Adapting to Uncertainty: Foraging Strategies in Dinoponera quadriceps (Formicidae: Ponerinae)
Simple Summary
Abstract
1. Introduction
2. Methods
2.1. Studied Species and Rearing of Ant Colonies
2.2. Experimental Setup
2.3. Experimental Procedure
- Scenario 1: Upon arrival at a reward site, a forager encounters only one condition: a single big prey. The reward rate is 100%.
- Scenario 2: Upon arrival at a reward site, a forager encounters one of two possible conditions: either a single big prey item or no prey item. The reward rate is 50%.
- Scenario 3: Upon arrival at a reward site, a forager encounters one of two possible conditions: either a single small or a single big prey item—100% reward rate; 50% reward rate for each prey size.
- Scenario 4: Upon arrival at a reward site, a forager encounters one of three possible conditions: a single small prey item, a single big prey item or no prey item—66% reward rate; 33% reward rate for each prey size.
2.4. Statistical Analyses
3. Results
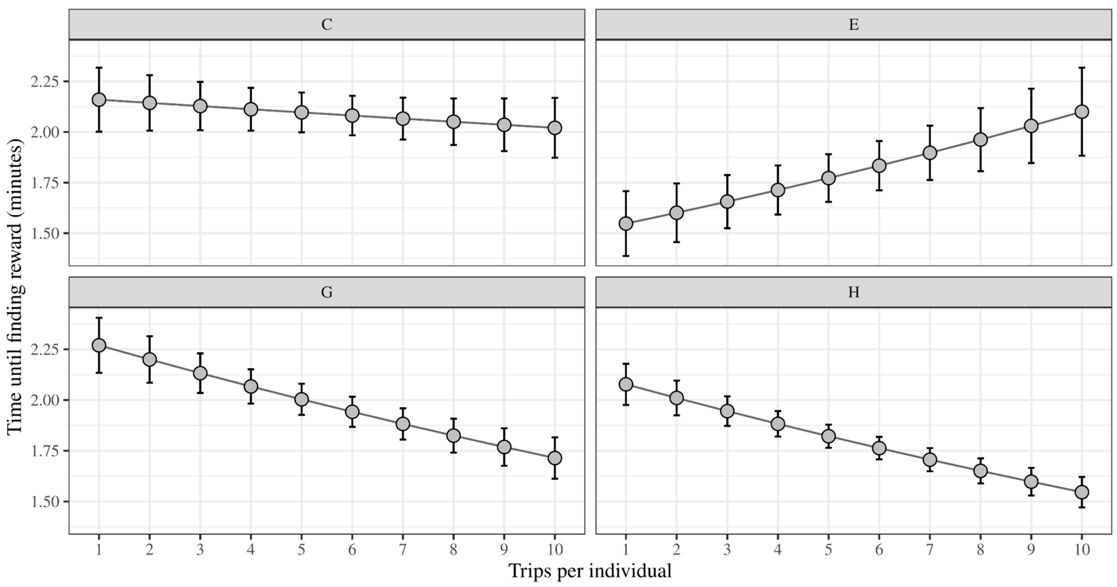
3.1. Performance over Time
3.2. Route Decision Scenario 1
3.3. Route Decision Scenario 2
3.4. Route Decision Scenario 3
3.5. Route Decision Scenario 4
3.6. Effect of Capture over Route Residency Time
4. Discussion
Supplementary Materials
Author Contributions
Funding
Institutional Review Board Statement
Data Availability Statement
Acknowledgments
Conflicts of Interest
References
- Pyke, G.H. Optimal Foraging Theory: A Critical Review. Annu. Rev. Ecol. Syst. 1984, 15, 523–575. [Google Scholar] [CrossRef]
- Latty, T.; Beekman, M. Keeping Track of Changes: The Performance of Ant Colonies in Dynamic Environments. Anim. Behav. 2013, 85, 637–643. [Google Scholar] [CrossRef]
- Cerdá, X.; Angulo, E.; Boulay, R.; Lenoir, A. Individual and Collective Foraging Decisions: A Field Study of Worker Recruitment in the Gypsy Ant Aphaenogaster senilis. Behav. Ecol. Sociobiol. 2009, 63, 551–562. [Google Scholar] [CrossRef]
- McNamara, J.M.; Houston, A.I. Optimal Foraging and Learning. J. Theor. Biol. 1985, 117, 231–249. [Google Scholar] [CrossRef]
- Czaczkes, T.J. Advanced Cognition in Ants. Myrmecol. News 2022, 32, 51–64. [Google Scholar] [CrossRef]
- Johnson, R.A. Learning, Memory, and Foraging Efficiency in Two Species of Desert Seed-Harvester Ants. Ecology 1991, 72, 1408–1419. [Google Scholar] [CrossRef]
- McNair, J.N. Optimal Giving-up Times and the Marginal Value Theorem. Am. Nat. 1982, 119, 511–529. [Google Scholar] [CrossRef]
