Expression Patterns, Molecular Characterization, and Response to Host Stress of CYP Genes from Phenacoccus solenopsis (Hemiptera: Pseudococcidae)
Abstract
1. Introduction
2. Materials and Methods
2.1. Host Plants and Insects
2.2. Extraction of RNA and Preparation of RNA-Seq Libraries
2.3. De Novo Assembly of Unigenes Annotation, and Functional Classification
2.4. Bioinformatics Analyses
2.5. Quantitative Real-Time PCR
3. Results
3.1. Assembly and Annotation of Unigenes
3.2. GO, KEGG, and eggNOG Classification
3.3. Identification of Cytochrome P450 Monooxygenases Genes in P. solenopsis
3.4. P. solenopsis P450s Sequence Analysis
3.5. Phylogenetic Analysis of P450s from P. solenopsis
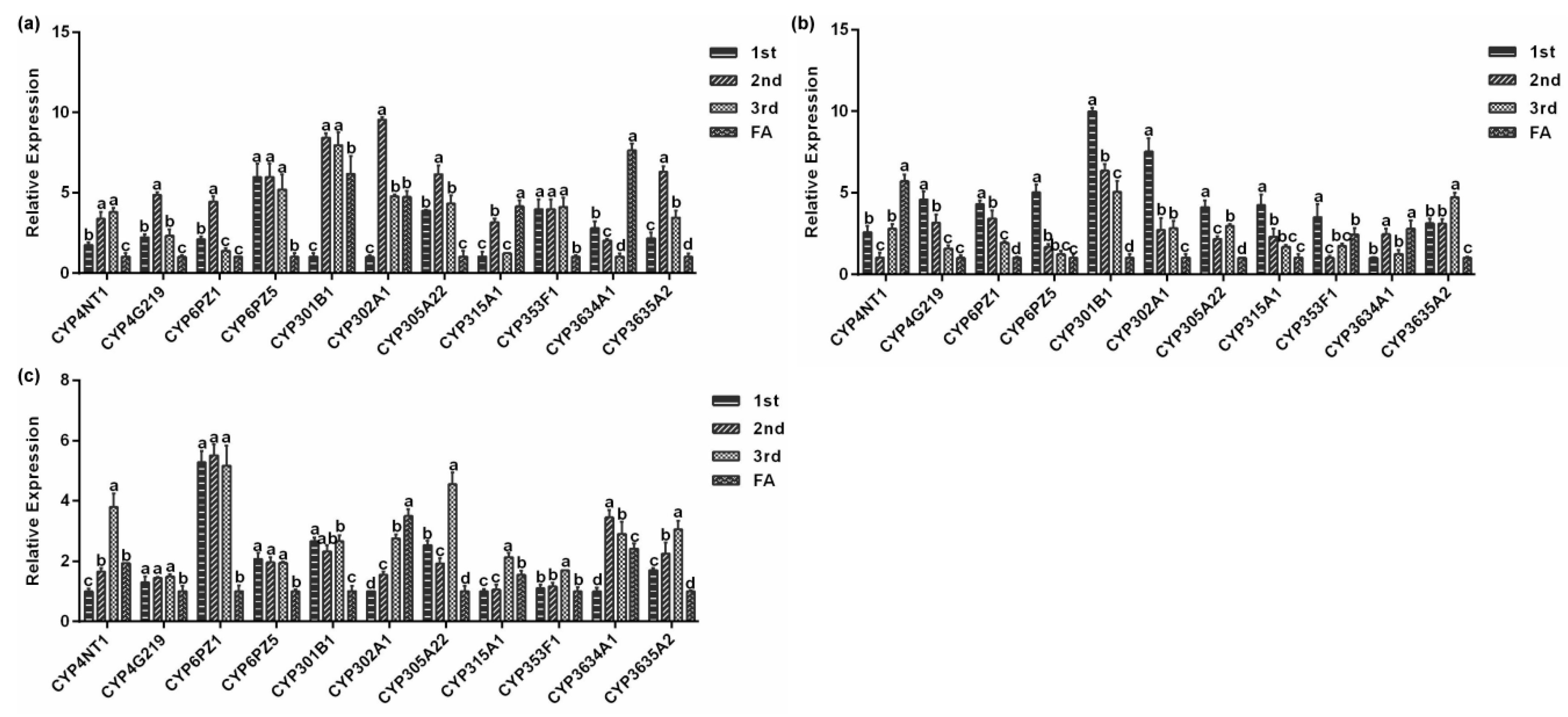
3.6. Expression of P450s after P. solenopsis Feeding on Three Host Plants
4. Discussion
5. Conclusions
Supplementary Materials
Author Contributions
Funding
Conflicts of Interest
References
- Riveravega, L.J.; Galbraith, D.A.; Grozinger, C.M.; Felton, G.W. Host plant driven transcriptome plasticity in the salivary glands of the cabbage looper (Trichoplusia ni). PLoS ONE 2017, 12, e0182636. [Google Scholar]
- Karban, R.; Agrawa, A.A.; Mangel, M. The benefits of induced defenses against herbivores. Ecology 1997, 78, 1351. [Google Scholar] [CrossRef]
- Walling, L.L. The Myriad plant responses to herbivores. J. Plant Growth Regul. 2000, 19, 195–216. [Google Scholar] [PubMed]
- Dussourd, D.E.; Denno, R.F. Host range of generalist caterpillars: Trenching permits feeding on plants with secretory canals. Ecology 1994, 75, 69–78. [Google Scholar] [CrossRef]
- Musser, R.O.; Hum-Musser, S.M.; Eichenseer, H.; Peiffer, M.; Ervin, G.; Murphy, J.B.; Felton, G.W. Herbivory: Caterpillar saliva beats plant defences. Nature 2002, 416, 599. [Google Scholar] [CrossRef] [PubMed]
- Wu, S.; Peiffer, M.; Luthe, D.S.; Felton, G.W. ATP hydrolyzing salivary enzymes of caterpillars suppress plant defenses. PLoS ONE 2012, 7, e41947. [Google Scholar] [CrossRef]
- Zhusalzman, K.; Bi, J.L.; Liu, T.X. Molecular strategies of plant defense and insect counter-defense. Insect Sci. 2010, 12, 3–15. [Google Scholar] [CrossRef]
- Nathan, S.S.; Choi, M.Y.; Paik, C.H.; Seo, H.Y. Food consumption, utilization, and detoxification enzyme activity of the rice leaffolder larvae after treatment with Dysoxylum triterpenes. Pestic. Biochem. Physiol. 2007, 88, 260–267. [Google Scholar] [CrossRef]
- Heidel-Fischer, H.M.; Vogel, H. Molecular mechanisms of insect adaptation to plant secondary compounds. Curr. Opin. Insect Sci. 2015, 8, 8–14. [Google Scholar] [CrossRef]
- Li, X.; Schuler, M.A.; Berenbaum, M.R. Molecular mechanisms of metabolic resistance to synthetic and natural xenobiotics. Annu. Rev. Entomol. 2007, 52, 231–253. [Google Scholar] [CrossRef]
