The Biocontrol Agent Pyemotes zhonghuajia Has the Highest Lethal Weight Ratio Compared with Its Prey and the Most Dramatic Body Weight Change during Pregnancy
Abstract
Simple Summary
Abstract
1. Introduction
2. Materials and Methods
2.1. Insect Cultures for Bioassays
2.2. Development of P. zhonghuajia on S. litura
2.3. Parasitic Process and Time to Lethality of P. zhonghuajia to S. litura
2.4. Mortality of S. litura as a Result of P. zhonghuajia Parasitism
2.5. Searching Ability of P. zhonghuajia on S. litura
2.6. Data Analysis
3. Results
3.1. Reproductive Development of P. zhonghuajia on S. litura at Different Life Stages
3.2. The Parasitic Process of P. zhonghuajia on S. litura
3.3. Time to Lethality of Individual P. zhonghuajia on S. litura
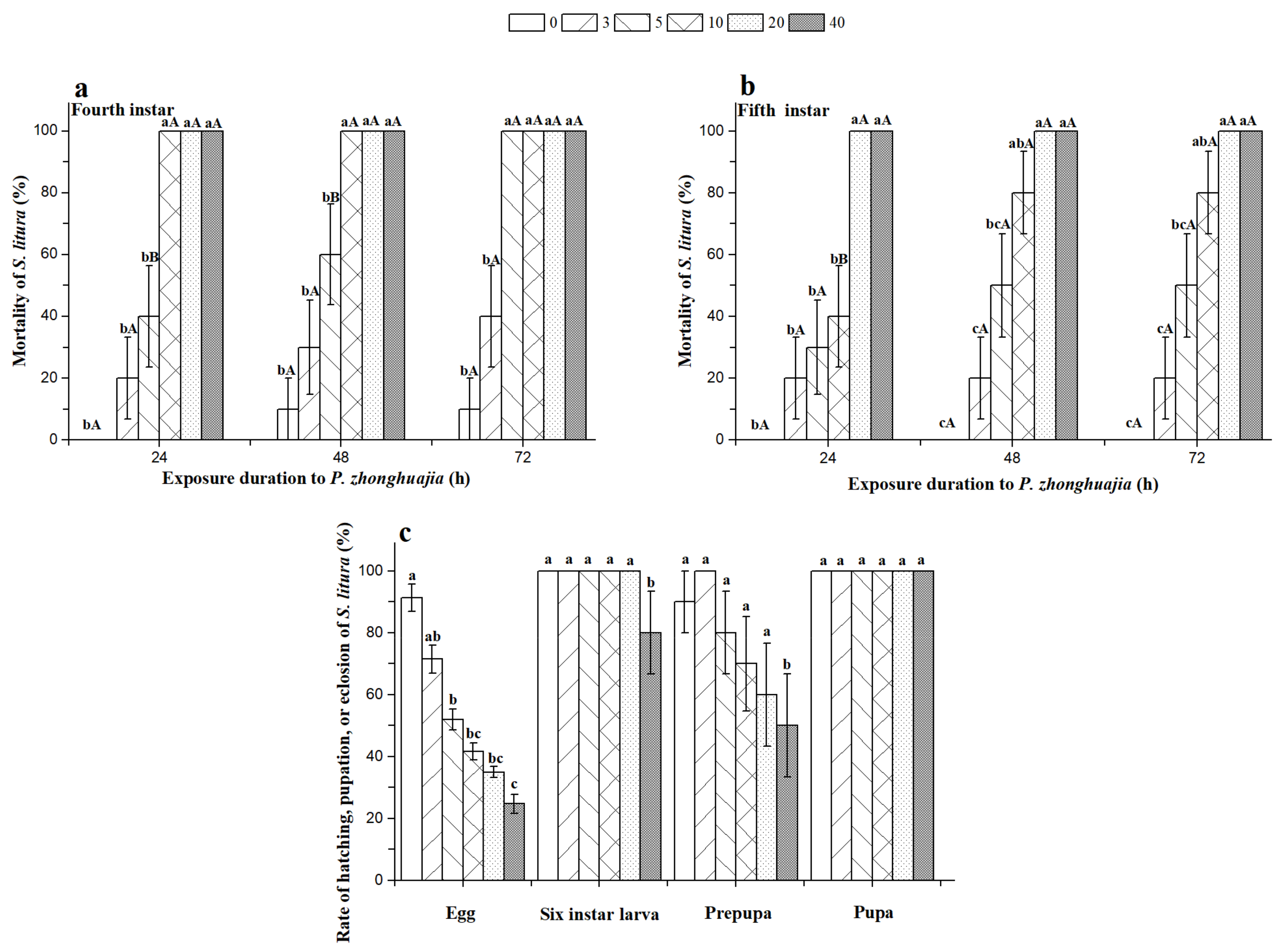
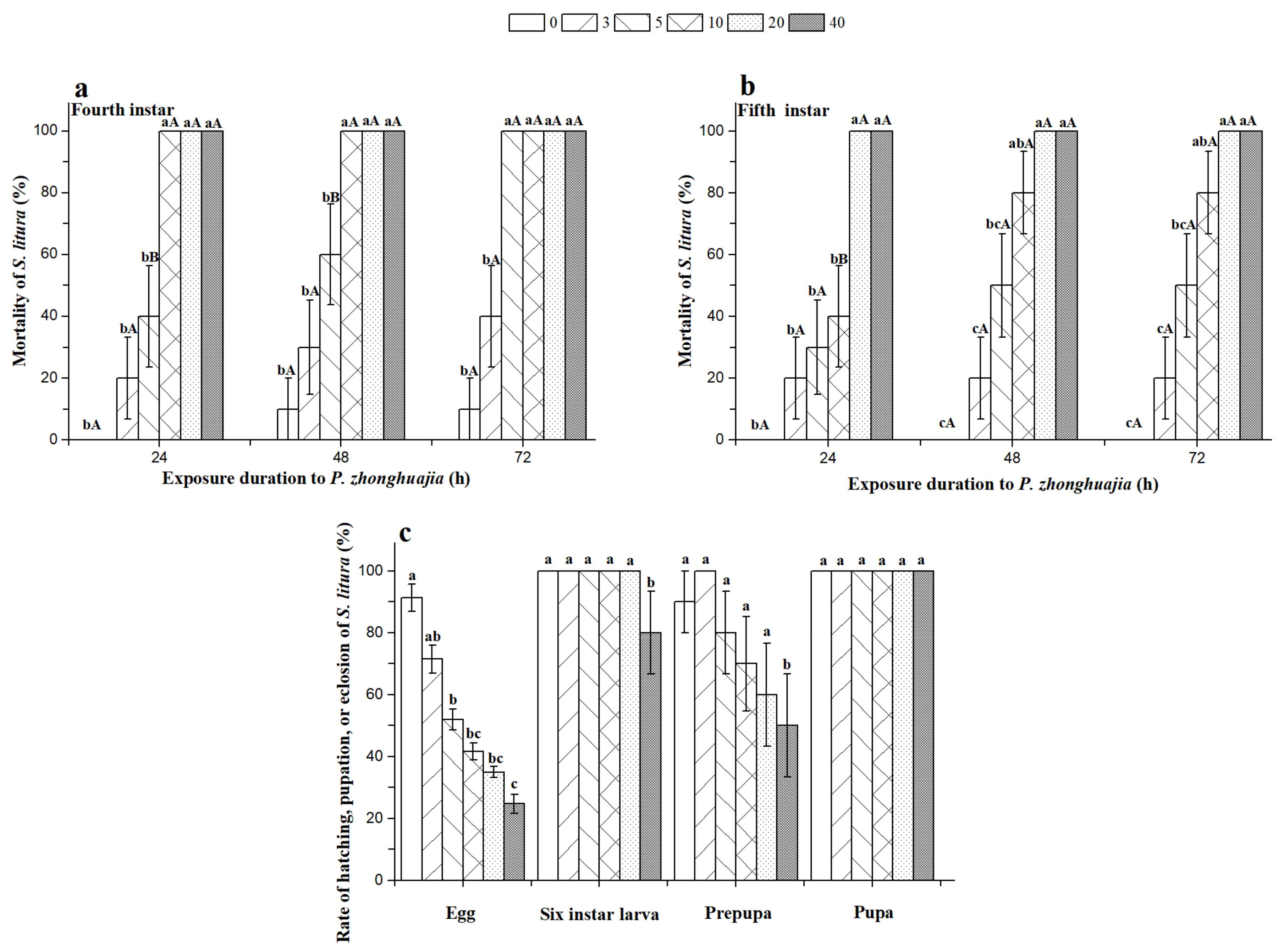
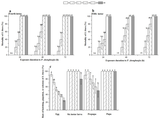
3.4. S. litura Mortality with Different Population Densities of P. zhonghuajia
3.5. Searching Ability of P. zhonghuajia on S. litura
4. Discussion
5. Conclusions
Supplementary Materials
Author Contributions
Funding
Institutional Review Board Statement
Acknowledgments
Conflicts of Interest
References
- Yu, L.C.; Zhang, Z.Q.; He, L.M. Two new species of Pyemotes closely related to P. tritici (Acari: Pyemotidae). Zootaxa 2010, 2723, 1–40. [Google Scholar] [CrossRef]
- Li, Y.C.; Huang, C.Y.; Xia, Z.R.; Zhou, J.S.; Li, J.S.; Sun, Y.Z.; Xu, Y.; Wu, S.Q.; Zhang, F.P. Preliminary study on biocontrol potential of Pyemotes zhonghuajia on Monochamus alternatus Hope. Genom. Appl. Biol. 2019, 38, 2516–2521. [Google Scholar]
- Lu, H.-L.; Li, L.-T.; Yu, L.-C.; He, L.-M.; Ouyang, G.-C.; Liang, G.-W.; Lu, Y.-Y. Ectoparasitic mite, Pyemotes zhonghuajia (Prostigmata: Pyemotidae), for biological control of Asian Citrus Psyllid, Diaphorina citri (Hemiptera: Liviidae). Syst. Appl. Acarol. 2019, 24, 520–524. [Google Scholar] [CrossRef]