- Nowak, M.A.; Sigmund, K. The Alternating Prisoner’s Dilemma. J. Theor. Biol. 1994, 168, 219–226. [Google Scholar] [CrossRef]
- Davidson, J.; Hady, A. Foraging as an Evidence Accumulation Process. PLoS Comput. Biol. 2018, 15, e1007060. [Google Scholar] [CrossRef] [PubMed]
- Fewell, J. Energetic and Time Costs of Foraging in Harvester Ants, Pogonomyrmex occidentalis. Behav. Ecol. Sociobiol. 1988, 22, 401–408. [Google Scholar] [CrossRef]
- Hölldobler, B.; Wilson, E.O. The Ants; Belknap Press: Cambridge, UK, 1990; ISBN 978-0-674-04075-5. [Google Scholar]
- Levings, S.C.; Franks, N.R. Patterns of Nested Dispersion in a Tropical Ground Ant Community. Ecology 1982, 63, 338–344. [Google Scholar] [CrossRef]
- Breed, M.D.; Fewell, J.H.; Moore, A.J.; Williams, K.R. Graded Recruitment in a Ponerine Ant. Behav. Ecol. Sociobiol. 1987, 20, 407–411. [Google Scholar] [CrossRef]
- Fewell, J.; Harrison, J.; Stiller, T.; Breed, M. A Cost–Benefit Analysis of Distance Effects on Foraging and Recruitment in the Giant Tropical Ant, Paraponera clavata. Oecologia 1992, 92, 542–547. [Google Scholar] [CrossRef] [PubMed]
- Schatz, B.; Lachaud, J.-P.; Beugnon, G. Polyethism within Hunters of the Ponerine Ant, Ectatomma Ruidum Roger (Formicidae, Ponerinae). Insectes Sociaux 1996, 43, 111–118. [Google Scholar] [CrossRef]
- Fresneau, D. Individual Foraging and Path Fidelity in a Ponerine Ant. Insectes Sociaux 1985, 32, 109–116. [Google Scholar] [CrossRef]
- Wehner, R.; Harkness, R.D.; Schmid-Hempel, P. Foraging Strategies in Individually Searching Ants, Cataglyphis Bicolor (Hymenoptera: Formicidae). In Akademieder Wissenschaften und der Literatur, Mainz, Mathematisch-Naturwissenschaftliche Klasse; Lindauer, M., Ed.; Fischer: Stuttgart, Germany, 1983; pp. 1–79. [Google Scholar]
- Duncan, F.; Crewe, R. Field Study on the Foraging Characteristics of a Ponerine Ant, Hagensia havilandi Forel. Insectes Sociaux 1994, 41, 85–98. [Google Scholar] [CrossRef]
- Azevedo, D.L.O.; Medeiros, J.C.; Araújo, A. Adjustments in the Time, Distance and Direction of Foraging in Dinoponera quadriceps Workers. J. Insect. Behav. 2014, 27, 177–191. [Google Scholar] [CrossRef]
- Beckers, R.; Goss, S.; Deneubourg, J.-L.; Pasteels, J.-M. Colony Size, Communication and Ant Foraging Strategy. Psyche 1989, 96, 239–256. [Google Scholar] [CrossRef]
- Traniello, J.F.A. Foraging Strategies of Ants. Annu. Rev. Entomol. 1989, 34, 191–210. [Google Scholar] [CrossRef]
