(Quasi)-Binomial vs. Gaussian Models to Evaluate Thiamethoxam, Pirimiphos-Methyl, Alpha-Cypermethrin and Deltamethrin on Different Types of Storage Bag Materials Against Ephestia kuehniella Zeller (Lepidoptera: Pyralidae) and Tribolium confusum Jacquelin du Val (Coleoptera: Tenebrionidae)
Abstract
Simple Summary
Abstract
1. Introduction
2. Materials and Methods
2.1. Insects
2.2. Insecticides
2.3. Storage Bag Materials
2.4. Experimental Set-Up
2.5. Statistical Methodology
2.5.1. Regression-Type Modeling
2.5.2. Model Comparison and Covariate Selection
2.5.3. Model Fit
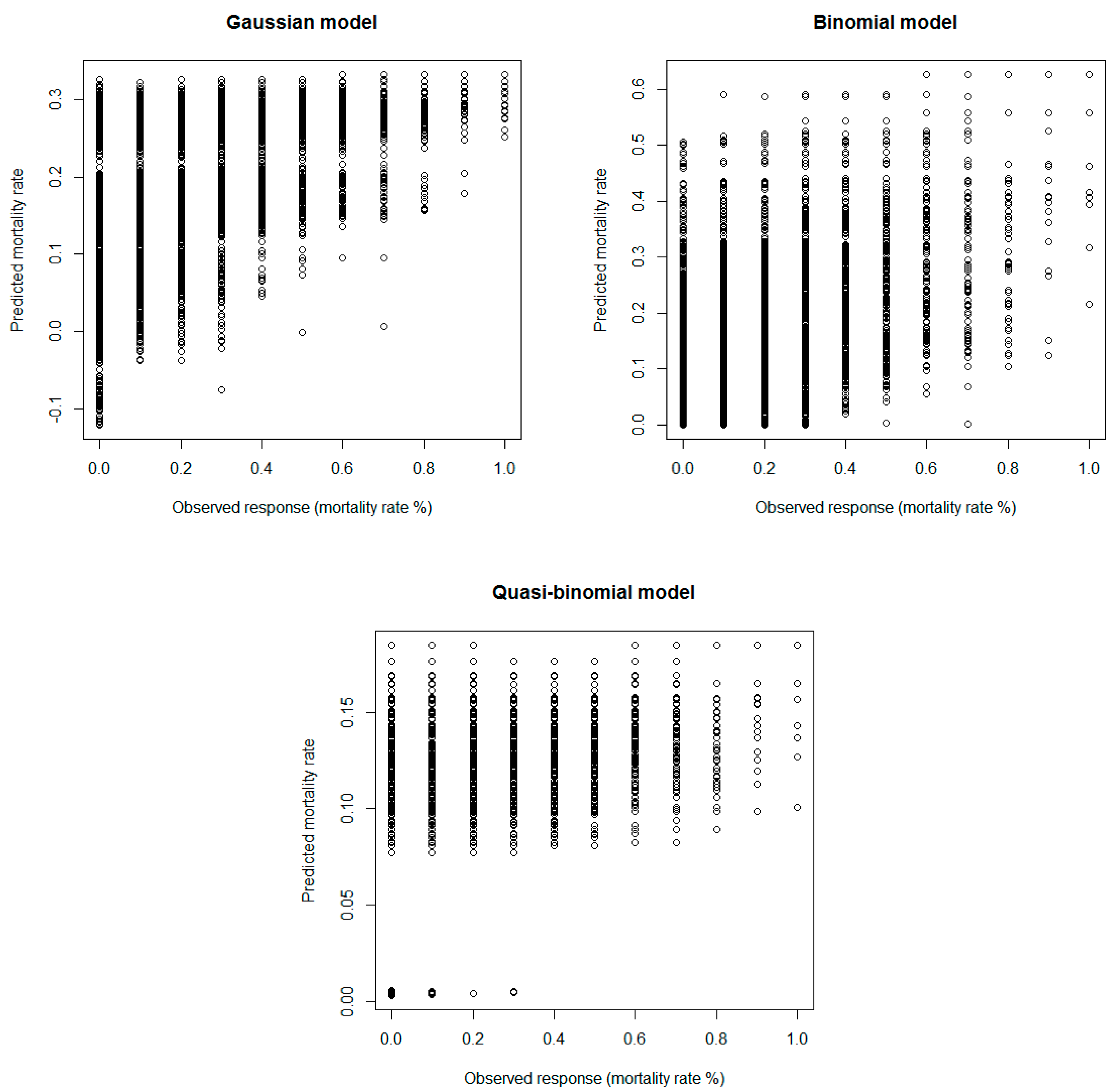
3. Results
4. Discussion
5. Conclusions
Supplementary Materials
Author Contributions
Funding
Institutional Review Board Statement
Data Availability Statement
Acknowledgments
Conflicts of Interest
References
- Hill, D.S. Pests of Stored Foodstuffs and Their Control; Kluwer Academic Publishers: New York, NY, USA, 2003. [Google Scholar]
- Campbell, J.F.; Arthur, F.H.; Mullen, M.A. Insect management in food processing facilities. In Advances in Food and Nutrition Research; Taylor, S., Ed.; Elsevier: Amsterdam, The Netherlands, 2004; Volume 48, pp. 239–295. [Google Scholar]
- Kavallieratos, N.G.; Athanassiou, C.G.; Hatzikonstantinou, A.N.; Kavallieratou, H.N. Abiotic and biotic factors affect efficacy of chlorfenapyr for control of stored-product insect pests. J. Food Prot. 2011, 74, 1288–1299. [Google Scholar] [CrossRef] [PubMed]
- Kavallieratos, N.G.; Athanassiou, C.G.; Vayias, B.J. Efficacy of insect growth regulators as grain protectants against two stored-product pests in wheat and maize. J. Food Prot. 2012, 75, 942–950. [Google Scholar] [CrossRef]
- Athanassiou, C.G.; Kavallieratos, N.G.; Arthur, F.H.; Throne, J.E. Residual efficacy of chlorfenapyr for control of stored-product psocids (Psocoptera). J. Econ. Entomol. 2014, 107, 854–859. [Google Scholar] [CrossRef]
- Papanikolaou, N.E.; Kavallieratos, N.G.; Boukouvala, M.C.; Malesios, C. Do temperature, relative humidity and interspecific competition alter the population size and the damage potential of stored-product insect pests? A hierarchical multilevel modeling approach. J. Therm. Biol. 2018, 78, 415–422. [Google Scholar] [CrossRef]
- Nika, E.P.; Kavallieratos, N.G.; Papanikolaou, N.E. Developmental and reproductive biology of Oryzaephilus surinamensis (L.) (Coleoptera: Silvanidae) on seven commodities. J. Stored Prod. Res. 2020, 87, 101612. [Google Scholar] [CrossRef]
- Skourti, A.; Kavallieratos, N.G.; Papanikolaou, N.E. Suitability of semolina, cracked wheat and cracked maize as feeding commodities for Tribolium castaneum (Herbst, Coleoptera: Tenebrionidae). Insects 2020, 11, 99. [Google Scholar] [CrossRef] [PubMed]
