Abstract
The behavior of four phosphate ester additives with varying levels of phosphorus concentrations (very high, high, medium, and low) was examined through the course of drilling a Ti-6Al-4V titanium alloy at a constant metal removal rate (4.2 mm3/s). Cutting fluid (CF) additives were evaluated using torque, specific cutting energy (SEC), and tool wear. The drilling conditions employed had a significant influence on the performance of the phosphate ester additives. At 0.105 m/s and 0.188 m/s, the phosphate ester with very high phosphorous levels possessed the lowest SCE and torque values. The high-phosphorous-level phosphate ester displayed enhanced drilling performance at 0.293 m/s. At 0.419 m/s, the SCE and torque performance of the medium-phosphorous-level phosphate ester was preferable. The drilling performance of the phosphorus esters was observed to be related to the working mechanisms of the additives, which, in turn, was associated with the formation of a phosphorus-rich tribolayer and an organophosphate tribolayer on the cutting blade.
1. Introduction
Despite the difficult-to-cut property of titanium alloys, they remain an attractive metal for the aerospace, medical, automobile, and other engineering industries, due to such excellent properties as a high strength-to-weight ratio, resistance to fracture and corrosion resistance, as well as specific strength [1]. Titanium’s difficult-to-cut property is related to high adhesion, high temperatures, and high cutting forces experienced during machining due to its high chemical reactivity and low thermal conductivity [2]. Drilling is usually one of the last steps employed in fabricating mechanical components as well as one of the most utilized machining processes [3]. Parameters used to assess a material’s machinability in drilling include the tool life, torque, specific cutting force, and surface integrity.
Cutting fluids (CFs) are significant in the machining operation, providing both lubrication and cooling, i.e., reducing heat and friction generated at the drill bit/workpiece interface, thereby increasing the life of the tool (drill bit) and ensuring good surface finish and increased productivity [2,4]. CFs also affect the formation of chips as well as their ejection within the cutting zone and prevent the ignition of chips in the machining process [5,6]. Consequently, fabricating parts with good quality requires employing optimal cutting parameters with adaptable cutting fluids and efficient cooling that do not negatively impact the environment [4,7].
This has led to the application of gas-based cooling lubrication techniques, such as minimum quantity lubrication (MQL), little quantity lubrication (LQL), cryogenic or misting and cryogenic minimum quantity lubrication (CMQL), or hybrid MQL [8,9,10]. MQL is a cost-effective and environmentally friendly cooling method that has been extensively studied for decades. It involves the application of a small quantity of lubricant or cutting fluid in combination with gas, in some cases, compressed air flow, while cryogenic cooling involves the application of liquid cryogenic nitrogen (LN2) [9,10,11,12]. Pereira et al. [13] studied the combination of MQL with CO2 cryogenic cooling and observed that the tool life during the milling of Inconel 718 was increased by up to 93%. Liu et al. reported a significant influence of the MQL method in prolonging tool life during a turning test on titanium alloy [14]. Rahim et al. [11] compared MQL with palm oil and synthetic ester as lubricants with flood lubrication conditions while drilling Ti-6Al-4V. They observed that the MQL performed comparably with flood lubrication. While Kamata et al. [15] noted that the performance of MQL in the precision machining of hard materials with coated carbide tools was promising, they pointed out that flood cooling did produce a longer tool life. Outeiro et al. [10] investigated the application of cryogenic cooling in the drilling of Inconel 718 alloys and observed higher torque and tool wear with cryogenic cooling compared with the application of cutting fluids. They concluded that the application of cryogenic cooling required the redesign of the drill. Hong et al. [16] machined bearing steel, Ti–6Al–4V, and steel grades under cryogenic conditions, noting the heat reduction, wear, and enhanced tool life. Tool wear, specific cutting energy, and surface roughness were observed to be enhanced with the application of CMQL by Khan et al. [16]. However, studies have revealed that the effectiveness of MQL is highly dependent on the type of lubricant used. Pereira et al. [17] reported a 15% increase in tool life when sunflower oil was used as the lubricant under MQL conditions compared to other lubricant options. This limitation has prompted further investigation into the introduction of additives into the cutting fluids.
Additives are traditionally included in cutting fluids to improve their cooling and lubricity effect. Efficient lubrication for the machining of titanium alloys can be achieved using anti-wear and extreme-pressure (EP) additives [18]. Extreme-pressure (EP) additives aid in reductions in friction and wear during machining by forming lubricious and protective surface layers known as tribolayers or tribofilms [19]. Alves et al. reported that the EP additives they employed could lower flank wear on tools due to the formation of a boundary layer comprising sulphur (from the EP additive) and metal during the drilling of a compacted graphite iron [20]. Yan et al. [21] reported that the corrosion process on the surface of stainless steel was mitigated by adding chlorinated paraffin in the cutting fluid, which resulted in forming a protective metal oxide layer on the metal surface. Phosphorus additives were observed by Wang et al. [18] to improve the load-bearing capacity and the friction and wear reduction properties of the base fluid for a titanium alloy–steel contact. Although sulphur and phosphorus-containing additives have been found to increase the lubricity and corrosion-inhibiting properties of the base fluid, environmental concerns have been raised about sulphur and most phosphorus-containing products [5,21,22,23]. Therefore, environmentally benign phosphate esters have been considered alternative CF additives [23].
