Abstract
Lubricating oils play an important role in friction-reducing and anti-wear, as well as enhancing mechanical efficiency. To improve the oxidation stability and service life of lubricating oils, the composition and structure of antioxidants should be strategically designed, and these parameters have significantly affected the performance of antioxidants in lubricating oils. Antioxidants are classified into two types based on the substrates they act on: peroxide decomposers and radical scavengers. In this review, the effects of peroxide decomposers (including sulfur compounds, phosphorus compounds, sulfur–phosphorus compounds, and sulfur–nitrogen compounds) and radical scavengers, such as hindered phenols and aromatic amines, have been discussed as additives in the antioxidant properties of lubricating oils. The results indicate that peroxide decomposers have excellent performances in lubricating oils, but high pollution of S and P is not conducive to their widespread use. On the contrary, radical scavengers also have superior antioxidant properties and no pollution, possessing the potential to replace traditional antioxidants. In addition, molecular structures with (multiple) synergistic antioxidant properties have been extensively designed and reported. This review serves as a reference for researchers to design and develop high-end new antioxidants.
1. Introduction
With the vigorous development of science and technology, people have higher requirements for mechanical equipment in terms of speed, performance, efficiency, automation, and service life [1,2]. When mechanical equipment operates at high speeds, the contact surface will generate a large amount of heat in a short time because of high friction, which can melt or wear metal components, leading to irreversible damage. Therefore, adding lubricants into mechanical equipment to reduce or eliminate friction is of great significance in practical applications. Early lubricants took advantage of the viscosity to generate an oil film in the friction pair, thus avoiding direct contact with the friction surface [3]. However, these lubricants are difficult to adapt to the high-temperature and/or high-pressure environment caused by mechanical equipment. This is attributed to such harsh environments that can destroy the oil film, leading to a significant increase in friction and reduced mechanical efficiency. As a result, the research and development of high-performance lubricants have become an urgent need for the machinery industry and high-end equipment manufacturing.
Base oils and additives are the main components of lubricants, and the maximum proportion of additives can reach up to about 20 wt.%. The additives content of industrial oils is relatively low, but it is also in the high range of 1–10 wt.% [4,5]. Additives are an important part of modern lubricants and play the role of “chips,” which is because additives can greatly improve the performance of lubricants, such as giving new properties and making up for the lack of base oils. Antioxidants are one of the important additives in lubricating oils, which can improve the thermal stability and service life of lubricating oils [6]. During the operation of mechanical equipment, many factors can trigger the oxidative degradation of lubricating oils. These factors include internal oxygen and environment (temperature, pressure, and friction) as well as the metals in mechanical components [7,8]. The oxidation products of lubricating oils are various chemicals—for example, acids, esters, alcohols, and hydroxyl acids. Meanwhile, these oxidation products might further condense to form high molecular compounds, increasing lubricant viscosity and mechanical component friction [7,9,10]. Furthermore, these high molecular compounds have low solubility in lubricating oils, resulting in the formation of paint films, carbon deposits, and organic acids, thereby corroding and wearing metal parts [11]. As a result, incorporating antioxidants into the lubricating oils is critical to slowing or eliminating oxidation behavior and maintaining engine performance [12].
In recent years, the majority of researchers have focused on the development of new antioxidants with high performance and economy to meet the new demand for high-end lubricants in industrial development [12,13]. The antioxidants are mainly organic compounds containing sulfur, nitrogen, phosphorus, and metals [4]. In this review, the focus is on the lubricating oils’ oxidation mechanism and the function of antioxidants. Peroxide decomposers and radical scavengers with different antioxidant mechanisms have been discussed as additives in lubricants.
2. Oxidation Mechanism of Hydrocarbon Lubricating Oils
It has been established that the deterioration of hydrocarbon lubricants is an autoxidation process involving a free radical chain reaction, and this process consists of distinct reaction steps: chain initiation, propagation, branching, and termination [14,15]. Oxygen and sufficient energy (including thermal, ultraviolet, and mechanical shear stress) are prerequisites for the chain initiation step. As shown in Equations (1) and (2), chain initiation is the dehydrogenation of an alkane molecule and the breaking of the C-C bond to form alkyl radicals (R·) [4], while the stability of the radicals formed is determined by the C-H bond strength and is arranged as follows: benzylic > allylic > tertiary > secondary > primary > phenyl [16,17]. As a result, the most vulnerable hydrocarbons to oxidation are those with tertiary hydrogen or hydrogen in an alpha position to the aromatic ring.
The formed R· radicals can react irreversibly with oxygen to further form alkyl peroxy radicals (ROO·), leading to chain propagation, as shown in Equation (3). The formation rate of ROO· radicals is extremely fast but is also dependent on the substituents of alkyl radicals [4,15]. Once formed, the ROO· radical captures the hydrogen from another hydrocarbon molecule, and corresponding new R· radical and hydroperoxide (ROOH) are produced, as shown in Equation (4). Therefore, under suitable conditions, as soon as R· radicals appear in lubricating oils, ROO· radicals form rapidly. This phenomenon promotes the formation of new alkyl radicals and hydroperoxide via ROO· radicals, resulting in a continuous cyclic oxidation process, as illustrated in Figure 1. Under enough external energy, the formed ROOH can be homogenized to form an alkoxy radical and a hydroxyl radical (Equation (5)), which is also the first phase of chain branching. These two oxygen-containing radicals (RO· and HO·) can also abstract hydrogen from hydrocarbon molecules to form new hydrocarbon radicals and corresponding alcohols and water (Equations (6) and (7)).
Figure 1.
Schematic diagram of the oxidation mechanism of hydrocarbon lubricants.
According to substrate type, the corresponding alkoxy radical can be decomposed into different products. Equations (8) and (9) show that the secondary alkoxy (RR1HCO·) and tertiary alkoxy radicals (RR1R2HCO·) decompose to form aldehydes and ketones, respectively. At high temperatures, acid catalyzes the polymerization of aldehydes and ketones to form insoluble polymers, and the corresponding reaction mechanism has been reported by Perrin et al. [18]. With the increasing of the oil oxidation degree, the concentration of alcohols, aldehydes, ketones, acids, and polymer compounds in lubricating oils can rise sharply. These oxidation products can have a significant impact on many lubricant properties—for example, polarity, acidity, viscosity, and saturated vapor pressure. When lubricants’ viscosity is raised to a certain level, the diffusion of the gas inside the lubricant is reduced, so that there is not sufficient oxygen to continue the oxidation process. At this time, the radicals in the system are mainly chain termination reactions, as shown in Equations (10) and (11).
In general, the oxidation of lubricants should overcome a high activation energy, suggesting that this process requires enough energy to trigger. Noteworthily, metal ions can significantly reduce the activation energy as catalysts, promoting lubricant oxidation to form radicals in a mild environment. Metal ions catalyze chain initiation and branching, as seen in Equations (12)–(15) [4]. This phenomenon indicates that the high concentration of metal ions in lubricating oils is not conducive to the long-term use of the lubricating oils and to the high efficiency of mechanical equipment. The autoxidation reaction mechanism of hydrocarbon lubricants is depicted in Figure 1. As illustrated in Figure 1, slowing or eliminating the oxidation of lubricants can be accomplished in two ways: (i) by removing the energy required for oxidation and capturing metal impurities, and (ii) by destroying radicals and hydroperoxide. The former is suited for low-shear and low-temperature environments, whereas the latter is better suited for improving the stability of most lubricants in practical applications. Consequently, antioxidants are classified into two types based on their ability to destroy radicals and hydroperoxide: radical scavengers and peroxide decomposers [19,20].
3. Peroxide Decomposers
Peroxide decomposers primarily act on alkyl hydroperoxides during the chain propagation, degrading them into low-reactive alcohols or inactive radicals to achieve antioxidant effects. Organosulfur compounds, organophosphorus compounds, sulfur–phosphorus compounds, and sulfur–nitrogen compounds are the most common peroxide decomposers.
3.1. Organosulfur Compounds
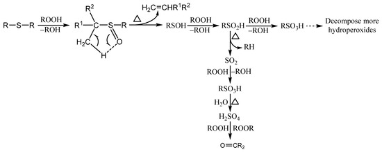
To improve the oxidation stability of lubricating oils in the early 19th century, researchers heated sulfur with mineral oils, including pine oil, polybutylene, and paraffin, to form sulfide oils, but the prepared sulfide oil has extremely strong corrosion to copper [21,22,23,24,25]. Haas [26] discovered sulfide fatty oils that had good oxidation resistance as well as some corrosion resistance. Figure 2 shows the antioxidation mechanism of alkyl sulfides [4,27]. As shown in Figure 2, alkyl sulfides reduce alkyl peroxides to produce alcohols and intermediates containing sulfoxide. These intermediates further generate the corresponding olefins and sulfenic acids (RSOH) through intramolecular β-hydrogen elimination. Similarly, sulfenic acids can promote the formation of alcohols and sulfur-oxy acids (RSO2H) by reducing peroxides once again. Then, the formed sulfur-oxy acids can continue to act as a reducing agent. Sulfur-oxy acids decompose into alkanes and SO2 under heating conditions. The S in SO2 has empty orbitals that accept electron pairs so that they exhibit strong Lewis acidity. Thus, SO2 accepts lone pairs of oxygen in alkyl peroxides, realizing the degradation of alkyl peroxides to alcohols, while SO2 is oxidized to SO3 or further oxidized to sulfuric acid. Bridgewater and coworkers [28] found that 1 mol of SO2 can catalyze the decomposition of 20,000 mol of cumene hydroperoxides.
Figure 2.
The antioxidant mechanism of alkyl sulfides (adapted from [4]).
The melting and boiling point of aromatic hydrocarbons is generally higher than that of aliphatic hydrocarbons, which is attributed to the greater intermolecular force (π-π bond) of the benzene ring than that of aliphatic hydrocarbons (van der Waals force). So the aromatic sulfide has stronger thermal stability compared to alkyl sulfides. The designability of aromatic sulfide is enhanced owing to the richness of structure and molecular weight of substituents. Figure 3 shows some common aromatic sulfides, such as alkyl phenol sulfide and benzyl sulfide. Moreover, the physicochemical properties of these compounds are dependent on the number and structure of substitutes [29,30,31,32]. Sulfur-containing organic compounds with cyclic structures are usually prepared by the reaction of aromatic hydrocarbons with sulfur (or sulfur dichloride). Moreover, heterocyclic sulfides have also been reported. For example, Askew et al. [33] synthesized a sulfide with heterocycle using sulfur and dicyclopentadiene, methylcyclopentadiene dimer, and 5-vinyl-2-norbornene as raw materials. Using 2.0 wt.%, this sulfide compound can prolong the oxidation induction time of naphtha by 155 min, and it is also an extreme pressure (EP) additive. Furthermore, sulfur-containing dihydrobenzothiophene with heterocyclic structures as lubricant additives have been reported by Oumar-Mahamat et al. [34]. Organosulfides with heterocycle are novel compounds that exhibit exceptional antioxidation, extreme pressure, and anti-wear properties.
Figure 3.
Examples of sulfur-containing antioxidants.
3.2. Organophosphorus Compounds
Similar to sulfur, phosphorus can also intensify the oxidation resistance of lubricating oils and decrease oil sludge. Brown [35] found that 0.1–0.2 wt.% red phosphorus can effectively inhibit the formation of oil sludge in the tanks of electronic transformers. But phosphorus is added in a physical way, which is highly corrosive to metals and alloys. Therefore, oil-soluble phosphorus compounds (including natural and synthetic) are more practical as additives. Hall and Towne [36] added 0.01–2.0 wt.% natural phospholipid compounds into the lubricating oils in internal combustion engines. They found that the oxidation resistance of lubricating oils was significantly improved, and the deposition of paint film was decreased at an acceptable level. Many patents have also announced that natural organophosphorus can help enhance the oxidation stability of lubricating oils [37,38,39].
Phosphite is a typical organophosphorus antioxidant. In fact, phosphite not only decomposes hydroperoxides but also has a reducing effect on alkyl peroxy radicals, as shown in Equations (16) and (17) [4]. In detail, phosphite is oxidized to phosphoric acid, and hydroperoxide and peroxy radicals are converted to alcohols and alkoxy radicals, respectively. Phosphite esters, such as tributyl phosphite and triphenyl phosphite, are the most representative of synthetic organophosphorus, and they are usually used to improve the oxidation stability of mineral-oil-based lubricants [40]. Nevertheless, the large use of organophosphorus antioxidants in automotive lubricating oils has caused serious problems because of high P content—for example, ternary catalysts poisoning, excessive emissions of exhaust pollutants, and so on. To further reduce the oxidation and P content of lubricating oils, organophosphorus compounds are often used in combination with other additives. Li et al. [41] synthesized a multifunctional lubricant additive containing hindered phenols through an ester exchange reaction. This additive can improve the anti-friction and anti-wear abilities as well as the base oil’s antioxidant properties. The rotary bomb oxidation test (RBOT) indicates that this additive can extend the oxidation induction time (OIT) of the base oils by at least 10 times. The reports on phosphite esters and other additives are listed in Table 1.
Table 1.
The application of phosphite ester in combination with other additives.
