Description of Calling, Courtship and Mating Behaviour of Six Species of the Genus Zyginidia (Auchenorrhyncha: Cicadellidae)
Abstract
Simple Summary
Abstract
1. Introduction
2. Materials and Methods
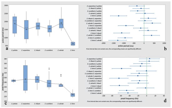
3. Results
4. Discussion
Author Contributions
Funding
Data Availability Statement
Acknowledgments
Conflicts of Interest
References
- Ichikawa, T.; Ishii, S. Mating signal of the brown planthopper, Nilaparvata lugens Stål (Homoptera: Delphacidae): Vibration of the substrate. Appl. Entomol. Zool. 1974, 9, 196–198. [Google Scholar] [CrossRef]
- Ichikawa, T. Mutual communication by substrate vibrations in the mating behavior of Planthoppers (Homoptera: Delphacidae). Appl. Entomol. Zool. 1976, 11, 8–21. [Google Scholar] [CrossRef]
- Traue, D. Zur Biophysik der Schallabstrahlung bei Kleinzikaden am Beispiel von Euscelis incisus Kb. (Homoptera-Cicadina: Jassidae). Zool. Beiträge (Neue Folge) 1978, 24, 155–164. [Google Scholar]
- Claridge, M.F. Acoustic signals and species problems in the Auchenorrhyncha. In Proceedings of the 1st International Workshop on Leafhoppers and Planthoppers of Economic Importance, London, UK, 4–7 October 1982; pp. 111–120. [Google Scholar]
- Claridge, M.F.; Den Hollander, J.; Morgan, J.C. Specificity of acoustic signals and mate choice in the brown planthopper Nilaparvata lugens. Entomol. Exp. Appl. 1984, 35, 221–226. [Google Scholar] [CrossRef]
- Ossiannilsson, F. Insect drummers. A study on the morphology and function of the sound-producing organ of Swedish Homoptera Auchenorrhyncha with notes on their sound-production. Opusc. Entomol. Suppl. 1949, 10, 1–145. [Google Scholar]
- Tishechkin, D.Y. An enigma of Handianus Ribaut, 1942 (Hemiptera: Cicadellidae; Deltocephalinae; Athysanini): Identical host preferences and male calling signals in two morphologically distinctive sympatric species. Zootaxa 2023, 5239, 585–592. [Google Scholar] [CrossRef]
- Strübing, H. Das LautverhaIten von Euscelis plebejus Fall, und Euscelis ohausi Wagn. (Homoptera-Cicadina). Zool. Beiträge (Neue Folge) 1965, 11, 289–341. [Google Scholar]
- Strübing, H. Ein Vergleich von Lautäusserungen verschiedener Euscelis-Arten (Homoptera-Cicadina). Dtsch. Entomol. Z. (Neue Folge) 1966, 13, 351–357. [Google Scholar] [CrossRef]
- Strübing, H. Euscelis remanei, eine neue Euscelis-Art aus Sudspanien im Vergleich zu anderen Euscelis-Arten (Homoptera-Cicadina). Zool. Beiträge (Neue Folge) 1980, 26, 383–404. [Google Scholar]
- Shaw, K.C.; Vargo, A.; Carlson, O.V. Sounds and associated behavior of some species of Empoasca (Homoptera: Cicadellidae). J. Kans. Entomol. Soc. 1974, 47, 284–307. [Google Scholar]
- Strübing, H.; Hasse, A. Ein Beitrag zur Neuen Systematik demonstriert am Beispiel zweier Javesella-Arten (Homoptera-Cicadina: DeIphacidae). Zool. Beiträge (Neue Folge) 1975, 21, 517–543. [Google Scholar]