Previous studies examining phosphorus and polymer-based additives revealed that the performance of these additives was drilling-condition-dependent, as under lower cutting speeds with high feed rates, the phosphorus-based additive performance was preferable [24]. Although both of the additives were environmentally benign, this highlighted the difficulty in replacing EP additives during machining within the boundary lubrication conditions. Further work revealed that the performance of the phosphorus-based additive was a result of the introduction of phosphorus into the tribolayer within a critical temperature range and its lubrication failure temperature, and the activation temperature of phosphorus-based additive was influenced by the applied load [25,26]. However, additional work with polymeric ester additives revealed that the performance of each polymeric ester was also dependent on the drilling condition employed [27]. Thus, the cutting fluid additive performance depends on the drilling condition employed. Therefore, evaluating environmentally benign additives to replace phosphorus and sulphur-based additives would depend on the additive performance under varying drilling conditions to determine the additive behavior. This work aims to study the behavior of several environmentally benign phosphate ester additives while drilling a Ti-6Al-4V alloy under a constant metal removal rate (MRR). Torque values and specific cutting energy (SCE) were used to assess the performance of the additives. SCE is the energy needed to remove a specific volume of material. Further examination of the damage, material transfer, and the build-up edge (BUE) on the cutting blade was performed using scanning electron microscopy.
2. Experimental Procedure
Ti-6Al-4V alloy blocks were selected to investigate the effects of the additives on the CFs, with dimensions 30 × 6 × 1.3 cm (L × W × T). The composition of the Ti-6Al4V is listed in Table 1. High-speed steel (HSS) twist drills of 4 mm diameter manufactured by Viking Drill & Tool Co. (Saint Paul, MN, USA) were used as cutting tools. The drill bit consists of two flutes with a high helix and a 135° split point angle. All drill bits were ultrasonically cleaned with hexane before the tests, and each experiment was performed with a fresh drill bit. Drilling test cycles constituted a 10-hole schedule, each to a 5.5 mm depth. Each drilling test cycle was repeated at least twice to ensure the repeatability of tests. Drilling was performed using a retrofitted computer numerically controlled (CNC) vertical drill press, which had 1.491 kW maximum power and a 100 rpm to 5000 rpm variable rotation speed range. A constant metal removal rate (MRR) of 4.2 mm3/s (about 20 mm/min rate of penetration (ROP) was utilized based on varying the feed rates and cutting speeds to generate four drilling conditions, which are detailed in Table 2. These drilling parameters were selected to maintain the constant MRR, which was established from the recommended cutting parameters employed for the drilling of titanium alloys [28].
Table 1.
Composition of Ti-6Al-4V.
Table 2.
Drilling parameters.
This study examined four environmentally benign phosphate ester cutting fluid additives. The additives were introduced individually into a commercially available base cutting fluid (a naphthenic oil) provided by Quaker Houghton (Conshohocken, PA, USA) at 5% (wt/wt) concentration. The additives are referred to as phosphate ester 1, phosphate ester 2, phosphate ester 3, and phosphate ester 4, abbreviated as PE 1, PE 2, PE 3, and PE 4, respectively. The key distinction between the phosphate ester additives was the concentration level of phosphorus in each additive (ranging from low to very high) and the hydrocarbon chain length. The increase in the phosphorus concentration level was accompanied by a reduction in the hydrocarbon chain length, as depicted in Table 3.
Table 3.
Phosphate ester (PE) additive composition.
Consequently, PE 1 had the lowest concentration of phosphorous and the longest hydrocarbon chain length, while PE 4 possessed the highest (very high) phosphorus level and the lowest hydrocarbon chain length. Water-based solutions with a 10% (wt/wt) concentration were then prepared from each additive. The cutting fluid additive samples were fed continuously during the drilling operation through a nozzle under the flooding condition. The cutting fluid behavior and performance were evaluated using torque data attained from a dynamometer coupled to the charge amplifier. The torque generated during drilling was measured for each hole corresponding to the drill’s contact with the workpiece surface. The specific cutting energy (SCE), the total energy input divided by the material removal rate (MRR), was calculated after each test through Equations (1) and (2), where T is the torque value (N∙m), Vc is the cutting speed (m/s), and D is the diameter of the drilling bit (mm).
After each test, the drill bits were ultrasonically cleaned with hexane and examined using an environmental scanning electron microscope (SEM) under a high vacuum to remove excess lubricant and other impurities. Hexane was used to ensure the adhered material to the drill bit surface was not damaged and the transferred materials and the tribolayers formed on the cutting edge of the drill bits could be investigated.
The drill bits were cleaned with hexane ultrasonically after each test and studied using an environmental scanning electron microscope (SEM) under a high vacuum to investigate the material transfer and damage to the cutting blade of the drill bits.
