Comparative Proteomic Analysis Provides New Insights into the Molecular Basis of Thermal-Induced Parthenogenesis in Silkworm (Bombyx mori)
Abstract
Simple Summary
Abstract
1. Introduction
2. Materials and Methods
2.1. Experimental Silkworm Eggs
2.2. Egg Protein Extraction, Digestion and iTRAQ Labeling
2.3. Liquid Chromatography and Tandem Mass Spectrometry (LC-MS/MS)
2.4. Protein Identification and Quantification
2.5. Bioinformatics Analysis
2.6. Parallel Reaction Monitoring (PRM) for Target Conformation
3. Results
3.1. Incidence of Parthenogenesis
3.2. Protein Profile and DAPs from Quantitative Proteomics Analysis
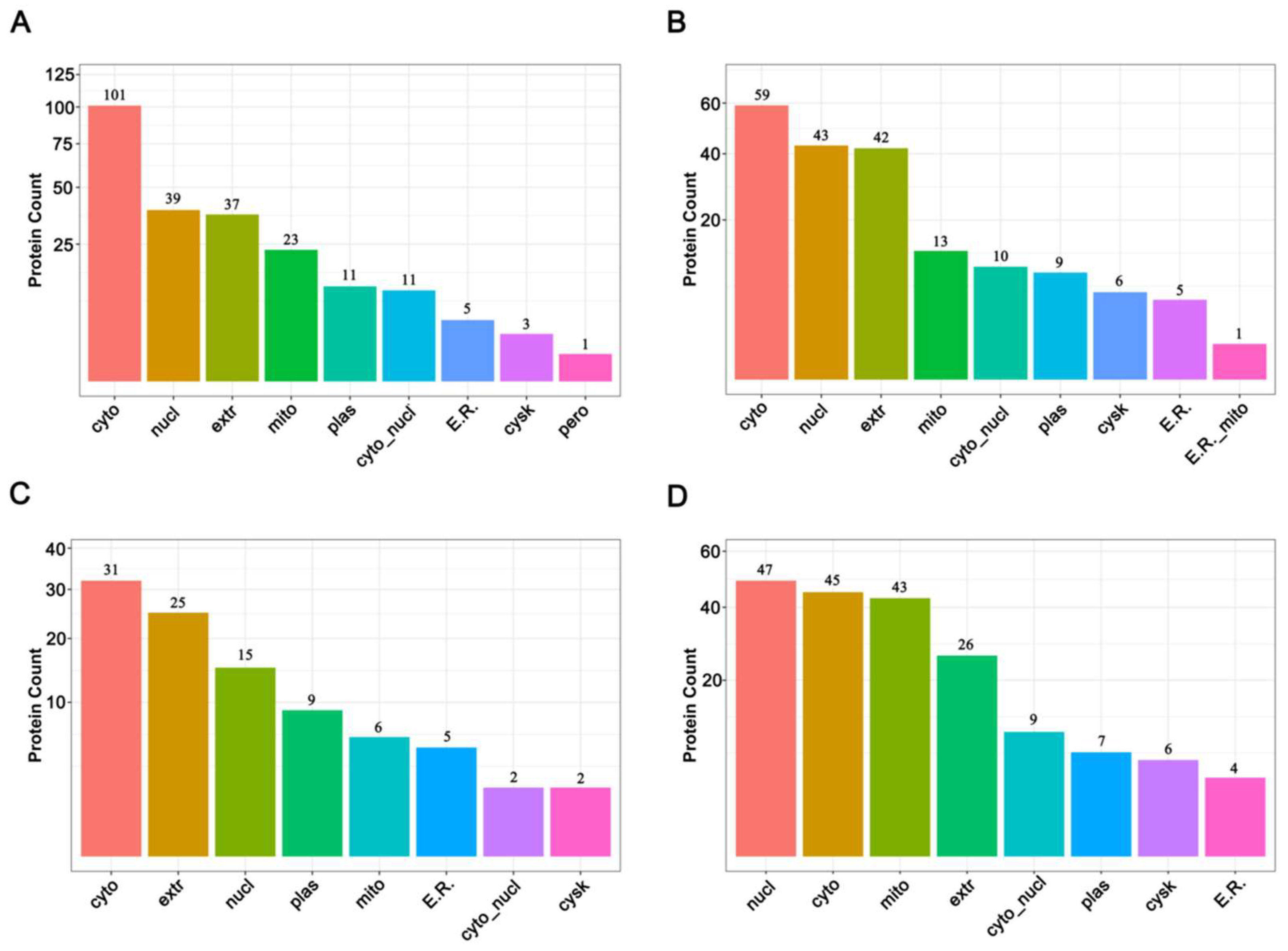
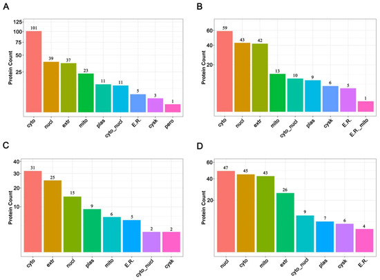
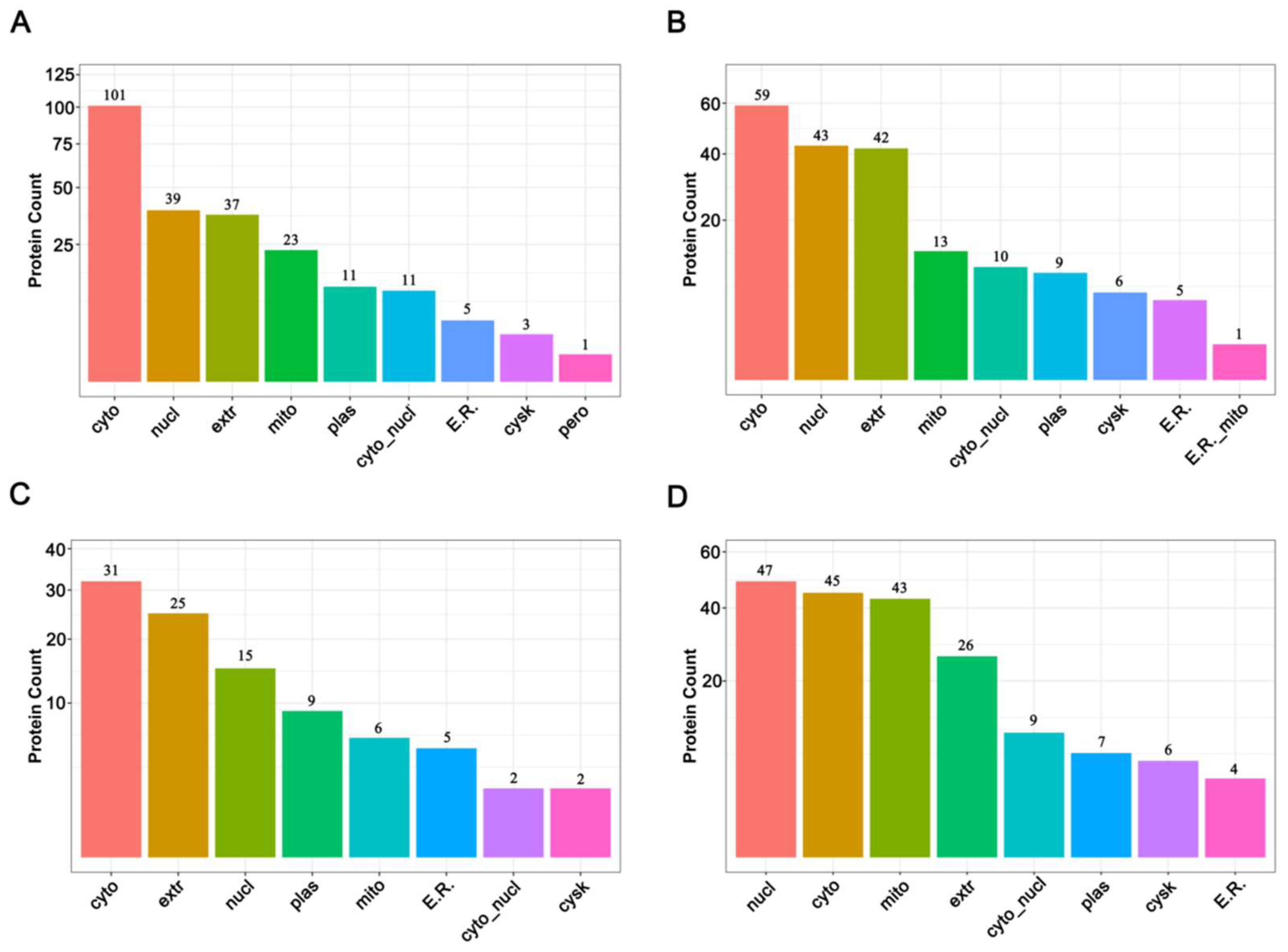
3.3. Subcellular Localization of DAPs
3.4. Expression Pattern of DAPs Associated with Heat Shock, Cell Cycel and Cytoskeleton
3.5. Functional Enrichment Analysis of DAPs
3.5.1. GO Enrichment Analysis of DAPs
3.5.2. KEGG Enrichment Analysis of DAPs
3.6. Validation of Protein Abundance Changes by PRM
4. Discussion
5. Conclusions
Supplementary Materials
Author Contributions
Funding
Data Availability Statement
Acknowledgments
Conflicts of Interest
References
- Rabeling, C.; Kronauer, D.J. Thelytokous Parthenogenesis in Eusocial Hymenoptera. Annu. Rev. Èntomol. 2013, 58, 273–292. [Google Scholar] [CrossRef] [PubMed]
- Chang, C.-C.; Ting, C.-T.; Chang, C.-H.; Fang, S.; Chang, H.-Y. The Persistence of Facultative Parthenogenesis in Drosophila albomicans. PLoS ONE 2014, 9, e113275. [Google Scholar] [CrossRef] [PubMed]
- Jaron, K.S.; Parker, D.J.; Anselmetti, Y.; Van Tran, P.; Bast, J.; Dumas, Z.; Figuet, E.; François, C.M.; Hayward, K.; Rossier, V.; et al. convergent consequences of parthenogenesis on stick insect genomes. Sci. Adv. 2022, 8, eabg3842. [Google Scholar] [CrossRef]
- Kearney, M.R.; Jasper, M.E.; White, V.L.; Aitkenhead, I.J.; Blacket, M.J.; Kong, J.D.; Chown, S.L.; Hoffmann, A.A. Parthenogenesis without costs in a grasshopper with hybrid origins. Science 2022, 376, 1110–1114. [Google Scholar] [CrossRef] [PubMed]
- Liegeois, M.; Sartori, M.; Schwander, T. Extremely Widespread Parthenogenesis and a Trade-Off Between Alternative Forms of Reproduction in Mayflies (Ephemeroptera). J. Hered. 2020, 112, 45–57. [Google Scholar] [CrossRef] [PubMed]
- Kirkendall, L.R.; Normark, B. Parthenogenesis in Encyclopaedia of Insects; Resh Vincent, H., Carde, R.T., Eds.; Academic Press: London, UK, 2003; pp. 851–856. [Google Scholar]
- Normark, B.B.; Kirkendall, R.L. Parthenogenesis in Insects and Mites. In Encyclopedia of Insects; Resh, V.H., Cardé, R.T., Eds.; Academic Press: London, UK, 2009; pp. 688–756. [Google Scholar]
- Dedryver, C.A.; Le Gallic, J.F.; Mahéo, F.; Simon, J.C.; Dedryver, F. The genetics of obligate parthenogenesis in an aphid species and its consequences for the maintenance of alternative reproductive modes. Heredity 2012, 110, 39–45. [Google Scholar] [CrossRef] [PubMed]
- Dedryver, C.A.; Bonhomme, J.; Le Gallic, J.F.; Simon, J.-C. Differences in egg hatching time between cyclical and obligate parthenogenetic lineages of aphids. Insect Sci. 2017, 26, 135–141. [Google Scholar] [CrossRef]
- Ye, Z.; Jiang, X.; Pfrender, M.E.; Lynch, M. Genome-Wide Allele-Specific Expression in Obligately Asexual Daphnia pulex and the Implications for the Genetic Basis of Asexuality. Genome Biol. Evol. 2021, 13, evab243. [Google Scholar] [CrossRef]
- Huigens, M.E.; Luck, R.F.; Klaassen, R.H.G.; Maas, M.F.P.M.; Timmermans, M.J.T.N.; Stouthamer, R. Infectious parthenogenesis. Nature 2000, 405, 178–179. [Google Scholar] [CrossRef]
