A Numerical Model for the Analysis of the Bearings of a Diesel Engine Subjected to Conditions of Wear and Misalignment
Abstract
1. Introduction
2. Materials and Methods
2.1. Lubrication Film Thickness
2.2. Reynolds Equation
2.3. Dynamic Forces on the Bearing
2.4. Bearing Wear Model
2.5. Contact Model
2.6. Lubricant Properties
3. Numerical Procedure
4. Results
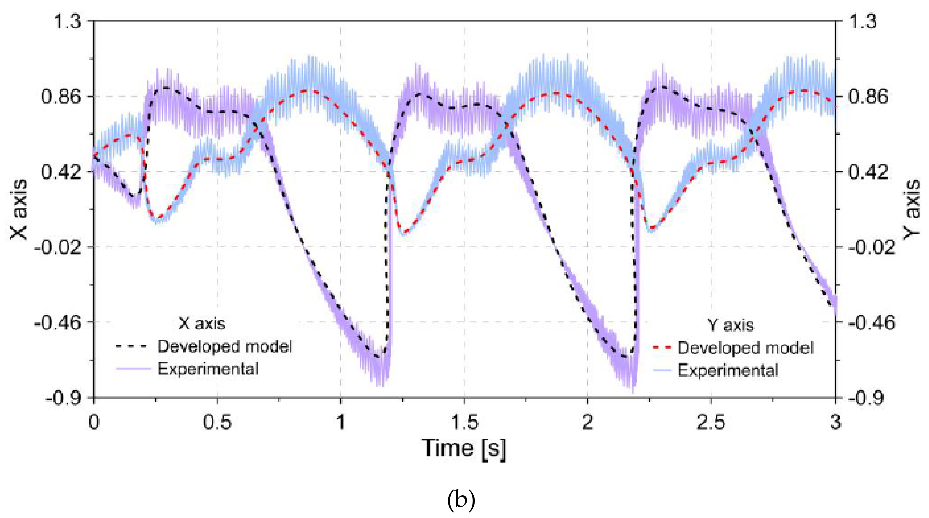
4.1. Bearing Journal Movement
4.2. Eccentricity Variation
4.3. Wear Rate and Depth
4.4. Movement of Bearing Ends
4.5. Bearing Parameters as a Function of Load
4.6. Deflection Angle Effect
5. Discussion
6. Conclusions
Author Contributions
Funding
Acknowledgments
Conflicts of Interest
Abbreviations
| Nomenclature | |
| Eccentricity in the mid-plane of the bearing | |
| Length of the projection of the misaligned journal on the mid-plane | |
| Length of the bearing | |
| Bearing radial clearance | |
| Depth of wear | |
| Degree of the misalignment | |
| Viscosity functions | |
| Viscosity lubricant | |
| Shaft speed | |
| Binary parameter | |
| Dimensionless speed | |
| Aspect ratio | |
| Journal radius | |
| Mass of the journal | |
| Force | |
| Moment | |
| Dimensionless hydrodynamic pressure | |
| Hertz elastic modulus | |
| Wear coefficient | |
| Sliding distance | |
| Hardness | |
| Load | |
| Hardness coefficient | |
| Number of asperities per unit area | |
| Greek Letters | |
| Bearing angle | |
| Misalignment angle | |
| Attitude angle between the line of centers and the Y-axis | |
| Depth of wear | |
| Misalignment eccentricity ratio | |
| Bulk modulus of the lubricant | |
| Fractional film content | |
| Wear volume | |
| Density | |
| Plasticity index | |
| Asperity radius | |
| Mean of asperity heights | |
| Poisson’s ratio | |
| Coefficient of thermal expansion | |
| Constant model | |
| Thermo-viscosity coefficient | |
| Atmospheric piezo-viscosity | |
References
- Valencia, G.; Duarte, J.; Isaza-Roldan, C. Thermoeconomic Analysis of Different Exhaust Waste-Heat Recovery Systems for Natural Gas Engine Based on ORC. Appl. Sci. 2019, 9, 4017. [Google Scholar] [CrossRef]
- Forero, J.D.; Ochoa, G.V.; Alvarado, W.P. Study of the Piston Secondary Movement on the Tribological Performance of a Single Cylinder Low-Displacement Diesel Engine. Lubricants 2020, 8, 97. [Google Scholar] [CrossRef]
- Forero, J.D.; Ochoa, G.V.; Rojas, J.P. Effect of the Geometric Profile of Top Ring on the Tribological Characteristics of a Low-Displacement Diesel Engine. Lubricants 2020, 8, 83. [Google Scholar] [CrossRef]
- Bergmann, P.; Grün, F.; Summer, F.; Gódor, I. Evaluation of Wear Phenomena of Journal Bearings by Close to Component Testing and Application of a Numerical Wear Assessment. Lubricants 2018, 6, 65. [Google Scholar] [CrossRef]
- Jang, J.Y.; Khonsari, M.M. On the Characteristics of Misaligned Journal Bearings. Lubricants 2015, 3, 27–53. [Google Scholar] [CrossRef]
- Jang, J.; Khonsari, M. Performance and characterization of dynamically-loaded engine bearings with provision for misalignment. Tribol. Int. 2019, 130, 387–399. [Google Scholar] [CrossRef]