3. Experiment Results
3.1. Average Torque
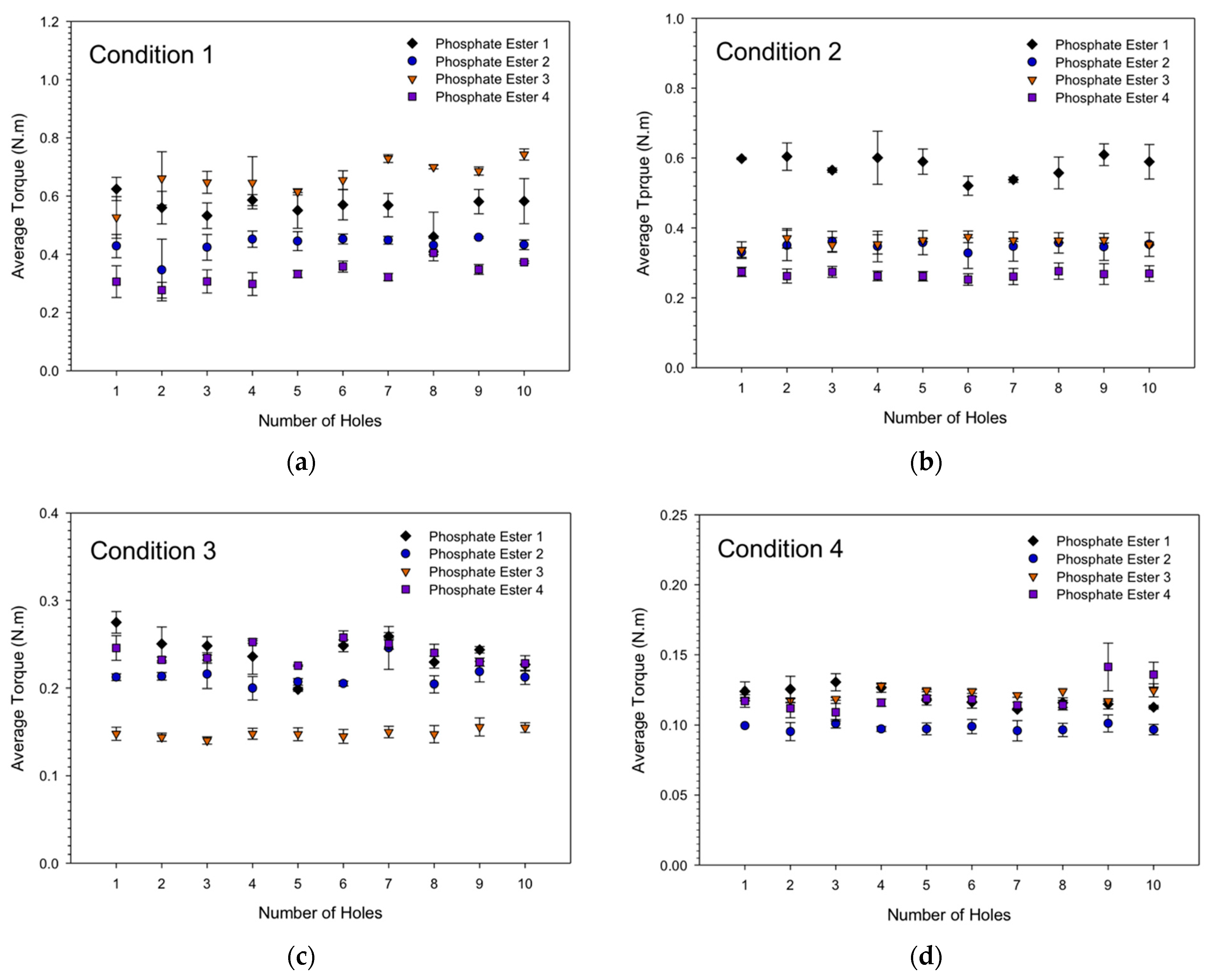
The average torque for the individually drilled holes for all four phosphate ester (PE) additives under the four drilling conditions was recorded and is presented in Figure 1. The graphs show the variation in the average torque performance of the four cutting fluid samples between holes under each drilling condition. As shown in Figure 1, all the samples completed their ten-hole drilling schedule without failure. Analysis of the torque for individual holes revealed that phosphate ester 4 displayed the lowest torque values for about all 10 holes under Conditions 1 and 2. Phosphate ester 3 had the lowest average torque values for each hole under Condition 3, while under Condition 4, phosphate ester 2 displayed the lowest torque values.
Figure 1.
The average torque variations for all four cutting fluids, phosphate ester 1, phosphate ester 2, phosphate ester 3, and phosphate ester 4, employed in drilling 10 holes on a Ti-6Al-4V alloy under (a) Condition 1 (0.105 m/s at 0.04 mm/r), (b) Condition 2 (0.188 m/s at 0.022 mm/r), (c) Condition 3 (0.293 m/s at 0.014 mm/r), (d) Condition 4 (0.419 m/s at 0.01 mm/r).