- Kavallieratos, N.G.; Athanassiou, C.G.; Vayias, B.J.; Mihail, S.B.; Tomanović, Ž. Insecticidal efficacy of abamectin against three stored-product insect pests: Influence of dose rate, temperature, commodity, and exposure interval. J. Econ. Entomol. 2009, 102, 1352–1359. [Google Scholar] [CrossRef]
- Athanassiou, C.G.; Kavallieratos, N.G.; Sciarretta, A.; Palyvos, N.E.; Trematerra, P. Spatial associations of insects and mites in stored wheat. J. Econ. Entomol. 2011, 104, 1752–1764. [Google Scholar] [CrossRef] [PubMed]
- Mason, L.J.; McDonough, M. Biology, behavior, and ecology of stored grain and legume insects. In Stored Product Protection; Hagstrum, D.W., Phillips, T.W., Cuperus, G., Eds.; Kansas State University: Manhattan, KS, USA, 2012; pp. 7–20. [Google Scholar]
- Bousquet, Y. Beetles Associated with Stored Products in Canada: An Identification Guide; Canadian Government Publishing Centre: Ottawa, Canada, 1990. [Google Scholar]
- Rees, D. Insects of Stored Products; Manson Publishing: London, UK, 2004. [Google Scholar]
- Hagstrum, D.W.; Subramanyam, B. Stored-Product Insect Resource; AACC International: St. Paul, MN, USA, 2009. [Google Scholar]
- Paudyal, S.; Opit, G.P.; Osekre, E.A.; Arthur, F.H.; Bingham, G.V.; Payton, M.A.; Danso, J.K.; Manu, N.; Nsiah, E.P. Field evaluation of the long-lasting treated storage bag, deltamethrin incorporated, (ZeroFly® Storage Bag) as a barrier to insect pest infestation. J. Stored Prod. Res. 2017, 70, 44–52. [Google Scholar] [CrossRef]
- Riudavets, J.; Salas, I.; Pons, M.J. Damage characteristics produced by insect in packaging film. J. Stored Prod. Res. 2007, 43, 564–570. [Google Scholar] [CrossRef]
- De Groote, H.D.; Kimenju, S.C.; Likhayo, P.; Kanampiu, F.; Tefera, T.; Hellin, J. Effectiveness of hermetic systems in controlling maize storage pests in Kenya. J. Stored Prod. Res. 2013, 53, 27–36. [Google Scholar] [CrossRef]
- Kavallieratos, N.G.; Athanassiou, C.G.; Arthur, F.H. Effectiveness of insecticide-incorporated bags to control stored-product beetles. J. Stored Prod. Res. 2017, 70, 18–24. [Google Scholar] [CrossRef]
- Kavallieratos, N.G.; Athanassiou, C.G.; Nika, E.P.; Boukouvala, M.C. Efficacy of alpha-cypermethrin, chlorfenapyr and pirimiphos-methyl applied on polypropylene bags for the control of Prostephanus truncatus (Horn), Rhyzopertha dominica (F.) and Sitophilus oryzae (L.). J. Stored Prod. Res. 2017, 73, 54–61. [Google Scholar] [CrossRef]
- Stejskal, V.; Bostlova, M.; Nesvorna, M.; Volek, V.; Dolezal, V.; Hubert, J. Comparison of the resistance of mono- and multilayer packaging films to stored-product insects in a laboratory test. Food Control 2017, 73, 566–573. [Google Scholar] [CrossRef]
- Mullen, M.A.; Vardeman, J.M.; Bagwell, J. Insect-resistant packaging. In Stored Product Protection; Hagstrum, D.W., Phillips, T.W., Cuperus, G., Eds.; Kansas State University: Manhattan, KS, USA, 2012; pp. 135–141. [Google Scholar]