- Vermel, E.M.; Solovova, K.P. Artificial parthenogenesis in flowering plants and some aspects of breeding. Sov. J. Dev. Biol. 1974, 4, 224–230. [Google Scholar]
- Strunnikov, V.A. Research on the artificial regulation of sex in animals in the USSR. Ontogenez 1978, 9, 3–19. [Google Scholar] [PubMed]
- Nam, Y.K.; Cho, Y.S.; Kim, D.S. Isogenic transgenic homozygous fish induced by artificial parthenogenesis. Transgenic Res. 2000, 9, 463–469. [Google Scholar] [CrossRef] [PubMed]
- Crasta, D.N.; Adiga, S.K.; Kannan, N.; Kalthur, G. Artificial Activation of Murine Oocytes Using Strontium to Derive Haploid and Diploid Parthenotes. Methods Mol. Biol. 2022, 2429, 15–26. [Google Scholar] [CrossRef] [PubMed]
- Zabelina, V.; Klymenko, V.; Tamura, T.; Doroshenko, K.; Liang, H.; Sezutsu, H.; Sehnal, F. Genome engineering and parthenocloning in the silkworm, Bombyx mori. J. Biosci. 2015, 40, 645–655. [Google Scholar] [CrossRef]
- Zabelina, V.; Yonemura, N.; Uchino, K.; Iizuka, T.; Mochida, Y.; Takemura, Y.; Klymenko, V.; Sezutsu, H.; Sehnal, F.; Tamura, T. Production of cloned transgenic silkworms by breeding non-diapausing parthenogenetic strains. J. Insect Physiol. 2021, 132, 104265. [Google Scholar] [CrossRef]
- Goldsmith, M.R.; Shimada, T.; Abe, H. The genetics and genomics of the silkworm, bombyx mori. Annu. Rev. Èntomol. 2005, 50, 71–100. [Google Scholar] [CrossRef]
- Biology Analysis Group; Xia, Q.Y.; Zhou, Z.Y.; Lu, C.; Cheng, D.; Dai, F.-Y.; Liu, B.; Zhao, P.; Zha, X.; Cheng, T.; et al. A Draft Sequence for the Genome of the Domesticated Silkworm (Bombyx mori). Science 2004, 306, 1937–1940. [Google Scholar] [CrossRef]
- Yang, C.-C.; Yokoi, K.; Yamamoto, K.; Jouraku, A. An update of KAIKObase, the silkworm genome database. Database 2021, 2021, baaa099. [Google Scholar] [CrossRef]
- Tong, X.; Han, M.-J.; Lu, K.; Tai, S.; Liang, S.; Liu, Y.; Hu, H.; Shen, J.; Long, A.; Zhan, C.; et al. High-resolution silkworm pan-genome provides genetic insights into artificial selection and ecological adaptation. Nat. Commun. 2022, 13, 5619. [Google Scholar] [CrossRef]
- Strunnikov, V.A. Control Over Reproduction, Sex and Heterosis of the Silkworm; Harwood Academic Publishers: Moscow, Russia, 1995; pp. 165–185. [Google Scholar]
- Strunnikov, V. Sex control in silkworms. Nature 1975, 255, 111–113. [Google Scholar] [CrossRef]
- Liu, P.; Wang, Y.; Du, X.; Yao, L.; Li, F.; Meng, Z. Transcriptome analysis of heat parthenogenesis of the domesticated silkworm. PLoS ONE 2015, 10, e0135215. [Google Scholar]
- Le Trionnaire, G.; Francis, F.; Jaubert-Possamai, S.; Bonhomme, J.; De Pauw, E.; Gauthier, J.P.; Haubruge, E.; Legeai, F.; Prunier-Leterme, N.; Simon, J.C.; et al. Transcriptomic and proteomic analyses of seasonal photoperiodism in the pea aphid. BMC Genom. 2009, 10, 456. [Google Scholar] [CrossRef] [PubMed]
- Hanson, S.J.; Stelzer, C.P.; Welch, D.B.; Logsdon, J.M., Jr. Comparative transcriptome analysis of obligately asexual and cyclically sexual rotifers reveals genes with putative functions in sexual reproduction, dormancy, and asexual egg production. BMC Genom. 2013, 14, 412–428. [Google Scholar] [CrossRef] [PubMed]
- Bast, J.; Schaefer, I.; Schwander, T.; Maraun, M.; Scheu, S.; Kraaijeveld, K. No Accumulation of Transposable Elements in Asexual Arthropods. Mol. Biol. Evol. 2015, 33, 697–706. [Google Scholar] [CrossRef] [PubMed]
- Bonandin, L.; Scavariello, C.; Mingazzini, V.; Luchetti, A.; Mantovani, B. Obligatory parthenogenesis and TE load: Bacillus stick insects and the R2 non-LTR retrotransposon. Insect Sci. 2017, 24, 409–417. [Google Scholar] [CrossRef]