Additionally, under Condition 1, phosphate ester 3 possessed the highest average torque values, except for the first hole, where phosphate ester 1 displayed a higher torque value. Under Condition 2, the highest average torque values were recorded with phosphate ester 1, while phosphate esters 2 and 3 had comparable torque for most holes. Meanwhile, under Condition 3, phosphate esters 1 and 4 displayed the highest torque values interchangeably during the drilling schedule, depending on which hole was being drilled; it can also be noted that the disparity between the torque values for phosphate esters 1, 2, and 4 was lower during the last few holes drilled. Under Condition 4, phosphate esters 1, 3, and 4 displayed comparable torque values; however, phosphate ester 4 distinctively presented the highest torque values for the last two holes.
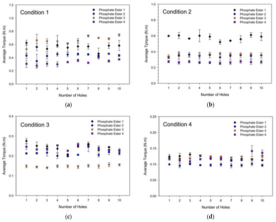
Figure 2 presents the average torque values for the ten-hole drilling schedule for each CF additive sample. The graph summarizes the variation in torque for the different fluid additives under each condition. A general decrease in the average torque values of phosphate esters 2, 3, and 4 was observed between Conditions 1 and 4. However, there was only a slight disparity between the average torque values recorded under Condition 1 (0.562 ± 0.043 N·m) and Condition 2 (0.578 ± 0.030 N·m) for phosphate ester 1. Phosphate ester 3 displayed the highest average torque value under Condition 1. However, the average torque value for phosphate ester 3 had decreased by about half under Condition 2 and, again, more than half under Condition 3, where it possessed the lowest average torque value (0.148 ± 0.005 N·m) of all dilution samples. Phosphate ester 4 displayed the lowest average torque values under both Condition 1 (0.332 ± 0.037 N·m) and Condition 2 (0.266 ± 0.008 N·m). The lowest torque value under Condition 4 was noted with phosphate ester 2 (0.098 ± 0.002 N·m).
Figure 2.
Under the various drilling conditions, the average torque value per hole of 10 holes for all four cutting fluids (phosphate ester 1, phosphate ester 2, phosphate ester 3, and phosphate ester 4).
In summary, phosphate ester 4 displayed the lowest average torque values under Conditions 1 and 2. However, under Condition 3, phosphate ester 3 displayed the lowest average torque, while phosphate ester 2 displayed the lowest average torque under Condition 4. Therefore, phosphate ester 4 displayed the lowest torque values under the lower drilling conditions. At higher drilling conditions, none of the samples were completely dominant, with the disparity in the performance of the sample reducing with more extreme conditions.
3.2. Special Cutting Energy (SCE)
The efficiency of the cutting process was evaluated through the specific cutting energy (SCE) for each drilling condition and CF additive. The SCE curves of all four dilution samples under various drilling parameters are displayed in Figure 3, showing that the four samples possessed similar trends concerning the SCE. Phosphate esters 1, 2, and 4 displayed an increase in SCE between Conditions 1 and 2, showing the highest values of SCE for both phosphate ester 1 (12.97 J/mm3) and phosphate ester 2 (7.81 J/mm3) under Condition 2. However, phosphate esters 1 and 2 displayed a subsequent decrease to 8.45 J/mm3 and 7.43 J/mm3, respectively, under Condition 3 and a further decrease under Condition 4. Phosphate ester 4 had an SCE increase under Condition 3. Phosphate ester 4 displayed the lowest SCE values under Condition 1 (4.14 J/mm3) and the highest under Condition 3 (8.37 J/mm3). The lowest values of SCE for phosphate ester 3 were captured under Condition 1 (8.24 J/mm3).
Figure 3.
The plot of specific cutting energy (SCE) at the varying drilling conditions for the four CFs, phosphate ester 1, phosphate ester 2, phosphate ester 3, and phosphate ester 4.
Therefore, phosphate ester 4 required lower cutting effort (lower SCE), which could result in higher productivity than the other phosphate ester samples under lower drilling conditions; however, it displayed its optimal performance under Condition 1. Under higher drilling conditions, Condition 3, phosphate ester 3 had much higher productivity, displaying its optimal performance under this condition as well. Moreover, under Condition 4, phosphate ester 2 required the lowest cutting effort and had its optimal performance. While phosphate ester 1 also displayed its optimal performance under Condition 4, its SCE value was similar to that of phosphate esters 3 and 4.