- Araújo, A.; Rodrigues, Z. Foraging Behavior of the Queenless Ant Dinoponera quadriceps Santschi (Hymenoptera: Formicidae). Neotrop. Entomol. 2006, 35, 159–164. [Google Scholar] [CrossRef]
- Medeiros, J.; Azevedo, D.L.O.; Santana, M.A.D.; Lopes, T.R.P.; Araujo, A. Foraging Activity Rhythms of Dinoponera quadriceps (Hymenoptera: Formicidae) in Its Natural Environment. J. Insect Sci. 2014, 14, 220. [Google Scholar] [CrossRef] [PubMed][Green Version]
- Vasconcellos, A.; Santana, G.G.; Souza, A.K. Nest Spacing and Architecture, and Swarming of Males of Dinoponera quadriceps (Hymenoptera, Formicidae) in a Remnant of the Atlantic Forest in Northeast Brazil. Braz. J. Biol. 2004, 64, 357–362. [Google Scholar] [CrossRef] [PubMed]
- Corbara, B.; Fresneau, D.; Lachaud, J.-P.; Leclerc, Y.; Goodall, G. An Automated Photographic Technique for Behavioural Investigations of Social Insects. Behav. Process. 1986, 13, 237–249. [Google Scholar] [CrossRef] [PubMed]
- Azevedo, D.L.O.; Santos, P.F.; Pereira, A.G.C.; Corso, G.; Araújo, A. Effect of Chemical and Visual Cues in the Maze Performance of the Ant Dinoponera quadriceps. J. Insect Behav. 2022, 35, 103–113. [Google Scholar] [CrossRef]
- Josens, R.B.; Roces, F. Foraging in the Ant Camponotus mus: Nectar-Intake Rate and Crop Filling Depend on Colony Starvation. J. Insect Physiol. 2000, 46, 1103–1110. [Google Scholar] [CrossRef] [PubMed]
- Mailleux, A.-C.; Devigne, C.; Deneubourg, J.-L.; Detrain, C. Impact of Starvation on Lasius niger’ Exploration. Ethology 2010, 116, 248–256. [Google Scholar] [CrossRef]
- Dreier, S.; Van Zweden, J.S.; D’Ettorre, P. Long-Term Memory of Individual Identity in Ant Queens. Biol. Lett. 2007, 3, 459–462. [Google Scholar] [CrossRef][Green Version]
- Haehnel, M.; Menzel, R. Long-Term Memory and Response Generalization in Mushroom Body Extrinsic Neurons in the Honeybee Apis mellifera. J. Exp. Biol. 2012, 215, 559–565. [Google Scholar] [CrossRef] [PubMed]
- Menzel, R. The Honeybee as a Model for Understanding the Basis of Cognition. Nat. Rev. Neurosci. 2012, 13, 758–768. [Google Scholar] [CrossRef]
- Salo, O.; Rosengren, R. Memory of Location and Site Recognition in the Ant Formica uralensis (Hymenoptera: Formicidae). Ethology 2001, 107, 737–752. [Google Scholar] [CrossRef]
- R Core Team R: A Language and Environment for Statistical Computing; R Foundation for Statistical Computing: Vienna, Austria, 2024.