- Avilés-Pagán, E.E.; Kang, A.S.W.; Orr-Weaver, T.L. Identification of New Regulators of the Oocyte-to-Embryo Transition in Drosophila. G3 Genes|Genomes|Genet. 2020, 10, 2989–2998. [Google Scholar] [CrossRef]
- Liu, P.; Wang, Y.; Du, X.; Shi, F.; Meng, Z. A comparative proteomic analysis of parthenogenetic lines and amphigenetic lines of silkworm. Biotechnol. Bioprocess Eng. 2014, 19, 641–649. [Google Scholar] [CrossRef]
- Yang, Y.; Qiang, X.; Owsiany, K.; Zhang, S.; Thannhauser, T.W.; Li, L. Evaluation of different multidimensional LC-MS/MS pipelines for isobaric tags for relative and absolute quantitation (iTRAQ)-based proteomic analysis of potato tubers in response to cold storage. J. Proteome Res. 2011, 10, 4647–4660. [Google Scholar] [CrossRef]
- Wen, B.; Zhou, R.; Feng, Q.; Wang, Q.; Wang, J.; Liu, S. IQuant: An automated pipeline for quantitative proteomics based upon isobaric tags. Proteomics 2014, 14, 2280–2285. [Google Scholar] [CrossRef]
- Savitski, M.M.; Wilhelm, M.; Hahne, H.; Kuster, B.; Bantscheff, M. A Scalable Approach for Protein False Discovery Rate Estimation in Large Proteomic Data Sets. Mol. Cell. Proteom. 2015, 14, 2394–2404. [Google Scholar] [CrossRef]
- Horton, P.; Park, K.J.; Obayashi, T.; Fujita, N.; Harada, H.; Adams-Collier, C.J.; Nakai, K. WoLF PSORT: Protein localization predictor. Nucleic Acids Res. 2007, 35, W585–W587. [Google Scholar] [CrossRef]
- Strunnikova, L.V. Biological method of determining the capacity of mulberry silkworm eggs which remain unpigmented for development. Ontogenez 1979, 10, 516–519. [Google Scholar]
- Lundberg, E.; Borner, G.H.H. Spatial proteomics: A powerful discovery tool for cell biology. Nat. Rev. Mol. Cell Biol. 2019, 20, 285–302. [Google Scholar] [CrossRef] [PubMed]
- Shannon, P.; Markiel, A.; Ozier, O.; Baliga, N.S.; Wang, J.T.; Ramage, D.; Amin, N.; Schwikowski, B.; Ideker, T. Cytoscape: A software environment for integrated models of Biomolecular Interaction Networks. Genome Res. 2003, 13, 2498–2504. [Google Scholar] [CrossRef] [PubMed]
- Tvedte, E.S.; Logsdon, J.M., Jr.; Forbes, A.A. Sex loss in insects: Causes of asexuality and consequences for genomes. Curr. Opin. Insect Sci. 2019, 31, 77–83. [Google Scholar] [CrossRef] [PubMed]
- Trionnaire, G.; Hardie, J.; Jaubert-Possamai, S.; Simon, J.C.; Tagu, D. Shifting from clonal to sexual reproduction in aphids: Physiological and developmental aspects. Biol. Cell 2008, 100, 441–451. [Google Scholar] [CrossRef]
- Xu, S.; Huynh, T.V.; Snyman, M. The transcriptomic signature of obligate parthenogenesis. Heredity 2022, 128, 132–138. [Google Scholar] [CrossRef]
- Schurko, A.M.; Logsdon, J.M., Jr.; Eads, B.D. Meiosis genes in Daphnia pulex and the role of parthenogenesis in genome evolution. BMC Evol. Biol. 2009, 9, 78. [Google Scholar] [CrossRef]
- Mabonga, L.; Kappo, A.P. The oncogenic potential of small nuclear ribonucleoprotein polypeptide G: A comprehensive and perspective view. Am. J. Transl. Res. 2019, 11, 6702–6716. [Google Scholar]
- Azzouz, T.N.; Schümperli, D. Evolutionary conservation of the U7 small nuclear ribonucleoprotein in Drosophila melanogaster. Rna 2003, 9, 1532–1541. [Google Scholar] [CrossRef]
- Malard, F.; Mackereth, C.D.; Campagne, S. Principles and correction of 5′-splice site selection. RNA Biol. 2022, 19, 943–960. [Google Scholar] [CrossRef]
- Hayek, H.; Eriani, G.; Allmang, C. eIF3 Interacts with Selenoprotein mRNAs. Biomolecules 2022, 12, 1268. [Google Scholar] [CrossRef]