3.3. Characterization of Drill Bit
Drill bits used with each CF additive under each condition were inspected after the first and tenth holes, and the SEM images are presented in Figure 4, Figure 5, Figure 6 and Figure 7. The SEM images in Figure 4 show that under Condition 1, phosphate esters 1 and 2 possessed lower flank wear damage on the cutting edge of the drill bits than the flank wear observed on drill bits used with PE 3 and PE 4 after the first hole. Possible adhesion to the cutting edges in the form of a build-up edge (BUE) was also observed on the drills used with phosphate esters 1, 2, and 3, while a dark layer (possibly a tribolayer) was noted wearing off the cutting blade of the drill bit used with phosphate ester 4 after the first hole. After the tenth hole, increased wear damage was detected on drill bits used with phosphate ester 3 in the form of cutting-edge deformation. Further delamination of a more prominent tribolayer was detected on the cutting blade with phosphate ester 4. Under Condition 2, prominent flank wear damage was detected on the cutting edge of the drill bit used with phosphate ester 1 after the first hole of the drilling schedule (Figure 5a). BUE was noted on the drill bit used with phosphate ester 3 (Figure 5b), while the cutting blade used with phosphate ester 4 (Figure 5d) displayed wear to the tribolayer covering it, in addition to the BUE on the cutting edge. After ten holes, the damage to the cutting edge of drill bits used with phosphate esters 1 and 2 was more prominent, with cutting edge deformation detected in addition to the flank wear. Flank wear damage was observed under Condition 3, on the cutting edge of the drill bits used with phosphate esters 2, 3, and 4, and after the first hole, was quite prominent. Dark regions on the cutting blade used with phosphate ester 4 likely indicate the tribolayer covering on the drill bit. After ten holes, the cutting-edge damage included cutting-edge deformation on the drill bit used with phosphate ester 1, while flank wear on the cutting edges of drill bits used with phosphate ester 2 and 3 was covered with BUE. Cutting-edge damage in the form of chipping and flank wear was observed on the drill bit used with phosphate ester 1 after the first hole under Condition 4. BUE was observed covering the flank wear induced on the cutting edge of the drill bit used with phosphate ester 4. After the ten holes, increased flank wear damage on the cutting edge of phosphate esters’ 1 and 3 drill bits was observed. Interestingly, polymerized lubricant was observed after the first hole under Condition 2 for phosphate ester 2, while under Condition 3, it was observed on drill bits used with phosphate esters 2 and 3. Drill bits used with phosphate ester 3 displayed polymerized lubricant on the cutting blade under Condition 4.
Figure 4.
Secondary electron images of the cutting edge of the HSS drill bits after drilling Ti-6Al-4V under Condition 1 (0.105 m/s at 0.04 mm/r), after the first hole with (a) phosphate ester 1, (b) phosphate ester 2, (c) phosphate ester 3, and (d) phosphate ester 4; and after the tenth hole with (e) phosphate ester 1 (f) phosphate ester 2, (g) phosphate ester 3, and (h) phosphate ester 4.
Figure 5.
Secondary electron images of the cutting edge of the HSS drill bits after drilling Ti-6Al-4V under Condition 2 (0.108 m/s at 0.022 mm/r), after the first hole with (a) phosphate ester 1, (b) phosphate ester 2, (c) phosphate ester 3, and (d) phosphate ester 4; and after the tenth hole with (e) phosphate ester 1 (f) phosphate ester 2, (g) phosphate ester 3, and (h) phosphate ester 4.

Figure 6.
Secondary electron images of the cutting edge of the HSS drill bits after drilling Ti-6Al-4V under Condition 3 (0.293 m/s at 0.014 mm/r), after the first hole with (a) phosphate ester 1, (b) phosphate ester 2, (c) phosphate ester 3, and (d) phosphate ester 4; and after the tenth hole with (e) phosphate ester 1 (f) phosphate ester 2, (g) phosphate ester 3, and (h) phosphate ester 4.
Figure 7.
Secondary electron images of the cutting edge of the HSS drill bits after drilling Ti-6Al-4V under Condition 4 (0.419 m/s at 0.01 mm/r) after the first hole with (a) phosphate ester 1, (b) phosphate ester 2, (c) phosphate ester 3, and (d) phosphate ester 4; and after the tenth hole with (e) phosphate ester 1 (f) phosphate ester 2, (g) phosphate ester 3, and (h) phosphate ester 4.
3.4. Drill Bit Surface Analysis
The cutting blades were analyzed using energy-dispersive spectrometry (EDS) to examine the material transfer to the drill bits employed with the CF additives after the first and tenth holes under all drilling conditions. This analysis confirmed the occurrence of titanium adhesion (BUE) on the cutting edge of all the drill bits employed under all drilling conditions with the four CF additives. The EDS maps also exposed that the cutting blades were covered with phosphorus and carbon from the CF additives under all drilling conditions.