- Guo, X.; Xu, Z.-C.; Xiong, D.-P. Study of utilizing Pyemotes zhonghuajia to control Semanotus bifasciatus beetles. Chin. Bull. Entomol. 2010, 47, 529–532. [Google Scholar]
- He, L.-M.; Jiao, R.; Yu, L.-C.; Xu, C.-X.; Hao, B.-F.; Zhang, C.-L. Utilizing Pyemotes spp. to control stem borers. China Sci. Technol. Achiev. 2009, 10, 59–61. [Google Scholar]
- Liu, J.-F.; Tian, T.-A.; Li, X.-L.; Chen, Y.-C.; Yu, X.-F.; Tan, X.-F.; Zhu, Y.; Yang, M.-F. Is Pyemotes zhonghuajia (Acari: Pyemotidae) a suitable biological control agent against the fall armyworm Spodoptera frugiperda (Lep: Noctuidae)? Syst. Appl. Acarol. 2020, 25, 649–657. [Google Scholar]
- Tian, T.-A.; Yu, L.-C.; Sun, G.-J.; Yu, X.-F.; Li, L.-T.; Wu, C.-X.; Chen, Y.-C.; Yang, M.-F.; Liu, J.-F. Biological control efficiency of an ectoparasitic mite Pyemotes zhonghuajia on oriental armyworm Mythimna separata. Syst. Appl. Acarol. 2020, 25, 1683–1692. [Google Scholar]
- Ma, L.-Q.; Wen, J.-B.; Xu, Z.-C.; Luo, Y.-Q. Advances in researches on the Pyemotes parasitoids. Chin. Bull. Entomol. 2009, 46, 366–371. [Google Scholar]
- Tomalski, M.D.; Bruce, W.A.; Travis, J.; Blum, M.S. Preliminary characterization of toxins from the straw itch mite, Pyemotes tritici, which induce paralysis in the larvae of a moth. Toxicon 1988, 26, 127–132. [Google Scholar] [CrossRef]
- Weiser, J.; Sláma, K. Effects of the toxin of Pyemotes (Acari: Pyemotidae) on the insect prey, with special reference to respiration. Ann. Entomol. Soc. Am. 1964, 57, 479–482. [Google Scholar] [CrossRef]
- Han, J.-C.; He, L.-M.; Jiao, R.; He, B.-F.; Xu, C.-X.; Yu, L.-C. Analysis of the toxin gene analogs cloned from Pyemotes phloeosinus sp. nov. J. Hebei Agric. Sci. 2008, 12, 72–74. [Google Scholar]
- He, L.-M.; Jiao, R.; Han, J.-C.; Yu, L.-C.; Hao, B.-F.; Xu, C.-X. Preliminary detection of toxicity of the crude toxin extract of Pyemotes spp. to insects and the screening of bioassay target insects. In Proceedings of the Technological Innovation and Green Plant Protection—2006 Annual Meeting of Chinese Society of Plant Protection, Kunming, China, November 8–11, 2006; pp. 419–422. [Google Scholar]