- Laurence, D.; David, J.P.; Gallet, C. The evolutionary ecology of insect resistance to plant chemicals. Trends Ecol. Evol. 2007, 22, 1–307. [Google Scholar]
- Feyereisen, R. Insect CYP genes and P450 enzymes. In Insect Molecular Biology and Biochemistry; Gilbert, L.I., Ed.; Elsevier: Amsterdam, NY, USA, 2012; pp. 236–316. [Google Scholar]
- Mao, W.; Schuler, M.A.; Berenbaum, M.R. Cytochrome P450s in Papilio multicaudatus and the transition from oligophagy to polyphagy in the Papilionidae. Insect Mol. Biol. 2010, 16, 481–490. [Google Scholar] [CrossRef] [PubMed]
- Snyder, M.J.; Stevens, J.L.; Andersen, J.F.; Feyereisen, R. Expression of cytochrome P450 genes of the CYP4 family in midgut and fat body of the tobacco Hornworm, Manduca sexta. Arch. Biochem. 1995, 321, 1–20. [Google Scholar] [CrossRef] [PubMed]
- Danielson, P.B.; MacIntyre, R.J.; Fogleman, J.C. Molecular cloning of a family of xenobiotic-inducible drosophilid cytochrome P450s: Evidence for involvement in host-plant allelochemical resistance. Proc. Natl. Acad. Sci. USA 1997, 94, 10797–10802. [Google Scholar] [CrossRef] [PubMed]
- Ranasinghe, C.; Headlam, M.; Hobbs, A.A. Induction of the mRNA for CYP6B2, a pyrethroid inducible cytochrome P450, in Helicoverpa armigera (Hubner) by dietary monoterpenes. Arch. Insect Biochem. Physiol. 1997, 34, 99–109. [Google Scholar] [CrossRef]
- Li, X.; Berenbaum, M.R.; Schuler, M.A. Molecular cloning and expression of CYP6B8: A xanthotoxin-inducible Cytochrome P450 cDNA from Helicoverpa zea. Insect Biochem. Mol. Biol. 2000, 30, 75–84. [Google Scholar] [CrossRef]
- Kostal, V.; Finch, S. Influence of background on host-plant selection and subsequent oviposition by the cabbage root fly (Delia radium). Entomol. Exp. Appl. 1994, 70, 153–163. [Google Scholar] [CrossRef]
- Feyereisen, R. Insect P450 enzymes. Ann. Rev. Entomol. 1999, 44, 507–533. [Google Scholar] [CrossRef]
- Scott, J.G.; Wen, Z. Cytochromes P450 of insects: The tip of the iceberg. Pest. Manag. Sci. 2001, 57, 958–967. [Google Scholar] [CrossRef]
- Franco, J.C.; Zada, A.; Mendel, Z. Novel Approaches for the Management of Mealybug Pests. In Biorational Control of Arthropod Pests; Springer: Dordrecht, The Netherlands, 2009; pp. 233–278. [Google Scholar]
- Miller, D.R.; Miller, G.L.; Watson, G.W. Invasive species of mealybugs (Hemiptera: Pseudococcidae) and their threat to U.S. agriculture. Proc. Entomol. Soc. Wash. 2002, 104, 825–836. [Google Scholar]
- Shahzad-Afzal, M.B.; Shad, S.A. Resistance inheritance and mechanism to emamectin benzoate in Phenacoccus solenopsis (Homoptera: Pseudococcidae). Crop Prot. 2015, 71, 60–65. [Google Scholar] [CrossRef]