Under Condition 1, the BUE was non-uniform for phosphate ester 1 (Figure 8a) after the first hole. Titanium adhesion on the drill blade was observed to occur as randomly distributed speckles covering the blade surface. Titanium adhesion on the cutting blade surface was only observed for phosphate ester 1 at this drilling stage under this condition. Regions of phosphorus enrichment (regions with higher intensity within the maps) were detected on the cutting blade surface for phosphate ester 2 (Figure 8b) and phosphate ester 4 (Figure 8d). The phosphorus-enriched regions occurred as streaks on the cutting blade used with phosphate ester 2 (Figure 8d), while phosphate ester 4 transitioned from streaks, which occurred closer to the cutting edge, to undamaged layers covering the blade surface further away from the cutting edge. The phosphorus-enriched regions were observed to overlap carbon- and oxygen-enriched regions on the corresponding EDS maps, highlighting the possibility of a phosphorus- and carbon-rich (organophosphate) tribolayer. However, carbon-rich regions were also detected on the cutting edges used for all four samples. After ten holes (Figure 9), traces of titanium adhered to the cutting blade randomly distributed close to the cutting edge were observed on cutting blades used with phosphate esters 2 and 4. Phosphorus-enriched regions were more prominent and covered a larger region of the cutting blade for phosphate esters 2 and 4. The phosphorus-enriched regions from phosphate ester 2 still occurred in streaks on the cutting blade. These phosphorus-rich areas also overlapped with the carbon- and oxygen-enriched regions. Again, carbon-enriched regions at the cutting edge were observed on all the cutting blades under this condition. Under Condition 2, traces of titanium adhesion were observed on the cutting blade of drill bits used with phosphate esters 1, 2, and 4 after the first hole (Figure 10). Titanium adhesion was more frequent and concentrated closer to the cutting edge on the cutting blades used with phosphate ester 4. A large area of the cutting blade surface on the drill bit used with phosphate ester 4 was covered with phosphorus enrichment. Cracks were observed within the phosphorus-rich layer and patches, exposing areas with lower phosphorus concentrations. However, the cutting blade used with phosphate ester 2 (Figure 10b) possessed only trace amounts of phosphorus enrichment, while the cutting blades used with the other CF additives were covered with low phosphorus concentrations. Carbon enrichment to the cutting edges was observed for all the samples, which overlapped with the oxygen-rich areas for phosphate esters 1, 2, and 3. However, there were fewer carbon-rich areas on the cutting edges used with phosphate ester 3. After the ten holes (Figure 11), phosphorus-rich streaks were noted on the cutting blade surfaces used with phosphate ester 2, while the phosphorus-rich layer on the cutting blade that was used with phosphate ester 4 possessed cracks and patches within the phosphorus-rich areas, revealing lower phosphorus concentrations. The cracks and patches exposing the lower phosphorus concentration areas correlated with iron-rich areas, which could indicate the delamination of the phosphorus-enriched layer. However, it should be noted that the low-concentration phosphorous regions occurring in areas where the phosphorus-rich layer had delaminated could indicate another phosphorus layer lying beneath the phosphorous-enriched layer. Interestingly, the carbon-rich areas at the cutting edges possessed lower area coverage after the tenth hole than they did after the first hole, more so with phosphate ester 1, which possessed the lowest carbon enrichment at the cutting edge. Under Condition 3, minute titanium adhesion to the cutting blade was noted for drill bits used with phosphate esters 1, 2, and 4 after the first hole (Figure 12). Only phosphate ester 4 displayed the phosphorus-enriched layers occurring as streaks distributed on the cutting blade surfaces. Carbon-rich areas were observed at the cutting edges used with all the samples; however, the concentration and area coverage for phosphate ester 2 were less prominent. After ten holes, titanium adhesion to the surface of the cutting blades was more prominent for phosphate esters 1 and 4 (Figure 13). The phosphorus-rich streaks on the cutting blade surface used with phosphate ester 4 were more prominent and appeared to cover a larger surface area. In addition, the cutting blades used with phosphate ester 2 had also developed phosphorus-rich streaks. All the cutting edges were covered with a carbon-rich layer; however, phosphate ester 4 possessed the thinnest and least prominent layer. Under Condition 4, a thicker carbon layer was observed to cover the cutting blade surface of the drill bits used with phosphate esters 1, 2, and 3 after the first hole (Figure 14). Little phosphorus enrichment was observed on the cutting blades. However, after the tenth hole (Figure 15), phosphorus-enriched streaks were noted on the cutting blade surfaces used with phosphate esters 2 and 4.
Figure 8.
EDS maps showing titanium adhesion, oxygen, carbon, and phosphorus on drill bits used with (a) phosphate ester 1, (b) phosphate ester 2, (c) phosphate ester 3, and (d) phosphate ester 4 after drilling the first hole on Ti-6Al-4V under Condition1 (0.105 m/s at 0.04 mm/r).
Figure 9.
EDS maps showing titanium adhesion, oxygen, carbon, and phosphorus on drill bits used with (a) phosphate ester 1, (b) phosphate ester 2, (c) phosphate ester 3, and (d) phosphate ester 4 after drilling the tenth hole on Ti-6Al-4V under Condition 1 (0.105 m/s at 0.04 mm/r).
Figure 10.
EDS maps showing titanium adhesion, oxygen, carbon, and phosphorus on drill bits used with (a) phosphate ester 1, (b) phosphate ester 2, (c) phosphate ester 3, and (d) phosphate ester 4 after drilling the first hole on Ti-6Al-4V under Condition 2 (0.188 m/s at 0.022 mm/r).
Figure 11.
EDS maps showing titanium adhesion, oxygen, carbon, and phosphorus on drill bits used with (a) phosphate ester 1, (b) phosphate ester 2, (c) phosphate ester 3, and (d) phosphate ester 4 after drilling the tenth hole on Ti-6Al-4V under Condition 2 (0.188 m/s at 0.022 mm/r).