- Tuan, S.J.; Li, N.J.; Yeh, C.C.; Tang, L.C.; Chi, H. Effects of Green Manure Cover Crops on Spodoptera litura (Lepidoptera: Noctuidae) Populations. J. Econ. Entomol. 2014, 897–905. [Google Scholar] [CrossRef] [PubMed]
- Archontoulis, S.V.; Miguez, F.E. Nonlinear regression models and applications in agricultural research. Agron. J. 2015, 107, 786–798. [Google Scholar] [CrossRef]
- Chen, C.; He, X.Z.; Zhou, P.; Wang, Q. Tamarixia triozae, an important parasitoid of Bactericera cockerelli: Circadian rhythms and their implications in pest management. BioControl 2020, 65, 537–546. [Google Scholar] [CrossRef]
- Li, Z.X.; Liu, G.Y.; Tian, Z.C.; Xie, J.R.; Wang, L.; Gong, Z.L.; Chai, H.P.; Sun, X.L. Biological characteristics of parthenogenesis population of Haemaphysalis longicornis Gansu strain under laboratory conditions. Vet. Sci. China 2007, 37, 277–281. [Google Scholar]
- He, L.-M.; Yu, L.-C.; Jiao, R.; Xu, C.-X.; He, B.-F. Mass-rearing of Pyemotes zhonghuajia (Prostigmata: Pyemotidae) with substitute hosts. Chin. J. Biol. 2011, 27, 165–170. [Google Scholar]
- Yu, L.; He, L.; Jiao, R.; Xu, C.; He, B.; Han, J. Breeding Method of Pyemotes zhonghuajia and Application in Pest Biological Control. China Patents CN101569297A, 4 November 2009. [Google Scholar]
- Wu, C.-X.; Liu, J.-F.; Di, X.-Y.; Yang, M.-F. Delay in mating reduces reproductivity but increases life span in tobacco cutworm, Spodoptera litura Fabricius (Lepidoptera: Noctuidae). J. Econ. Entomol. 2018, 111, 1650–1657. [Google Scholar] [CrossRef]
- Xiong, W.J.; Xiong, D.P.; Wang, M.Z.; Ding, G.Q.; Zhang, Y.L. Effect of Pyemotes tritici on invasive pest Opisina arenosella in the laboratory condition. Beijing Gard. 2018, 123, 51–55. [Google Scholar]