3.3. Sulfur–Phosphorus Compounds
Dialkyl dithiophosphate, which includes Zn, Mo, Ba, and Ca, has excellent antioxidant properties in lubricating oils, and researchers have focused a lot of attention on it. In particular, the most well-known salt is zinc dialkyl dithiophosphate (ZDDP), which has been used for more than half a century in transmission fluid and engine fields. This is attributed mainly to the formation of tribofilms containing sulfur and/or phosphorus by ZDDP, which helps the lubricating oils to resist oxidation [48]. Moreover, the generation of this tribofilm is closely related to the structure of ZDDP. The synthesis route of ZDDP is shown in Figure 4, where dialkyl dithiophosphoric acids, which are prepared by P2S5 react with alcohols, are combined with ZnO to synthesize ZDDP-1 or ZDDP-2 [4,49]. ZDDP-1 can form chelate ZDDP-2 with cage-like structures, and ZDDP-1 is generally in equilibrium with ZDDP-2 in lubricating oils [49,50]. To further improve the performance of ZDDP, the route for synthesizing ZDDP has been optimized by researchers. Rivier [51] reported a novel method for preparing ZDDP, which involves replacing the ROH in Figure 4 with a hydroxyl-containing ester formed from acid and alcohol. The performance of the prepared ZDDP in lubricating oils has been significantly improved. In addition, researchers have also attempted to improve ZDDP performance using other methods, such as using secondary and primary alcohols to obtain low molecular ZDDP or using a mixed salt of dialkyl dithiophosphoric acids and carboxylic acid to react with ZnO. The former aims to increase the proportion of Zn/P in ZDDP, which is beneficial for improving the solubility of ZDDP in lubricating oils [52], whereas the latter aims to enhance the thermal stability of ZDDP [53].
Figure 4.
The synthesis route of ZDDP (adapted from [49]).
Molecular weight and structure also have a significant effect on the performance of dialkyl dithiophosphate in lubricating oils. Asseff [54] and Cook et al. [55] synthesized corresponding ZDDP from high molecular weight cycloalkanol and butylphenol, respectively. It was found that these synthesized sulfur–phosphorus compounds have outstanding effects in terms of antioxidant performance, thermal stability, and oil solubility. Similar research has also been conducted on molybdenum dialkyl dithiophosphate (MoDTP) in the design and synthesis of molecular structures. Sarin et al. [56] synthesized MoDTP with different alkyl lengths using amyl, octyl, 2-ethylhexyl, and isodecyl substituted ROH as raw materials. The synthesized MoDTP has antioxidation, anti-friction, and anti-wear properties comparable to commercial ZDDP in mineral oil, base oil, and finished engine oil. Therefore, dialkyl dithiophosphates (such as ZDDP and MDDP) have excellent antioxidant properties in lubricating oils as well as a variety of other important properties, so it is a multifunctional additive.
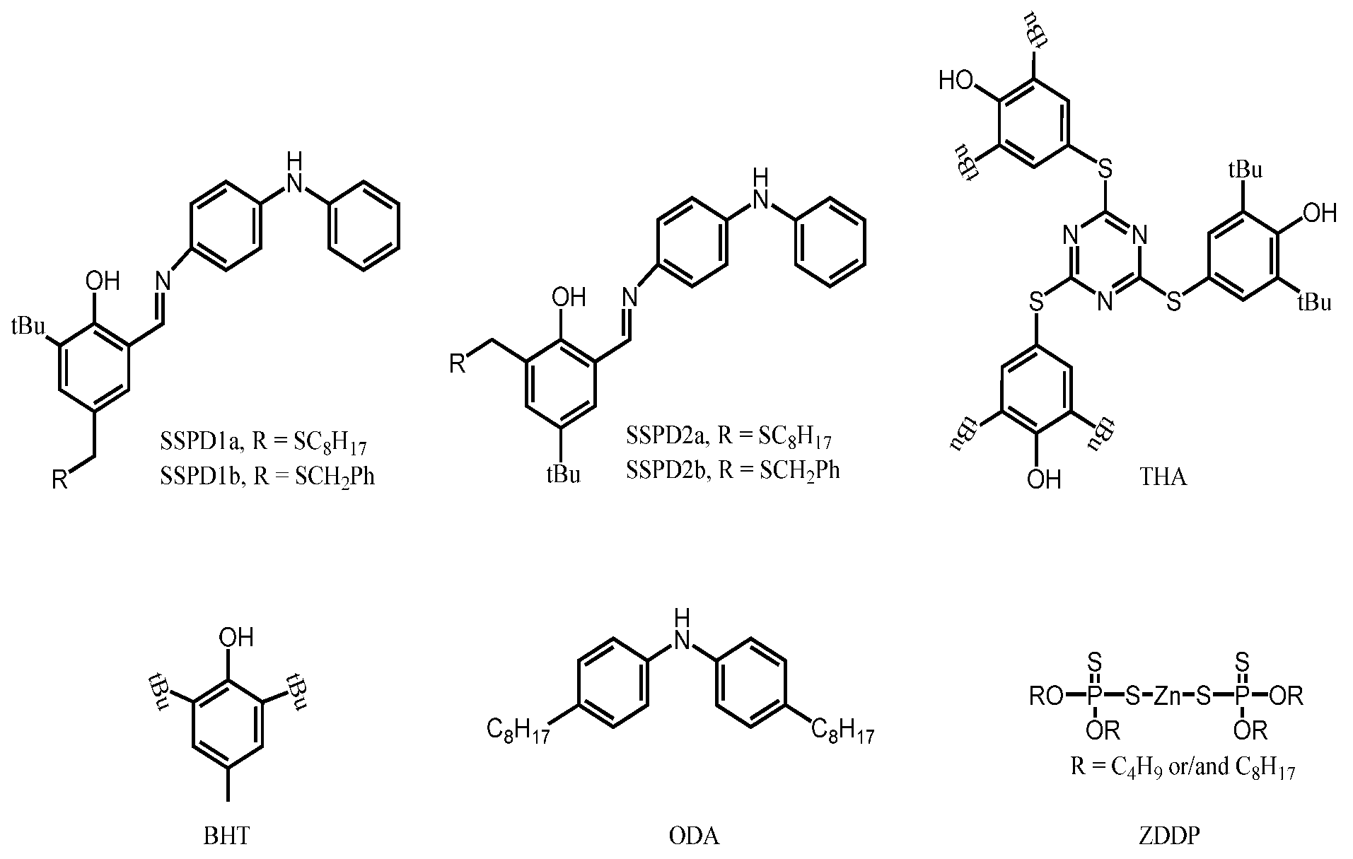
Unfortunately, dialkyl dithiophosphate has serious harmful effects on machinery equipment, ternary catalysts, and the environment due to high S and P contents. Improving dialkyl dithiophosphate performance and reducing its dosage in lubricating oils are an effective way to reduce the S and P contents. Ghanbari et al. [57] discovered an interaction between ZDDP (alkyl: isobutyl and isopentyl) and fullerene in an oxidation reaction initiated by azobisisobutyronitrile, confirming that fullerene C60 and its derivatives can significantly improve the antioxidant performance of ZDDP. Wang et al. [58] synthesized four Schiff base bridged phenolic diphenylamine (SSPDs, as shown in Figure 5) to investigate the antioxidant performance of SSPDs combined with ZDDP in poly-α-olefin (PAO) base oils, and the corresponding results are shown in Figure 6. Compared with a single ZDDP, the mixture of ZDDP and SSPDs added to PAO base oil has a larger OIT value. Meanwhile, the experimental results of OIT were significantly higher than the theoretical values, which is attributed to the intermolecular and intramolecular synergistic effects between SSPDs and ZDDP, while the intermolecular synergistic effect is achieved mainly by coordinating the nitrogen from imine in SSPDs with the zinc atom in ZDDP, resulting in the basic morphology of ZDDP (cage-like structure in Figure 4) decomposing into coordination compounds. At the same time, these coordination compounds possess strong adsorption on the metal surface, which accelerates the formation of tribofilm during the friction process, thereby effectively suppressing wear. Researchers also found that the mixture of methyl oleate (MO) and ZDDP has better performance in mineral oil than ZDDP alone because of the strong interaction between methyl oleate (MO) and ZDDP [59]. This result suggests that other fatty acid methyl esters (such as methyl linolenic acid and methyl linoleic acid) may have similar compatibility with ZDDP. The introduction of borate esters into ZDDP molecules was reported by Wang et al. [60]. It was found that compared to ZDDP, ZDDP containing borate ester has better antioxidant performance in Esterex A51 base oils (a dicarboxylic acid ester). In summary, replacing partial ZDDP by adding other additives is an effective way to reduce the content of S and P in lubricating oils. These studies verify the interaction or synergistic effect between ZDDP and other compounds, which effectively promotes the scientific development and innovative usage of antioxidants. Furthermore, Jin et al. [61] investigated the effect of a multi-phenol compound (THA in Figure 5) on the oxidation resistance of ester oils containing ZDDP. The prepared THA is not only beneficial for improving the antioxidant properties of ZDDP in triisodecyl trimellitate ester oil, but it can also be used alone to enhance the oxidation stability of ester oil. It is worth noting that THA has better antioxidant properties than ZDDP or a mixture of ZDDP and THA in ester oils. This provides a reference for the development of ashless and high-performance additives to replace ZDDP.
Figure 5.
The structures of selected antioxidants, ZDDP and THA (adapted from [58,61]).
Figure 6.
The effect of SSPDs on antioxidant properties of ZDDP in PAO base oil [58].
3.4. Sulfur–Nitrogen Compounds
With the continuous development of additives containing sulfur, phosphorus and sulfur–phosphorus, sulfur–nitrogen compounds have also been found to improve the oxidation resistance of lubricating oils. For example, dithiocarbamate, thiadiazole derivatives, phenothiazine, and diamine sulfides are sulfur–nitrogen compounds that can significantly improve the oxidation stability of lubricating oils. Dithiocarbamate was initially used as a fungicide and insecticide until it was used as an antioxidant in lubricating oil in the 1960s [4,62]. To meet the requirements of high-end equipment for lubricating oils, sulfur–nitrogen compounds are usually used in combination with other antioxidants to enhance the performance and service life of lubricants. Hu et al. [63] synthesized an oil-soluble sulfur- and phosphorus-free organic molybdenum complex (MC) and studied the effects of MC combined with methylene bis(di-n-butyldithiocarbamate) in the PAO derived lubricating oils. The differential scanning calorimetry (DSC) indicated that the introduction of MC significantly increases the initial oxidation temperature (IOT) and OIT value of base oils containing methylene bis(di-n-butyldithiocarbamate). At the same time, the combination of these two compounds can effectively inhibit the oxidation of base oils into compounds containing carbonyl and hydroxyl, which is because of the synergistic antioxidant effect between MC and bis(di-n-butyldithiocarbamate). In addition, the combination of methylene bis-dialkyl dithiocarbamate and radical scavengers, such as aromatic amines, hindered phenols, and triazole derivatives, also reveals excellent synergistic antioxidant effects in mineral and synthetic oils [64,65,66]. Especially in internal combustion engine oils with low phosphorus content (0.1 wt.%), these combinations exhibit outstanding synergistic effects [67].
In dithiocarbamate, the type of metal, including Zn, Cu, Pb, Sb, Bi, and Mo, can significantly affect their performance in lubricating oils [4]. Among them, molybdenum dithiocarbamate (MoDTC) has received widespread attention due to its ideal lubricating and antioxidant properties. Similarly, MoDTC can be combined with aromatic amines and hindered phenolic, exhibiting good synergistic antioxidant effects in lubricating oils. For example, a MoDTC, which contains approximately 7–24 carbon atoms, can effectively combine with alkylated diphenyl amines (ADPA) to improve the oxidation resistance of lubricating oils [68], while the mixture of ADPA and MoDTC (C8–23 and C3–18) with fewer carbon atoms has superior antioxidant properties in lubricants that contain <3 wt.% of aromatic content and <50 ppm of sulfur and nitrogen [69]. Furthermore, the MoDTC and hindered phenols are beneficial for increasing the oxidation resistance of lubricating oils that contain ≥45 wt.% of naphthenes and <50 ppm of sulfur and nitrogen [70]. Thiadiazole derivatives, particularly the monomers and dimers, can also exhibit significant antioxidant properties in base oils. Yao [71] demonstrated that monomeric 2-alkylesterthio-5-mercapto-1,3,4-thiadiazole has antioxidant properties via thin-layer oxidation experiments. Furthermore, Hoffman et al. [72] found that the 2,5-dithiobis(1,3,4-thiadiazole-2-thiol), a dimer, effectively boosts the oxidation resistance of lithium 12-hydroxystearate grease. Furthermore, sulfur- and nitrogen-containing antioxidants with cyclic structures also include phenothiazine. Phenothiazine compounds exhibit excellent antioxidant properties in aviation engine oils, such as oil-soluble N-substituted thio alkyl phenothiazines [73]. Table 2 shows the performances of various peroxide decomposers in base oils.
Table 2.
The summary of research on various peroxide decomposers.