Figure 12.
EDS maps showing titanium adhesion, oxygen, carbon, and phosphorus on drill bits used with (a) phosphate ester 1, (b) phosphate ester 2, (c) phosphate ester 3, and (d) phosphate ester 4 after drilling the first hole on Ti-6Al-4V under Condition 3 (0.293 m/s at 0.014 mm/r).
Figure 13.
EDS maps showing titanium adhesion, oxygen, carbon, and phosphorus on drill bits used with (a) phosphate ester 1, (b) phosphate ester 2, (c) phosphate ester 3, and (d) phosphate ester 4 after drilling the tenth hole on Ti-6Al-4V under Condition 3 (0.293 m/s at 0.014 mm/r).
Figure 14.
EDS maps showing titanium adhesion, oxygen, carbon, and phosphorus on drill bits used with (a) phosphate ester 1, (b) phosphate ester 2, (c) phosphate ester 3, and (d) phosphate ester 4 after drilling the first hole on Ti-6Al-4V under Condition 4 (0.419 m/s at 0.014 mm/r).
Figure 15.
EDS maps showing titanium adhesion, oxygen, carbon, and phosphorus on drill bits used with (a) phosphate ester 1, (b) phosphate ester 2, (c) phosphate ester 3, and (d) phosphate ester 4 after drilling the tenth hole on Ti-6Al-4V under Condition 4 (0.419 m/s at 0.014 mm/r).
In summary, the cutting blades used with phosphate esters 1 and 3 were covered with a low concentration of phosphorus and carbon and oxygen enrichment on the cutting edges. Phosphate esters 2 and 4 possessed phosphorus, carbon, and oxygen enrichment on the cutting blades in addition to low phosphorus concentration on the cutting blade and the carbon enrichment observed on the cutting edge. This phosphorus enrichment occurred in streaks for phosphate ester 2, while cracks were observed for phosphate ester 4, indicating that this tribolayer was possibly delaminating.
The thickness of the BUE on the cutting edge was attained after the first and the tenth hole with the graphical representations displayed in Figure 16. The BUE thickness was measured from the EDS maps of the titanium adhesion on the cutting edges using imaging analysis software (Image J) to determine the thickness of the titanium adhesion. Under Condition 1, phosphate esters 2 and 4 displayed comparably low BUE thickness (12.87 ± 3.06 μm, and 12.71 ± 4.35 μm, respectively) after the initial hole. After ten holes, phosphate ester 1 displayed the lowest BUE thickness at 11.55 ± 2.26 μm indicating a 24% decrease in BUE, while phosphate esters 2 and 4 displayed an increase in BUE thickness. Under Condition 2, phosphate ester 3 had the thinnest BUE after the first hole (10.96 ± 2.58 μm), while after the tenth hole, phosphate esters 2 and 4 possessed comparable low BUE thickness (10.64 ± 5.28 μm, and 10.82 ± 4.49 μm, respectively), with a 19% and 17% decrease in the BUE thickness. Under Condition 3, phosphate esters 1 and 3 displayed low BUE thickness at 8.85 ± 3.18μm and 8.35 ± 2.16 μm, respectively, while phosphate ester 2 displayed the highest BUE thickness at 11.34 ± 2.93 μm. After the tenth hole, phosphate esters 1 and 4 displayed comparably lower BUE, while phosphate esters 2 and 3 displayed comparable higher BUE thickness. Under Condition 4, phosphate esters 2 and 4 displayed the highest BUE thickness, while phosphate ester 1 displayed the lowest BUE thickness at 10.69 ± 3.69 μm. After the tenth hole, phosphate ester 2 still displayed the highest BUE thickness at 11.73 ± 3.68 μm, despite the decrease in BUE, as all four samples showed a reduction in BUE thickness under this condition.
Figure 16.
Plots displaying the thickness of the build-up edge on the HSS drill bits after drilling Ti-6Al-4V after the first hole and tenth hole with phosphate ester 1, phosphate ester 2, phosphate ester 3, and phosphate ester 4 (a) Condition 1 (0.105 m/s at 0.04 mm/r), (b) Condition 2 (0.188 m/s at 0.022 mm/r), (c) Condition 3 (0.293 m/s at 0.014 mm/r), and (d) Condition 4 (0.419 m/s at 0.01 mm/r).
In summary, BUE was detected on all the cutting edges used with all the cutting fluid samples under all drilling conditions. The accumulation and loss of BUE during the drilling schedule occurred randomly. BUE was observed to possess carbon and oxygen under most conditions.