- Wang, J.; Ma, Y.; Wang, X.; Zhang, Y.; Tan, H.; Li, X.; Chen, G. Theoretical study on the catalytic mechanism of human deoxyhypusine hydroxylase. Phys. Chem. Chem. Phys. 2020, 22, 22736–22745. [Google Scholar] [CrossRef] [PubMed]
- Houtkooper, R.H.; Mouchiroud, L.; Ryu, D.; Moullan, N.; Katsyuba, E.; Knott, G.; Williams, R.W.; Auwerx, J. Mitonuclear protein imbalance as a conserved longevity mechanism. Nature 2013, 497, 451–457. [Google Scholar] [CrossRef] [PubMed]
- Alavi, Y.; Elgar, M.A.; Jones, T.M. Sex versus parthenogenesis; immune function in a facultatively parthenogenetic phasmatid (Extatosoma tiaratum). J. Insect Physiol. 2017, 100, 65–70. [Google Scholar] [CrossRef] [PubMed]
- Pincus, D. Regulation of Hsf1 and the Heat Shock Response. Adv. Exp. Med. Biol. 2020, 1243, 41–50. [Google Scholar] [CrossRef]
- Norouzitallab, P.; Baruah, K.; Vandegehuchte, M.; Van Stappen, G.; Catania, F.; Bussche, J.V.; Vanhaecke, L.; Sorgeloos, P.; Bossier, P. Environmental heat stress induces epigenetic transgenerational inheritance of robustness in parthenogenetic Artemia model. FASEB J. 2014, 28, 3552–3563. [Google Scholar] [CrossRef]
- Sharma, S.; Chaudhary, P.; Sandhir, R.; Bharadwaj, A.; Gupta, R.K.; Khatri, R.; Bajaj, A.C.; Baburaj, T.P.; Kumar, S.; Pal, M.S.; et al. Heat-induced endoplasmic reticulum stress in soleus and gastrocnemius muscles and differential response to UPR pathway in rats. Cell Stress Chaperones 2020, 26, 323–339. [Google Scholar] [CrossRef]
- Stahl, S.; Burkhart, J.M.; Hinte, F.; Tirosh, B.; Mohr, H.; Zahedi, R.P.; Sickmann, A.; Ruzsics, Z.; Budt, M.; Brune, W. Cytomegalovirus Downregulates IRE1 to Repress the Unfolded Protein Response. PLOS Pathog. 2013, 9, e1003544. [Google Scholar] [CrossRef]
- Richter, K.; Haslbeck, M.; Buchner, J. The Heat Shock Response: Life on the Verge of Death. Mol. Cell 2010, 40, 253–266. [Google Scholar] [CrossRef]
- Marques, R.; Maia, C.J.; Vaz, C.; Correia, S.; Socorro, S. The diverse roles of calcium-binding protein regucalcin in cell biology: From tissue expression and signalling to disease. Cell. Mol. Life Sci. 2013, 71, 93–111. [Google Scholar] [CrossRef] [PubMed]
- Iijima, H.; Patrzyc, H.B.; Budzinski, E.E.; Freund, H.G.; Dawidzik, J.B.; Rodabaugh, K.J.; Box, H.C. A study of pyrimidine base damage in relation to oxidative stress and cancer. Br. J. Cancer 2009, 101, 452–456. [Google Scholar] [CrossRef] [PubMed]
- Landmann, C.; Pierre-Elies, P.; Goutte-Gattat, D.; Montembault, E.; Claverie, M.C.; Royou, A. The Mre11-Rad50-Nbs1 complex mediates the robust recruitment of Polo to DNA lesions during mitosis in Drosophila. J. Cell Sci. 2020, 133, jcs244442. [Google Scholar] [CrossRef] [PubMed]
- Beignon, F.; Gueguen, N.; Tricoire-Leignel, H.; Mattei, C.; Lenaers, G. The multiple facets of mitochondrial regulations controlling cellular thermogenesis. Cell. Mol. Life Sci. 2022, 79, 525. [Google Scholar] [CrossRef]
- Vereĭskaia, V.N. Cytology of egg maturation in the silkworm (Bombyx mori L.) in artificial parthenogenesis. Ontogenez 1979, 10, 244–252. [Google Scholar] [PubMed]
- Compton, D.A. Spindle Assembly in Animal Cells. Annu. Rev. Biochem. 2000, 69, 95–114. [Google Scholar] [CrossRef] [PubMed]
- Gögel, S.; Wakefield, S.; Tear, G.; Klämbt, C.; Gordon-Weeks, P.R. The Drosophila microtubule associated protein Futsch is phosphorylated by Shaggy/Zeste-white 3 at an homologous GSK3beta phosphorylation site in MAP1B. Mol. Cell. Neurosci. 2006, 33, 188–199. [Google Scholar] [CrossRef]
- Kunda, P.; Baum, B. The actin cytoskeleton in spindle assembly and positioning. Trends Cell Biol. 2009, 19, 174–179. [Google Scholar] [CrossRef]