- Shaw, K.C. Sounds and associated behavior of Agallia constricta and Agalliopsis novella (Homoptera: Auchenorrhyncha: Cicadellidae). J. Kans. Entomol. Soc. 1976, 49, 1–17. [Google Scholar]
- Drosopoulos, S. Acoustic communication and mating behaviour in the Muellerianella complex (Homoptera-Delphacidae). Behaviour 1985, 94, 183–201. [Google Scholar] [CrossRef]
- de Vrijer, P.W.F. Species distinctiveness and variability of acoustic calling signals in the planthopper genus Javesella (Homoptera: Delphacidae). Neth. J. Zool. 1986, 36, 162–175. [Google Scholar] [CrossRef]
- Strübing, H. Zur Artberechtigung von Euscelis alsius Ribaut gegeniiber Euscelis plebejus Fall. (Homoptera-Cicadina)—Ein Beitrag zur Neuen Systematik. Zool. Beiträge (Neue Folge) 1970, 16, 441–478. [Google Scholar]
- Strübing, H. Euscelis ormaderensis Remane, 1968. 1. SaisonformenbiIdung und akustische Signalgebung. Sitzungsberichte Ges. Naturforsch. Freunde Berl. (Neue Folge) 1976, 16, 151–160. [Google Scholar]
- Strübing, H. Euscelis lineolatus Brulle 1832 und Euscelis ononidis Remane, 1967. 1. Ein ökologischer, morphologischer und bioakustischer Vergleich. Zool. Beiträge (Neue Folge) 1978, 24, 123–154. [Google Scholar]
- Strübing, H. Die Bedeutung des Kommunikationssignals fur die Diagnose von Euscelis-Arten (Homoptera-Cicadina). Zool. Jahrb. Allg. Zool. Physiol. Tiere 1983, 87, 343–351. [Google Scholar]
- Claridge, M.F.; Reynolds, W.J. Male courtship songs and sibling species in the Oncopsis flavicollis species group (Hemiptera: Cicadellidae). J. Entomol. (Ser. B) 1973, 42, 29–39. [Google Scholar] [CrossRef]
- Purcell, A.M.; Loher, W. Acoustical and mating behavior of two taxa in the Macrosteles fascifrons species complex. Ann. Entomol. Soc. Am. 1976, 69, 513–518. [Google Scholar] [CrossRef]
- Aral, Y. Discovery of an unrecorded species of the genus Hishimonus (Hemiptera; Deltocephalidae) from Japan. Jpn. J. Applied Entomol. Zool. 1978, 22, 124–126. [Google Scholar]
- Booij, C.J.H. Biosystematics of the Muellerianella complex (Homoptera, Delphacidae), interspecific and geographic variation in acoustic behaviour. Z. Tierpsychol. 1982, 58, 31–52. [Google Scholar] [CrossRef]
- Claridge, M.F. Acoustic signals in the Homoptera: Behavior, taxonomy, and evolution. Annu. Rev. Entomol. 1985, 30, 297–317. [Google Scholar] [CrossRef]
- Claridge, M.F. Acoustic behavior of leafhoppers and planthoppers: Species problems and speciation. In The Leafhoppers and Planthoppers; Nault, L.R., Rodriguez, J.G., Eds.; Wiley: London, UK, 1985; pp. 103–125. [Google Scholar]
- Claridge, M.F.; Den Hollander, J.; Morgan, J.C. Variation in courtship signals and hybridization between geographically definable populations of the rice brown planthopper, Nilaparvata lugens (Stål). Biol. J. Linn. Soc. 1985, 24, 35–49. [Google Scholar] [CrossRef]
- Claridge, M.F.; Den Hollander, J.; Morgan, J.C. The status of weed-associated populations of the brown planthopper, Nilaparvata lugens (Stål)—Host race or biological species? Zool. J. Linn. Soc. 1985, 84, 77–90. [Google Scholar] [CrossRef]
