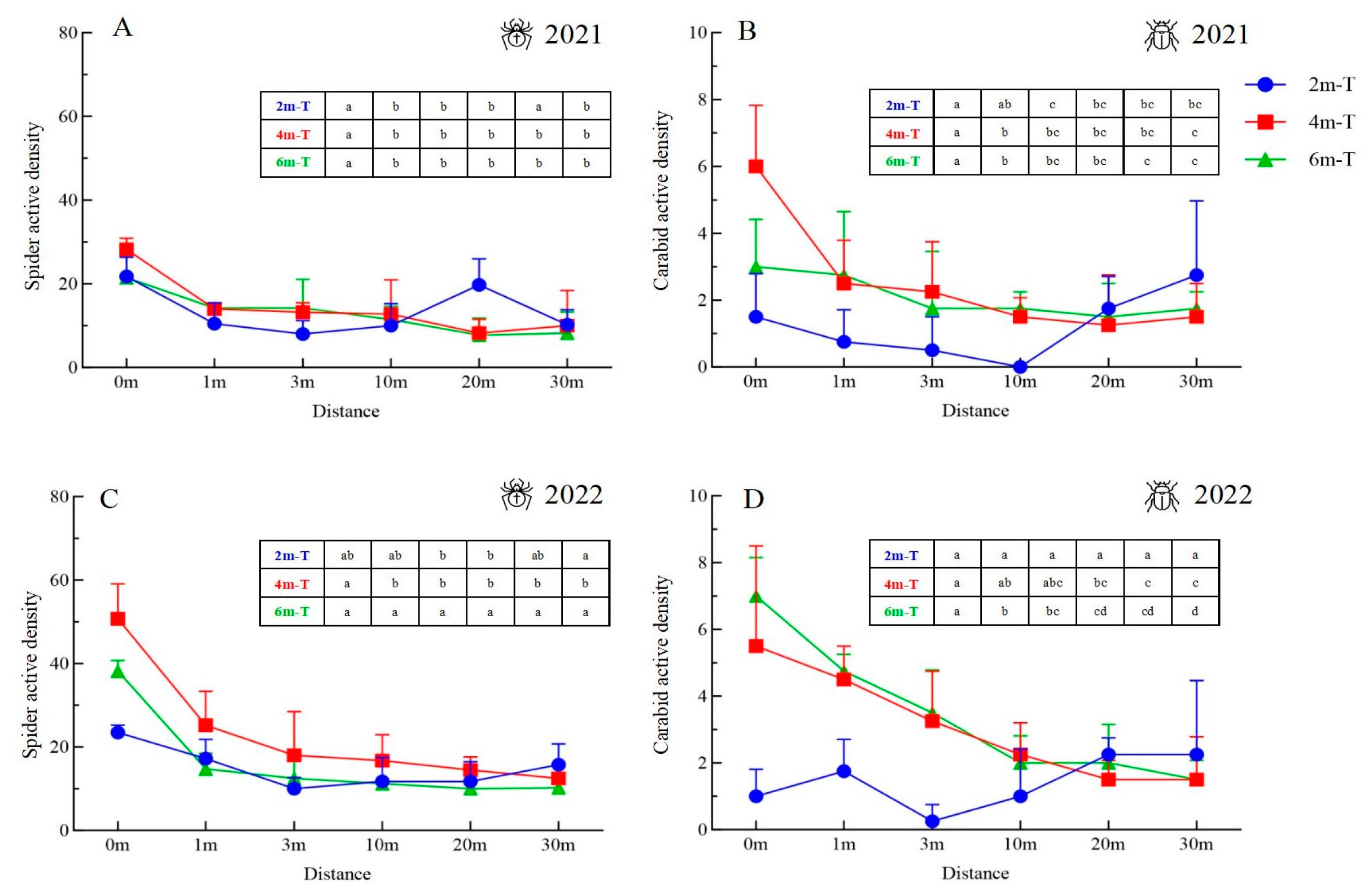
3.2. Influence of Floral Strips on the Spatial Distribution of Spiders and Carabid Beetles
3.3. Impact of Floral Strip Vegetation Characteristics on Spider and Carabid Beetle Community Structure
4. Discussion
4.1. Spider and Carabid Beetle Diversity in Floral Strips
4.2. Spatial Variation of Spiders and Carabid Beetles in Response to Floral Strip Width
4.3. Correlation Between Vegetation Characteristics and Spider and Carabid Beetle Communities
5. Conclusions
Author Contributions
Funding
Data Availability Statement
Acknowledgments
Conflicts of Interest
References
- Fahrig, L.; Baudry, J.; Brotons, L.; Burel, F.G.; Crist, T.O.; Fuller, R.J.; Sirami, C.; Siriwardena, G.M.; Martin, J.-L. Functional landscape heterogeneity and animal biodiversity in agricultural landscapes. Ecol. Lett. 2011, 14, 101–112. [Google Scholar] [CrossRef] [PubMed]
- Butler, S.J.; Vickery, J.A.; Norris, K. Farmland biodiversity and the footprint of agriculture. Science 2007, 315, 381–384. [Google Scholar] [CrossRef]
- Ionescu, D.; Bizic, M.; Karnatak, R.; Musseau, C.L.; Onandia, G.; Kasada, M.; Berger, S.A.; Nejstgaard, J.C.; Ryo, M.; Lischeid, G.; et al. From microbes to mammals: Pond biodiversity homogenization across different land-use types in an agricultural landscape. Ecol. Monogr. 2022, 92, e1523. [Google Scholar] [CrossRef]
- Szigeti, N.; Berenyi Uveges, J.; Berki, I.; Vityi, A. Grassy-floral soil covering as a tool for increasing herbaceous diversity in agroforestry. J. Cent. Eur. Agric. 2022, 23, 898–908. [Google Scholar] [CrossRef]
- Garibaldi, L.A.; Zermoglio, P.F.; Jobbagy, E.G.; Andreoni, L.; de Urbina, A.O.; Grass, I.; Oddi, F.J. How to design multifunctional landscapes? J. Appl. Ecol. 2023, 60, 2521–2527. [Google Scholar] [CrossRef]
- Marshall, E.J.R.; Moonen, A.C. Field margins in northern Europe: Their functions and interactions with agriculture. Agric. Ecosyst. Environ. 2002, 89, 5–21. [Google Scholar] [CrossRef]
- Nautiyal, S.; Goswami, M. Role of traditional ecological knowledge on field margin vegetation in sustainable development: A study in a rural-urban interface of Bengaluru. Trees For. People 2022, 8, 100207. [Google Scholar] [CrossRef]
- Haider, S.; Khan, F.Z.A.; Gul, H.; Ali, M.; Iqbal, S. Assessing the Role of Conservation Strips in Enhancing Beneficial Fauna in the Wheat- Cotton Agricultural System in Punjab, Pakistan. Pak. J. Zool. 2024, 56, 1–9. [Google Scholar] [CrossRef]
- Howlett, B.G.; Todd, J.H.; Willcox, B.K.; Rader, R.; Nelson, W.R.; Gee, M.; Schmidlin, F.G.; Read, S.F.J.; Walker, M.K.; Gibson, D.; et al. Using non-bee and bee pollinator-plant species interactions to design diverse plantings benefiting crop pollination services. In Advances in Ecological Research; Bohan, D.A., Vanbergen, A.J., Eds.; Future of Agricultural Landscapes, Pt II; Academic Press: Cambridge, MA, USA, 2021; Volume 64, pp. 45–103. [Google Scholar]
- MacLeod, A.; Wratten, S.D.; Sotherton, N.W.; Thomas, M.B. ‘Beetle banks’ as refuges for beneficial arthropods in farmland: Long-term changes in predator communities and habitat. Agric. For. Entomol. 2004, 6, 147–154. [Google Scholar] [CrossRef]