- Gimpel, P.; Lee, Y.L.; Sobota, R.M.; Calvi, A.; Koullourou, V.; Patel, R.; Mamchaoui, K.; Nédélec, F.; Shackleton, S.; Schmoranzer, J.; et al. Nesprin-1α-dependent microtubule nucleation from the nuclear envelope via akap450 is necessary for nuclear positioning in muscle cells. Curr. Biol. 2017, 27, 2999–3009. [Google Scholar] [CrossRef]
- Manstein, D.J.; Mulvihill, D.P. Tropomyosin-Mediated Regulation of Cytoplasmic Myosins. Traffic 2016, 17, 872–877. [Google Scholar] [CrossRef]
- Silverman-Gavrila, R.V.; Forer, A. Myosin localization during meiosis I of crane-fly spermatocytes gives indications about its role in division. Cell Motil. Cytoskelet. 2003, 55, 97–113. [Google Scholar] [CrossRef]
- Sahota, V.K.; Grau, B.F.; Mansilla, A.; Ferrús, A. Troponin I and Tropomyosin regulate chromosomal stability and cell polarity. J. Cell Sci. 2009, 122, 2623–2631. [Google Scholar] [CrossRef] [PubMed]
- Petronczki, M.; Matos, J.; Mori, S.; Gregan, J.; Bogdanova, A.; Schwickart, M.; Mechtler, K.; Shirahige, K.; Zachariae, W.; Nasmyth, K. Monopolar Attachment of Sister Kinetochores at Meiosis I Requires Casein Kinase 1. Cell 2006, 126, 1049–1064. [Google Scholar] [CrossRef] [PubMed]
- Musacchio, A.; Desai, A. A Molecular View of Kinetochore Assembly and Function. Biology 2017, 6, 5. [Google Scholar] [CrossRef] [PubMed]
- Guo, Y.; Kim, C.; Mao, Y. New Insights into the Mechanism for Chromosome Alignment in Metaphase. Int. Rev. Cell. Mol. Biol. 2013, 303, 237–262. [Google Scholar] [CrossRef]
- Cheeseman, I.M.; Chappie, J.S.; Wilson-Kubalek, E.M.; Desai, A. The Conserved KMN Network Constitutes the Core Microtubule-Binding Site of the Kinetochore. Cell 2006, 127, 983–997. [Google Scholar] [CrossRef]
- Biterge, B.; Schneider, R. Histone variants: Key players of chromatin. Cell Tissue Res. 2014, 356, 457–466. [Google Scholar] [CrossRef]
- Anifandis, G.; Messini, C.I.; Dafopoulos, K.; Daponte, A.; Messinis, I.E. Sperm contributions to oocyte activation: More that meets the eye. J. Assist. Reprod. Genet. 2016, 33, 313–316. [Google Scholar] [CrossRef]
- Riparbelli, M.G.; Giordano, R.; Callaini, G. Centrosome inheritance in the parthenogenetic egg of the collembolan Folsomia candida. Cell Tissue Res. 2006, 326, 861–872. [Google Scholar] [CrossRef] [PubMed]
- Kronja, I.; Whitfield, Z.J.; Yuan, B.; Dzeyk, K.; Kirkpatrick, J.; Krijgsveld, J.; Orr-Weaver, T.L. Quantitative proteomics reveals the dynamics of protein changes during Drosophila oocyte maturation and the oocyte-to-embryo transition. Proc. Natl. Acad. Sci. USA 2014, 111, 16023–16028. [Google Scholar] [CrossRef]
- McDonough-Goldstein, C.E.; Pitnick, S.; Dorus, S. Drosophila oocyte proteome composition covaries with female mating status. Sci. Rep. 2021, 11, 3142. [Google Scholar] [CrossRef] [PubMed]
- Sartain, C.V.; Wolfner, M.F. Calcium and egg activation in Drosophila. Cell Calcium 2012, 53, 10–15. [Google Scholar] [CrossRef]
- Doane, W.W. Completion of Meiosis in Uninseminated Eggs of Drosophila melanogaster. Science 1960, 132, 677–678. [Google Scholar] [CrossRef] [PubMed]
- Boitano, S.; Sanderson, M.J.; Dirksen, E.R. A role for Ca(2+)-conducting ionchannels in mechanically-induced signal transduction of airway epithelial cells. J. Cell Sci. 1994, 107, 3037–3044. [Google Scholar] [CrossRef] [PubMed]
- Coward, K.; Campos-Mendoza, A.; Larman, M.; Hibbitt, O.; McAndrew, B.; Bromage, N.; Parrington, J. Teleost fish spermatozoa contain a cytosolic protein factor that induces calcium release in sea urchin egg homogenates and triggers calcium oscillations when injected into mouse oocytes. Biochem. Biophys. Res. Commun. 2003, 305, 299–304. [Google Scholar] [CrossRef] [PubMed]