- Obregon, L.; Valencia, G.; Forero, J.D. Efficiency Optimization Study of a Centrifugal Pump for Industrial Dredging Applications Using CFD. Int. Rev. Model. Simul. 2019, 12, 245. [Google Scholar] [CrossRef]
- Orozco, T.; Herrera, M.; Forero, J.D. CFD Study of Heat Exchangers Applied in Brayton Cycles: A Case Study in Supercritical Condition Using Carbon Dioxide as Working Fluid. Int. Rev. Model. Simul. 2019, 12, 72–82. [Google Scholar] [CrossRef]
- Orozco, W.; Acuña, N.; Forero, J.D. Characterization of Emissions in Low Displacement Diesel Engines Using Biodiesel and Energy Recovery System. Int. Rev. Mech. Eng. 2017, 13, 420. [Google Scholar] [CrossRef]
- Chasalevris, A.; Dohnal, F.; Chatzisavvas, I. Experimental detection of additional harmonics due to wear in journal bearings using excitation from a magnetic bearing. Tribol. Int. 2014, 71, 158–167. [Google Scholar] [CrossRef]
- Beheshti, A.; Khonsari, M. An engineering approach for the prediction of wear in mixed lubricated contacts. Wear 2013, 308, 121–131. [Google Scholar] [CrossRef]
- De La Hoz, J.S.; Valencia, G.; Forero, J.D. Reynolds Averaged Navier–Stokes Simulations of the Airflow in a Centrifugal Fan Using OpenFOAM. Int. Rev. Model. Simul. 2019, 12, 230. [Google Scholar] [CrossRef]
- Ochoa, G.V.; Isaza-Roldan, C.; Forero, J.D. Economic and Exergo-Advance Analysis of a Waste Heat Recovery System Based on Regenerative Organic Rankine Cycle under Organic Fluids with Low Global Warming Potential. Energies 2020, 13, 1317. [Google Scholar] [CrossRef]
- Consuegra, F.; Bula, A.; Guillín, W.; Sánchez, J.; Forero, J.D. Instantaneous in-Cylinder Volume Considering Deformation and Clearance due to Lubricating Film in Reciprocating Internal Combustion Engines. Energies 2019, 12, 1437. [Google Scholar] [CrossRef]
- Diaz, G.A.; Forero, J.D.; Garcia, J.; Rincon, A.; Fontalvo, A.; Bula, A.J.; Padilla, R.V. Maximum Power From Fluid Flow by Applying the First and Second Laws of Thermodynamics. J. Energy Resour. Technol. 2017, 139, 032903. [Google Scholar] [CrossRef]
- Nabhan, A.; Rashed, A.; Ghazaly, N.M.; Abdo, J.; Haneef, M.D. Tribological Properties of Al2O3 Nanoparticles as Lithium Grease Additives. Lubricants 2021, 9, 9. [Google Scholar] [CrossRef]
- Aghdam, A.; Khonsari, M. Prediction of wear in grease-lubricated oscillatory journal bearings via energy-based approach. Wear 2014, 318, 188–201. [Google Scholar] [CrossRef]
- Chun, S.M.; Khonsari, M.M. Wear simulation for the journal bearings operating under aligned shaft and steady load during start-up and coast-down conditions. Tribol. Int. 2016, 97, 440–466. [Google Scholar] [CrossRef]
- Sander, D.E.; Allmaier, H.; Priebsch, H.; Reich, F.; Witt, M.; Skiadas, A.; Knaus, O. Edge loading and running-in wear in dynamically loaded journal bearings. Tribol. Int. 2015, 92, 395–403. [Google Scholar] [CrossRef]
- Jia, H.; Li, J.; Wang, J.; Xiang, G.; Xiao, K.; Han, Y. Micropitting Fatigue Wear Simulation in Conformal-Contact Under Mixed Elastohydrodynamic Lubrication. J. Tribol. 2019, 141, 061501-27. [Google Scholar] [CrossRef]
- Gu, C.; Meng, X.; Wang, S.; Ding, X. Modeling a Hydrodynamic Bearing With Provision for Misalignments and Textures. J. Tribol. 2019, 142, 1–29. [Google Scholar] [CrossRef]