- Antkowiak, M.; Kowalska, J.; Trzcinski, P. Flower Strips as an Ecological Tool to Strengthen the Environmental Balance of Fields: Case Study of a National Park Zone in Western Poland. Sustainability 2024, 16, 1251. [Google Scholar] [CrossRef]
- Olson, D.M.; Wackers, F.L. Management of field margins to maximize multiple ecological services. J. Appl. Ecol. 2007, 44, 13–21. [Google Scholar] [CrossRef]
- Snyder, W.E. Give predators a complement: Conserving natural enemy biodiversity to improve biocontrol. Biol. Control 2019, 135, 73–82. [Google Scholar] [CrossRef]
- Hamon, L.E.; Kilpatrick, L.D.; Billeisen, T.L. The Impact of Wildflower Habitat on Insect Functional Group Abundance in Turfgrass Systems. Insects 2024, 15, 520. [Google Scholar] [CrossRef] [PubMed]
- Chong, H.; Zhu, Y.; Lai, Q.; Wu, S.; Jiang, T.; Zhang, D.; Xiao, H. Response of Spider and Epigaeic Beetle Assemblages to Overwinter Planting Regimes and Surrounding Landscape Compositions. Insects 2023, 14, 951. [Google Scholar] [CrossRef] [PubMed]
- Plath, E.; Rischen, T.; Mohr, T.; Fischer, K. Biodiversity in agricultural landscapes: Grassy field margins and semi-natural fragments both foster spider diversity and body size. Agric. Ecosyst. Environ. 2021, 316, 107457. [Google Scholar] [CrossRef]
- Knapp, M.; Rezác, M. Even the Smallest Non-Crop Habitat Islands Could Be Beneficial: Distribution of Carabid Beetles and Spiders in Agricultural Landscape. PLoS ONE 2015, 10, e0123052. [Google Scholar] [CrossRef] [PubMed]
- Buchanan, A.L.; Hooks, C.R.R. Influence of Winter Cover Crop Mulch on Arthropods in a Reduced Tillage Cucurbit System. Environ. Entomol. 2018, 47, 292–299. [Google Scholar] [CrossRef]
- Hu, W.-H.; Duan, M.-C.; Na, S.-H.; Zhang, F.; Yu, Z.-R. Spider diversity and community characteristics in cropland and two kinds of recovery habitats in Bashang area, China. Ying Yong Sheng Tai Xue Bao = J. Appl. Ecol. 2020, 31, 643–650. [Google Scholar] [CrossRef]
- Culshaw-Maurer, M.; Sih, A.; Rosenheim, J.A. Bugs scaring bugs: Enemy-risk effects in biological control systems. Ecol. Lett. 2020, 23, 1693–1714. [Google Scholar] [CrossRef] [PubMed]
- Tscharntke, T.; Karp, D.S.; Chaplin-Kramer, R.; Batary, P.; DeClerck, F.; Gratton, C.; Hunt, L.; Ives, A.; Jonsson, M.; Larsen, A.; et al. When natural habitat fails to enhance biological pest control—Five hypotheses. Biol. Conserv. 2016, 204, 449–458. [Google Scholar] [CrossRef]
- Zhang, X.Z.; Han, Y.; Yu, Z.R.; Liu, Y.H. Spatio-temporal distribution of carabids and spiders between semi-natural field margin and the adjacent crop fields in agricultural landscape. Ying Yong Sheng Tai Xue Bao = J. Appl. Ecol. 2017, 28, 1879–1888. [Google Scholar] [CrossRef]
- Zhang, Y.; Bian, Z.; Wang, S.; Guo, X.; Zhou, W. Effect of agricultural landscape pattern on the qualitative food web of epigaeic arthropods in low hilly areas of northern China. Ecol. Model. 2024, 488, 110574. [Google Scholar] [CrossRef]
- Albrecht, M.; Kleijn, D.; Williams, N.M.; Tschumi, M.; Blaauw, B.R.; Bommarco, R.; Campbell, A.J.; Dainese, M.; Drummond, F.A.; Entling, M.H.; et al. The effectiveness of flower strips and hedgerows on pest control, pollination services and crop yield: A quantitative synthesis. Ecol. Lett. 2020, 23, 1488–1498. [Google Scholar] [CrossRef] [PubMed]