4. Radical Scavengers
Peroxide decomposers consist mainly of sulfur and phosphorus-containing compounds, but excessive sulfur and phosphorus content in lubricating oils can damage the environment and exhaust converter and reduce the service life of mechanical systems. The International Lubricant Standardization and Approval Committee (ILSAC) has introduced the GF-5 performance standard, which limits the content of phosphorus (≤0.08%) and sulfur (≤0.08%) [74,75,76]. Therefore, high-performance antioxidants with low or no sulfur and phosphorus play an important role in lubricating oils. Radical scavengers provide another pathway to block the autoxidation of lubricating oil. Namely, radical scavengers can donate hydrogen to combine with alkoxy radicals (RO·) and alkyl peroxy radicals (ROO·) to form stable hydrocarbons and hydroperoxides. After losing hydrogen, the corresponding radical scavengers become stable radicals. Aromatic amines and hindered phenols are two typical radical scavengers that play an important role in the oxidation resistance of lubricating oils.
4.1. Aromatic Amines
4.1.1. Antioxidation Mechanism of Aromatic Amines
Antioxidants are consumed by competition oxidation with base oil, which is favorable to preventing the oxidative degradation of lubricating oils. The dehydrogenation ability of antioxidants determines their performance in lubricating oils [77,78]. In aromatic amines, the p-π conjugated effect can be formed between the benzene ring and lone pair electron in the N atom, which greatly reduces the N-H bond energy. This phenomenon is conducive to improving the dehydrogenation ability of aromatic amines. Therefore, aromatic amines are prone to hydrogen abstraction by RO· and ROO· radicals, resulting in highly active radicals becoming stable compounds. ADPA, an aromatic amine compound, has excellent antioxidant properties, which is attributed to its high dehydrogenation ability. The antioxidation mechanism of ADPA is shown in Figure 7 [4].
Figure 7.
The antioxidation mechanism of alkyl diphenyl amine [4].
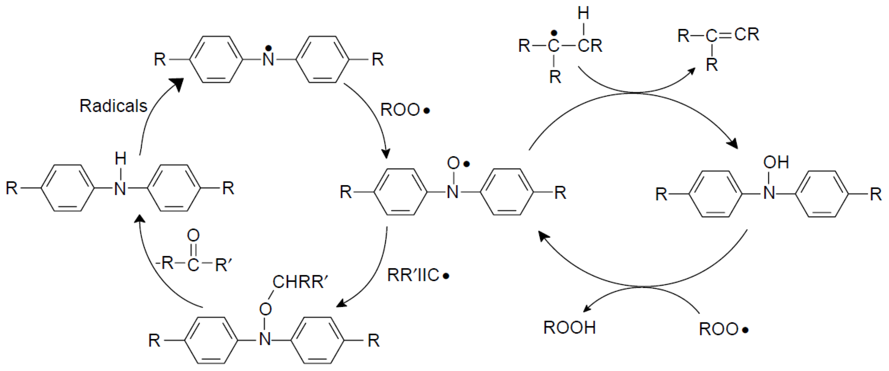
The generation rate of alkyl peroxy radicals is extremely fast during the autoxidation of lubricating oils [4], so that the concentration of ROO· radicals increases rapidly in a short time. Therefore, the capturing hydrogen from antioxidants by ROO· radicals becomes the main reaction in the system. Meanwhile, this reaction pathway is also influenced by many factors, such as temperature, the ratio of peroxy radicals to alkyl radicals (i.e., degree of oxidation), and the aromatic amines structure [4,79]. Specifically, the antioxidation mechanism of alkylated diphenyl amines varies at different temperatures. The antioxidation mechanism of ADPA at low temperatures is shown in Figure 8a [4,80], in which aminyl radicals first attack ROO· radicals to generate nitroxyl and alkoxy radicals, respectively. Subsequently, nitroxyl radicals undergo repetitive reactions with alkyl peroxy radicals, ultimately dissociating to form a stable nitroxyl-peroxide complex and 1,4-benzoquinone. Among them, nitroxyl radicals have good stability during the reaction process, which is attributed to resonance structures shown in Figure 8b [80]. The antioxidation mechanism of ADPA at high temperatures is shown in Figure 9 [81]. Figure 9 shows that the nitroxyl radical is formed through two reactions between ADPA and radicals, and the generated nitroxyl radical intermediate can react with a secondary and tertiary alkyl radical, respectively. The N-sec-alkoxy diphenylamine formed by the former can thermally rearrange to form a ketone and regenerate the initial ADPA, and the N-hydroxyl diphenylamine intermediates generated by the latter react with ROO· radicals to form olefins and recyclable nitroxyl radicals. In theory, the alkyl diphenyl amine can continuously consume alkyl and alkyl peroxide radicals until the nitroxyl radical is destroyed. Holubec [82] found that 1 mol alkyl diphenyl amine can eliminate 12 mol radicals.
Figure 8.
(a) The antioxidant mechanism of alkyl diphenyl amine at low temperature (<120 °C) [4,80], and (b) resonance structure of nitroxyl radicals in aromatic amines [80].
Figure 9.
Antioxidant mechanism of alkyl diphenylamine at high temperature (>120 °C) [81].
4.1.2. Alkyl Diphenylamine Antioxidants
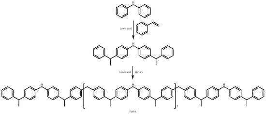
The alkyl diphenylamine can be synthesized by reacting diphenylamine with alkylating reagents like alcohols, alkyl halides, aliphatic carbonyl compounds, and olefins. From an economic perspective, the formation of alkyl diphenylamine from olefins under acidic catalysts is an acceptable route for research and application [4]. The structure of alkyl diphenylamine can be effectively changed by designing olefins, such as spatial structure, carbon chain length, and molecular weight, which affects the physicochemical properties of ADPA and determines the performance of alkyl diphenylamine in lubricating oils. Hu et al. [83] synthesized a poly(diphenylamine) derivative (PDPA) using aniline, styrene, and formaldehyde as raw materials, as shown in Figure 10. It was found that PDPA can effectively reduce the total acid value of pentaerythritol ester base oil, exhibiting better antioxidant properties than traditional dioctyl diphenylamine, especially at PDPA concentrations of 0.5–0.8 wt.%. At the same time, adding PDPA also is beneficial to increase the IOT of the base oil, which provides hope for the development of oxidation resistance of ester oils at high temperatures. The structure of PDPA suggests that multiple imines units provide sufficient active hydrogen for the stabilization of radicals. Therefore, synthesizing a single molecule containing multiple imine groups is theoretically an effective way to develop high-performance antioxidants. Miao et al. [84] successfully synthesized 1,3,5-tris(phenylamino) benzene and its derivatives, as shown in Figure 11. The antioxidant properties of these substances in synthetic ester oils, such as di-isooctyl sebacate, petrochemical diester, trimethylolpropane trioleate, and thimellitate ester, were studied. 1,3,5-tris(phenylamino) benzene and its derivatives have the potential to be high-temperature antioxidants, owing to their ability to significantly prolong the OIT values of ester oils and to good antioxidant properties at high temperatures (150 and 210 °C). Different substituents obviously affect the performance of 1,3,5-tris(phenylamino) benzene derivatives in lubricating oils, which is because of the changes in molecular structure and electronic effects caused by substituents [84]. Shah et al. [85] also investigated the effect of substituents on the performance of ADPA, and they found that heterocyclic substituted diphenylamine is more effective than typical alkyl diphenylamine in terms of antioxidant properties. Meanwhile, the antioxidant performances are affected by the position of alkyl-substituted diphenylamine and environmental temperatures. At low temperatures (37 and 100 °C), the para-alkyl substitution contributes to improving the activity of generating diarylaminyl and diarylnitroxide due to the favorable electronic (stereo) effects, whereas ortho-alkyl substitution slightly decreases the reactivity. On the contrary, the formation of generating diarylaminyl and diarylnitroxide is almost independent of the alkyl-substituted position at high temperatures (160 °C). Noteworthy, Shah et al. [85] used electron spin resonance spectroscopy to demonstrate that a small amount of diarylnitroxide improves the antioxidant properties of diphenylamine, and the presence of benzylic C-H bonds in APDA can inhibit the formation of diarylnitroxide at high temperatures. Simultaneously, theoretical calculations predict that breaking benzylic C-H bonds can stabilize diphenylamine radicals, which greatly limits the formation of diarylnitroxide and leads to a significant increase in antioxidant efficiency at high temperatures [85]. These research results provide a rich experimental and theoretical basis for the development of high-performance aromatic amine antioxidants.
Figure 10.
The synthesis route of polydiphenylamine derivatives (adapted from [83]).
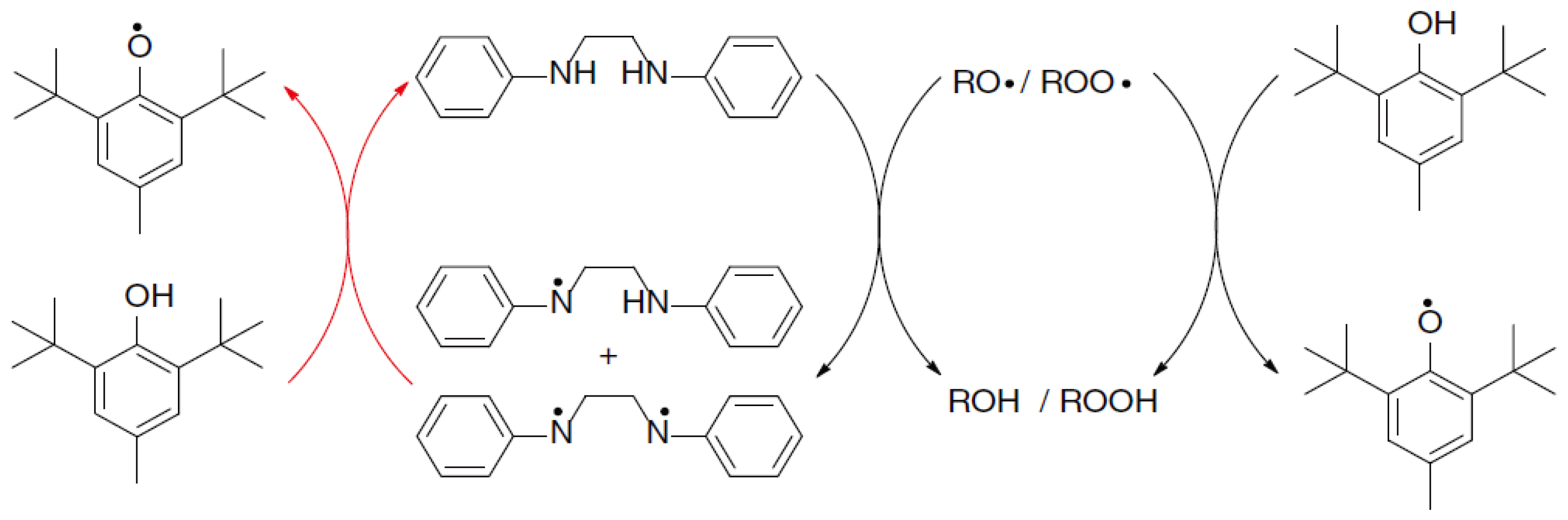
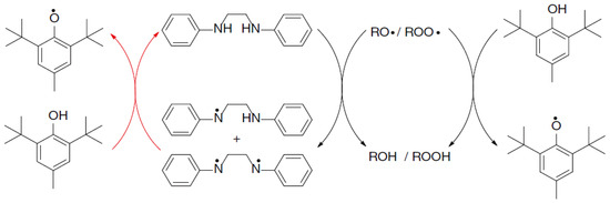
The synergistic effect of diphenylamine and other additives is an efficient means to improve the oxidation stability of base oil. Yao’s group [86,87,88] investigated the effect of alkali metal salts on the performance of dioctyldiphenylamine (DODPA) in pentaerythritol ester oils. DODPA can combine with sodium stearate, sodium acetylacetone, and perfluorobutyric acid salts (including Li, Na, and K) to exhibit excellent synergistic antioxidant effects in ester oils. This phenomenon is related to the radical content decreased by alkali metal salts. Especially in perfluorobutyric acid salts, the promoting effect of metal species on the antioxidant activity of DODPA has the following order: K > Na > Li. Hu’s group [75,89,90] successfully synthesized oil-soluble molybdate esters (ME), organic molybdenum complexes (MC), and molybdenum dithiocarbamate (MoDDC). The addition of ME, MC, and MoDDC significantly improved the IOT and OIT values of lubricating oils containing DODPA, suggesting that these molybdenum-containing compounds have a good antioxidant synergistic effect with DODPA. The MC can form a complex with DODPA, which effectively delays the consumption of DODPA in lubricating oil. The molybdenum atom in MoDDC can stabilize the radicals corresponding to DODPA, which is beneficial for the continuous elimination of R· and ROO· radicals. All of these behaviors can further improve the antioxidant efficiency of corresponding additives. Cai et al. [91] also reported a molybdenum-containing compound (polyisobutylene-based molybdenum, named as PIB-Mo) as a lubricant additive. At high temperatures, the high PIB-Mo content can enhance the antioxidant performance of phenylamine derivatives by about 6-fold. In addition, Hu et al. [92] found that organic titanates (STAE) can reduce the oxidation rate of DODPA in lubricating oil, and there is a synergistic antioxidant effect between STAE and DODPA, which is similar to the effect of MC on DODPA in lubricating oils. Chao et al. [93] synthesized a mono-substituted alkyl diphenylamine (s-ADPA in Figure 11), and the Kissinger method was used to demonstrate that combining s-ADPA with a sulfur-containing compound (DLTDP in Figure 11) not only increases the activation energy of oxidizing lubricants but also reduces the thermal oxidation rate. Obviously, s-ADPA and DLTDP are peroxide decomposers and radical scavengers, respectively. They have complementary mechanisms for preventing base oil oxidation, thereby showing outstanding synergistic antioxidant effects. In short, the antioxidant properties of alkyl diphenylamine can be further improved by designing multiple imines, adding sulfur-containing compounds and synthesizing organic metal-containing compounds such as Li, Na, K, Mo, and Ti. Recently, it was reported that a mixture of N1, N2-diphenylethane-1,2-diamine (ND) containing multiple imines and 2,6-di-tert-butyl-4-methylphenol (BHT) was used as an additive in di-2-ethylhexyl sebacate (DEHS) oils [94]. The synthesized ND compounds can not only increase the OIT, IOT, initial decomposition temperature (IDT), and maximum degradation temperature (MDT) of DEHS, but also it can inhibit oxidation of lubricating oils. It should be noted that phenols also have a significant synergistic effect with ND, leading to a significant improvement in the antioxidant performance of ND, and the corresponding synergistic mechanism is shown in Figure 12. This result provides robust experimental evidence for the use of aromatic amines together with hindered phenols, which is beneficial for inspiring the design and synthesis of phenolic amine molecules as antioxidants in lubricating oils.