- Kavallieratos, N.G.; Boukouvala, M.C. Efficacy of four insecticides on different types of storage bags for the management of Trogoderma granarium Everts (Coleoptera: Dermestidae) adults and larvae. J. Stored Prod. Res. 2018, 78, 50–58. [Google Scholar] [CrossRef]
- Arthur, F.H. Methodology for evaluating the insect growth regulator (IGR) methoprene on packaging films. Insects 2016, 7, 33. [Google Scholar] [CrossRef] [PubMed]
- Scheff, D.S.; Arthur, F.H. Fecundity of Tribolium castaneum and Tribolium confusum adults after exposure to deltamethrin packaging. J. Pest Sci. 2018, 91, 717–725. [Google Scholar] [CrossRef]
- Scheff, D.S.; Subramanyam, B.; Arthur, F.H.; Dogan, H. Plodia interpunctella and Trogoderma variabile larval penetration and invasion of untreated and methoprene-treated foil packaging. J. Stored Prod. Res. 2018, 78, 74–82. [Google Scholar] [CrossRef]
- Scheff, D.S.; Subramanyam, B.H.; Arthur, F.H. Susceptibility of Tribolium castaneum and Trogoderma variabile larvae and adults exposed to methoprene-treated woven packaging material. J. Stored Prod. Res. 2017, 73, 142–150. [Google Scholar] [CrossRef]
- Caspari, E.W.; Gottlieb, F.J. The Mediterranean meal moth Ephestia kuehniella. In Handbook of Genetics; King, R.C., Ed.; Plenum: New York, NY, USA, 1975; Volume 3, pp. 125–147. [Google Scholar]
- Trematerra, P.; Battaini, F. Control of Ephestia kuehniella Zeller by mass-trapping. J. Appl. Entomol. 1987, 104, 336–340. [Google Scholar] [CrossRef]
- Trematerra, P. The use of attracticide method to control Ephestia kuehniella Zeller in flour mills. Anz. Schädlingskd. Pflanzenschutz Umweltschutz 1995, 68, 69–73. [Google Scholar] [CrossRef]
- Trematerra, P.; Athanassiou, C.; Stejskal, V.; Sciarretta, A.; Kavallieratos, N.; Palyvos, N. Large-scale mating disruption of Ephestia spp. and Plodia interpunctella in Czech Republic, Greece and Italy. J. Appl. Entomol. 2011, 135, 749–762. [Google Scholar] [CrossRef]
- Athanassiou, C.G.; Kavallieratos, N.G.; Sciarretta, A.; Trematerra, P. Mating disruption of Ephestia kuehniella (Zeller) (Lepidoptera: Pyralidae) in a storage facility: Spatio-temporal distribution changed after long-term application. J. Stored Prod. Res. 2016, 67, 1–12. [Google Scholar] [CrossRef]
- Sedlacek, J.D.; Weston, P.A.; Barney, R.J. Lepidoptera and Psocoptera. In Integrated Management of Insects in Stored Products; Subramanyam, B.H., Hagstrum, D.W., Eds.; Marcel Dekker, Inc.: New York, NY, USA, 1996; pp. 41–70. [Google Scholar]
- Locatelli, D.P.; Limonta, L.; Stampini, M. Effect of particle size of soft wheat flour on the development of Ephestia kuehniella Zeller (Lepidoptera: Pyralidae). J. Stored Prod. Res. 2008, 44, 269–272. [Google Scholar] [CrossRef][Green Version]