- Holland, J.M.; Luff, M.L. The effects of agricultural practices on Carabidae in temperate agroecosystems. Integr. Pest Manag. Rev. 2000, 5, 109–129. [Google Scholar] [CrossRef]
- Nyffeler, M.; Birkhofer, K. An estimated 400-800 million tons of prey are annually killed by the global spider community. Sci. Nat. 2017, 104, 30. [Google Scholar] [CrossRef] [PubMed]
- Duan, M.; Hu, W.; Liu, Y.; Yu, Z.; Li, X.; Wu, P.; Zhang, F.; Shi, H.; Baudry, J. The influence of landscape alterations on changes in ground beetle (Carabidae) and spider (Araneae) functional groups between 1995 and 2013 in an urban fringe of China. Sci. Total Environ. 2019, 689, 516–525. [Google Scholar] [CrossRef] [PubMed]
- Harvey, J.A.; van der Putten, W.H.; Turin, H.; Wagenaar, R.; Bezemer, T.M. Effects of changes in plant species richness and community traits on carabid assemblages and feeding guilds. Agric. Ecosyst. Environ. 2008, 127, 100–106. [Google Scholar] [CrossRef]
- Mei, Z.; de Groot, G.A.; Kleijn, D.; Dimmers, W.; van Gils, S.; Lammertsma, D.; van Kats, R.; Scheper, J. Flower availability drives effects of wildflower strips on ground-dwelling natural enemies and crop yield. Agric. Ecosyst. Environ. 2021, 319, 107570. [Google Scholar] [CrossRef]
- Seree, L.; Chiron, F.; Valantin-Morison, M.; Barbottin, A.; Gardarin, A. Flower strips, crop management and landscape composition effects on two aphid species and their natural enemies in faba bean. Agric. Ecosyst. Environ. 2022, 331, 107902. [Google Scholar] [CrossRef]
- Duan, M.-C.; Qin, R.-X.; Zhang, H.-B.; Chen, B.-X.; Jin, B.; Zhang, S.-B.; Ren, S.-P.; Jin, S.-Q.; Zhu, S.-H.; Hua, J.-N.; et al. Comprehensive comparison of different sampling methods for arthropod diversity in farmland. Biodivers. Sci. 2021, 29, 477–487. [Google Scholar] [CrossRef]
- Mueller-Dombois, D.; Ellenberg, H. Aims and Methods of Vegetation Ecology; John Willy & Sons: Hoboken, NJ, USA, 1974; p. 547. [Google Scholar]
- Guo, B.; Fu, D.; Qi, S.; Yu, Z.; Nie, Z.; Zhu, L. Effects of wildflower strips on ground-dwelling spider diversity in Beijing suburban cropland. Chin. J. Ecol. 2020, 39, 2663–2670. [Google Scholar]
- Xie, L.; Chen, H.; Wei, L.; Chen, S.; Wang, L.; Xu, B.; Yi, X.; Wang, X.; Ding, H.; Fang, Y. Scale-dependent effects of species diversity on aboveground biomass and productivity in a subtropical broadleaved forest on Mt. Huangshan. Ecol. Evol. 2023, 13, e9786. [Google Scholar] [CrossRef]
- Maehara, T. The efficiency of pitfall traps in relation to a density and activity of the carabid beetle, Carabus insulicola insulicola Chaudoir (Coleoptera: Carabidae), under controlled population density. Jpn. J. Appl. Entomol. Zool. 2004, 48, 115–121. [Google Scholar] [CrossRef]
- Martinez, J.M.; Tarazona, R.; Lohr, B.L.; Narvaez, C.A. Measuring the effect of long-term pitfall trapping on the prevalence of epigeal arthropods: A case study in the Pacific Coast of Colombia. Sociobiology 2021, 68, e5928. [Google Scholar] [CrossRef]