Figure 11.
The reported structures of aromatic amines and sulfides (adapted from [84,93]).
Figure 11.
The reported structures of aromatic amines and sulfides (adapted from [84,93]).

Figure 12.
The possible synergistic mechanism between ND and BHT [94].
Figure 12.
The possible synergistic mechanism between ND and BHT [94].

4.2. Hindered Phenols
4.2.1. Active Structure and Mechanism of Hindered Phenols
Hindered phenols exhibit antioxidant properties in lubricating oils because the hydrogen donated by reacting phenolic hydroxyl group with RO· and ROO· radicals, which is similar to the mechanism of aromatic amine molecules. Therefore, the excellent antioxidant properties of hindered phenols correspond to strong dehydrogenation ability to the phenolic hydroxyl group. The dehydrogenation ability of phenolic hydroxyl groups is closely related to the bond dissociation energy (BDE) of O-H bonds, and it is also influenced by the position and type of substituents on the benzene ring [95]. In hindered phenols, the type of substituent is usually the electronic-donating group. Kajiyama et al. [96] found that when electron-donating groups are substituted at the 2, 4, and 6 positions of phenol (i.e., ortho- and para-substituents), the hindered phenol can increase the reaction rate with the oxygen-containing radicals and stabilize the phenoxy radicals by inductive and hyperconjugation effects. The effect of substituent position on the antioxidant activities of hindered phenols follows the order: para > ortho > meta [95,97]. Namely, para-substituent can maximize the antioxidant activities of hindered phenols, which may be due to their multiple functions. On the one hand, the electron-donating properties of para-substituent increase the electron density of the oxygen atom in the phenols, enhancing the dipole moment between the O and H atoms in the phenolic hydroxyl group while reducing the BDE of O-H bonds [96,98,99]. On the other hand, the inductive effect of para-substituents locates electrons in the para position of phenols, which can effectively inhibit the coupling of phenoxy radicals [96]. In addition, based on structure and properties, para-substituents are often used to regulate the compatibility between hindered phenols and base oils. As a result, these functions of para-substituents are important in the effect of hindered phenols in lubricating oil.
The steric effect is the primary function of ortho-substituents in hindered phenols. The ortho-substituents with large steric hindrance (such as tert-butyl) can effectively prevent the autoxidation of hindered phenols, thereby providing sufficient hydrogen sources for the stabilization of RO· and ROO· radicals [96,100]. Furthermore, when the ortho-substituents of the phenols do not contain α hydrogen or α atoms without lone-pair electrons (such as S and O), it is beneficial for hindered phenols to exhibit excellent antioxidant properties. This is attributed to the fact that both α hydrogen and atoms with lone-pair electrons can form hydrogen bonds with phenolic hydroxyl groups, changing their electron density. This phenomenon greatly increases the energy required for RO· and ROO· radicals to capture hydrogen from phenolic hydroxyl groups [95,101]. The effect of meta-substituents on the antioxidant properties of hindered phenols is currently unclear due to limited research. At the beginning of this century, Kajiyama et al. [102] investigated the antioxidant properties of different meta-substituted phenols such as tert-butyl, -NH2, -OCH3, and -CH2CH3 as well as -OCH2C6H5. They found that the meta-substituents do not affect the antioxidant properties of phenols. However, further research and theoretical calculations are needed to confirm the universal impact and mechanisms of meta-substituents on the performance of hindered phenols. Currently, researchers primarily use 2,6-di-tert-butylphenol as the antioxidant active unit, and the performances of hindered phenols are studied by adjusting the para-substituents of phenols, the number of phenolic hydroxyl groups, and the designing synergistic effects.
The antioxidant mechanism of hindered phenols (2,6-di-tert-butyl-4-methylphenol as examples) in lubricating oil is shown in Figure 13a. Figure 13a shows that at low temperatures (≤120 °C), ROO· radicals and hindered phenols are converted to ROOH and phenoxy radicals, respectively [103]. On the one hand, the hydrogen atom is donated from one phenoxy radical to the other, thus regenerating a hindered phenol and a methylene cyclohexadienone, which allows hindered phenols to partially recover. On the other hand, the formed phenoxy radicals are stable and have low activity due to steric hindrance and conjugation effects, making it difficult for phenoxy radicals to capture hydrogen from hydrocarbons. Furthermore, radical electrons can be localized on the para position of phenols depending on the inductive effect of para-substituents [96]. Therefore, phenoxy radicals can be converted into cyclohexadienone radicals by conjugation effects, and the formed radicals can further bind with ROO· radicals to form cyclohexadienone alkyl peroxides [103]. Specifically, the hydrogen removed by hindered phenols primarily combines with ROO· radicals to form stable substances rather than with R· radicals during this process. This is attributed to the fact that the oxidation rates of ROO· radicals are much higher than the rates at which R· radicals capture hydrogen from hindered phenols (i.e., K2 >> K1, as shown in Figure 13b) [4]. In addition, high temperatures can reduce the stability of cyclohexadienone alkyl peroxides and degrade them into alkoxy and alkyl radicals as well as 2,6-di-t-butyl-1,4-benzoquinone [4]. These generated new radicals may accelerate the oxidation of lubricating oil, ultimately leading to a decrease in the antioxidant ability of hindered phenols. As a result, to avoid this situation, the development of hindered phenols with high-temperature resistance is currently an urgent topic.
Figure 13.
(a) The antioxidant mechanism of hindered phenols, and (b) reactivity of hindered phenol with alkyl radical (adapted from [4,103]).
4.2.2. Structural Design of Hindered Phenols
The antioxidation mechanism of hindered phenols indicates that phenolic hydroxyl groups play an important role in eliminating RO· and ROO· radicals; thus increasing the number of phenolic hydroxyl groups can theoretically improve the oxidation stability of lubricating oils. Researchers have employed a large number of strategies to synthesize antioxidants with multiple phenolic hydroxyl groups for studying their performance in lubricating oils. Molecules containing carboxyl, hydroxyl, and amino groups can serve as bridged centers that bind hindered phenols through a series of reactions such as esterification, coupling, and acylation to synthesize multi-phenol compounds. Suzuki et al. [104] synthesized pentaerythritol tetrakis(3-(3,5-di-tert-butyl-4-hydroxyphenyl)propionate) by esterification reactions with four 3-(3,5-di-tert-butyl-4-hydroxyphenyl)propanoic acids, as shown in Figure 14a. This molecule has four active units (or phenolic hydroxyl groups) and prolongs the oxidation induction time from 3 h to 40 h for rapeseed oils. Zhang et al. [105] used dipentaerythritol that contains more hydroxyl groups as the bridged centers for esterification with 3-(3,5-di-tert-butyl-4-hydroxyphenyl)propionic acid and isostearic acid (C18), respectively, and the synthesized ester-phenolic antioxidant shows in Figure 14b. TG, DSC, and RBOT characterizations have proved that the ester-phenolic antioxidant has excellent antioxidant efficiency and thermal stability, as well as low volatility. Moreover, based on the structure of Figure 14b, it can be seen that the ester-phenolic compound is a functional complex that can serve as both antioxidants and synthetic ester lubricating oils. In addition, Singh et al. [106] also used pentaerythritol to synthesize a multi-phenol compound containing three hindered phenolic units (Figure 14c), and the performance of the multi-phenol compounds in lubricating oil was studied. It was found that compound c1 (R = OH) has better antioxidant properties compared to compound c2 (R = tert-butyl), which may be related to the number of phenolic hydroxyl groups. The synthesis of multi-phenol compounds via the bridged centers greatly improves the designability of antioxidants, because the functional groups and structures of the bridged molecules can be designed and synthesized according to required performances. Aside from pentaerythritol, other compounds like 1,2,4,5-benzenetetracarboxylic acid, chitosan, and L-cysteine can also be used to bind multiple hindered phenolic units, and corresponding compounds are illustrated in Figure 14d–h. Compounds d and e can significantly improve the oxidation stability of lubricating oils [107,108]. When the temperature is 150 °C, adding 3000 ppm compound d can increase the oxidation stability of N-butyl palmitate/stearate oil by 1.5 times compared with no additives [107]. The prepared compound f can increase the RBOT time of lubricating oil by 2.59 times at a concentration of 2000 mg/kg [109]. Compound g is synthesized in two steps. First, heterocyclic 3,5-diamino-1,2,4-triazole is coupled with 3,5-di-tert-butyl-4-hydroxybenzaldehyde to give the intermediate Schiff base, and then Compound g is synthesized by the alkylation between the intermediate with bromododecane. Compound g can increase the RBOT time by 70.76% at 5000 ppm concentration in polyol base oils [110]. Finally, Compound h was synthesized from cyanuric chloride and 2,6-di-tert-butyl-4-mercaptophenol under the catalysis of K2CO3. Compared with industrial phenol antioxidants, Compound h has better thermal stability and antioxidant effect in triisodecyl trimellitate ester oils [61].
Figure 14.
Synthesis of multi-phenol compounds through the coupling of bridging molecules (adapted from [61,104,105,106,107,108,109,110]).
The above research results indicate that high-performance multi-phenol compounds can be effectively synthesized by selecting or designing bridging molecules to connect phenolic units. These prepared compounds exhibit significantly higher antioxidant effects than traditional hindered phenols. To investigate the effect of bridging molecules on the antioxidant properties of corresponding multi-phenol compounds, Higgins et al. [111] prepared a series of tri-armed phenolic antioxidants using glycerol, triethanolamine, and triisopropanolamine derivatives as bridged centers, and they found that bridging molecules unnecessarily contribute to the antioxidant properties; on the contrary, the solubility of additives is just as important as antioxidant functionality. Therefore, increasing solubility and the number of phenolic units are favorable factors for improving additive performances. Huang et al. [112] synthesized a 3-(3,5-di-tert-butyl-4-hydroxyphenyl)propionic acid (DBHP)-functionalized ZnO nanoparticle (DBHP-ZnO), as shown in compound 1 in Figure 15. The surface of DBHP-ZnO nanoparticles has extremely rich phenolic units, and it exhibits better thermal stability and antioxidant properties than DBHP in the di-iso-octylsebacate (DIOS) base oil, which is attributed to the fact that DIOS containing DBHP-ZnO nanoparticles have the lowest reaction constant and the longest half-life period compared to those of individual DBHP and ZnO nanoparticles. In Figure 15, Compound 2, which possesses abundant phenolic units, was synthesized by Higgins et al. [113]. The dendritic structure of Compound 2 greatly enhances its solubility in lubricating oils. Compared with commercial Irganox L135 and Irganox L57 antioxidants, Compound 2 has outstanding advantages in terms of thermal stability and antioxidant ability. In addition, phenolic units can be bonded by polymerization, and the obtained multi-phenol compounds also show excellent properties in lubricating oils [76,114]. Therefore, increasing the number of phenolic units is beneficial for improving the antioxidant efficiency.
The hindered phenols mobility and the permeability of O2 can also affect antioxidant properties to a certain extent. Molecular simulations showed that high molecular weight and long alkyl chains have better physical resistance to the permeability of O2 in lubricating oils [12]. Furthermore, the hindered phenols with longer para-alkyl chains possess higher activity to scavenge the radicals, which may be because the polarity of corresponding phenols is similar to that of lubricating oils, resulting in better solubility and thus improving effective contact with radicals. Rios et al. [115] and Zhang et al. [116] introduced long alkyl chains and carbon chains containing ester groups on the para-position of phenols, respectively, leading to a significant improvement in antioxidant performances. The introduction of sulfur to the para-alkyl chains has also been extensively studied to form bifunctional antioxidants that possess peroxide decomposers and radical scavengers, and the reported molecular structure is shown in Figure 15. Compound 3, which was synthesized by a two-step method using methyl oleate as the raw material, has almost the same antioxidant efficiency as ZDDP [117], suggesting that Compound 3 has the potential to replace traditional antioxidants. Nath et al. [118] found that Compound 4 can prevent premature oxidation and degradation of trimethylolpropane trioleate (TMPTO), which significantly improves the oxidation stability of TMPTO. The antioxidant ability of 3 wt.% Compound 4 in lubricating oils is 15.3 and 4.4 times that of commercial hindered phenols and Irganox 1076, respectively. The antioxidant properties of Compound 5 in lithium complex grease (LCG) is significantly better than that of traditional ZDDP. Meanwhile, Compound 5 can form a film composed of iron oxide, iron sulfate, and nitrogen oxide, exhibiting better anti-friction and anti-wear ability than traditional ZDDP [119]. Hence, these results provide strong evidence of combining active units of radical scavengers with peroxide decomposers, and corresponding molecules show excellent antioxidant properties and potential to replace traditional antioxidants. These prepared compounds simultaneously are a multi-effect additive and possess anti-friction and anti-wear properties.