- den Bieman, C.F.M. Acoustic differentiation and variation in planthoppers of the genus Ribautodelphax (Homoptera, Delphacidae). Neth. J. Zool. 1986, 36, 461–480. [Google Scholar] [CrossRef]
- Claridge, M.F.; Nixon, G.A. Oncopsis flavicollis (L.) associated with tree birches (Betula): A complex of biological species or a host plant utilization polymorphism? Biol. J. Linn. Soc. 1986, 27, 381–397. [Google Scholar] [CrossRef]
- Zhantiev, R.D.; Tishechkin, D.Y. Acoustic signaling in leafhoppers of the genus Macropsis Lew. (Homoptera, Cicadellidae) of the European USSR. Entomol. Obozr. 1989, 3, 469–477. [Google Scholar]
- Simões, P.C.; Boulard, M.; Rebelo, M.T.; Drosopoulos, S.; Claridge, M.F.; Morgan, J.C.; Quartau, J.A. Differences in the male calling songs of two sibling species of Cicada (Hemiptera: Cicadoidea) in Greece. Eur. J. Entomol. 2000, 97, 437–440. [Google Scholar] [CrossRef]
- Heady, S.E.; Nault, L.R.; Shambaugh, G.F.; Fairchild, L. Acoustic and mating behavior of Dalbulus leafhoppers (Homoptera: Cicadellidae). Ann. Entomol. Soc. Am. 1986, 79, 727–736. [Google Scholar] [CrossRef]
- Čokl, A.; Virant-Doberlet, M. Communication with substrate-borne signals in small plant—Dwelling insects. Annu. Rev. Entomol. 2003, 48, 29–50. [Google Scholar] [CrossRef] [PubMed]
- Derlink, M.; Abt, I.; Mabon, R.; Julian, C.; Virant-Doberlet, M.; Jacquot, E. Mating behavior of Psammotettix alienus (Hemiptera: Cicadellidae). Insect Sci. 2018, 25, 148–160. [Google Scholar] [CrossRef] [PubMed]
- Hoch, H.; Wessel, A. Communication by Substrate-Borne Vibrations in Cave Planthoppers. In Insect Sounds and Communication: Physiology, Behaviour, Ecology and Evolution; Drosopoulos, S., Claridge, M.F., Eds.; Taylor & Francis: Abingdon, UK, 2006; pp. 187–197. [Google Scholar]
- Hoch, H.; Howarth, F.G. Evolutionary dynamics of behavioral divergence among populations of the Hawaiian cave-dwelling planthopper Oliarus polyphemus (Homoptera: Fulgoroidea: Cixiidae). Pac. Sci. 1993, 47, 303–318. [Google Scholar]
- Avosani, S.; Daher, E.; Franceschi, P.; Ciolli, M.; Verrastro, V.; Mazzoni, V. Vibrational communication and mating behavior of the meadow spittlebug Philaenus spumarius. Entomol. Gen. 2020, 40, 307–321. [Google Scholar] [CrossRef]
- Eriksson, A.; Anfora, G.; Lucchi, A.; Virant-Doberlet, M.; Mazzoni, V. Inter-Plant Vibrational Communication in a Leafhopper Insect. PLoS ONE 2011, 6, e19692. [Google Scholar] [CrossRef]
- Nieri, R.; Mazzoni, V. The reproductive strategy and the vibrational duet of the leafhopper Empoasca vitis. Insect Sci. 2018, 25, 869–882. [Google Scholar] [CrossRef]
- Nuhardiyati, M.; Bailey, W. Calling and Duetting Behavior in the Leafhopper Balclutha incisa (Hemiptera: Cicadellidae: Deltocephalinae): Opportunity for Female Choice? J. Insect Behav. 2005, 18, 259–280. [Google Scholar] [CrossRef]