- Batary, P.; Baldi, A.; Samu, F.; Szuts, T.; Erdos, S. Are spiders reacting to local or landscape scale effects in Hungarian pastures? Biol. Conserv. 2008, 141, 2062–2070. [Google Scholar] [CrossRef]
- Gobbi, M.; Fontaneto, D. Biodiversity of ground beetles (Coleoptera: Carabidae) in different habitats of the Italian Po lowland. Agric. Ecosyst. Environ. 2008, 127, 273–276. [Google Scholar] [CrossRef]
- Xiang, P.; Li, W. Statistical Design/Analysis for Intervention Research on Intact Classes in Physical Education. Res. Q. Exerc. Sport 2014, 85, 13. [Google Scholar]
- Barve, V.; Otegui, J. bdvis: Visualizing biodiversity data in R. Bioinformatics 2016, 32, 3049–3050. [Google Scholar] [CrossRef]
- Morris, C. Multivariate Analysis of Ecological Data Using Canoco 5, 2nd Edition. Afr. J. Range Forage Sci. 2015, 32, 289–290. [Google Scholar] [CrossRef]
- Gao, R.M.; Shi, X.D.; Guo, Y.D. Community stability evaluation of riparian forest of the upper reaches of Wenyuhe in Shanxi, China. Chin. J. Plant Ecol. 2012, 36, 491–503. [Google Scholar]
- Jaworski, C.C.; Xiao, D.; Xu, Q.; Ramirez-Romero, R.; Guo, X.; Wang, S.; Desneux, N. Varying the spatial arrangement of synthetic herbivore-induced plant volatiles and companion plants to improve conservation biological control. J. Appl. Ecol. 2019, 56, 1176–1188. [Google Scholar] [CrossRef]
- Zhuorong, L.; Yulin, G.; Ju, L.; Fengxiang, L.; Yunhe, L.; Qiang, F.; Yufa, P. Evaluating the non-rice host plant species of Sesamia inferens (Lepidoptera: Noctuidae) as natural refuges: Resistance management of Bt rice. Environ. Entomol. 2011, 40, 749. [Google Scholar]
- Song, B.Z.; Wu, H.Y.; Kong, Y.; Zhang, J.; Du, Y.L.; Hu, J.H.; Yao, Y.C. Effects of intercropping with aromatic plants on the diversity and structure of an arthropod community in a pear orchard. Biocontrol 2010, 55, 741–751. [Google Scholar] [CrossRef]
- Mansion-Vaquie, A.; Ferrante, M.; Cook, S.M.; Pell, J.K.; Lovei, G.L. Manipulating field margins to increase predation intensity in fields of winter wheat (Triticum aestivum). J. Appl. Entomol. 2017, 141, 600–611. [Google Scholar] [CrossRef]
- Meek, B.; Loxton, D.; Sparks, T.; Pywell, R.; Pickett, H.; Nowakowski, M. The effect of arable field margin composition on invertebrate biodiversity. Biol. Conserv. 2002, 106, 259–271. [Google Scholar] [CrossRef]
- Bonthoux, S.; Barnagaud, J.-Y.; Goulard, M.; Balent, G. Contrasting spatial and temporal responses of bird communities to landscape changes. Oecologia 2013, 172, 563–574. [Google Scholar] [CrossRef] [PubMed]
- Zytynska, S.E.; Sturm, S.; Hawes, C.; Weisser, W.W.; Karley, A. Floral presence and flower identity alter cereal aphid endosymbiont communities on adjacent crops. J. Appl. Ecol. 2023, 60, 1409–1423. [Google Scholar] [CrossRef]
- Rischen, T.; Kaffenberger, M.; Plath, E.; Wolff, J.; Fischer, K. Configurational landscape heterogeneity: Crop-fallow boundaries enhance the taxonomic diversity of carabid beetles and spiders. Agric. Ecosyst. Environ. 2023, 341, 108194. [Google Scholar] [CrossRef]
- Szitár, K.; Deák, B.; Halassy, M.; Steffen, C.; Batáry, P. Combination of organic farming and flower strips in agricultural landscapes—A feasible method to maximise functional diversity of plant traits related to pollination. Glob. Ecol. Conserv. 2022, 38, e02229. [Google Scholar] [CrossRef]