Figure 15.
Multi-phenol compounds and sulfur-containing hindered phenols (adapted from [112,113,117,118,119]).
Figure 15.
Multi-phenol compounds and sulfur-containing hindered phenols (adapted from [112,113,117,118,119]).

4.3. Phenolic Amine Complex and Its Derivatives
Phenolic compounds and diphenylamine are two widely used antioxidants that exhibit excellent performance in lubricating oils. Among phenolic compounds, hindered phenols are particularly prevalent in automotive lubricants due to their minimal toxicity and environmental friendliness [120]. Nevertheless, the effectiveness of hindered phenols is limited in severe conditions due to their low operating temperature [121,122,123,124]. Compared with hindered phenol, diphenylamine has higher antioxidant properties at high temperatures and is often used in heavy machinery, but its antioxidant properties still need to be further improved to meet the new needs of social development. Therefore, the design and development of additives with excellent antioxidant properties at high temperatures are urgently needed. Chao et al. [94] investigated the addition of hindered phenol and diphenylamine to lubricating oils through physical mixing. Meanwhile, the combination of these two molecules exhibited a synergistic effect and can significantly enhance the oxidant stability of the lubricating oils. This remarkable finding has motivated researchers to explore new approaches to designing antioxidants. Namely, they have focused on combining hindered phenol and diphenylamine moieties to create a novel molecule. Theoretically, increasing the molecular weight can enhance the thermal stability of the phenolic amine complex. In addition to the intermolecular synergistic effect between the phenolic and amine segments, there may also be an intramolecular synergistic effect, which improves the antioxidant efficiency of the phenolic amine complex. Furthermore, the designed complex effectively reduces the additive amount in lubricant formulations.
A phenolic amine complex, which bridges hindered phenol and diphenylamine moieties via chemical bonds, was successfully synthesized by Yu’s group [120,125]. It was discovered that this complex has stronger thermal stability and antioxidant properties than the physical mixture of hindered phenol and diphenylamine. As illustrated in Figure 16, Yu et al. [120] used the Schiff base to bridge these two moieties to synthesize SPD1 and SPD2 molecules with different structures. TGA and pressurized differential scanning calorimetry (PDSC) characterization showed that both SPD1 and SPD2 molecules had good thermal stability and antioxidant properties. Electron paramagnetic resonance (EPR) confirms that SPD1′s phenolic hydroxyl group forms an intramolecular hydrogen bond with the N atom in the Schiff base unit, preventing ROO· radicals from extracting hydrogen from the group. Therefore, the antioxidant mechanism of SPD1 is similar to that of diphenylamine. The SPD2 molecules indirectly generate phenoxy radicals via a synergistic effect between phenol and amine. The reason is that diphenylamine reacts more actively than phenols, and the formed phenolic radicals are more stable compared to nitrogen radicals. As a result, when exposed to ROO· radicals, the SPD2 molecule will continue to uncover the highly reactive diphenylamine, while there might also be intermolecular synergistic effects between SPD2 molecules. These factors can effectively improve the performance and life of antioxidants. In addition, in 150SN base oil, there is a unique intermolecular synergistic effect between SPD1 (or SPD2) molecules and sulfur compounds [120], but physical mixing may not maximize the intermolecular synergistic effects. To introduce the S element into the phenolic amine complex, Yu’s group [125] designed and synthesized a series of sulfur-containing SSPDs (s = 1 to 6) compounds, as shown in Figure 16. They found that SSPDs with various structures (s = 1 to 6) exhibit obviously different antioxidant activities. Among them, SSPD1 and SSPD4 molecules did not significantly improve the oxidation resistance of lubricating oils, which is attributed to the large steric hindrance and intramolecular hydrogen bonds in these two molecules, resulting in difficulty for ROO· radicals to capture hydrogen from phenolic hydroxyl and imine groups. On the contrary, other SSPD compounds can increase the OIT value of the base oil to varying degrees. Compared with traditional industrial antioxidants, such as Irganox 1076 and diphenylamine, SSPDs (s = 2, 3, 5, and 6) have increased the OIT value of lubricating oils by tens of times. Especially, the SSPD5 compound shows the best reactivity, and its antioxidant efficiency is 3.45 times that of Irganox 1076 and 2.77 times that of diphenylamine. It is worth noting that the structures of SSPD2 and SSDP5 are similar, but their antioxidant efficiency is obviously different, which is related to the different sulfur-containing groups. The benzylthiomethyl-substituted SSPD5 can obtain higher antioxidant efficiency compared to the n-octylthiomethyl-substituted SSPD2 regardless of the relative position of the active moieties [125]. Wang et al. [58] mixed SSPD2, SSPD3, SSPD5, or SSPD6 molecules with ZDDP into lubricating oils, respectively. They found a unique synergistic antioxidant effect between them. Furthermore, these SSPD compounds can selectively decompose ZDDP and then further form complexes with zinc atoms in ZDDP, which is beneficial for reducing the friction and wear of lubricating oil.
Based on the reported phenolic amine complex, Higgins et al. [126] replaced Schiff bases with other bridging units and investigated the effects of bridging unit length and alkyl functionalization on the properties of the corresponding complex. The addition of alkyl chains into the complex can improve the solubility in the oils, thereby promoting effective contact between the complex and radicals. Meanwhile, when the bridging unit is relatively long like the ethyl group, the prepared phenolic amine complex has a longer OIT value compared to commercially available additives (a 1:1 mixture of Irganox L135 and L57). This phenomenon is attributed to the small steric hindrance of the imine group, allowing radicals to easily capture hydrogen. In addition, Wang et al. [127,128] even introduced B and F elements into SPD and SSPD molecules to prepare BSPD, SSPD-BF1, and SSPD-BF2 compounds, as shown in Figure 16. TGA indicated that the weight loss phenomenon of BSPD occurs at relatively high temperatures, and the corresponding temperatures for BSPD at 5% and 95% weight loss are 328 and 414 °C, respectively. The OIT value of BSPD in epoxidized soybean oils is 1.20, 2.0, and 8.4 times higher than SPD1, diphenylamine, and 2,6-di-tert-butyl-4-methylphenol, respectively. As a result, the synthesized BSPD has good thermal stability and antioxidant properties [128], while the antioxidant properties of SSPD-BF1 and SSPD-BF2 additives are superior to diphenylamine and traditional ZDDP at high temperatures [127]. Furthermore, this additive type has good anti-friction ability because of the introduction of B and F elements in the molecule regardless of the aniline structure. This provides a good reference for the design and development of multifunctional lubricant additives.
Figure 16.
Phenolic amine complex and its derivatives (adapted from [120,125,127,128]).
Figure 16.
Phenolic amine complex and its derivatives (adapted from [120,125,127,128]).

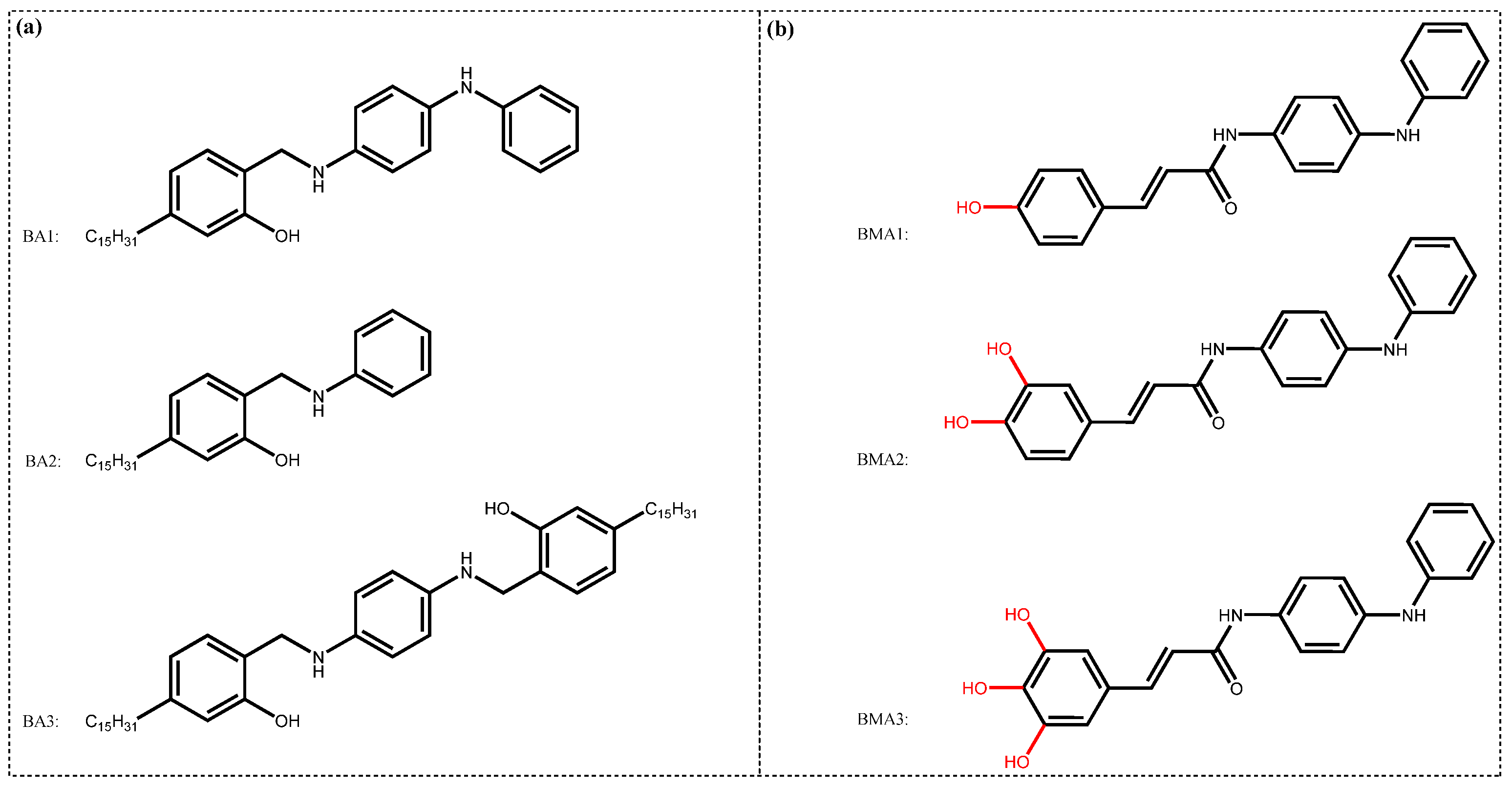
The above results indicate that Schiff bases and long-chain hydrocarbons can effectively bridge hindered phenols and diphenylamine moieties to form high-performance phenolic amine complex through appropriate catalytic processes. Miao et al. [129,130] synthesized poly(p-methoxyphenol-phenylamine) (P(MOP-PA)) via the enzymatic oligomerization of p-methoxyphenol and phenylamine monomers. The antioxidant properties of as-synthesized P(MOP-PA) is studied in synthetic ester oils such as di-iso-octyl sebacate, castor, and soybean oils. It was found that among the three selected base oils, the P(MOP-PA) antioxidant effectively prolongs the OIT value of the oils and shows much better high-temperature antioxidant properties than poly(p-methoxyphenol) and commercial hindered phenols. Meanwhile, Gaussian simulation indicates that the antioxidant mechanism of P(MOP-PA) originates from intramolecular coordination, which is conducive to reducing the activation energy of hydrogen transfer and to stabilizing the transition state of nitrogen radicals [130]. At present, synthetic 2,6-di-tert-butylphenol, as the most popular and typical antioxidant active unit, has become a research hotspot for lubricant additives. To promote the sustainable development between energy and the environment, Feng et al. [131] developed biophenolic compounds as an effective biological antioxidant. They synthesized three phenolic amine antioxidants (BAs) by condensing hydrogenated cardanol (HC) with aromatic amines and paraformaldehyde using the Mannich reaction, as shown in Figure 17a. The research shows that the radical scavenging ability of the prepared BAs is much higher than that of commercial antioxidants. Especially, the BA1 compound shows excellent antioxidant properties and thermo-oxidative stability in dipentaerythritol ester, which is attributed mainly to the intramolecular hydrogen transfer from Ar-OH to N-H in the diphenylamine group and Ar-OH regeneration through intramolecular hydrogen bonds, and a corresponding mechanism is shown in Figure 18 [131]. The base oils mainly include mineral oils [132], synthetic oils such as poly-α-olefin [133], synthetic ester oils [134], and bio-based greases [135]. Among them, bio-based grease is more environmentally friendly and energy-saving compared to other base oils. However, bio-based grease faces great challenges in practical applications because of low antioxidation properties at high temperatures. In view of this, Zhao et al. [136] designed and synthesized bio-based multifunctional antioxidants (BMAs) using biophenols (gallic acid, caffeic acid, and p-hydroxycinnamic acid) and 4-aminodiphenylamine as raw materials, as shown in Figure 17b. The doping of BMAs additives can increase the OIT value of rapeseed oils, coconut oils, and epoxy soybean oils by approximately 2.2, 14.0, and 32.0 times, respectively. Compared with commercial BHT and diphenylamine, BMA compounds have better thermal stability and radical scavenging efficiency, which is attributed to the fact that combining biophenols and arylamines has increased the molecular weight and electron transfer rate. At the same time, adding BMAs into biomass lubricating oils with different degrees of saturation can also effectively improve the antioxidant properties of the corresponding oils, and the antioxidant properties of BMAs improve with the increase of the number of phenolic hydroxyl groups [136]. These studies provide a new concept for the preparation of high-efficiency antioxidants by combining biophenols with aniline in one molecule, which lays a commendable foundation for promoting the development of bio-based antioxidants. Although bio-based greases have obvious energy and environmental benefits, low boiling point and easy volatility limit their application fields to some extent, such as heavy machinery. As a result, applying bio-based greases at high temperatures will inevitably require higher additive levels. To achieve large-scale application of bio-based greases, it is necessary to regulate the nature of the oil (such as oil modification) to overcome the disadvantages of low boiling point and high volatility. Meanwhile, the characteristics of additives that match bio-based greases, such as structure-activity relationships, should also be studied and proven. Finally, Table 3 summarizes the performances of various radical scavengers in lubricating oils.