- Carlson, O.V. Mating and Oviposition of Empoasca fabae (Harris) (Cicadellidae: Homoptera). Ph.D. Thesis, Iowa State University, Ames, IA, USA, 1967; pp. 7–21. [Google Scholar]
- Vidano, C. Contributo alla conoscenza delle Zyginidia d’ltalia (Homoptera Auchenorrhyncha Typhlocybinae). Mem. Della Soc. Entomol. Ital. 1982, 60, 343–355. [Google Scholar]
- Bocca, M.; Vidano, C.; Arzone, A. Zyginidia in the Aosta Valley, Italy (Rhynchota Auchenorrhyncha). In Proceedings of the 6th Auchenorrhyncha Meeting, Turin, Italy, 7–11 September 1987; pp. 387–396. [Google Scholar]
- Vidano, C.; Arzone, A. Cicaline paleartiche cerealicole del genere Zyginidia. Indagini speciografiche, corologiche ed ecologiche. In Proceedings of the Atti XIV Congresso Nazionale Italiano di Entomologia, Palermo, Italy, 28 May–1 June 1985; pp. 305–312. [Google Scholar]
- Verzè, P.; Mazzoglio, P.J. Studio sulla zona di ibridazione tra Zyginidia scutellaris e Z. pullula in Valle d’Aosta. Rev. Valdôtaine D’histoire Nat. 1994, 48, 29–42. [Google Scholar]
- Mazzoglio, P.J.; Verzè, P. Estinzione di Zyginidia scutellaris (H.-S.) nell’Italia continentale (Insecta Rhynchota Auchenorrhyncha Cicadellidae). In Proceedings of the Actes du Deuxième Colloque Écologie et Biogéographie Alpines, Botanique et Zoologie, La Thuile, Italy, 6–11 September 1997; Revue Valdôtaine d’Histoire Naturelle 51, Supplemento. Volume 179. [Google Scholar]
- Vidano, C.; Mazzoglio, P.J.; Alma, A. Morphological variations in male genitalia of hybrids between Zyginidia pullula and Z. In scutellaris (Rhynchota Auchenorrhyncha). In Proceedings of the 6th Auchenorrhyncha Meeting, Turin, Italy, 7–11 September 1987; pp. 107–112. [Google Scholar]
- Mazzoglio, P.J.; Arzone, A. Reproductive and acoustic behaviour of Zyginidia pullula (Rhynchota Auchenorrhyncha). In Proceedings of the 6th Auchenorrhyncha Meeting, Turin, Italy, 7–11 September 1987; pp. 319–325. [Google Scholar]
- Kalkandelen, A. Four new species of genus Zyginidia (Zyginidia) Haupt (Homoptera, Cicadellidae) and with notes on the taxonomy and distribution of the species of this genus in Turkey. Turk. J. Entomol. 1985, 9, 13–25. [Google Scholar]
- Vidano, C.; Mazzoglio, P.J.; Arzone, A. Biosystematic investigations on the genus Zyginidia Haupt (Hom. Auch. Typhl.). In Proceedings of the Combined Meetings of the 7th International Auchenorrhyncha Congress and the 3rd International Workshop on Leafhoppers and Planthoppers of Economic Importance, Wooster, OH, USA, 13–17 August 1990. Abstracts Book. [Google Scholar]
- Mazzoglio, P.J. Indagini Biosistematiche Sul Genere Zyginidia Haupt (Homoptera Auchenorrhyncha Typhlocybinae). Master’s Thesis, University of Turin, Torino, Italy, 1989. [Google Scholar]
- Ribaut, H. Une espèce nouvelle du genre Erythroneura (Homoptera-Typhlocybidae). Mem. Della Soc. Entomol. Ital. 1947, 26, 16. [Google Scholar]