- Priyadarshana, T.S.; Martin, E.A.; Sirami, C.; Woodcock, B.A.; Goodale, E.; Martinez-Nunez, C.; Lee, M.-B.; Pagani-Nunez, E.; Raderschall, C.A.; Brotons, L.; et al. Crop and landscape heterogeneity increase biodiversity in agricultural landscapes: A global review and meta-analysis. Ecol. Lett. 2024, 27, e14412. [Google Scholar] [CrossRef] [PubMed]
- Ma, M.H.; Herzon, I. Plant functional diversity in agricultural margins and fallow fields varies with landscape complexity level: Conservation implications. J. Nat. Conserv. 2014, 22, 525–531. [Google Scholar] [CrossRef]
- Ma, M.H.; Hietala, R.; Kuussaari, M.; Helenius, J. Impacts of edge density of field patches on plant species richness and community turnover among margin habitats in agricultural landscapes. Ecol. Indic. 2013, 31, 25–34. [Google Scholar] [CrossRef]
- Mkenda, P.A.; Ndakidemi, P.A.; Stevenson, P.C.; Arnold, S.E.J.; Belmain, S.R.; Chidege, M.; Gurr, G.M. Field Margin Vegetation in Tropical African Bean Systems Harbours Diverse Natural Enemies for Biological Pest Control in Adjacent Crops. Sustainability 2019, 11, 6399. [Google Scholar] [CrossRef]
- Ewers, R.M.; Didham, R.K. Pervasive impact of large-scale edge effects on a beetle community. Proc. Natl. Acad. Sci. USA 2008, 105, 5426–5429. [Google Scholar] [CrossRef]
- Garratt, M.P.D.; Wright, D.J.; Leather, S.R. The effects of organic and conventional fertilizers on cereal aphids and their natural enemies. Agric. For. Entomol. 2010, 12, 307–318. [Google Scholar] [CrossRef]
- Bianchi, F.J.J.A.; Booij, C.J.H.; Tscharntke, T. Sustainable pest regulation in agricultural landscapes: A review on landscape composition, biodiversity and natural pest control. Proc. R. Soc. B-Biol. Sci. 2006, 273, 1715–1727. [Google Scholar] [CrossRef]
- Geiger, F.; Waeckers, F.L.; Bianchi, F.J.J.A. Hibernation of predatory arthropods in semi-natural habitats. Biocontrol 2009, 54, 529–535. [Google Scholar] [CrossRef]
- Zhao, Z.; Ouyang, F.; He, D. Edge Effects and Spillover Effects of Natural Enemies on Different Habitat Interfaces of Agricultural Landscape. Sci. Sin. Vitae 2012, 42, 825–840. [Google Scholar]
- Iuliano, B.; Gratton, C. Temporal Resource (Dis)continuity for Conservation Biological Control: From Field to Landscape Scales. Front. Sustain. Food Syst. 2020, 4, 127. [Google Scholar] [CrossRef]
- Westphal, C.; Vidal, S.; Horgan, F.G.; Gurr, G.M.; Escalada, M.; Chien, H.V.; Tscharntke, T.; Heong, K.L.; Settele, J. Promoting multiple ecosystem services with flower strips and participatory approaches in rice production landscapes. Basic Appl. Ecol. 2015, 16, 681–689. [Google Scholar] [CrossRef]
- Jonason, D.; Smith, H.G.; Bengtsson, J.; Birkhofer, K. Landscape simplification promotes weed seed predation by carabid beetles (Coleoptera: Carabidae). Landsc. Ecol. 2013, 28, 487–494. [Google Scholar] [CrossRef]
- Valean, A.M.; Tarau, A.; Crișan, I.; Sopterean, L.; Suciu, L.; Filip, E.; Popa, A. The diversity of useful arthropods in two wheat agroecosystems from Transylvanian Plain. Life Sci. Sustain. Dev. 2023, 4, 27–35. [Google Scholar] [CrossRef]