- Hagstrum, D.W.; Klejdysz, T.; Subramanyam, B.H.; Nawrot, J. Atlas of Stored-Product Insects and Mites; AACC International: St. Paul, MN, USA, 2013. [Google Scholar]
- Tarlack, P.; Mehrkhou, F.; Mousavi, M. Life history and fecundity rate of Ephestia kuehniella (Lepidoptera: Pyralidae) on different wheat flour varieties. Arch. Phytopathol. Plant Prot. 2015, 48, 95–103. [Google Scholar] [CrossRef]
- Belda, C.; Ribes Dasi, M.; Riudavets, J. Improving pest management in pet food mills using accurate monitoring and spatial analysis. J. Stored Prod. Res. 2011, 47, 385–392. [Google Scholar] [CrossRef]
- Trematerra, P.; Gentile, P. Five years of mass trapping of Ephestia kuehniella Zeller: A component of IPM in a flour mill. J. Appl. Entomol. 2010, 134, 149–156. [Google Scholar] [CrossRef]
- Athanassiou, C.G.; Kavallieratos, N.G.; Tsakiri, J.B.; Xyrafidis, S.N.; Vayias, B.J. Effect of temperature and humidity on insecticidal effect of SilicoSec against Ephestia kuehniella (Lepidoptera: Pyralidae) larvae. J. Econ. Entomol. 2008, 99, 1520–1524. [Google Scholar] [CrossRef]
- Pedersen, J.R. Insects: Identification, damage, and detection. In Storage of Cereal Grains and Their Products; Sauer, D.B., Ed.; AACC International: St. Paul, MN, USA, 1992; pp. 435–489. [Google Scholar]
- Aitken, A.D. Insect Travelers, I: Coleoptera. Technical Bulletin 31; HMSO: London, UK, 1975. [Google Scholar]
- Robinson, W.H. Urban Insects and Arachnids; Cambridge University Press: Cambridge, UK, 2005. [Google Scholar]
- Kavallieratos, N.G.; Andrić, G.; Pražić Golić, M.; Nika, E.P.; Skourti, A.; Kljajić, P.; Papanikolaou, N.E. Biological features and population growth of two Southeastern European Tribolium confusum Jacquelin du Val (Coleoptera: Tenebrionidae) strains. Insects 2020, 11, 218. [Google Scholar] [CrossRef]
- Hernández Ramírez, G.; Romero Padilla, J.; Salinas Ruíz, J.; Sánchez Arroyo, H. Pathogenicity statistical analysis of Beauveria bassiana against German cockroach (Blattella germanica). Biocontrol Sci. Technol. 2020, 30, 628–641. [Google Scholar] [CrossRef]
- Kavallieratos, N.G.; Athanassiou, C.G.; Boukouvala, M.C. Insecticidal effect of chlorantraniliprole against major stored product insect pests in different grain commodities under laboratory tests. Pest Manag. Sci. 2013, 69, 1141–1154. [Google Scholar] [CrossRef]
- McCullagh, P.; Nelder, J.A. Generalized Linear Models; Chapman and Hall/CRC: New York, NY, USA, 1989. [Google Scholar]
- Papke, L.E.; Wooldridge, J.M. Econometric methods for fractional response variables with an application to 401(k) plan participation rates. J. Appl. Econ. 1996, 11, 619–632. [Google Scholar] [CrossRef]
- Douma, J.C.; Weedon, J.T. Analysing continuous proportions in ecology and evolution: A practical introduction to beta and Dirichlet regression. Methods Ecol. Evol. 2019, 10, 1412–1430. [Google Scholar] [CrossRef]