- Dworakowska, I. On the Genera Zyginidia Hpt. and Lublinia gen.n. (Auchenorrhyncha, Cicadellidae, Typhlocybinae). Acad. Polon. Sci. Bull. Ser. Sci. Biol. 1970, 18, 621–632. [Google Scholar]
- Zachvatkin, A.A. Cicadina from Trans-Volga sand areas, Astrakhan. In Sbornik Nauchnykh Trudov. (Collection of Scientific Works); Moscow State University: Moscow, Russia, 1953; pp. 225–236. [Google Scholar]
- Strübing, H.; Rollenhagen, T. A new recording system for vibratory signals and its application to different species of the family Delphacidae (Homoptera-Cicadina). Zool. Jahrb. Allg. Zool. Physiol. Tiere 1988, 92, 245–268. [Google Scholar]
- Rakitov, R.A. Post-moulting behaviour associated with Malpighian tubule secretions in leafhoppers and treehoppers (Auchenorrhyncha: Membracoidea). Eur. J. Entomol. 1996, 93, 167–184. [Google Scholar]
- Tishechkin, D.Y. Vibrational Communication in Insects. Entomol. Rev. 2022, 102, 737–768. [Google Scholar] [CrossRef]
- Saxena, K.N.; Kumar, H. Acoustic communication in the sexual behaviour of the leafhopper, Amrasca devastans. Physiol. Entomol. 1984, 9, 77–86. [Google Scholar] [CrossRef]
- Claridge, M.F.; Howse, P.E. Songs of some British Oncopsis species (Hemiptera: Cicadellidae). Proc. Roya1 Entomol. Soc. Lond. (Ser. A) 1968, 43, 57–61. [Google Scholar] [CrossRef]
- Mazzoni, V.; Lucchi, A.; Ioriatti, C.; Virant-Doberlet, M.; Anfora, G. Mating behaviour of Hyalesthes obsoletus (Hemiptera: Cixiidae). Ann. Entomol. Soc. Am. 2010, 103, 813–822. [Google Scholar] [CrossRef]
- Polajnar, J.; Eriksson, A.; Rossi Stacconi, M.V.; Lucchi, A.; Anfora, G.; Virant-Doberlet, M.; Mazzoni, V. The process of pair formation mediated by substrate-borne vibrations in a small insect. Behav. Process. 2014, 107, 68–78. [Google Scholar] [CrossRef]
- Mazzoni, V.; Lucchi, A.; Čokl, A.; Prešem, J.; Virant-Doberlet, M. Disruption of the reproductive behaviour of Scaphoideus titanus by playback of vibrational signals. Entomol. Exp. Appl. 2009, 133, 174–185. [Google Scholar] [CrossRef]
- Virant-Doberlet, M.; Mazzoni, V.; De Groot, M.; Polajnar, J.; Lucchi, A.; Symondson, W.O.C.; Čokl, A. Vibrational communication networks: Eavesdropping and biotic noise. In Studying Vibrational Communication; Cocroft, R., Gogala, M., Hill, P.S.M., Wessel, A., Eds.; Springer: Berlin/Heidelberg, Germany, 2014; pp. 93–123. [Google Scholar]
- Strübing, H. Zur Untersuchungsmethodik der Lautäusserungen von Kleinzikaden (Homoptera-Cicadina). Zool. Beiträge (Neue Folge) 1967, 13, 265–284. [Google Scholar]
- Mebes, H.-D. The biophysics of sound production of leafhoppers. Forma Funct. 1974, 7, 95–118. [Google Scholar]
- Aral, Y. Mating behaviour of the rhombic-marked leafhopper, Hishimonus sellatus Uhler. 1. Mutual communication by abdominal vibration. Kontyū 1977, 45, 137–142. [Google Scholar]
- Inoue, H. Species-specific calling sounds as a reproductive isolating mechanism in Nephotettix spp. (Hemiptera: Cicadellidae). Appl. Entomol. Zool. 1982, 17, 253–262. [Google Scholar] [CrossRef]