- Quijano-Cuervo, L.G.; del-Val, E.; Macias-Ordonez, R.; Dattilo, W.; Negrete-Yankelevich, S. Spider guilds in a maize polyculture respond differently to plant diversification, landscape composition and stage of the agricultural cycleLos gremios de arañas en un policultivo de maíz responden diferencialmente a la diversificación de plantas, la composición del paisaje y la etapa del ciclo agrícola. Agric. For. Entomol. 2024, 26, 373–385. [Google Scholar] [CrossRef]
- Wu, P.; Xiang, L.; Zheng, W.G. Vegetation Affects the Responses of Canopy Spider Communities to Elevation Gradients on Changbai Mountain, China. Insects 2024, 15, 154. [Google Scholar] [CrossRef]
- Hu, X.L.; Wu, X.W.; Zhou, Q.P.; Niklas, K.J.; Jiang, L.; Eisenhauer, N.; Reich, P.B.; Sun, S.C. Warming causes contrasting spider behavioural responses by changing their prey size spectra. Nat. Clim. Change 2024, 14, 122–123. [Google Scholar] [CrossRef]
- Liu, J.; Sun, L.Y.; Fu, D.; Zhu, J.Y.; Liu, M.; Xiao, F.; Xiao, R. Herbivore-Induced Rice Volatiles Attract and Affect the Predation Ability of the Wolf Spiders, Pirata subpiraticus and Pardosa pseudoannulata. Insects 2022, 13, 90. [Google Scholar] [CrossRef]
- Brose, U. Bottom-up control of carabid beetle communities in early successional wetlands: Mediated by vegetation structure or plant diversity? Oecologia 2003, 135, 407–413. [Google Scholar] [CrossRef] [PubMed]
- Zhang, X.; Axmacher, J.C.; Wu, P.; Song, X.; Yu, Z.; Liu, Y. The taxon- and functional trait-dependent effects of field margin and landscape composition on predatory arthropods in wheat fields of the North China Plain. Insect Conserv. Divers. 2020, 13, 328–339. [Google Scholar] [CrossRef]
- Albrecht, M.; Knecht, A.; Riesen, M.; Rutz, T.; Ganser, D. Time since establishment drives bee and hoverfly diversity, abundance of crop-pollinating bees and aphidophagous hoverflies in perennial wildflower strips. Basic Appl. Ecol. 2021, 57, 102–114. [Google Scholar] [CrossRef]







| Groups | Types | Codes | Families/Species | Floral Strips | Control Strips | ||
|---|---|---|---|---|---|---|---|
| 2021 | 2022 | 2021 | 2022 | ||||
| Spiders | Hunting | Ag | Agelenidae | 6 | 16 | 0 | 2 |
| Cl | Clubionidae | 2 | 2 | 0 | 0 | ||
| Gn | Gnaphosidae | 4 | 6 | 2 | 5 | ||
| Ly | Lycosidae | 237 | 740 | 71 | 193 | ||
| Ph | Pholcidae | 0 | 1 | 0 | 0 | ||
| Sa | Salticidae | 2 | 4 | 0 | 0 | ||
| The | Theridiidae | 4 | 5 | 0 | 0 | ||
| Tho | Thomisidae | 5 | 1 | 0 | 1 | ||
| Web-building | Di | Dictynidae | 46 | 31 | 45 | 19 | |
| Ha | Hahniidae | 0 | 13 | 0 | 0 | ||
| Li | Linyphiidae | 57 | 10 | 44 | 11 | ||
| Ne | Nesticidae | 79 | 16 | 44 | 12 | ||
| Carabids | Omnivorous | A.g | Amara gigantus | 2 | 0 | 0 | 1 |
| A.p | Amara plebeja | 1 | 3 | 2 | 0 | ||
| D.g | Dyschirius glypturus | 1 | 8 | 0 | 1 | ||
| H.c | Harpalus cslceatus | 0 | 1 | 0 | 1 | ||
| H.sim | Harpalus simplicidens | 25 | 0 | 1 | 0 | ||
| H.sin | Harpalus sinicus | 0 | 0 | 0 | 0 | ||
| S.t | Scarites terricola | 13 | 1 | 0 | 0 | ||
| T.g | Tachys gradatus | 0 | 22 | 0 | 1 | ||
| T.n | Tachys nanus | 12 | 13 | 2 | 4 | ||
| Carnivorous | C.l | Calosoma lugens | 8 | 11 | 12 | 8 | |