- Raudenbush, S.W.; Bryk, A.S. Hierarchical Linear Models. Applications and Data Analysis Methods. Advanced Quantitative Techniques in the Social Sciences. Series 1; Sage Publications, Inc.: Thousand Oaks, CA, USA, 2002. [Google Scholar]
- Kim, H.J.; Cavanaugh, J.E.; Dallas, T.A.; Foré, S.A. Model selection criteria for overdispersed data and their application to the characterization of a host-parasite relationship. Environ. Ecol. Stat. 2014, 21, 329–350. [Google Scholar] [CrossRef]
- R Development Core Team. R: A Language and Environment for Statistical Computing. R Foundation for Statistical Computing. Available online: http://www.Rproject.org (accessed on 16 August 2020).
- Bates, D.; Mächler, M.; Bolker, B.M.; Walker, S.C. Fitting linear mixed-effects models using lme4. J. Stat. Softw. 2015, 67, 1. [Google Scholar] [CrossRef]
- Consul, P.C. On some properties and applications of quasi-binomial distribution. Commun. Stat. Theory Methods 1990, 19, 477–504. [Google Scholar] [CrossRef]
- Mishra, A.; Tiwary, D.; Singh, S. A class of quasi-binomial distributions. Sankhya Ser. B 1992, 54, 67–76. [Google Scholar]
- Demétrio, C.G.B.; Hinde, J.; Moral, R.A. Models for overdispersed data in entomology. In Ecological Modelling Applied to Entomology; Ferreira, C.P., Godoy, W.A.C., Eds.; Springer: Cham, Switzerland, 2014; pp. 219–259. [Google Scholar]
- Dimou, V.; Malesios, C.; Pispa, S. Monitoring self-reported musculoskeletal symptoms in forestry operations. Int. J. For. Eng. 2020, 31, 106–113. [Google Scholar] [CrossRef]
- Gómez Déniz, E.; Gallardo, D.I.; Gómez, H.W. Quasi-binomial zero-inflated regression model suitable for variables with bounded support. J. Appl. Stat. 2020, 47, 2208–2229. [Google Scholar] [CrossRef]
- Saglam, O.; Athanassiou, C.G.; Vassilakos, T.N. Comparison of spinetoram, imidacloprid, thiamethoxam and chlorantraniliprole against life stages of Tribolium confusum Jacquelin du Val (Coleoptera: Tenebrionidae) on concrete. Crop Prot. 2013, 53, 85–95. [Google Scholar] [CrossRef]
- Tsaganou, F.C.; Vassilakos, T.N.; Athanassiou, C.G. Knockdown and mortality of five stored product beetle species after short exposures of thiamethoxam. J. Econ. Entomol. 2014, 107, 2222–2228. [Google Scholar] [CrossRef]
- Rumbos, C.I.; Dutton, A.C.; Athanassiou, C.G. Comparison of two pirimiphos-methyl formulations against major stored-product insect species. J. Stored Prod. Res. 2013, 55, 106–115. [Google Scholar] [CrossRef]
- Rumbos, C.I.; Dutton, A.C.; Athanassiou, C.G. Efficacy of two formulations of pirimiphos-methyl as surface treatment against Sitophilus granarius, Rhyzopertha dominica and Tribolium confusum. J. Pest Sci. 2014, 87, 507–519. [Google Scholar] [CrossRef]