- Inoue, H. Reproductive isolation mechanisms and hybridization of Nephotettix spp. In Proceedings of the 1st International Workshop on Leafhoppers and Planthoppers of Economic Importance, London, UK, 4–7 October 1982; pp. 339–349. [Google Scholar]
- Mazzoglio, P.J.; Arzone, A. Hybrid zones between Zyginidia pullula (Boh.) and Z. ribauti Dwor. in the Ligurian Alps and Apennines (Rhynchota auchenorrhyncha). A first survey. In Proceedings of the 8th Auchenorrhyncha Congress, Delphi, Greece, 9–13 August 1993; pp. 100–102. [Google Scholar]
- Linnavuori, R. Hemiptera of Israel. III. Ann. Zool. Soc. Vanamo 1962, 24, 1–108. [Google Scholar]
- Ribaut, H. Homoptères Auchénorhynques. II (Jassidae). Faune Fr. 1952, 57, 1–451. [Google Scholar]
- Vilbaste, J. A revision of Homoptera-Cicadinea described by S. Matsumura from Europe and the Mediterranean area. Eest. NSV Tead. Akad. Toim. 1976, 25, 25–36. [Google Scholar] [CrossRef]
- Vidano, C. Contributo alla conoscenza dei Typhlocybidae di Sardegna. Arch. Bot. Biogeogr. Ital. 1964, 9, 308–318. [Google Scholar]
- Dlabola, J. Beschreibungen von neuen südpaläarktischen Zikadenarten (Homoptera Auchenorrhyncha). Acta Entomol. Musei Natl. Pragae 1967, 37, 31–50. [Google Scholar]
- Matsumura, S. Neue Cicadinen aus Europa und Mittelmeergebiet. J. Coll. Sci. Imp. Univ. Tokyo 1908, 23, 1–46. [Google Scholar]







| Species | Mean (ms) | Min (ms) | Max (ms) | StDev | 95% CI | n | Grouping * |
|---|---|---|---|---|---|---|---|
| Z. pullula | 1873 | 1054.7 | 2484.4 | 502 | (1674, 2072) | 16 | A |
| Z. serpentina | 1515 | 647 | 2645 | 625 | (1341, 1688) | 21 | A |
| Z. ribauti | 1720.1 | 1124.9 | 2203.1 | 281.6 | (1527.0, 1913.1) | 17 | A |
| Z. scutellaris | 1553.6 | 1066.4 | 2109.4 | 273.7 | (1403.1, 1704.0) | 28 | A |
| Z. sohrab | 1916 | 1429.7 | 2906.4. | 408 | (1686, 2146) | 12 | A |
| Z. biroi | 614.7 | 465.8 | 797 | 111.3 | (421.6, 807.8) | 17 | B |
| Species | Mean (Hz) | Min (Hz) | Max (Hz) | StDev | 95% CI | n | Grouping * |
|---|---|---|---|---|---|---|---|
| Z. pullula | 286.58 | 277.5 | 295 | 4.50 | (275.14, 298.02) | 19 | A |
| Z. serpentina | 292.8 | 234 | 375 | 52.5 | (281.6, 303.9) | 20 | A |
| Z. ribauti | 291.84 | 247.5 | 315 | 18.38 | (280.96, 302.72) | 21 | A |
| Z. scutellaris | 275.00 | 250 | 340 | 23.73 | (268.62, 281.38) | 61 | A |
| Z. sohrab | 271.83 | 260 | 312.5 | 18.14 | (259.74, 283.92) | 17 | A |
| Z. biroi | 228.08 | 220 | 250 | 8.95 | (218.30, 237.86) | 26 | B |
| Species | Mean (ms) | Min (ms) | Max (ms) | StDev | 95% CI | n | Grouping * |
|---|---|---|---|---|---|---|---|
| Z. pullula | 1075 | 328.1 | 1406.3 | 383 | (645, 1505) | 7 | A |
| Z. serpentina | 1178.8 | 703 | 2109.3 | 369.6 | (951.2, 1406.4) | 25 | A |
| Z. ribauti | 1341 | 609.4 | 1921.9 | 400 | (998, 1685) | 11 | A |
| Z. scutellaris | 1218 | 843.7 | 3159.4 | 620 | (1007, 1429) | 29 | A |
| Z. sohrab | 1401 | 549.6 | 3336.8 | 778 | (1164, 1638) | 23 | A |