- Petrova, B.; Liu, K.; Tian, C.; Kitaoka, M.; Freinkman, E.; Yang, J.; Orr-Weaver, T.L. Dynamic redox balance directs the oocyte-to-embryo transition via developmentally controlled reactive cysteine changes. Proc. Natl. Acad. Sci. USA 2018, 115, E7978–E7986. [Google Scholar] [CrossRef]
- Nolfi-Donegan, D.; Braganza, A.; Shiva, S. Mitochondrial electron transport chain: Oxidative phosphorylation, oxidant production, and methods of measurement. Redox Biol. 2020, 37, 101674. [Google Scholar] [CrossRef]
- Matsuo, Y.; Hirota, K. Transmembrane thioredoxin-related protein TMX1 is reversibly oxidized in response to protein accumulation in the endoplasmic reticulum. FEBS Open Bio 2017, 7, 1768–1777. [Google Scholar] [CrossRef]
- Tang, Q.; Xu, Y.; Deng, C.; Cheng, C.; Dai, Z.; Yang, Z.; Chen, X.; Liu, C.; Su, J. Differential proteomic analysis to identify proteins associated with apomeiosis in Boehmeria tricuspis (Hance) makino using an iTRAQ-based strategy. J Proteome Res. 2021, 20, 661–669. [Google Scholar] [CrossRef]
- Horner, V.L.; Wolfner, M.F. Transitioning from egg to embryo: Triggers and mechanisms of egg activation. Dev. Dyn. 2008, 237, 527–544. [Google Scholar] [CrossRef]
- Noh, M.Y.; Mun, S.; Kramer, K.J.; Muthukrishnan, S.; Arakane, Y. Yellow-y Functions in Egg Melanization and Chorion Morphology of the Asian Tiger Mosquito, Aedes albopictus. Front. Cell Dev. Biol. 2021, 9, 769788. [Google Scholar] [CrossRef] [PubMed]
- Nellaiappan, K.; Nicklas, G.; Sugumaran, M. The Ontogeny of Dopachrome Isomerase Isozyme Patterns in the Tobacco Hornworm Manduca sexta. Biochem. Biophys. Res. Commun. 1994, 200, 1072–1078. [Google Scholar] [CrossRef] [PubMed]







| Accession Number | Protein Description | Fold Change | p-Value | Function |
|---|---|---|---|---|
| Bmb007646 | serine/threonine-protein kinase Warts | 1.35 | 9.45 × 10−3 | Cell cycle control, cell division, chromosome partitioning |
| ref|XP_021203402.1| | uncharacterized protein LOC101735506 | 0.76 | 6.41 × 10−3 | Cell cycle control, cell division, chromosome partitioning |
| ref|XP_004930078.1| | lamin-C | 0.78 | 2.76 × 10−2 | Cell cycle control, cell division, chromosome partitioning; nuclear structure |
| ref|XP_004934091.1| | histone H3-like, partial | 0.53 | 1.28 × 10−3 | Chromatin structure and dynamics |
| ref|NP_001153666.1| | histone H2A | 0.53 | 2.30 × 10−3 | Chromatin structure and dynamics |
| ref|XP_004934126.1| | histone H1-like, partial | 0.64 | 3.23 × 10−3 | Chromatin structure and dynamics |
| ref|NP_001153669.1| | histone H4 | 0.6 | 7.54 × 10−3 | Chromatin structure and dynamics |
| ref|XP_004934078.2| | histone H2B-like, partial | 0.58 | 1.22 × 10−2 | Chromatin structure and dynamics |
| ref|XP_021208330.1| | bromodomain adjacent to zinc finger domain protein 2B isoform X8 | 3.63 | 2.37 × 10−2 | Replication, recombination, and repair |
| ref|XP_021207651.1| | DNA repair protein RAD50 | 4.11 | 2.37 × 10−2 | Replication, recombination, and repair |
| Bmb004885 | oxygen resistance gene 1 isoform X9 | 0.71 | 2.67 × 10−2 | Replication, recombination, and repair |
| ref|XP_004922235.1| | protein artemis-like isoform X1 | 0.65 | 3.48 × 10−2 | Replication, recombination, and repair |
| Accession Number | Protein Description | Fold Change | p-Value |
|---|---|---|---|
| ref|XP_004928315.1| | alpha-actinin, sarcomeric isoform X1 | 0.44 | 1.15 × 10−5 |
| ref|NP_001124374.1| | paramyosin | 0.42 | 4.57 × 10−5 |