- Zhong, B.-Z.; Weng, L.-Q.; Xu, Z.-F. First record of Pyemotes tritici (Lagreze-Fossat et Montagne) as ectoparasite of Habrobracon hebetor (Say) (Hymenoptera: Braconidae). Nat. Enemies. Insects 2007, 29, 142–146. [Google Scholar]
- Tomalski, M.D.; Kutney, R.; Bruce, W.A.; Brown, M.R.; Blum, M.S.; Travis, J. Purification and characterization of insect toxins derived from the mite, Pyemotes tritici. Toxicon 1989, 27, 1151–1167. [Google Scholar] [CrossRef]
- He, L.-M.; Jiao, R.; Yu, L.-C.; Xu, C.-X.; Hao, B.-F. Preliminary report on the parasitism of larvae of Yponomeuta sp. by Pyemotes zhonghuajia. Hebei Fruits 2014, 6, 8–9. [Google Scholar]
- Tian, T.-A.; Yu, L.-C.; Yu, X.-F.; Li, L.-T.; Sun, G.-J.; Zhang, H.-Y.; Liu, J.-F.; Yang, M.-F. Proper hunger increased the lethal efficiency of the ectoparasitic mite Pyemotes zhonghuajia (Trombidiformes: Pyemotidae). Syst. Appl. Acarol. 2020, 25, 1661–1667. [Google Scholar]




| Stages | Daily Opisthosomal Growth Equation | a | b | R2 | Adult Longevity (Days) | Opisthosoma Length (μm) | |||
|---|---|---|---|---|---|---|---|---|---|
| Lower 95%CI | Upper 95% CI | Lower 95%CI | Upper 95% CI | ||||||
| Egg | y = 1028.44(1 − e(−0.17x)) | 745.05 | 1311.83 | 0.08 | 0.26 | 0.8 | 9.6 ± 0.2a | 928.33 ± 17.22a | |
| First instar | y = 653.38(1 − e(−0.2x)) | 341.81 | 964.94 | 0.06 | 0.33 | 0.77 | 5.8 ± 0.1d | 376.67 ± 29.21d | |
| Second instar | y = 764.36(1 − e(−0.2x)) | 638.80 | 889.92 | 0.15 | 0.25 | 0.94 | 6.6 ± 0.2bc | 505 ± 9.64c | |
| Third instar | y = 1010.60(1 − e(−0.22x)) | 561.60 | 1459.61 | 0.10 | 0.14 | 0.84 | 6.7 ± 0.2b | 658.33 ± 27.47b | |
| Fourth instar | y =1179.60(1 − e(−0.12x)) | 366.17 | 1993.06 | 0.05 | 0.25 | 0.9 | 6.0 ± 0.0cd | 460 ± 61.96cd | |
| Fifth instar | y =1432.49(1 − e(−0.12x)) | 306.46 | 2558.52 | 0.08 | 0.32 | 0.84 | 5.8 ± 0.1d | 631.67 ± 77.96b | |
| Sixth instar | y = 959.82(1 − e(−0.21x)) | 624.17 | 1295.47 | 0.09 | 0.32 | 0.88 | 6.8 ± 0.1b | 676.67 ± 69.03b | |