- Jhala, R.C.; Bharpoda, T.M.; Patel, M.G. Phenacoccus solenopsis Tinsley (Hemiptera: Pseudococcidae), the mealy bug species recorded first time on cotton and its alternate host plants in Gujarat, India. Uttar Pradesh J. Zool. 2008, 28, 403–406. [Google Scholar]
- Wang, Y.; Wu, S.; Zhang, R. Pest risk analysis of a new invasive pest, Phenacoccus solenopsis, to China. Chin. Bull. Entomol. 2009, 46, 101–106. [Google Scholar]
- Saeed, S.; Ahmad, M.; Ahmad, M.; Kwon, Y.J. Insecticidal control of the mealybug Phenacoccus gossypiphilous (Hemiptera: Pseudococcidae), a new pest of cotton in Pakistan. Entomol. Res. 2007, 37, 76–80. [Google Scholar] [CrossRef]
- Martin, M. Cutadapt removes adapter sequences from high-throughput sequencing reads. EMBnet. J. 2011, 17, 10–12. [Google Scholar] [CrossRef]
- Manfred, G.G.; Brian, J.H.; Moran, Y.; Joshua, Z.L.; Dawn, A.T.; Ido, A.; Xian, A.; Lin, F.; Raktima, R.; Zeng, Q.D.; et al. Full-length transcriptome assembly from RNA-seq data without a reference genome. Nat. Biotechnol. 2011, 29, 644–652. [Google Scholar]
- Buchfink, B.; Xie, C.; Huson, D.H. Fast and sensitive protein alignment using diamond. Nat. Methods 2014, 12, 59–60. [Google Scholar] [CrossRef] [PubMed]
- Kumar, S.; Stecher, G.; Tamura, K. Mega7: Molecular evolutionary genetics analysis version 7.0 for bigger datasets. Mol. Biol. Evol. 2016, 33, 1870–1874. [Google Scholar] [CrossRef]
- Tang, Q.Y.; Zhang, C.X. Data Processing System (DPS) software with experimental design, statistical analysis and data mining developed for use in entomological research. Insect Sci. 2013, 20, 254–260. [Google Scholar] [CrossRef]
- Saddiq, B.; Ejaz, M.; Shad, S.A.; Aslam, M. Assessing the combined toxicity of conventional and newer insecticides on the cotton mealybug Phenacoccus solenopsis. Ecotoxicology 2017, 26, 1240–1249. [Google Scholar] [CrossRef]
- Schwarz, D.; Hugh, M.R.; Jeffrey, L.F.; Kranthi, V.; Matthew, E.H.; Gregory, J.R.; Daniel, A.H.; Stewart, H.B. Sympatric ecological speciation meets pyrosequencing: Sampling the transcriptome of the apple maggot Rhagoletis pomonella. BMC Genom. 2009, 10, 633. [Google Scholar] [CrossRef] [PubMed]
- Oakeshott, J.G.; Johnson, R.M.; Berenbaum, M.R.; Ranson, H.; Cristino, A.S.; Claudianos, C. Metabolic enzymes associated with xenobiotic and chemosensory responses in Nasonia vitripennis. Insect Mol. Biol. 2010, 19 (Suppl. S1), 147–163. [Google Scholar] [CrossRef] [PubMed]
- Zhu, F.; Moural, T.W.; Shah, K.; Palli, S.R. Integrated analysis of cytochrome P450 gene superfamily in the red flour beetle, Tribolium castaneum. BMC Genom. 2013, 14, 174. [Google Scholar] [CrossRef] [PubMed]