| C.j | Chlaenius junceus | 4 | 1 | 0 | 0 | ||
| C.m | Chlaenius micans | 27 | 17 | 8 | 5 | ||
| C.p | Chlaenius praefactus | 1 | 1 | 0 | 0 | ||
| C.v | Chlaenius variicornis | 0 | 1 | 0 | 0 | ||
| D.h | Dolichus halensis | 12 | 3 | 2 | 0 | ||
| H.p | Harpalus pallidipennis | 0 | 14 | 1 | 0 | ||
| L.c | Lachnolebia cribricollis | 0 | 2 | 0 | 0 | ||
| P.d | Panagaeus davidi | 1 | 0 | 0 | 0 | ||
| P.o | Pheropsophus occiptalis | 7 | 7 | 0 | 3 | ||
| Comparisons | Spiders | Carabids | ||
|---|---|---|---|---|
| 2021 | 2022 | 2021 | 2022 | |
| 2m-T vs. 4m-T | 0.0291 | 0.2811 | 0.0274 | 0.0579 |
| 2m-T vs. 6m-T | 0.03 | 0.1134 | 0.0291 | 0.0868 |
| 4m-T vs. 6m-T | 0.0327 | 0.5141 | 0.201 | 0.0327 |
| 2m-T vs. 2m-C | 0.0302 | 0.0319 | 0.1411 | 0.7717 |
| 4m-T vs. 4m-C | 0.0306 | 0.0291 | 0.028 | 0.0266 |
| 6m-T vs. 6m-C | 0.0294 | 0.0278 | 0.0549 | 0.0294 |
| R | 0.6663 | 0.6751 | 0.2569 | 0.3125 |
| p | 0.001 | 0.001 | 0.001 | 0.001 |
| Groups | Years | Widths | Spearman Correlation Coefficients | ANOVA | |||
|---|---|---|---|---|---|---|---|
| r | p | F | df | p | |||
| Spiders | 2021 | 2 m | −0.20 | 0.331 | 5.97 | 23 | 0.002 |
| 4 m | −0.70 | <0.001 | 7.45 | 23 | <0.001 | ||
| 6 m | −0.73 | <0.001 | 4.86 | 23 | 0.006 | ||
| 2022 | 2 m | −0.43 | 0.034 | 5.34 | 23 | 0.003 | |
| 4 m | −0.72 | <0.001 | 16.02 | 23 | <0.001 | ||
| 6 m | −0.73 | <0.001 | 62.64 | 23 | <0.001 | ||
| Carabids | 2021 | 2 m | 0.21 | 0.305 | 2.51 | 23 | 0.068 |
| 4 m | −0.60 | 0.002 | 7.03 | 23 | <0.001 | ||
| 6 m | −0.36 | 0.78 | 0.94 | 23 | 0.479 | ||
| 2022 | 2 m | 0.25 | 0.226 | 1.71 | 23 | 0.183 | |
| 4 m | −0.79 | <0.001 | 4.29 | 23 | 0.009 | ||
| 6 m | −0.86 | <0.001 | 19.17 | 23 | <0.001 | ||
| Years | Families | Species | Importance Values (%) |
|---|---|---|---|
| 2021 | Amaranthaceae | Amaranthus blitoides S. Watson | 3.07 |
| Asteraceae | Cichorium intybus L. | 18.08 | |
| Cirsium arvense var. integrifolium Wimm. & Grab. | 6.31 | ||
| Cosmos bipinnatus Cav. | 2.1 | ||
| Helianthus tuberosus L. | 1.26 | ||
| Campanulaceae | Lobelia nummularia Lam. | 0.84 | |
| Chenopodiaceae | Oxybasis glauca (L.) S. Fuentes, Uotila & Borsch | 3.42 | |
| Convolvulaceae | Ipomoea nil (L.) Roth | 0.9 | |
| Cucurbitaceae | Acalypha australis L. | 6.4 | |
| Leguminosae | Medicago sativa L. | 10.31 | |
| Trifolium pratense L. | 2.13 | ||
| Trifolium repens L. | 4.1 | ||
| Vicia sepium L. | 1.81 | ||
| Malvaceae | Abutilon theophrasti Medicus | 2.1 | |
| Hibiscus trionum L. | 4.26 | ||
| Moraceae | Humulus scandens (Lour.) Merr. | 2.65 | |
| Poaceae | Digitaria sanguinalis (L) Scop. | 12.57 | |
| Lolium perenne L. | 0.59 | ||
| Phragmites australis (Cav.) Trin. ex Steud | 2.07 | ||
| Setaria viridis (L.) P. Beauv. | 13.22 | ||
| Solanaceae | Alkekengi officinarum Moench | 1.81 | |
| 2022 | Asteraceae | Artemisia caruifolia Buch.-Ham. ex Roxb. | 1.20 |
| Aster indicus L. | 2.35 | ||
| Cichorium intybus L. | 18.86 | ||
| Cirsium arvense var. integrifolium Wimm. & Grab. | 10.88 | ||
| Sonchus oleraceus L. | 6.47 | ||
| Leguminosae | Medicago sativa L. | 17.75 | |
| Trifolium pratense L. | 1.82 | ||
| Trifolium repens L. | 2.24 | ||