- Li, L.; Zhang, D.; Xie, Y. Effect of misalignment on the dynamic characteristic of MEMS gas bearing considering rarefaction effect. Tribol. Int. 2019, 139, 22–35. [Google Scholar] [CrossRef]
- Li, B.; Sun, J.; Zhu, S.; Fu, Y.; Zhao, X.; Wang, H.; Teng, Q.; Ren, Y.; Li, Y.; Zhu, G. Thermohydrodynamic lubrication analysis of misaligned journal bearing considering the axial movement of journal. Tribol. Int. 2019, 135, 397–407. [Google Scholar] [CrossRef]
- Zhu, S.; Sun, J.; Li, B.; Zhu, G. Thermal turbulent lubrication analysis of rough surface journal bearing with journal misalignment. Tribol. Int. 2020, 144, 106109. [Google Scholar] [CrossRef]
- Feng, H.; Jiang, S.; Ji, A. Investigations of the static and dynamic characteristics of water-lubricated hydrodynamic journal bearing considering turbulent, thermohydrodynamic and misaligned effects. Tribol. Int. 2019, 130, 245–260. [Google Scholar] [CrossRef]
- Zheng, L.; Zhu, H.; Zhu, J.; Deng, Y. Effects of oil film thickness and viscosity on the performance of misaligned journal bearings with couple stress lubricants. Tribol. Int. 2020, 146, 106229. [Google Scholar] [CrossRef]
- Xie, Z.; Song, P.; Hao, L.; Shen, N.; Zhu, W.; Liu, H.; Shi, J.; Wang, Y.; Tian, W. Investigation on effects of Fluid-Structure-Interaction (FSI) on the lubrication performances of water lubricated bearing in primary circuit loop system of nuclear power plant. Ann. Nucl. Energy 2020, 141, 107355. [Google Scholar] [CrossRef]
- Ochoa, G.V.; Isaza-Roldan, C.; Forero, J.D. A phenomenological base semi-physical thermodynamic model for the cylin-der and exhaust manifold of a natural gas 2-megawatt four-stroke internal combustion engine. Heliyon 2019, 5, e02700. [Google Scholar] [CrossRef]
- Ochoa, G.V.; Peñaloza, C.A.; Forero, J.D. Thermoeconomic Optimization with PSO Algorithm of Waste Heat Recovery Systems Based on Organic Rankine Cycle System for a Natural Gas Engine. Energies 2019, 12, 4165. [Google Scholar] [CrossRef]
- Xie, Z.; Rao, Z.; Liu, H. Effect of Surface Topography and Structural Parameters on the Lubrication Performance of a Water-Lubricated Bearing: Theoretical and Experimental Study. Coatings 2019, 9, 23. [Google Scholar] [CrossRef]
- Xie, Z.; Rao, Z.-S.; Ta, N.; Liu, L. Investigations on transitions of lubrication states for water lubricated bearing. Part I: Determination of friction coefficients and film thickness ratios. Ind. Lubr. Tribol. 2016, 68, 404–415. [Google Scholar] [CrossRef]
- Xie, Z.; Rao, Z.-S.; Ta, N.; Liu, L. Investigations on transitions of lubrication states for water lubricated bearing. Part II: Further insight into the film thickness ratio lambda. Ind. Lubr. Tribol. 2016, 68, 416–429. [Google Scholar] [CrossRef]
- Jang, J.Y.; Khonsari, M.M. On the Behavior of Misaligned Journal Bearings Based on Mass-Conservative Thermohydrodynamic Analysis. J. Tribol. 2009, 132, 011702. [Google Scholar] [CrossRef]
- Vijayaraghavan, D.; Keith, T. Effect of cavitation on the performance of a grooved misaligned journal bearing. Wear 1989, 134, 377–397. [Google Scholar] [CrossRef]