- Liu, S.; Rao, X.J.; Li, M.Y.; Feng, M.F.; He, M.Z.; Li, S.G. Identification of candidate chemosensory genes in the antennal transcriptome of Tenebrio molitor (Coleoptera: Tenebrionidae). Comp. Biochem. Physiol. Part D Genom. Proteom. 2015, 13, 44–51. [Google Scholar] [CrossRef] [PubMed]
- Li, G.; Du, J.; Li, Y.; Wu, J. Identification of putative olfactory genes from the oriental fruit moth Grapholita molesta via an antennal transcriptome analysis. PLoS ONE 2015, 10, e0142193. [Google Scholar] [CrossRef] [PubMed][Green Version]
- Wang, X.W.; Luan, J.B.; Li, J.M.; Bao, Y.Y.; Zhang, C.X.; Liu, S.S. De novo characterization of a whitefly transcriptome and analysis of its gene expression during development. BMC Genom. 2011, 11, 400. [Google Scholar] [CrossRef] [PubMed]
- Qi, L.; Fang, Q.; Zhao, L.; Xia, H.; Zhou, Y.; Xiao, J.; Li, K.; Ye, G. De novo assembly and developmental transcriptome analysis of the small white butterfly Pieris rapae. PLoS ONE 2016, 11, e0159258. [Google Scholar] [CrossRef] [PubMed]
- Schuler, M.A. P450s in plant–insect interactions. Biochim. Biophys. Acta Proteins Proteom. 2011, 1814, 36–45. [Google Scholar] [CrossRef]
- Chung, H.; Sztal, T.; Pasricha, S.; Sridhar, M.; Batterham, P.; Daborn, P.J. Characterization of Drosophila melanogaster cytochrome P450 genes. Proc. Natl. Acad. Sci. USA 2009, 106, 5731–5736. [Google Scholar] [CrossRef]
- Omprakash, M.; Jonathan, J.N.; Richard, H.S. Differential expression of two cytochrome P450 genes in compatible and incompatible Hessian fly/wheat interactions. Insect Biochem. Mol. Biol. 2005, 35, 981–989. [Google Scholar]
- Zhang, Y.; Kulye, M.; Yang, F.; Xiao, L.; Zhang, Y.; Zeng, H.; Wang, J.; Liu, Z. Identification, characterization, and expression of a novel P450 gene encoding CYP6AE25 from the Asian corn borer, Ostrinia furnacalis. J. Insect Sci. 2011, 11, 37. [Google Scholar] [CrossRef] [PubMed]
- Zhu, F.; Li, T.; Zhang, L.; Liu, N. Co-up-regulation of three P450 genes in response to permethrin exposure in permethrin resistant house flies, Musca domestica. BMC Physiol. 2008, 8, 18. [Google Scholar] [CrossRef] [PubMed]
- Li, X.; Berenbaum, M.R.; Schuler, M.A. Plant allelochemicals differentially regulate Helicoverpa zea cytochrome P450 genes. Insect Mol. Biol. 2010, 11, 343–351. [Google Scholar] [CrossRef]
- Stipanovic, R.D.; Lopez, J.D.; Dowd, M.K.; Lorraine, S.P.; Sara, E. Duke effect of racemic and (+)- and (−)- Gossypol on the survival and development of Helicoverpa zea Larvae. J. Chem. Ecol. 2006, 32, 959–968. [Google Scholar] [CrossRef] [PubMed]
- Tao, X.Y.; Xue, X.Y.; Huang, Y.P.; Chen, X.Y.; Mao, Y.B. Gossypol-enhanced P450 gene pool contributes to cotton bollworm tolerance to a pyrethroid insecticide. Mol. Ecol. 2012, 21, 4371–4385. [Google Scholar] [CrossRef]