Figure 17.
(a) Phenolic amine prepared from biological hydrogenated cardanol and aromatic amines, and (b) The structures of bio-based multifunctional antioxidants (BMAs) (adapted from [131,136]).
Figure 18.
The intramolecular synergistic antioxidant mechanism of BA1 [131].
Table 3.
The summary of research on various radical scavengers.
5. Summary and Prospects
Antioxidants are crucial in improving thermal stability and maintaining the specific function of lubricating oils. This review focuses on additives and discusses the performance of antioxidants in lubricating oils, and the antioxidants include sulfur compounds, phosphorus compounds, sulfur–phosphorus compounds, sulfur–nitrogen compounds, aromatic amines, and hindered phenols as well as the phenolic amine complex. Traditional antioxidants, such as ZDDP, have excellent antioxidant properties in lubricating oil, but high concentrations of S and P can seriously harm mechanical equipment, ternary catalysts, and the natural environment. Based on this, researchers combined a small amount of ZDDP with other additives (such as radical scavengers) in lubricating oils, and synergistic antioxidant properties between them were discovered. To prepare high-end “green” lubricants, hindered phenol and aromatic amine antioxidants have received widespread attention. Nevertheless, the thermal stability and antioxidant properties of these additives are unsatisfactory. Hence, the innovative molecules, which contain multiple phenolic hydroxyls or imine groups, were designed and synthesized by a series of strategic approaches, such as bridged centers or chemical bonds, surface functionalization of inorganic particles, and polymerization. These molecules exhibit outstanding high-temperature antioxidant properties in lubricating oils. In addition, the hindered phenol and aromatic amine structures moieties within a single molecule have also been designed and synthesized to form the phenolic amine complex. Furthermore, by functionalizing the complex with alkyl groups and incorporating sulfur atoms into the alkyl chain, it can produce antioxidants with both intramolecular and intermolecular (multiple) synergistic effects.
Due to the high demand for high-end lubricant additives in technological development, the development of “green” and high-performance antioxidants in lubricants remains a challenge. According to current research results, the following directions may emerge in the development of future antioxidants:
- (i)
- Developing toward ashless antioxidants that are sulfur- and phosphorus-free to reduce pollution and oil ash.
- (ii)
- Developing toward multi-phenol antioxidants because of higher antioxidant properties compared to the single phenolic compounds.
- (iii)
- Developing toward macromolecules, such as the alkylation and aromatization of multi-phenols and alkylated aromatic amines.
- (iv)
- Developing toward composite antioxidants. This is because these composites can effectively improve the oxidation resistance of lubricating oil at high temperatures.
Author Contributions
Conceptualization, D.X. and H.L. (Hui Liu); writing—original draft preparation, D.X.; writing—review and editing, S.H. and J.Y.; supervision, S.H. and H.L. (Hualin Lin); suggestion, H.L. (Hui Liu); project administration, S.H. and Y.W.; funding acquisition, S.H. and H.L. (Hualin Lin). All authors have read and agreed to the published version of the manuscript.
Funding
This work was supported by the National Natural Science Foundation of China (Project Number 22075183, 22278269 and 21975161), Joint Fund of the Ministry of Education (Project Number 8091B02052304), Industrial Collaborative Innovation Project of Shanghai (Project Number 2021-cyxt1-kj37 and XTCX-KJ-2022-70), Research and Innovation Project of Shanghai Municipal Education Commission (Project Number 2023ZKZD54), Natural Science Foundation Project of Shanghai (Project Number 23ZR1425300 and 22ZR1426100), Technical Standard Project of Shanghai (Project Number 23DZ2201100), and High-end Special Oils Technical Innovation Center of Shandong Province.
Data Availability Statement
Not applicable.
Conflicts of Interest
Yonggang Wang, Hui Liu and Sheng Han were employed by Luoyang Pacific United Petrochemical Co., Ltd. The remaining authors declare that the research was conducted in the absence of any commercial or financial relationships that could be construed as a potential conflict of interest.
References
- Gou, R.; Chen, J. Tribological properties of graphene/MoS2 combinations as lubricant additives for polycrystalline diamond compact. Ceram. Int. 2024, 50, 12713–12723. [Google Scholar] [CrossRef]
- Wang, X.; Ye, X. Effect of morphology on tribological properties of Fe3O4 as lubricant additive: Nanospheres, nanowires and nanosheets. Tribol. Int. 2024, 191, 109201. [Google Scholar] [CrossRef]
- Georges, J.M.; Martin, J.M.; Mathia, T.; Kapsa, P.; Meille, G.; Montes, H. Mechanism of boundary lubrication with zinc dithiophosphate. Wear 1979, 53, 9–34. [Google Scholar] [CrossRef]
- Rudnick, L.R. Lubricant Additives: Chemistry and Applications, 2nd ed.; CRC Press: Boca Raton, FL, USA, 2009; pp. 4–41. [Google Scholar] [CrossRef]
- Xiao, H.; Liu, S. 2D nanomaterials as lubricant additive: A review. Mater. Des. 2017, 135, 319–332. [Google Scholar] [CrossRef]
- Jia, T.; Yu, Y.; Liu, Q.; Yang, Y.; Zou, J.-J.; Zhang, X.; Pan, L. Theoretical and experimental study on the inhibition of jet fuel oxidation by diarylamine. Chin. J. Chem. Eng. 2023, 56, 225–232. [Google Scholar] [CrossRef]
- Martini, A.; Ramasamy, U.S.; Len, M. Review of viscosity modifier lubricant additives. Tribol. Lett. 2018, 66, 58. [Google Scholar] [CrossRef]
- Soudagar, M.E.M.; Nik-Ghazali, N.-N.; Kalam, M.A.; Badruddin, I.A.; Banapurmath, N.R.; Bin Ali, M.A.; Kamangar, S.; Cho, H.M.; Akram, N. An investigation on the influence of aluminium oxide nano-additive and honge oil methyl ester on engine performance, combustion and emission characteristics. Renew. Energy 2020, 146, 2291–2307. [Google Scholar] [CrossRef]
- Wu, Y.; Li, W.; Zhang, M.; Wang, X. Oxidative degradation of synthetic ester and its influence on tribological behavior. Tribol. Int. 2013, 64, 16–23. [Google Scholar] [CrossRef]
- Maleville, X.; Faure, D.; Legros, A.; Hipeaux, J.C. Oxidation of mineral base oils of petroleum origin: The relationship between chemical composition, thickening, and composition of degradation products. Lubr. Sci. 1996, 9, 1–60. [Google Scholar] [CrossRef]
- Hamblin, P.C.; Rohrbach, P. Piston deposit control using metal-free additives. Lubr. Sci. 2001, 14, 1–23. [Google Scholar] [CrossRef]
- Hu, C.; You, G.; Liu, J.; Du, S.; Zhao, X.; Wu, S. Study on the mechanisms of the lubricating oil antioxidants: Experimental and molecular simulation. J. Mol. Liq. 2021, 324, 115099. [Google Scholar] [CrossRef]
- Salah, H.; Elkatory, M.R.; Fattah, M.A. Novel zinc-polymer complex with antioxidant activity for industrial lubricating oil. Fuel 2021, 305, 121536. [Google Scholar] [CrossRef]
- Mills, R.; Wu, G.Z. Synthesis and evaluation of novel prodrugs of foscarnet and dideoxycytidine with a universal carrier compound comprising a chemiluminescent and a photochromic conjugate. J. Pharm. Sci. 2004, 93, 1320–1336. [Google Scholar] [CrossRef]
- Rasberger, M. Oxidative degradation and stabilisation of mineral oil based lubricants. In Chemistry and Technology of Lubricants; Springer: Berlin/Heidelberg, Germany, 1997; pp. 98–143. [Google Scholar] [CrossRef]
- Mallat, T.; Baiker, A. Oxidation of alcohols with molecular oxygen on solid catalysts. Chem. Rev. 2004, 104, 3037–3058. [Google Scholar] [CrossRef] [PubMed]
- Lersch, M.; Tilset, M. Mechanistic aspects of c-h activation by pt complexes. Chem. Rev. 2005, 105, 2471–2526. [Google Scholar] [CrossRef]
- Perrin, C.L.; Chang, K.-L. The complete mechanism of an aldol condensation. J. Org. Chem. 2016, 81, 5631–5635. [Google Scholar] [CrossRef]
- Shieh, Y.-T.; Wang, W.-W. Radical scavenging efficiencies of modified and microwave-treated multiwalled carbon nanotubes. Carbon 2014, 79, 354–362. [Google Scholar] [CrossRef]
- Yan, S.; Wu, G. Thermo-induced chain scission and oxidation of isosorbide-based polycarbonates: Degradation mechanism and stabilization strategies. Polym. Degrad. Stab. 2022, 202, 110028. [Google Scholar] [CrossRef]
- Kobbe, W.H. Sulphur-Containing Oil Composition and Method of Making the Same. U.S. Patent 1844400, 9 February 1932. [Google Scholar]
- Palmer, R.C.; Powers, P.O. Sulfurized Terpene Oil and Process of Preparing The Same. U.S. Patent 1926687, 12 September 1933. [Google Scholar]
- Knowles, E.C.; McCoy, F.C.; Patterson, J.A. Lubricating Oil and Method of Lubricating. U.S. Patent 2417305, 11 March 1947. [Google Scholar]
- Lincoln, B.H.; Steiner, W.L.; Byrkit, G.D. Sulphur Containing Lubricant. U.S. Patent 2218132, 15 October 1940. [Google Scholar]
- Lincoln, B.H.; Byrkit, G.D.; Steiner, W.L. Method for the Synthesis of Sulphur-Bearing Derivatives of High Molecular Weight. U.S. Patent 2348080, 15 October 1944. [Google Scholar]
- Haas, F.C. Nonsludging Lubricating Oil for Internal-Combustion Engines. U.S. Patent 2162398, 13 June 1939. [Google Scholar]
- Koelewijn, P.; Berger, H. Mechanism of the antioxidant action of dialkyl sulfoxides. Recl. Trav. Chim. Pays-Bas 1972, 91, 1275–1286. [Google Scholar] [CrossRef]
- Bridgewater, A.J.; Sexton, M.D. Mechanism of antioxidant action: Reactions of alkyl and aryl sulfides with hydroperoxides. J. Chem. Soc. Perkin Trans. 1978, 6, 530–536. [Google Scholar] [CrossRef]
- Mikeska, L.A.; Lieber, E. Preparation of Phenol Sulfides. U.S. Patent 2139321, 6 December 1938. [Google Scholar]
- Mikeska, L.A.; Cohen, C.A. Stabilizing Mineral Lubricating Oils. U.S. Patent 2139766, 13 December 1938. [Google Scholar]
- Mikeska, L.A.; Lieber, E. Stabilized Lubricating Composition. U.S. Patent 2174248, 26 September 1939. [Google Scholar]
- Mikeska, L.A.; Lieber, E. Polymerization and Condensation Products of Phenol Sulfides. U.S. Patent 2239534, 22 April 1941. [Google Scholar]
- Askew, H.F.; Jayne, G.J.J.; Elliott, J.S. Lubricant Compositions. U.S. Patent 3882031, 6 May 1975. [Google Scholar]
- Oumar-Mahamat, H.; Horodysky, A.G.; Jeng, A. Dihydrobenzothiophenes as Antioxidant and Antiwear additives. U.S. Patent 5514289, 7 May 1996. [Google Scholar]
- Brown, A.L. Treatment of Hydrocarbon Oils. U.S. Patent 1234862, 31 July 1917. [Google Scholar]