- Arthur, F.H. Differential effectiveness of deltamethrin dust on plywood, concrete, and tile surfaces against three stored-product beetles. J. Stored Prod. Res. 1997, 33, 167–173. [Google Scholar] [CrossRef]
- Athanassiou, C.G.; Kavallieratos, N.G. Evaluation of spinetoram and spinosad for control of Prostephanus truncatus, Rhyzopertha dominica, Sitophilus oryzae and Tribolium confusum on stored grains under laboratory tests. J. Pest Sci. 2014, 87, 469–483. [Google Scholar] [CrossRef]
- Kavallieratos, N.G.; Athanassiou, C.G.; Korunic, Z.; Mikeli, N.H. Evaluation of three novel diatomaceous earths against three stored-grain beetle species on wheat and maize. Crop Prot. 2015, 75, 132–138. [Google Scholar] [CrossRef]
- Boukouvala, M.C.; Kavallieratos, N.G.; Athanassiou, C.G.; Losic, D.; Hadjiarapoglou, L.P.; Elemes, Y. Laboratory evaluation of five novel pyrrole derivatives as grain protectants against Trobolium confusum and Ephestia kuehniella larvae. J. Pest. Sci. 2017, 90, 569–585. [Google Scholar] [CrossRef]
- Boukouvala, M.C.; Kavallieratos, N.G.; Athanassiou, C.G.; Benelli, G.; Hadjiarapoglou, L.P. Insecticidal efficacy of six new pyrrole derivatives against four stored-product pests. Environ. Sci. Pollut. Res. 2019, 26, 29845–29856. [Google Scholar] [CrossRef]
- Scheff, D.S.; Subramanyam, B.H.; Arthur, F.H. Effect of methoprene treated polymer packaging on fecundity, egg, hatchability, and egg-to-adult emergence of Tribolium castaneum and Trogoderma variabile. J. Stored Prod. Res. 2016, 69, 227–234. [Google Scholar] [CrossRef]


| Technical Characteristics | Types of Bag Materials | |||
|---|---|---|---|---|
| Woven Polypropylene Bag | Biaxially Oriented Polypropylene Bag | Kraft Paper Bag (Outside White Pressed Kraft Paper) | Kraft Paper Bag (Inside Brown Extensible Kraft Paper) | |
| Thickness | 100 μm | 70 μm | 100 μm | 100 μm |
| Weight | 47.8 g/m2 | 27.3 g/m2 | 70 g/m2 | 70 g/m2 |
| Strength | 44.3 kgf (warp)/ 40.2 kgf (weft) | >10 (N/15 mm) (seal) | 5.6 kN/m (MD)/ 4.1 kN/m (CD) (tensile) | 6.3 kN/m (MD)/ 3.9 kN/m (CD) (tensile) |
| Model | Gaussian Model | Binomial Model | Quasi-Binomial Model | |||
|---|---|---|---|---|---|---|
| D | p | D | p | D | p | |
| Model 1 (Null Model) | −16,132 | ---- | 6025.5 | ---- | 5014.8 | ---- |
| Model 2 (insecticide) | −16,724 | * | 5873.7 | * | 4750.8 | * |
| Model 3 (Model 2 + insect species) | −16,801 | * | 5746.4 | * | 4733.8 | * |
| Model 4 (Model 3 + surface type) | −16,816 | * | 5742.4 | n.s. | 4730.5 | n.s. |
| Model 5 (Model 4 + treatment) | −16,903 | * | 5699.9 | * | 4711.7 | * |
| Model 6 (Model 5 + dose) | −16,971 | * | 5677.4 | * | 4698.3 | * |
| MSPE | 0.0212 | 0.0217 | 0.0132 | |||
| Covariate | Estimate | 95% Confidence Intervals |
|---|---|---|
| Intercept | 1.954 | (−2.043, −1.867) |
| Insecticide (ref. category: Thiamethoxam) | ||
| Pirimiphos-methyl | 0.141 | (0.067, 0.214) |