| Malvaceae | Abutilon theophrasti Medicus | 1.72 | |
| Moraceae | Humulus scandens (Lour.) Merr. | 3.59 | |
| Poaceae | Lolium perenne L. | 10.33 | |
| Setaria viridis L. | 20.86 | ||
| Rubiaceae | Galium spurium L. | 1.93 |
| Groups | Years | Environmental Factors | Explains (%) | Contributions (%) | F | p |
|---|---|---|---|---|---|---|
| Spiders | 2021 | Strip width | 50.0 | 62.7 | 10.0 | 0.006 |
| Coverage | 18.9 | 23.7 | 5.5 | 0.008 | ||
| Abundance | 4.8 | 6.0 | 1.5 | 0.248 | ||
| Richness | 2.5 | 3.1 | 0.7 | 0.55 | ||
| Shannon Diversity Index | 2.0 | 2.5 | 0.5 | 0.67 | ||
| Pielou’s Evenness Index | 1.6 | 2.0 | 0.4 | 0.766 | ||
| 2022 | Strip width | 31.7 | 49.7 | 4.6 | 0.06 | |
| Coverage | 9.3 | 14.6 | 1.4 | 0.254 | ||
| Abundance | 9.0 | 14.2 | 1.5 | 0.264 | ||
| Richness | 8.8 | 13.8 | 1.5 | 0.25 | ||
| Shannon Diversity Index | 2.6 | 4.1 | 0.4 | 0.64 | ||
| Pielou’s Evenness Index | 2.4 | 3.7 | 0.3 | 0.632 | ||
| Carabids | 2021 | Strip width | 14.8 | 24.9 | 2.2 | 0.076 |
| Coverage | 23.8 | 40.0 | 3.1 | 0.026 | ||
| Abundance | 8.8 | 14.8 | 1.3 | 0.28 | ||
| Richness | 1.3 | 2.2 | 0.2 | 0.974 | ||
| Shannon Diversity Index | 6.7 | 11.2 | 0.8 | 0.526 | ||
| Pielou’s Evenness Index | 4.1 | 7.0 | 0.6 | 0.666 | ||
| 2022 | Strip width | 19.2 | 27.6 | 2.4 | 0.04 | |
| Coverage | 12.8 | 18.4 | 1.7 | 0.172 | ||
| Abundance | 12.7 | 18.3 | 1.8 | 0.112 | ||
| Richness | 9.1 | 13.1 | 1.4 | 0.236 | ||
| Shannon Diversity Index | 3.5 | 5.1 | 0.5 | 0.82 | ||
| Pielou’s Evenness Index | 12.2 | 17.5 | 2 | 0.116 |
Disclaimer/Publisher’s Note: The statements, opinions and data contained in all publications are solely those of the individual author(s) and contributor(s) and not of MDPI and/or the editor(s). MDPI and/or the editor(s) disclaim responsibility for any injury to people or property resulting from any ideas, methods, instructions or products referred to in the content. |
© 2024 by the authors. Licensee MDPI, Basel, Switzerland. This article is an open access article distributed under the terms and conditions of the Creative Commons Attribution (CC BY) license (https://creativecommons.org/licenses/by/4.0/).
Share and Cite
Li, J.-L.; Huang, L.-M.; Xiang, Z.-Y.; Zhao, J.-N.; Yang, D.-L.; Wang, H.; Zhang, Y.-J. Influence of Floral Strip Width on Spider and Carabid Beetle Communities in Maize Fields. Insects 2024, 15, 993. https://doi.org/10.3390/insects15120993
Li J-L, Huang L-M, Xiang Z-Y, Zhao J-N, Yang D-L, Wang H, Zhang Y-J. Influence of Floral Strip Width on Spider and Carabid Beetle Communities in Maize Fields. Insects. 2024; 15(12):993. https://doi.org/10.3390/insects15120993
Chicago/Turabian StyleLi, Jia-Lu, Lan-Mei Huang, Zi-Yi Xiang, Jian-Ning Zhao, Dian-Lin Yang, Hui Wang, and Yan-Jun Zhang. 2024. "Influence of Floral Strip Width on Spider and Carabid Beetle Communities in Maize Fields" Insects 15, no. 12: 993. https://doi.org/10.3390/insects15120993
APA StyleLi, J.-L., Huang, L.-M., Xiang, Z.-Y., Zhao, J.-N., Yang, D.-L., Wang, H., & Zhang, Y.-J. (2024). Influence of Floral Strip Width on Spider and Carabid Beetle Communities in Maize Fields. Insects, 15(12), 993. https://doi.org/10.3390/insects15120993