- Hall, F.W.; Towne, C.C. Method of Lubrication. U.S. Patent 2257601, 30 September 1941. [Google Scholar]
- Ashburn, H.V.; Alsop, W.G. Lubricating Oil. U.S. Patent 2221162, 12 November 1940. [Google Scholar]
- Musher, S. Lubricating Oil and Method of Making the Same. U.S. Patent 2223941, 3 December 1940. [Google Scholar]
- Loane, C.M.; Gaynor, J.W. Lubricant. U.S. Patent 2322859, 29 June 1943. [Google Scholar]
- Moran, R.C.; Kozacik, A.P. Mineral Oil Composition. U.S. Patent 2151300, 21 March 1939. [Google Scholar]
- Li, W.M.; Wang, Q.R.; Wang, X.B.; Liu, W.M. Preparation and properties study of hindered phenol derivatives as multifunctional lubricating additive. Lubr. Oil 2012, 27, 30–34. [Google Scholar] [CrossRef]
- Messina, N.V.; Donald, R.S. Stabilized Flulds. U.S. Patent 3556999, 19 January 1971. [Google Scholar]
- Meyers, D. Method of Lubricating Compression Cylinders Used in the Manufacture of High-Pressure Polyethylene. U.S. Patent 6172014, 9 January 2001. [Google Scholar]
- Dong, J.; Migdal, C.A. Stabilized Lubricant Compositions. U.S. Patent 7829511, 9 November 2010. [Google Scholar]
- Holt, A.; Mulqueen, G. Stabilizing Compositions for Lubricating Oils. U.S. Patent 20030171227, 11 September 2003. [Google Scholar]
- Durr, A.M., Jr.; Krenowicz, R.A. Turbine Oil Compositions. U.S. Patent 3923672, 2 December 1975. [Google Scholar]
- Cohen, S.C. Synergistic Antioxidant System for Severely Hydrocracked Lubricating Oils. U.S. Patent 5124057, 23 June 1992. [Google Scholar]
- Chen, Y.; Renner, P.; Liang, H. A review of current understanding in tribochemical reactions involving lubricant additives. Friction 2023, 11, 489–512. [Google Scholar] [CrossRef]
- Armstrong, D.R.; Ferrari, E.S.; Roberts, K.J.; Adams, D. An investigation into the molecular stability of zinc di-alkyl-di-thiophosphates (zddps) in relation to their use as anti-wear and anti-corrosion additives in lubricating oils. Wear 1997, 208, 138–146. [Google Scholar] [CrossRef]
- Fox, M.F.; Pawlak, Z.; Picken, D.J. Inverse micelles and solubilization of proton donors in hydrocarbon formulations. Tribol. Int. 1991, 24, 341–349. [Google Scholar] [CrossRef]
- Rivier, G. Metal Dithiophosphates and Their Use as Additives for Lubricating Oils. U.S. Patent 4288335, 8 September 1981. [Google Scholar]
- Schroeck, C.W. Metal Salts of Lower Dialkylphosphorodithioic Acids. U.S. Patent 4466895, 21 August 1984. [Google Scholar]
- Clason, D.L.; Schroeck, C.W. Mixed Metal Salts and Lubricants and Functional Fluids Containing Them. U.S. Patent 4308154, 29 December 1981. [Google Scholar]
- Asseff, P.A. Lubricant. U.S. Patent 2261047, 28 October 1941. [Google Scholar]
- Cook, E.W.; Thomas, W.D., Jr. Lubricating Compositions. U.S. Patent 2368000, 23 January 1945. [Google Scholar]
- Sarin, R.; Tuli, D.K.; Sureshbabu, A.V.; Misra, A.K.; Rai, M.M.; Bhatnagar, A.K. Molybdenum dialkylphosphorodithioates: Synthesis and performance evaluation as multifunctional additives for lubricants. Tribol. Int. 1994, 27, 379–386. [Google Scholar] [CrossRef]
- Ghanbari, B.; Khailli, A.A.; Taheri, Z.; Mohajerani, B.; Soleymani Jamarani, M. The effect of fullerene c60 and its amine derivative on the zddp antioxidative functionality. Fuller. Nanotub. Carbon Nanostruct. 2007, 15, 439–443. [Google Scholar] [CrossRef]
- Wang, S.; Yu, S.; Huang, B.; Feng, J.; Liu, S. Unique synergism between zinc dialkyldithiophosphates and schiff base bridged phenolic diphenylamine antioxidants. Tribol. Int. 2020, 145, 106134. [Google Scholar] [CrossRef]
- Wang, J.; He, T.X.; Song, C.Y.; Li, X.Q.; Chen, B.S. Engine oil degradation induced by biodiesel: Effect of methyl oleate on the performance of zinc dialkyldithiophosphate. ACS Omega 2019, 4, 16166–16170. [Google Scholar] [CrossRef]
- Wang, Y.G.; Li, J.S.; Ren, T.H. Tribological study of a novel borate ester containing s, p with high hydrolytic stability as a multifunctional lubricating additive. Tribol. Trans. 2008, 51, 160–165. [Google Scholar] [CrossRef]
- Jin, Y.; Duan, H.; Cheng, B.; Wei, L.; Tu, J.; Liu, J.; Li, J. Synthesis of a multi-phenol antioxidant and its compatibility with alkyl diphenylamine and zddp in ester oil. Tribol. Lett. 2019, 67, 58. [Google Scholar] [CrossRef]
- Hester, W.F. Fungicidal Compositions Suitable for Use on Plants or Seeds. U.S. Patent 2317765, 27 April 1943. [Google Scholar]
- Hu, J.-Q.; Wei, X.-Y.; Dai, G.-L.; Fei, Y.-W.; Liu, C.-C.; Zong, Z.-M.; Yao, J.-B. Synergistic antioxidation of organic molybdenum complex with dithiocarbamate antioxidant evaluated by differential scanning calorimetry and thin film micro oxidation test. Thermochim. Acta 2007, 453, 21–26. [Google Scholar] [CrossRef]
- Chesluk, R.P.; Askew, J.D., Jr.; Henderson, C.C. Oxidation-Inhibited Lubricating Oil. U.S. Patent 4125479, 14 November 1978. [Google Scholar]
- Yao, J.B. The application of ashless thiocarbamate as lubricant antioxidation and ep additive. Lubr. Oil 2005, 20, 41–44. [Google Scholar] [CrossRef]
- Doe, L.A. Antioxidant Synergists for Lubricating Compositions. U.S. Patent 4880551, 14 November 1989. [Google Scholar]
- Nakazato, M.; Magarifuchi, J.; Isozaki, Y. Low Phosphorus Engine Oil Compositions and Additive Compositions. U.S. Patent 5629272, 13 May 1997. [Google Scholar]
- DeVries, L.; King, J.M. Antioxidant Combinations of Molybdenum Complexes and Aromatic Amine Compounds. U.S. Patent 4370246, 25 January 1983. [Google Scholar]
- Arai, K.; Tomizawa, H. Lubricating Oil Composition. U.S. Patent 5605880, 25 February 1994. [Google Scholar]
- Tomizawa, H. Lubricating Oil Composition for Internal Combustion Engines. U.S. Patent 5688748, 18 November 1997. [Google Scholar]
- Yao, J.B. Recent development of antiwear and extreme pressure-resistant additives for lubricating oils and greases. Lubr. Oil 2006, 21, 29–37. [Google Scholar] [CrossRef]
- Hoffman, D.M.; Feher, J.J.; Farmer, H.H. Lubricating Compositions Containing 5,5’-Dithiobis(1,3,4-Thiadiazole-2-Thiol). U.S. Patent 4517103, 14 May 1985. [Google Scholar]
- Salomon, M.F. N-Substituted Thio Alkyl Phenothiazines. U.S. Patent 5034019, 23 July 1991. [Google Scholar]
- Styer, J.; Guinther, G. Fuel economy beyond ilsac GF-5: Correlation of modern engine oil tests to real world performance. SAE Int. J. Fuels Lubr. 2012, 5, 1025–1033. [Google Scholar] [CrossRef]
- Hu, J.Q.; Wei, X.Y.; Yao, J.B.; Han, L.; Zong, Z.M. Evaluation of molybdate ester as a synergist for arylamine antioxidant in lubricants. Tribol. Int. 2006, 39, 1469–1473. [Google Scholar] [CrossRef]
- Miao, C.; Zhang, L.; Zheng, K.; Cui, Y.; Zhang, S.; Yu, L.; Zhang, P. Synthesis of ploy(p-methoxyphenol) and evaluation of its antioxidation behavior as an antioxidant in several ester oils. Tribol. Int. 2015, 88, 95–99. [Google Scholar] [CrossRef]
- Lucarini, M.; Pedrielli, P.; Pedulli, G.F.; Valgimigli, L.; Gigmes, D.; Tordo, P. Bond dissociation energies of the n−h bond and rate constants for the reaction with alkyl, alkoxyl, and peroxyl radicals of phenothiazines and related compounds. J. Am. Chem. Soc. 1999, 121, 11546–11553. [Google Scholar] [CrossRef]
- Asadauskas, S.J.; Grigucevičienė, A.; Leinartas, K.; Bražinskienė, D. Application of three-electrode electrolytic cell to evaluate thin films of vegetable and mineral oils. Tribol. Int. 2011, 44, 557–564. [Google Scholar] [CrossRef]
- Zhan, W.; Tu, J.S.; Qian, X.Z.; Li, J.; Liu, J. Synthesis of butyl-octyl-diphenylamine as lubricant antioxidant additive by ionic liquids. Int. J. Adv. Manuf. Technol. 2018, 96, 1647–1653. [Google Scholar] [CrossRef]
- Bolsman, T.A.B.M.; Blok, A.P.; Frijns, J.H.G. Catalytic inhibition of hydrocarbon autoxidation by secondary amines and nitroxides. Recl. Des Trav. Chim. Des Pays-Bas 1978, 97, 310–312. [Google Scholar] [CrossRef]
- Jensen, R.K.; Korcek, S.; Zinbo, M.; Gerlock, J.L. Regeneration of amine in catalytic inhibition of oxidation. J. Org. Chem. 1995, 60, 5396–5400. [Google Scholar] [CrossRef]
- Holubec, Z.M. Lubricant Compositions. U.S. Patent 3876550, 8 April 1975. [Google Scholar]
- Jian-Qiang, H.; Yang, S.-Z.; Zhang, J.-J.; Guo, L.; Xu, X. Synthesis and anti-oxidative properties of poly(diphenylamine) derivative as lubricant antioxidant. Pet. Chem. 2019, 59, 1037–1042. [Google Scholar] [CrossRef]
- Miao, C.; Yu, D.; Huang, L.; Zhang, S.; Yu, L.; Zhang, P. Synthesis of 1,3,5-tris(phenylamino) benzene derivatives and experimental and theoretical investigations of their antioxidation mechanism. Ind. Eng. Chem. Res. 2016, 55, 1819–1826. [Google Scholar] [CrossRef]
- Shah, R.; Poon, J.-F.; Haidasz, E.A.; Pratt, D.A. Temperature-dependent effects of alkyl substitution on diarylamine antioxidant reactivity. J. Org. Chem. 2021, 86, 6538–6550. [Google Scholar] [CrossRef] [PubMed]
- Yao, J.; Dong, J. Evaluation of sodium stearate as a synergist for arylamine antioxidants in synthetic lubricants. Thermochim. Acta 1995, 262, 157–163. [Google Scholar] [CrossRef]
- Yao, J.B.; Dong, J.X. Antioxidation synergism between alkali metal salts and arylamine compounds in synthetic lubricants. Tribol. Trans. 1996, 39, 498–500. [Google Scholar] [CrossRef]
- Yao, J.B. Evaluation of sodium acetylacetonate as a synergist for arylamine antioxidants in synthetic lubricants. Tribol. Int. 1997, 30, 795–799. [Google Scholar] [CrossRef]
- Hu, J.Q.; Wei, X.Y.; Dai, G.L.; Liu, C.C.; Fu, Y.; Zong, Z.M.; Yao, J.B. Study demonstrating enhanced oxidation stability when arylamine antioxidants are combined with organic molybdenum complexes. Tribol. Trans. 2007, 50, 205–210. [Google Scholar] [CrossRef]
- Hu, J.Q.; Wang, X.L.; Dai, G.L.; Fei, Y.W.; Wei, X.Y.; Zong, Z.M. Evaluation on synergistic antioxidation of molybdenum dialkydithiocarbamate with arylamine antioxidant. Ind. Lubr. Tribol. 2011, 63, 78–83. [Google Scholar] [CrossRef]
- Cai, T.; Liu, D.; Zhao, L.; Ye, M.; Liu, S. In situ tribochemical sulfurization of polyisobutylene-based molybdenum species for enhanced tribo-performance. Tribol. Int. 2019, 136, 556–569. [Google Scholar] [CrossRef]
- Hu, J.-Q.; Zhang, J.-J.; Guo, L.; Miao, C.-Q.; Yang, S.-Z.; Ma, J.; Xu, X.; Xie, F. Synthesis of styrenated sulfur- and phosphorus-free organic titanate and evaluation of its tribological and antioxidant properties as an additive in poly-α-olefin. Ind. Eng. Chem. Res. 2019, 58, 1754–1759. [Google Scholar] [CrossRef]