| Alpha-cypermethrin | −0.078 | (−0.155, −0.002) |
| Deltamethrin | −0.001 | (−0.077, 0.074) |
| Control | −3.344 | (−3.875, −2.889) |
| Insect (Ref. category: T. confusum) | ||
| E. kuehniella | −0.203 | (−0.256, −0.150) |
| Dose (Ref. category: 0.025 mg (a.i.)/cm2) | ||
| 0.05 mg (a.i.)/cm2 | 0.080 | (0.014, 0.147) |
| 0.10 mg (a.i.)/cm2 | 0.217 | (0.152, 0.282) |
| Surface (Ref. category: one surface is treated, insects were exposed to treated surface) | ||
| One surface is treated, insects were exposed to untreated surface | −0.195 | (−0.261, −0.129) |
| Both surfaces were treated | 0.057 | (−0.006, 0.120) |
| Exposure (variance of random effect) | 0.012 | |
Publisher’s Note: MDPI stays neutral with regard to jurisdictional claims in published maps and institutional affiliations. |
© 2021 by the authors. Licensee MDPI, Basel, Switzerland. This article is an open access article distributed under the terms and conditions of the Creative Commons Attribution (CC BY) license (http://creativecommons.org/licenses/by/4.0/).
Share and Cite
Papanikolaou, N.E.; Kavallieratos, N.G.; Boukouvala, M.C.; Malesios, C. (Quasi)-Binomial vs. Gaussian Models to Evaluate Thiamethoxam, Pirimiphos-Methyl, Alpha-Cypermethrin and Deltamethrin on Different Types of Storage Bag Materials Against Ephestia kuehniella Zeller (Lepidoptera: Pyralidae) and Tribolium confusum Jacquelin du Val (Coleoptera: Tenebrionidae). Insects 2021, 12, 182. https://doi.org/10.3390/insects12020182
Papanikolaou NE, Kavallieratos NG, Boukouvala MC, Malesios C. (Quasi)-Binomial vs. Gaussian Models to Evaluate Thiamethoxam, Pirimiphos-Methyl, Alpha-Cypermethrin and Deltamethrin on Different Types of Storage Bag Materials Against Ephestia kuehniella Zeller (Lepidoptera: Pyralidae) and Tribolium confusum Jacquelin du Val (Coleoptera: Tenebrionidae). Insects. 2021; 12(2):182. https://doi.org/10.3390/insects12020182
Chicago/Turabian StylePapanikolaou, Nikos E., Nickolas G. Kavallieratos, Maria C. Boukouvala, and Chrisovalantis Malesios. 2021. "(Quasi)-Binomial vs. Gaussian Models to Evaluate Thiamethoxam, Pirimiphos-Methyl, Alpha-Cypermethrin and Deltamethrin on Different Types of Storage Bag Materials Against Ephestia kuehniella Zeller (Lepidoptera: Pyralidae) and Tribolium confusum Jacquelin du Val (Coleoptera: Tenebrionidae)" Insects 12, no. 2: 182. https://doi.org/10.3390/insects12020182
APA StylePapanikolaou, N. E., Kavallieratos, N. G., Boukouvala, M. C., & Malesios, C. (2021). (Quasi)-Binomial vs. Gaussian Models to Evaluate Thiamethoxam, Pirimiphos-Methyl, Alpha-Cypermethrin and Deltamethrin on Different Types of Storage Bag Materials Against Ephestia kuehniella Zeller (Lepidoptera: Pyralidae) and Tribolium confusum Jacquelin du Val (Coleoptera: Tenebrionidae). Insects, 12(2), 182. https://doi.org/10.3390/insects12020182