| Z. biroi | 1300 | 562.5 | 3234.4 | 566 | (1057, 1542) | 22 | A |
| Species | Mean (Hz) | Min (Hz) | Max (Hz) | StDev | 95% CI | n | Grouping * |
|---|---|---|---|---|---|---|---|
| Z. pullula | 253.6 | 190 | 327.5 | 62.4 | (228.8, 278.4) | 10 | A B C |
| Z. serpentina | 261.48 | 206.2 | 273.7 | 14.33 | (243.46, 279.50) | 19 | A |
| Z. ribauti | 267.3 | 235 | 322.5 | 43.6 | (239.6, 295.1) | 8 | A B |
| Z. scutellaris | 226.07 | 172.5 | 287.5 | 36.74 | (205.20, 233.41) | 31 | C D |
| Z. sohrab | 231.61 | 158.7 | 312.5 | 61.39 | (178.13, 207.82) | 28 | D |
| Z. biroi | 231.17 | 187.5 | 340 | 34.91 | (209.81. 238.49) | 30 | B C |
| Species | Mean (ms) | Min (ms) | Max (ms) | StDev | 95% CI | n | Grouping * |
|---|---|---|---|---|---|---|---|
| Z. pullula | 210.1 | 140.6 | 281.1 | 60.1 | (75.6, 344.6) | 4 | B C |
| Z. serpentina | 462.9 | 187.5 | 375 | 149.2 | (367.8, 558) | 8 | A |
| Z. ribauti | 367.2 | 93.7 | 515.6 | 109.2 | (289.5, 444.9) | 12 | A B |
| Z. scutellaris | 409.7 | 149.8 | 683.6 | 199.8 | (308.1, 511.4) | 7 | A B |
| Z. sohrab | 205.9 | 93.7 | 562.5 | 131 | (134, 277.8) | 14 | C |
| Z. biroi | 480.5 | 375 | 585.9 | 92.2 | (370.6. 590.3) | 6 | A |
| Species | Mean (Hz) | Min (Hz) | Max (Hz) | StDev | 95% CI | n | Grouping * |
|---|---|---|---|---|---|---|---|
| Z. pullula | 182.5 | 167 | 187.5 | 10.00 | (156.86, 208.14) | 10 | C |
| Z. serpentina | 215 | 157.5 | 278.5 | 61.2 | (196.8, 233.1) | 19 | B C |
| Z. ribauti | 262.81 | 252.5 | 278.75 | 11.87 | (248.01, 277.61) | 8 | A |
| Z. scutellaris | 232.5 | 185 | 250 | 22.83 | (214.37, 250.63) | 31 | A B |
| Z. sohrab | 197.857 | 192.5 | 202.5 | 3.231 | (184.154, 211.560) | 28 | C |
| Z. biroi | 209.32 | 202.5 | 210 | 11.84 | (193.86. 224.78) | 30 | B C |
| Species | Mean (ms) | Min (ms) | Max (ms) | StDev | 95% CI | n | Grouping * |
|---|---|---|---|---|---|---|---|
| Z. pullula | 1271.0 | 515.6 | 2765.7 | 505.6 | (1005.1, 1536.9) | 26 | A |
| Z. serpentina | 1950 | 750 | 4265.6 | 1326 | (1470, 2429) | 8 | A |
| Z. ribauti | 1255 | 281.2 | 3562.5 | 828 | (879, 1631) | 13 | A |
| Z. scutellaris | 1926 | 867.2 | 2671.8 | 586 | (1517, 2335) | 11 | A |
| Z. sohrab | 1325.9 | 539 | 1953.2 | 379.8 | (1006.4, 1645.5) | 18 | A |
| Z. biroi | 1269 | 515.7 | 2248.1 | 656 | (869, 1669) | 11 | A |
| Species | Mean (Hz) | Min (Hz) | Max (Hz) | StDev | 95% CI | n | Grouping * |
|---|---|---|---|---|---|---|---|
| Z. pullula | 309.3 | 201.2 | 373.2 | 64.9 | (287.4, 331.3) | 30 | A |
| Z. serpentina | 318.7 | 248.7 | 413.7 | 62.3 | (276.2, 361.2) | 8 | A |
| Z. ribauti | 241.4 | 215 | 305 | 43.5 | (196.0, 286.9) | 7 | A |
| Z. scutellaris | 273.5 | 188.7 | 347.5 | 46.8 | (241.3, 305.6) | 14 | A |
| Z. sohrab | 273.0 | 195 | 395 | 64.8 | (247.3, 298.6) | 22 | A |
| Z. biroi | 274.8 | 207.5 | 336.2 | 56.1 | (241.8, 307.8) | 13 | A |
| Species | Mean (ms) | Min (ms) | Max (ms) | StDev | 95% CI | n | Grouping * |
|---|---|---|---|---|---|---|---|