- Chao, M.R.; Li, W.M.; Wang, X.B. Antioxidant synergism between synthesised alkylated diphenylamine and dilauryl thiodipropionate in polyolefin base fluid. J. Therm. Anal. Calorim. 2014, 117, 925–933. [Google Scholar] [CrossRef]
- Chao, M.; Fan, R.; Zhang, L.; Wang, X.; Shu, Q.; Gao, J.; Chen, L.; Gong, P.; Shen, D. Synthesis and antioxidant properties of a novel arylamine antioxidant. Bull. Korean Chem. Soc. 2021, 42, 1440–1445. [Google Scholar] [CrossRef]
- Yehye, W.A.; Rahman, N.A.; Ariffin, A.; Abd Hamid, S.B.; Alhadi, A.A.; Kadir, F.A.; Yaeghoobi, M. Understanding the chemistry behind the antioxidant activities of butylated hydroxytoluene (bht): A review. Eur. J. Med. Chem. 2015, 101, 295–312. [Google Scholar] [CrossRef] [PubMed]
- Kajiyama, T.; Ohkatsu, Y. Effect of para-substituents of phenolic antioxidants. Polym. Degrad. Stab. 2001, 71, 445–452. [Google Scholar] [CrossRef]
- Lawandy, S.N.; Shehata, A.B.; Younan, A.F. Acrylamides as phenolic antioxidants for acrylqnitrile-butadiene rubber compounds. Polym.-Plast. Technol. Eng. 1996, 35, 813–825. [Google Scholar] [CrossRef]
- Amorati, R.; Pedulli, G.F.; Valgimigli, L.; Johansson, H.; Engman, L. Organochalcogen substituents in phenolic antioxidants. Org. Lett. 2010, 12, 2326–2329. [Google Scholar] [CrossRef] [PubMed]
- Nazarbahjat, N.; Nordin, N.; Abdullah, Z.; Abdulla, M.A.; Yehye, W.A.; Halim, S.N.; Kee, C.H.; Ariffin, A. New thiosemicarbazides and 1,2,4-triazolethiones derived from 2-(ethylsulfanyl) benzohydrazide as potent antioxidants. Molecules 2014, 19, 11520–11537. [Google Scholar] [CrossRef] [PubMed]
- Costil, R.; Sterling, A.J.; Duarte, F.; Clayden, J. Atropisomerism in diarylamines: Structural requirements and mechanisms of conformational interconversion. Angew. Chem. Int. Ed. 2020, 59, 18670–18678. [Google Scholar] [CrossRef]
- Aparicio, S.; Alcalde, R. On the structure of liquid methyl salicylate: The role of intramolecular hydrogen bonding. Eur. J. Chem. 2010, 1, 162–167. [Google Scholar] [CrossRef][Green Version]
- Kajiyama, T.; Ohkatsu, Y. Effect of meta-substituents of phenolic antioxidants-proposal of secondary substituent effect. Polym. Degrad. Stab. 2002, 75, 535–542. [Google Scholar] [CrossRef]
- Boozer, C.E.; Hammond, G.S.; Hamilton, C.E.; Sen, J.N. Air oxidation of hydrocarbons.1 ii. The stoichiometry and fate of inhibitors in benzene and chlorobenzene. J. Am. Chem. Soc. 1955, 77, 3233–3237. [Google Scholar] [CrossRef]
- Suzuki, A.; Ulfiati, R.; Masuko, M. Evaluation of antioxidants in rapeseed oils for railway application. Tribol. Int. 2009, 42, 987–994. [Google Scholar] [CrossRef]
- Zhang, L.; Cai, G.; Eli, W. Synthesis and characterization of novel liquid ester-phenolic antioxidant based on dipentaerythritol. Lubr. Sci. 2013, 25, 209–216. [Google Scholar] [CrossRef]
- Singh, R.K.; Kukrety, A.; Singh, A.K. Study of novel ecofriendly multifunctional lube additives based on pentaerythritol phenolic ester. ACS Sustain. Chem. Eng. 2014, 2, 1959–1967. [Google Scholar] [CrossRef]
- Singh, R.K.; Kukrety, A.; Chatterjee, A.K.; Thakre, G.D.; Bahuguna, G.M.; Saran, S.; Adhikari, D.K.; Atray, N. Use of an acylated chitosan schiff base as an ecofriendly multifunctional biolubricant additive. Ind. Eng. Chem. Res. 2014, 53, 18370–18379. [Google Scholar] [CrossRef]
- Singh, R.K.; Pandey, S.; Saxena, R.C.; Thakre, G.D.; Atray, N.; Ray, S.S. Study of cystine schiff base esters as new environmentally benign multifunctional biolubricant additives. J. Ind. Eng. Chem. 2015, 26, 149–156. [Google Scholar] [CrossRef]
- Singh, R.K.; Kukrety, A.; Sharma, O.P.; Baranwal, S.; Atray, N.; Ray, S.S. Study of a novel phenolic-ester as antioxidant additive in lube, biodiesel and blended diesel. J. Ind. Eng. Chem. 2016, 37, 27–31. [Google Scholar] [CrossRef]
- Faujdar, E.; Singh, R.K. Study on alkylated schiff base of a triazole with 3, 5-di-tert-butyl-4-hydroxybenzaldehyde as a novel multifunctional lubricant additive. Fuel 2021, 302, 121158. [Google Scholar] [CrossRef]
- Higgins, C.L.; Filip, S.V.; Afsar, A.; Hayes, W. Synthesis, characterisation, and performance evaluation of tri-armed phenolic antioxidants. Tetrahedron Lett. 2020, 61, 152127. [Google Scholar] [CrossRef]
- Huang, L.; Zhou, C.; Zhang, Y.; Zhang, S.; Zhang, P. Dbhp-functionalized zno nanoparticles with improved antioxidant properties as lubricant additives. Langmuir 2019, 35, 4342–4352. [Google Scholar] [CrossRef] [PubMed]
- Higgins, C.L.; Filip, S.V.; Afsar, A.; Hayes, W. Evaluation of thermal and oxidative stability of three generations of phenolic based novel dendritic fuel and lubricant additives. React. Funct. Polym. 2019, 142, 119–127. [Google Scholar] [CrossRef]
- Yu, S.; Wang, Y.; Ma, Y.; Wang, L.; Zhu, J.; Liu, S. Structure, thermal stability, antioxidant activity and dft studies of trisphenols and related phenols. Inorganica Chim. Acta 2017, 468, 159–170. [Google Scholar] [CrossRef]
- Alexsandra de Sousa Rios, M.; Sales, F.A.M.; Mazzetto, S.E. Study of antioxidant properties of 5-n-pentadecyl-2-tert-amylphenol. Energy Fuels 2009, 23, 2517–2522. [Google Scholar] [CrossRef]
- Zhang, L.; Cai, G.; Wang, Y.; Eli, W. Synthesis and characterisation of antioxidant-modified esters of dipentaerythritol as lubricating base oil. Lubr. Sci. 2013, 25, 329–337. [Google Scholar] [CrossRef]
- Faujdar, E.; Singh, R.K. Methyl oleate derived multifunctional additive for polyol based lubricants. Wear 2021, 466–467, 203550. [Google Scholar] [CrossRef]
- Nath, A.R.; Yehye, W.A.; Zulkifli, N.W.M.; Rafie Johan, M. Ester of thiolated butylated hydroxytoluene: Potential antioxidant for synthetic lubricant oil. Thermochim. Acta 2018, 670, 7–12. [Google Scholar] [CrossRef]
- Chao, M.; Li, W.; Chen, L.; Wang, X. Hindered phenol derivative as a multifunctional additive in lithium complex grease. Ind. Eng. Chem. Res. 2015, 54, 6605–6610. [Google Scholar] [CrossRef]
- Yu, S.; Feng, J.; Cai, T.; Liu, S. Schiff base bridged phenolic diphenylamines for highly efficient and superior thermostable lubricant antioxidants. Ind. Eng. Chem. Res. 2017, 56, 4196–4204. [Google Scholar] [CrossRef]
- Czochara, R.; Kusio, J.; Symonowicz, M.; Litwinienko, G. Fullerene c60 derivatives as high-temperature inhibitors of oxidative degradation of saturated hydrocarbons. Ind. Eng. Chem. Res. 2016, 55, 9887–9894. [Google Scholar] [CrossRef]
- Czochara, R.; Kusio, J.; Litwinienko, G. Fullerene c60 conjugated with phenols as new hybrid antioxidants to improve the oxidative stability of polymers at elevated temperatures. RSC Adv. 2017, 7, 44021–44025. [Google Scholar] [CrossRef]
- Bolbukh, Y.; Kuzema, P.; Tertykh, V.; Laguta, I. Thermal degradation of polyethylene containing antioxidant and hydrophilic/hydrophobic silica. J. Therm. Anal. Calorim. 2008, 94, 727–736. [Google Scholar] [CrossRef]
- Gensler, R.; Plummer, C.J.G.; Kausch, H.H.; Kramer, E.; Pauquet, J.R.; Zweifel, H. Thermo-oxidative degradation of isotactic polypropylene at high temperatures: Phenolic antioxidants versus has. Polym. Degrad. Stab. 2000, 67, 195–208. [Google Scholar] [CrossRef]
- Yu, S.; Liu, S. Multifunctional antioxidants with high activity at elevated temperatures based on intramolecular synergism. Eur. J. Org. Chem. 2018, 2018, 381–385. [Google Scholar] [CrossRef]
- Higgins, C.L.; Filip, S.V.; Afsar, A.; Hayes, W. Increasing the antioxidant capability via the synergistic effect of coupling diphenylamine with sterically hindered phenol. Tetrahedron 2019, 75, 130759. [Google Scholar] [CrossRef]
- Wang, S.P.; Yu, S.S.; Feng, J.X.; Liu, S.G. Multifunctional lubricant additive based on difluoroboron derivatives of a diphenylamine antioxidant. RSC Adv. 2019, 9, 35059–35067. [Google Scholar] [CrossRef]
- Wang, S.; Yu, S.; Feng, J.; Liu, S. A highly efficient antioxidant based on boron and a schiff base bridged phenolic diphenylamine: Synthesis, crystal structure and thermal and antioxidant properties. Acta Crystallogr. Sect. C 2019, 75, 1274–1279. [Google Scholar] [CrossRef]
- Miao, C.; Zhang, Y.; Yang, G.; Zhang, S.; Yu, L.; Zhang, P. Enzymatic oligomerization of p-methoxyphenol and phenylamine providing poly(p-methoxyphenol-phenylamine) with improved antioxidant performance in ester oils. Ind. Eng. Chem. Res. 2016, 55, 12703–12709. [Google Scholar] [CrossRef]
- Miao, C.; Ma, Z.; Yu, L.; Tang, W.; Li, G.; Chen, G.; Cui, M. Controllable synthesis and synergistic antioxidation mechanism of poly(p-methoxyphenol-phenylamine) in biodegradable vegetable-based lubricating oils. Ind. Eng. Chem. Res. 2022, 61, 15784–15795. [Google Scholar] [CrossRef]
- Feng, J.; Zhao, H.; Yue, S.; Liu, S. One-pot synthesis of cardanol-derived high-efficiency antioxidants based on intramolecular synergism. ACS Sustain. Chem. Eng. 2017, 5, 3399–3408. [Google Scholar] [CrossRef]
- Qiu, Q.; Zhang, J.; Yang, L.; Du, D.; Tang, C. Differences analysis of water molecular diffusion behaviors in vegetable oil and mineral oil under temperature field. J. Mol. Liq. 2021, 323, 115030. [Google Scholar] [CrossRef]
- Xu, Y.; Geng, J.; Peng, Y.; Liu, Z.; Yu, J.; Hu, X. Lubricating mechanism of fe3o4@mos2 core-shell nanocomposites as oil additives for steel/steel contact. Tribol. Int. 2018, 121, 241–251. [Google Scholar] [CrossRef]
- Fan, M.; Ai, J.; Hu, C.; Du, X.; Zhou, F.; Liu, W. Naphthoate based lubricating oil with high oxidation stability and lubricity. Tribol. Int. 2019, 138, 204–210. [Google Scholar] [CrossRef]
- Xue, W.; Shi, L.; Chen, X.; Qiu, M.; Zhou, C.; Liu, H.; Li, S.; Sun, Y. The direct synthesis of a bio-lubricant by the oligomerization of methyllinoleate via castor oil. Green Chem. 2019, 21, 6658–6666. [Google Scholar] [CrossRef]
- Zhao, H.; Feng, J.; Zhu, J.; Yu, H.; Liu, Y.; Shi, P.; Wang, S.; Liu, S. Synthesis and application of highly efficient multifunctional vegetable oil additives derived from biophenols. J. Clean. Prod. 2020, 242, 118274. [Google Scholar] [CrossRef]
Disclaimer/Publisher’s Note: The statements, opinions and data contained in all publications are solely those of the individual author(s) and contributor(s) and not of MDPI and/or the editor(s). MDPI and/or the editor(s) disclaim responsibility for any injury to people or property resulting from any ideas, methods, instructions or products referred to in the content. |
© 2024 by the authors. Licensee MDPI, Basel, Switzerland. This article is an open access article distributed under the terms and conditions of the Creative Commons Attribution (CC BY) license (https://creativecommons.org/licenses/by/4.0/).