- Delignette-Muller, M.L.; Dutang, C. Fitdistrplus: An R Package for Fitting Distributions. J. Stat. Softw. 2015, 64, 1–34. [Google Scholar] [CrossRef]
- Brooks, M.E.; Kristensen, K.; van Benthem, K.J.; Magnusson, A.; Berg, C.W.; Nielsen, A.; Skaug, H.J.; Maechler, M.; Bolker, B.M. glmmTMB Balances Speed and Flexibility Among Packages for Zero-Inflated Generalized Linear Mixed Modeling. R J. 2017, 9, 378–400. [Google Scholar] [CrossRef]
- Hartig, F.; Lohse, L.; de leite, M.S. DHARMa: Residual Diagnostics for Hierarchical (Multi-Level/Mixed) Regression Models. Available online: https://cran.r-project.org/web/packages/DHARMa/ (accessed on 21 November 2024).
- Lenth, R.V.; Banfai, B.; Bolker, B.; Buerkner, P.; Giné-Vázquez, I.; Herve, M.; Jung, M.; Love, J.; Miguez, F.; Piaskowski, J.; et al. Emmeans: Estimated Marginal Means, Aka Least-Squares Means. Available online: https://cran.r-project.org/web/packages/emmeans/index.html (accessed on 21 November 2024).
- Richman, C.L.; Dember, W.N.; Kim, P. Spontaneous Alternation Behavior in Animals: A Review. Curr. Psychol. Res. Rev. 1986, 5, 358–391. [Google Scholar] [CrossRef]
- Bolker, B.M. Linear and Generalized Linear Mixed Models. In Ecological Statistics: Contemporary theory and Application; Fox, G.A., Negrete-Yankelevich, S., Sosa, V.J., Eds.; Oxford University Press: Oxford, UK, 2015; pp. 309–333. ISBN 978-0-19-967254. [Google Scholar]
- Voeten, C.C. Buildmer: Stepwise Elimination and Term Reordering for Mixed-Effects Regression Available online:. Available online: https://cran.r-project.org/web/packages/buildmer/index.html (accessed on 21 November 2024).
- Therneau, T.M. Coxme: Mixed Effects Cox Models Available online:. Available online: https://cran.r-project.org/web/packages/coxme/index.html (accessed on 21 November 2024).
- Chittka, L.; Rossiter, S.J.; Skorupski, P.; Fernando, C. What Is Comparable in Comparative Cognition? Philos. Trans. R. Soc. B Biol. Sci. 2012, 367, 2677–2685. [Google Scholar] [CrossRef]
- Nobua-Behrmann, B.E.; Lopez de Casenave, J.; Milesi, F.A.; Pavan, B. Forager Abundance and Its Relationship with Colony Activity Level in Three Species of South American Pogonomyrmex Harvester Ants. Insect. Soc. 2013, 60, 243–249. [Google Scholar] [CrossRef]
- Wray, M.K.; Mattila, H.R.; Seeley, T.D. Collective Personalities in Honeybee Colonies Are Linked to Colony Fitness. Anim. Behav. 2011, 81, 559–568. [Google Scholar] [CrossRef]
- Pinter-Wollman, N. Personality in Social Insects: How Does Worker Personality Determine Colony Personality? Curr. Zool. 2012, 58, 580–588. [Google Scholar] [CrossRef]
- Pasquier, G.; Grüter, C. Individual Learning Performance and Exploratory Activity Are Linked to Colony Foraging Success in a Mass-Recruiting Ant. Behav. Ecol. 2016, 27, 1702–1709. [Google Scholar] [CrossRef]
- Araújo, A.; Câmara, J.; Azevedo, D.; Medeiros, I.; Neto, W.; Garcia, D. Poneromorfas Sem Rainhas—Dinoponera: Aspectos Ecológico-Comportamentais. In As Formigas Poneromorfas do Brasil; Delabie, J.H.C., Feitosa, R.M., Serrão, J.E., Mariano, C.d.S.F., Majer, J.D., Eds.; Editus: Ilhéus, BA, Brazil, 2015; pp. 237–246. ISBN 978-85-7455-398-6. [Google Scholar]