| ref|XP_021202926.1| | microtubule-associated protein futsch | 0.35 | 5.14 × 10−3 |
| ref|NP_001091813.1| | myosin regulatory light chain 2 | 0.31 | 1.12 × 10−4 |
| ref|NP_001103782.1| | tropomyosin-2 isoform 1 | 0.31 | 1.15 × 10−4 |
| Bmb003576 | nesprin-1 isoform X8 | 0.31 | 1.21 × 10−4 |
| ref|XP_021203153.1| | myosin heavy chain, muscle-like | 0.31 | 1.39 × 10−4 |
| ref|XP_012545977.1| | troponin T isoform X1 | 0.32 | 3.76 × 10−4 |
| ref|NP_001037295.1| | troponin I | 0.33 | 4.69 × 10−4 |
| ref|NP_001040445.1| | tropomyosin-1 | 0.48 | 1.20 × 10−3 |
| ref|NP_001119724.1| | actin, muscle-type A1 | 0.48 | 1.61 × 10−3 |
| ref|XP_012549671.1| | myosin light chain alkali | 0.39 | 2.02 × 10−3 |
| ref|XP_012548582.1| | nesprin-1 isoform X3 | 0.66 | 3.20 × 10−3 |
| ref|NP_001119725.1| | actin, muscle-type A2 | 0.49 | 5.96 × 10−3 |
| ref|XP_012550186.1| | tropomodulin-1 isoform X7 | 0.68 | 1.56 × 10−2 |
| ref|NP_001040476.1| | muscular protein 20 | 0.63 | 1.79 × 10−2 |
| ref|XP_021209322.1| | twitchin | 0.82 | 2.26 × 10−2 |
| ref|XP_004929461.1| | myophilin | 0.69 | 2.88 × 10−2 |
| GO ID | GO Terms | Category | p Value |
|---|---|---|---|
| GO:0005840 | ribosome | C | 4.31 × 10−12 |
| GO:0030529 | intracellular ribonucleoprotein complex | C | 2.13 × 10−11 |
| GO:1990904 | ribonucleoprotein complex | C | 2.13 × 10−11 |
| GO:0043228 | non-membrane-bounded organelle | C | 7.64 × 10−7 |
| GO:0043232 | intracellular non-membrane-bounded organelle | C | 7.64 × 10−7 |
| GO:0044444 | cytoplasmic part | C | 3.73 × 10−5 |
| GO:0032991 | macromolecular complex | C | 1.27 × 10−3 |
| GO:0044391 | ribosomal subunit | C | 1.72 × 10−3 |
| GO:0043226 | organelle | C | 3.16 × 10−3 |
| GO:0043229 | intracellular organelle | C | 3.16 × 10−3 |
| GO:0003735 | structural constituent of ribosome | F | 2.35 × 10−11 |
| GO:0005198 | structural molecule activity | F | 7.31 × 10−5 |
| GO:0019843 | rRNA binding | F | 1.36 × 10−3 |
| GO:0016491 | oxidoreductase activity | F | 2.75 × 10−2 |
| GO:0003857 | 3-hydroxyacyl-CoA dehydrogenase activity | F | 3.73 × 10−2 |
| GO:0070006 | metalloaminopeptidase activity | F | 3.73 × 10−2 |
| GO:0004497 | monooxygenase activity | F | 4.97 × 10−2 |
| GO:0006412 | translation | P | 8.41 × 10−7 |
| GO:0043043 | peptide biosynthetic process | P | 8.41 × 10−7 |
| GO:0043604 | amide biosynthetic process | P | 8.41 × 10−7 |
| GO:0010467 | gene expression | P | 8.47 × 10−7 |
| GO:0006518 | peptide metabolic process | P | 1.25 × 10−6 |
| GO:0043603 | cellular amide metabolic process | P | 1.83 × 10−6 |
| GO:1901566 | organonitrogen compound biosynthetic process | P | 1.82 × 10−5 |
| GO:0044267 | cellular protein metabolic process | P | 2.57 × 10−5 |
| GO:0044271 | cellular nitrogen compound biosynthetic process | P | 5.03 × 10−5 |
| GO:0009059 | macromolecule biosynthetic process | P | 1.33 × 10−4 |
| GO ID | GO Terms | Category | p Value |
|---|---|---|---|
| GO:0030312 | external encapsulating structure | C | 3.59 × 10−15 |
| GO:0042600 | chorion | C | 3.59 × 10−15 |
| GO:0071944 | cell periphery | C | 3.32 × 10−12 |
| GO:0005213 | structural constituent of chorion | F | 1.25 × 10−15 |
| GO:0005198 | structural molecule activity | F | 1.85 × 10−6 |
| GO:0016757 | transferase activity, transferring glycosyl groups | F | 2.10 × 10−2 |
| GO:0002064 | epithelial cell development | P | 4.28 × 10−14 |
| GO:0002065 | columnar/cuboidal epithelial cell differentiation | P | 4.28 × 10−14 |
| GO:0002066 | columnar/cuboidal epithelial cell development | P | 4.28 × 10−14 |
| GO:0007304 | chorion-containing eggshell formation | P | 4.28 × 10−14 |