- Li, F.; Liu, X.N.; Zhu, Y.; Ma, J.; Liu, N.; Yang, J.H. Identification of the 2-tridecanone responsive region in the promoter of cytochrome P450 CYP6B6 of the cotton bollworm, Helicoverpa armigera (Lepidoptera: Noctuidae). Bull. Entomol. Res. 2014, 104, 801–808. [Google Scholar] [CrossRef] [PubMed]







| Gene Name | Primers (5′–3′) | Product Size (bp) | GenBank Accession Number |
|---|---|---|---|
| CYP315A1 | F: ACCGTTCATTGCTCGCTATT R: CCCATACGGCAAAGTAGCAT | 211 | MK862557 |
| CYP302A1 | F: TGGCAGCGGATATGTTATTG R: TCCTCGGTTATCGTGGATTC | 151 | MK862558 |
| CYP6PZ1 | F: TGCATAGCTGAACGATTTGC R: AGCCAAATGCCATTACGAAC | 153 | MK862559 |
| CYP301B1 | F: AGAAAAACCACATCCGTTCG R: GGCTGGACGCTATATTCGAG | 162 | MK862560 |
| CYP4G219 | F: TCGCCAGAATACAGGCTCTT R: TGCACGTCGAATTCTCTGTC | 203 | MK862561 |
| CYP4NT1 | F: CAGGACAAAAATGGCATTCA R: TGGGAATGAAGCTGGTATCC | 217 | MK862562 |
| CYP305A22 | F: GAAGCGTTGCTCCTTGAATC R: TTGCTGGTCGTAGTGAATCG | 153 | MK862563 |
| CYP3635A2 | F: CTCCCAGATGGTTTTGTCGT R: CTCCGAAAGGCAGAAAACAG | 166 | MK862564 |
| CYP3634A1 | F: ATTGTTTACTGGTCCAATGC R: TCGTTCCAATCTAATTCCAC | 237 | MK862565 |
| CYP353F1 | F: CCCGGTCAAAGTTTTGTCAT R: TCATCAACAACGGCGATAAG | 199 | MK862566 |
| CYP6PZ5 | F: CCGGAACATTTTACCGAAGA R: AGTTCGCATTTCAGCCAGAT | 242 | MK862567 |
| α-Tubulin | F: CTGGTAAACACGTTCCCCGAG R: TGTAATGACCGCGAGCGTAG | 152 | KJ909508 |
| NO. | Clan/Gene Name | Protein Size (aa) | Gene Length (bp) | GenBank Accession Number |
|---|---|---|---|---|
| CYP2 clan (3) | ||||
| 1 | PsCYP18A1 | 532 | 2343 | MK875641 |
| 2 | PsCYP303A1 | 500 | 1944 | MK875642 |
| 3 | PsΥCYP305A22 * | 516 | 1948 | MK862563 |
| CYP3 clan (14) | ||||
| 4 | PsCYP6PU1 | 521 | 1834 | MK875659 |
| 5 | PsCYP6PV1 * | 481 | 1608 | MK875647 |
| 6 | PsCYP6PW1 * | 510 | 1613 | MK875662 |
| 7 | PsCYP6PX1 | 513 | 1756 | MK875659 |
| 8 | PsCYP6PY1 | 523 | 1699 | MK875653 |
| 9 | PsCYP6PZ1 | 478 | 1901 | MK862559 |
| 10 | PsCYP6PZ2 * | 529 | 1748 | MK875651 |
| 11 | PsCYP6PZ3 * | 536 | 1804 | MK875658 |
| 12 | PsCYP6PZ4 * | 525 | 1643 | MK875646 |
| 13 | PsCYP6PZ5 | 526 | 3247 | MK862567 |
| 14 | PsCYP6PZ6 * | 512 | 1814 | MK875664 |
| 15 | PsCYP6QA1 | 496 | 1718 | MK875656 |
| 16 | PsCYP6QB1 | 515 | 1868 | MK875661 |
| 17 | PsCYP6QD1 * | 343 | 1044 | MK875657 |
| CYP4 clan (7) | ||||
| 18 | PsCYP4G219 | 576 | 2425 | MK862561 |
| 19 | PsCYP4NT1 | 514 | 1747 | MK862562 |
| 20 | PsCYP4NU1 | 487 | 2550 | MK875655 |
| 21 | PsCYP4NV1 | 497 | 1759 | MK875652 |
| 22 | PsCYP4NV2* | 470 | 1506 | MK875645 |
| 23 | PsCYP380C41 | 514 | 1763 | MK875643 |
| 24 | PsCYP380H1 | 531 | 1664 | MK875665 |
| Mito. Clan (5) | ||||