- Medeiros, J.; Araújo, A. Workers’ Extra-Nest Behavioral Changes during Colony Fission in Dinoponera quadriceps (Santschi). Neotrop. Entomol. 2014, 43, 115–121. [Google Scholar] [CrossRef][Green Version]
- Cassill, D. Rules of Supply and Demand Regulate Recruitment to Food in an Ant Society. Behav. Ecol. Sociobiol. 2003, 54, 441–450. [Google Scholar] [CrossRef]
- Csata, E.; Gautrais, J.; Bach, A.; Blanchet, J.; Ferrante, J.; Fournier, F.; Lévesque, T.; Simpson, S.J.; Dussutour, A. Ant Foragers Compensate for the Nutritional Deficiencies in the Colony. Curr. Biol. 2020, 30, 135–142.e4. [Google Scholar] [CrossRef]
- Fourcassié, V.; Traniello, J.F. Food Searching Behaviour in the Ant Formica schaufussi (Hymenoptera, Formicidae): Response of Naive Foragers to Protein and Carbohydrate Food. Anim. Behav. 1994, 48, 69–79. [Google Scholar] [CrossRef][Green Version]
- Schmid-Hempel, P. Individually Different Foraging Methods in the Desert Ant Cataglyphis bicolor (Hymenoptera, Formicidae). Behav. Ecol. Sociobiol. 1984, 14, 263–271. [Google Scholar] [CrossRef]
- Portha, S.; Deneubourg, J.-L.; Detrain, C. How Food Type and Brood Influence Foraging Decisions of Lasius niger Scouts. Anim. Behav. 2004, 68, 115–122. [Google Scholar] [CrossRef]
- Stephens, D.W.; Krebs, J.R. Foraging Theory; Princeton University Press: Princeton, NJ, USA, 1986. [Google Scholar]
- Schultheiss, P.; Cheng, K. Finding Food: Outbound Searching Behavior in the Australian Desert Ant Melophorus bagoti. Behav. Ecol. 2013, 24, 128–135. [Google Scholar] [CrossRef]
- Breed, M.D.; Stierstorfer, C.; Furness, E.D.; Jeral, J.M.; Fewell, J.H. Individual Constancy of Local Search Strategies in the Giant Tropical Ant, Paraponera clavata (Hymenoptera: Formicidae). J. Insect Behav. 1996, 9, 673–682. [Google Scholar] [CrossRef]
- Persons, M.H.; Uetz, G.W. The Influence of Sensory Information on Patch Residence Time in Wolf Spiders (Araneae: Lycosidae). Anim. Behav. 1996, 51, 1285–1293. [Google Scholar] [CrossRef]
- Oberhauser, F.B.; Czaczkes, T.J. Tasting the Unexpected: Disconfirmation of Expectations Leads to Lower Perceived Food Value in an Invertebrate. Biol. Lett. 2018, 14, 20180440. [Google Scholar] [CrossRef]
- Oberhauser, F.B.; Schlemm, A.; Wendt, S.; Czaczkes, T.J. Private Information Conflict: Lasius Niger Ants Prefer Olfactory Cues to Route Memory. Anim. Cogn. 2019, 22, 355–364. [Google Scholar] [CrossRef] [PubMed]
- Louâpre, P.; van Baaren, J.; Pierre, J.S.; van Alphen, J.J.M. Information Gleaned and Former Patch Quality Determine Foraging Behavior of Parasitic Wasps. Behav. Ecol. 2011, 22, 1064–1069. [Google Scholar] [CrossRef][Green Version]
- Louâpre, P.; Pierre, J.-S. Parasitoids Update the Habitat Profitability by Adjusting the Kairomone Responsiveness to Their Oviposition Experience. Ecol. Entomol. 2014, 39, 343–346. [Google Scholar] [CrossRef]