| GO:0030703 | eggshell formation | P | 4.28 × 10−14 |
| GO:0030707 | ovarian follicle cell development | P | 4.28 × 10−14 |
| GO:0030855 | epithelial cell differentiation | P | 4.28 × 10−14 |
| GO:0009888 | tissue development | P | 1.37 × 10−13 |
| GO:0048477 | oogenesis | P | 1.37 × 10−13 |
| GO:0060429 | epithelium development | P | 1.37 × 10−13 |
| Pathway | Protein ID | Protein Description | Comparison | iTRAQ Ratio | iTRAQ p-Value | PRM Ratio | PRM p-Value |
|---|---|---|---|---|---|---|---|
| Ribosome | ref|NP_001037275.1| | ribosomal protein S25 | PL-uninduced/AL-uninduced | 1.27 | 0.000146 | 1.61 | 1.48 × 10−3 |
| ref|NP_001037225.1| | ribosomal protein L22 | PL-uninduced/AL-uninduced | 1.25 | 1.21 × 10−6 | 1.33 | 5.39 × 10−2 | |
| ref|NP_001037233.1| | ribosomal protein L26 | PL-uninduced/AL-uninduced | 1.72 | 5.22 × 10−7 | 1.32 | 6.24 × 10−2 | |
| ref|NP_001037141.1| | ribosomal protein L8 | PL-uninduced/AL-uninduced | 2.05 | 1.11 × 10−5 | 1.36 | 7.63 × 10−2 | |
| ref|NP_001037165.1| | 60S ribosomal protein L17 | PL-uninduced/AL-uninduced | 2.48 | 0.000023 | 1.34 | 8.01 × 10−2 | |
| Thermogenesis | ref|NP_001040428.1| | H+ transporting ATP synthase gamma subunit | PL-induced/AL-induced | 0.71 | 7.89 × 10−5 | 0.70 | 1.05 × 10−2 |
| ref|XP_004933701.1| | NADH dehydrogenase [ubiquinone] iron-sulfur protein 3, mitochondrial | PL-induced/AL-induced | 0.64 | 0.0013 | 0.62 | 3.26 × 10−2 | |
| ref|XP_004933852.2| | electron transfer flavoprotein subunit alpha, mitochondrial | PL-induced/AL-induced | 0.67 | 0.000989 | 0.83 | 8.70 × 10−2 | |
| ref|XP_004932565.1| | Probable aconitate hydratase, mitochondrial | PL-induced/AL-induced | 0.67 | 0.003989 | 0.71 | 1.39 × 10−1 | |
| ref|NP_001296504.1| | cytochrome c | PL-induced/AL-induced | 0.33 | 0.000272 | 0.46 | 1.63 × 10−1 |
Disclaimer/Publisher’s Note: The statements, opinions and data contained in all publications are solely those of the individual author(s) and contributor(s) and not of MDPI and/or the editor(s). MDPI and/or the editor(s) disclaim responsibility for any injury to people or property resulting from any ideas, methods, instructions or products referred to in the content. |
© 2023 by the authors. Licensee MDPI, Basel, Switzerland. This article is an open access article distributed under the terms and conditions of the Creative Commons Attribution (CC BY) license (https://creativecommons.org/licenses/by/4.0/).
Share and Cite
Chen, J.; Du, X.; Xu, X.; Zhang, S.; Yao, L.; He, X.; Wang, Y. Comparative Proteomic Analysis Provides New Insights into the Molecular Basis of Thermal-Induced Parthenogenesis in Silkworm (Bombyx mori). Insects 2023, 14, 134. https://doi.org/10.3390/insects14020134
Chen J, Du X, Xu X, Zhang S, Yao L, He X, Wang Y. Comparative Proteomic Analysis Provides New Insights into the Molecular Basis of Thermal-Induced Parthenogenesis in Silkworm (Bombyx mori). Insects. 2023; 14(2):134. https://doi.org/10.3390/insects14020134
Chicago/Turabian StyleChen, Jine, Xin Du, Xia Xu, Sheng Zhang, Lusong Yao, Xiuling He, and Yongqiang Wang. 2023. "Comparative Proteomic Analysis Provides New Insights into the Molecular Basis of Thermal-Induced Parthenogenesis in Silkworm (Bombyx mori)" Insects 14, no. 2: 134. https://doi.org/10.3390/insects14020134
APA StyleChen, J., Du, X., Xu, X., Zhang, S., Yao, L., He, X., & Wang, Y. (2023). Comparative Proteomic Analysis Provides New Insights into the Molecular Basis of Thermal-Induced Parthenogenesis in Silkworm (Bombyx mori). Insects, 14(2), 134. https://doi.org/10.3390/insects14020134