| Pupa | y = 1156.99(1 − e(−0.28x)) | 1083.83 | 1230.24 | 0.24 | 0.32 | 0.94 | 9.3 ± 0.2a | 971.67 ± 36.05a | |
| F-statistic | F1,72 = 105.3 | F1,72 = 99.774 | |||||||
| Significance (p) | <0.05 | <0.05 | |||||||
Publisher’s Note: MDPI stays neutral with regard to jurisdictional claims in published maps and institutional affiliations. |
© 2021 by the authors. Licensee MDPI, Basel, Switzerland. This article is an open access article distributed under the terms and conditions of the Creative Commons Attribution (CC BY) license (https://creativecommons.org/licenses/by/4.0/).
Share and Cite
Chen, Y.-C.; Tian, T.-A.; Chen, Y.-H.; Yu, L.-C.; Hu, J.-F.; Yu, X.-F.; Liu, J.-F.; Yang, M.-F. The Biocontrol Agent Pyemotes zhonghuajia Has the Highest Lethal Weight Ratio Compared with Its Prey and the Most Dramatic Body Weight Change during Pregnancy. Insects 2021, 12, 490. https://doi.org/10.3390/insects12060490
Chen Y-C, Tian T-A, Chen Y-H, Yu L-C, Hu J-F, Yu X-F, Liu J-F, Yang M-F. The Biocontrol Agent Pyemotes zhonghuajia Has the Highest Lethal Weight Ratio Compared with Its Prey and the Most Dramatic Body Weight Change during Pregnancy. Insects. 2021; 12(6):490. https://doi.org/10.3390/insects12060490
Chicago/Turabian StyleChen, Yi-Chai, Tai-An Tian, Yi-Hui Chen, Li-Chen Yu, Ji-Feng Hu, Xiao-Fei Yu, Jian-Feng Liu, and Mao-Fa Yang. 2021. "The Biocontrol Agent Pyemotes zhonghuajia Has the Highest Lethal Weight Ratio Compared with Its Prey and the Most Dramatic Body Weight Change during Pregnancy" Insects 12, no. 6: 490. https://doi.org/10.3390/insects12060490
APA StyleChen, Y.-C., Tian, T.-A., Chen, Y.-H., Yu, L.-C., Hu, J.-F., Yu, X.-F., Liu, J.-F., & Yang, M.-F. (2021). The Biocontrol Agent Pyemotes zhonghuajia Has the Highest Lethal Weight Ratio Compared with Its Prey and the Most Dramatic Body Weight Change during Pregnancy. Insects, 12(6), 490. https://doi.org/10.3390/insects12060490