- Sheng, S.; Feng, S.; Meng, L.; Li, B. Departure Mechanisms for Host Search on High-Density Patches by the Meteorus pulchricornis. J. Insect Sci. 2014, 14, 205. [Google Scholar] [CrossRef] [PubMed]
- Stroeymeyt, N.; Robinson, E.J.H.; Hogan, P.M.; Marshall, J.A.R.; Giurfa, M.; Franks, N.R. Experience-Dependent Flexibility in Collective Decision Making by House-Hunting Ants. Behav. Ecol. 2011, 22, 535–542. [Google Scholar] [CrossRef]
- Sasaki, T.; Pratt, S.C. Ants Learn to Rely on More Informative Attributes during Decision-Making. Biol. Lett. 2013, 9, 20130667. [Google Scholar] [CrossRef]
- Grüter, C.; Czaczkes, T.J.; Ratnieks, F.L.W. Decision Making in Ant Foragers (Lasius niger) Facing Conflicting Private and Social Information. Behav. Ecol. Sociobiol. 2011, 65, 141–148. [Google Scholar] [CrossRef]
- Franz, N.M.; Wcislo, W.T. Foraging Behavior in Two Species of Ectatomma (Formicidae: Ponerinae): Individual Learning of Orientation and Timing. J. Insect Behav. 2003, 16, 381–410. [Google Scholar] [CrossRef]
- Schwarz, S.; Cheng, K. Visual Discrimination, Sequential Learning and Memory Retrieval in the Australian Desert Ant Melophorus bagoti. Anim. Cogn. 2011, 14, 861–870. [Google Scholar] [CrossRef]




| Comparison | Estimated Contrast | T-Value | p-Value |
|---|---|---|---|
| C-E | −0.04131 | −1.899 | 0.3476 |
| C-G | 0.02379 | 1.467 | 0.8566 |
| C-H | 0.02542 | 1.684 | 0.5551 |
| E-G | 0.06510 | 3.174 | 0.0094 |
| E-H | 0.06673 | 3.398 | 0.0043 |
| G-H | 0.00164 | 0.124 | 1 |
Disclaimer/Publisher’s Note: The statements, opinions and data contained in all publications are solely those of the individual author(s) and contributor(s) and not of MDPI and/or the editor(s). MDPI and/or the editor(s) disclaim responsibility for any injury to people or property resulting from any ideas, methods, instructions or products referred to in the content. |
© 2024 by the authors. Licensee MDPI, Basel, Switzerland. This article is an open access article distributed under the terms and conditions of the Creative Commons Attribution (CC BY) license (https://creativecommons.org/licenses/by/4.0/).
Share and Cite
Eloi, I.; Silva-Neto, W.A.; Hattori, W.T.; Araújo, A. Adapting to Uncertainty: Foraging Strategies in Dinoponera quadriceps (Formicidae: Ponerinae). Insects 2024, 15, 948. https://doi.org/10.3390/insects15120948
Eloi I, Silva-Neto WA, Hattori WT, Araújo A. Adapting to Uncertainty: Foraging Strategies in Dinoponera quadriceps (Formicidae: Ponerinae). Insects. 2024; 15(12):948. https://doi.org/10.3390/insects15120948
Chicago/Turabian StyleEloi, Igor, Waldemar Alves Silva-Neto, Wallisen Tadashi Hattori, and Arrilton Araújo. 2024. "Adapting to Uncertainty: Foraging Strategies in Dinoponera quadriceps (Formicidae: Ponerinae)" Insects 15, no. 12: 948. https://doi.org/10.3390/insects15120948
APA StyleEloi, I., Silva-Neto, W. A., Hattori, W. T., & Araújo, A. (2024). Adapting to Uncertainty: Foraging Strategies in Dinoponera quadriceps (Formicidae: Ponerinae). Insects, 15(12), 948. https://doi.org/10.3390/insects15120948