- Elrod, H.G.; Adams, M.L. A computer program for cavitation and starvation problems. Cavitation Relat. Phenom. Lubricants 1975, 37–41. [Google Scholar]
- Archard, J.F. Contact and Rubbing of Flat Surfaces. J. Appl. Phys. 1953, 24, 981–988. [Google Scholar] [CrossRef]
- Kogut, L.; Etsion, I. A Finite Element Based Elastic-Plastic Model for the Contact of Rough Surfaces. Tribol. Trans. 2003, 46, 383–390. [Google Scholar] [CrossRef]
- Dowson, D.; Higginson, G.R. A Numerical Solution to the Elasto-Hydrodynamic Problem. J. Mech. Eng. Sci. 1959, 1, 6–15. [Google Scholar] [CrossRef]
- Yang, P.; Cui, J.; Jin, Z.M.; Dowson, D. Transient elastohydrodynamic analysis of elliptical contacts. Part 2: Thermal and Newtonian lubricant solution. Proc. Inst. Mech. Eng. Part J J. Eng. Tribol. 2005, 219, 187–200. [Google Scholar] [CrossRef]
- Ausas, R.F.; Jai, M.; Buscaglia, G.C. A Mass-Conserving Algorithm for Dynamical Lubrication Problems With Cavitation. J. Tribol. 2009, 131, 031702. [Google Scholar] [CrossRef]
- Zhang, H.; Hua, M.; Dong, G.-N.; Zhang, D.-Y.; Chin, K.-S. A mixed lubrication model for studying tribological behaviors of surface texturing. Tribol. Int. 2016, 93, 583–592. [Google Scholar] [CrossRef]
- Paranjpe, R.S. A Study of Dynamically Loaded Engine Bearings Using a Transient Thermohydrodynamic Analysis. Tribol. Trans. 1996, 39, 636–644. [Google Scholar] [CrossRef]















| Parameters | Symbol | Values |
|---|---|---|
| Journal radius | 30 mm | |
| Bearing length | 20 mm | |
| Clearance | 25 | |
| Shaft speed | 2000 rpm | |
| Viscosity | 0.008 |
| Model | 4JJ1 |
|---|---|
| Manufacturer | ISUZU |
| Cycle | 4 strokes |
| Bore | 95.4 mm |
| Stroke | 104.9 mm |
| Displaced volume | 2999 CC |
| Rated output | 95 kW |
| Injection system | Direct injection |
| Compression ratio | 17.5:1 |
Publisher’s Note: MDPI stays neutral with regard to jurisdictional claims in published maps and institutional affiliations. |
© 2021 by the authors. Licensee MDPI, Basel, Switzerland. This article is an open access article distributed under the terms and conditions of the Creative Commons Attribution (CC BY) license (https://creativecommons.org/licenses/by/4.0/).
Share and Cite
Pardo García, C.; Rojas, J.P.; Orjuela Abril, S. A Numerical Model for the Analysis of the Bearings of a Diesel Engine Subjected to Conditions of Wear and Misalignment. Lubricants 2021, 9, 42. https://doi.org/10.3390/lubricants9040042
Pardo García C, Rojas JP, Orjuela Abril S. A Numerical Model for the Analysis of the Bearings of a Diesel Engine Subjected to Conditions of Wear and Misalignment. Lubricants. 2021; 9(4):42. https://doi.org/10.3390/lubricants9040042
Chicago/Turabian StylePardo García, Carlos, Jhan Piero Rojas, and Sofia Orjuela Abril. 2021. "A Numerical Model for the Analysis of the Bearings of a Diesel Engine Subjected to Conditions of Wear and Misalignment" Lubricants 9, no. 4: 42. https://doi.org/10.3390/lubricants9040042
APA StylePardo García, C., Rojas, J. P., & Orjuela Abril, S. (2021). A Numerical Model for the Analysis of the Bearings of a Diesel Engine Subjected to Conditions of Wear and Misalignment. Lubricants, 9(4), 42. https://doi.org/10.3390/lubricants9040042