| 25 | PsCYP301A1 | 436 | 1569 | MK875648 |
| 26 | PsCYP301B1 | 529 | 2167 | MK862560 |
| 27 | PsCYP302A1 | 490 | 1596 | MK862558 |
| 28 | PsCYP315A1 | 470 | 2242 | MK862557 |
| 29 | PsCYP353F1 | 457 | 1593 | MK86256 |
| New Clan (8) | ||||
| 30 | PsCYP3633A1 | 500 | 1944 | MK875654 |
| 31 | PsCYP3633A2 * | 500 | 1620 | MK875663 |
| 32 | PsCYP3634A1 | 520 | 2021 | MK862565 |
| 33 | PsCYP3635A2 | 496 | 1636 | MK862564 |
| 34 | PsCYP3636A1 | 504 | 3678 | MK875644 |
| 35 | PsCYP3638A1 | 502 | 1824 | MK875649 |
| 36 | PsCYP3638A2 | 514 | 1925 | MK875650 |
| 37 | PsCYP3638B1 | 478 | 1647 | MK875640 |
| Gene Name | cDNA Full Length (bp) | Length of 5′ UTR (bp) | Length of 3′ UTR (bp) | Isoelectric Point |
|---|---|---|---|---|
| PsCYP4NT1 | 1747 | 30 | 175 | 8.54 |
| PsCYP4G219 | 2425 | 270 | 427 | 7.64 |
| PsCYP6PZ1 | 1901 | 176 | 291 | 8.88 |
| PsCYP6PZ5 | 3247 | 69 | 1600 | 8.87 |
| PsCYP301B1 | 2167 | 154 | 416 | 9.21 |
| PsCYP302A1 | 1596 | 36 | 90 | 9.24 |
| PsCYP305A22 | 1948 | 0 | 400 | 8.74 |
| PsCYP315A1 | 2242 | 381 | 451 | 8.99 |
| PsCYP353F1 | 1593 | 177 | 45 | 9.29 |
| PsCYP3634A1 | 2021 | 97 | 364 | 8.41 |
| PsCYP3635A2 | 1636 | 51 | 97 | 8.42 |
© 2019 by the authors. Licensee MDPI, Basel, Switzerland. This article is an open access article distributed under the terms and conditions of the Creative Commons Attribution (CC BY) license (http://creativecommons.org/licenses/by/4.0/).
Share and Cite
Xi, L.; Liu, D.; Ma, L.; Zhang, Y.; Sheng, R.; Zhang, S.; Dang, X.; Li, G.; Miao, Y.; Jiang, J. Expression Patterns, Molecular Characterization, and Response to Host Stress of CYP Genes from Phenacoccus solenopsis (Hemiptera: Pseudococcidae). Insects 2019, 10, 264. https://doi.org/10.3390/insects10090264
Xi L, Liu D, Ma L, Zhang Y, Sheng R, Zhang S, Dang X, Li G, Miao Y, Jiang J. Expression Patterns, Molecular Characterization, and Response to Host Stress of CYP Genes from Phenacoccus solenopsis (Hemiptera: Pseudococcidae). Insects. 2019; 10(9):264. https://doi.org/10.3390/insects10090264
Chicago/Turabian StyleXi, Lingyu, Dan Liu, Lei Ma, Ying Zhang, Ruirui Sheng, Shaobing Zhang, Xiangli Dang, Guiting Li, Yong Miao, and Junqi Jiang. 2019. "Expression Patterns, Molecular Characterization, and Response to Host Stress of CYP Genes from Phenacoccus solenopsis (Hemiptera: Pseudococcidae)" Insects 10, no. 9: 264. https://doi.org/10.3390/insects10090264
APA StyleXi, L., Liu, D., Ma, L., Zhang, Y., Sheng, R., Zhang, S., Dang, X., Li, G., Miao, Y., & Jiang, J. (2019). Expression Patterns, Molecular Characterization, and Response to Host Stress of CYP Genes from Phenacoccus solenopsis (Hemiptera: Pseudococcidae). Insects, 10(9), 264. https://doi.org/10.3390/insects10090264