| Z. pullula | 78.5 | 43 | 136 | 34.1 | (53.7, 103.3) | 6 | A |
| Z. serpentina | 68.50 | 59 | 74 | 6.56 | (38.16, 98.84) | 4 | A |
| Z. ribauti | 82.0 | 44 | 141 | 45.0 | (51.7, 112.3) | 4 | A |
| Z. scutellaris | 117.8 | 69 | 145 | 33.5 | (87.4, 148.1) | 4 | A |
| Z. sohrab | 63.50 | 50 | 80 | 10.93 | (38.73, 88.27) | 6 | A |
| Species | Mean (Hz) | Min (Hz) | Max (Hz) | StDev | 95% CI | n | Grouping * |
|---|---|---|---|---|---|---|---|
| Z. pullula | 290.4 | 217.5 | 370 | 78.3 | (233.6, 347.2) | 6 | A |
| Z. serpentina | 300.0 | 250 | 350 | 57.7 | (230.4, 369.6) | 4 | A |
| Z. ribauti | 278.1 | 200 | 400 | 85.6 | (208.6, 347.7) | 4 | A |
| Z. scutellaris | 274.5 | 210 | 370 | 60.8 | (212.3, 336.7) | 5 | A |
| Z. sohrab | 250.8 | 220 | 317.5 | 47.9 | (194.0, 307.6) | 6 | A |
| Species | Mean (min) | Min (min) | Max (min) | StDev | 95% CI | n | Grouping * |
|---|---|---|---|---|---|---|---|
| Z. pullula | 92.00 | 30 | 170 | 34.88 | (78.99, 105.01) | 20 | A |
| Z. serpentina | 70.71 | 55 | 90 | 12.72 | (48.73, 92.70) | 7 | A |
| Z. ribauti | 61.25 | 50 | 90 | 19.31 | (32.16, 90.34) | 4 | A |
| Z. scutellaris | 83.44 | 50 | 160 | 29.82 | (68.89, 97.98) | 16 | A |
| Z. sohrab | 62.50 | 60 | 65 | 3.54 | (21.37, 103.63) | 2 | A |
| Z. biroi | 64.00 | 40 | 95 | 20.12 | (37.98, 90.02) | 5 | A |
Disclaimer/Publisher’s Note: The statements, opinions and data contained in all publications are solely those of the individual author(s) and contributor(s) and not of MDPI and/or the editor(s). MDPI and/or the editor(s) disclaim responsibility for any injury to people or property resulting from any ideas, methods, instructions or products referred to in the content. |
© 2023 by the authors. Licensee MDPI, Basel, Switzerland. This article is an open access article distributed under the terms and conditions of the Creative Commons Attribution (CC BY) license (https://creativecommons.org/licenses/by/4.0/).
Share and Cite
Mazzoglio, P.J.; Mozaffarian, F.; Alma, A. Description of Calling, Courtship and Mating Behaviour of Six Species of the Genus Zyginidia (Auchenorrhyncha: Cicadellidae). Insects 2023, 14, 606. https://doi.org/10.3390/insects14070606
Mazzoglio PJ, Mozaffarian F, Alma A. Description of Calling, Courtship and Mating Behaviour of Six Species of the Genus Zyginidia (Auchenorrhyncha: Cicadellidae). Insects. 2023; 14(7):606. https://doi.org/10.3390/insects14070606
Chicago/Turabian StyleMazzoglio, Peter John, Fariba Mozaffarian, and Alberto Alma. 2023. "Description of Calling, Courtship and Mating Behaviour of Six Species of the Genus Zyginidia (Auchenorrhyncha: Cicadellidae)" Insects 14, no. 7: 606. https://doi.org/10.3390/insects14070606
APA StyleMazzoglio, P. J., Mozaffarian, F., & Alma, A. (2023). Description of Calling, Courtship and Mating Behaviour of Six Species of the Genus Zyginidia (Auchenorrhyncha: Cicadellidae). Insects, 14(7), 606. https://doi.org/10.3390/insects14070606