4. Discussion
This work examined the behavior of phosphate ester additives with varying phosphorus concentration levels and hydrocarbon chain lengths on the drilling performance of Ti-6Al-4V. These additives included a low-phosphorous-level phosphate ester with a very long hydrocarbon chain (PE 1), a phosphate ester with a medium phosphorous level and a long hydrocarbon chain (PE 2), a high-phosphorous-level phosphate ester with a medium hydrocarbon chain (PE 3), and a phosphate ester with very high phosphorous level and a low hydrocarbon chain (PE 4). These additives were selected to examine the possibility of employing environmentally benign phosphate ester additives to enhance the lubrication properties of the cutting fluid [29]. The results obtained from the average torque values and SCE evaluation (Figure 2 and Figure 3) indicate that the performance of the different phosphate esters was associated with the drilling conditions. The medium-phosphorous-level phosphate ester displayed the lowest average torque and SCE values under Condition 4, the phosphate ester with high phosphorous levels displayed the lowest torque and SCE value under Condition 3, while the phosphate ester with the highest phosphorous level displayed the lowest average torque and SCE values under both Conditions 1 and 2. The SCE variation curves (Figure 3) could be used to compare the productivity of the drilling procedure of the additives under various drilling conditions. Thus, the low SCE values under certain drilling conditions indicate that enhanced productivity and sustainability were obtained under these conditions using these additives. However, higher SCE values are related to higher adhesion (BUE), wear, or plastic deformation of the drill bits, highlighting that each of the phosphate ester additives, except the phosphate ester with the lowest phosphorous level, outperformed the other additives under each of the varying drilling conditions employed. Therefore, none of the phosphate esters displayed an overall preferable performance. However, the phosphate ester, which had the highest phosphorous levels, possessed better drilling performance under the lower drilling conditions, representing typical drilling conditions for titanium alloys. The SCE curves for the medium- and high-phosphorous-level phosphate esters, PE 2 and PE 3, highlight that these additives offered better cooling and lubrication properties under extreme conditions. These additives both displayed their best performance under extreme conditions (Conditions 4 and 3, respectively) and worst under moderate conditions (Conditions 2 and 1, respectively), where cutting-edge deformation and BUE could be visually observed on the cutting edge of the drills. The high-phosphorous-level phosphate ester additive SCE curve show it is better suited for extreme drilling conditions, displaying the highest SCE value under Condition 1 along with cutting-edge deformation on the drill from hole 1. The phosphate ester with the highest phosphorous level revealed it was suited for most drilling conditions except Condition 3. Therefore, while most of the individual phosphate ester additives were better suited for extreme drilling conditions, the high-phosphorous-level phosphate ester could aid drilling at lower drilling conditions and certain extreme conditions.
Interestingly, the analysis of the BUE revealed no correlation of the BUE measured after the first hole with the SCE values, although the lowest BUE thickness was observed under Condition 3 for all four phosphate ester additives. However, there was some correlation between the BUE after the tenth hole with the overall SCE values. The phosphate ester with the lowest phosphorous level displayed increased and decreased SCE values with the change in drilling conditions, corresponding to the increase and decrease in BUE thickness. However, for the phosphate ester with the highest phosphorous levels, the decrease and increase in BUE thickness (Figure 16d) corresponded with the increase and decrease in SCE values. The SCE values and BUE thickness did not correlate quite as well for the high-phosphorous-level phosphate ester additive, which displayed a reduction in SCE with the reduction in BUE thickness between Conditions 1 and 2 (Figure 16a,b) but an opposite trend between Conditions 3 and 4. It was the same for the medium-phosphorous-level phosphate ester, which displayed a correlation between the increase and decrease in SCE values and BUE between Conditions 1 and 3, but the trend did not extend to Condition 4. This analysis could indicate that while the increase in BUE might aid the reduction in SCE for the very-high-phosphorous-level phosphate ester, the BUE increase hindered SCE reduction for the phosphate ester with the lowest phosphorous level. However, it should be noted that other factors, such as the oxidation of the BUE and the carbon content within the BUE, would have a more significant influence on its effect on the SCE behavior.
Surface analysis was used to evaluate the working mechanisms of the phosphate ester additives under various drilling conditions and determine their different tribological behavior. SEM examination exposed the possible tribolayer covering the cutting blades used with the phosphate ester with very high phosphorous levels and a low hydrocarbon chain. EDS analysis revealed phosphorus, carbon, and oxygen enrichment comprising the tribolayer from this phosphate ester, possibly an organophosphate-rich tribolayer. The organophosphate-rich tribolayer could be assumed to be thicker than the thin phosphorous tribolayer observed on the cutting blades from the other phosphate ester additives. EP additives have been reported to produce reactive species from interaction with the environment, including the CF, water, and oxygen, and the reactive species can be absorbed by the metal surface [20]. However, the thickness of the tribolayer on the metal surface is related to the ease of absorption, the reaction rate, and the type of phosphate ester, while the number of layers formed is related mainly to the type of phosphate ester [20,23]. It can be assumed from the EDS analysis of the tribolayer induced from drilling with the phosphate ester possessing the highest phosphorous levels and lowest hydrocarbon chain that there is evidence of the tribolayer being at least dual-layered. The upper organophosphate tribolayer was observed to delaminate off the cutting blade from the first hole, exposing the thinner phosphorous layer beneath. There was also evidence of wear to the upper layer, revealing the phosphorus layer underneath. The wear and thickness of the tribolayer could be related to the SCE curve behavior, as the lowest SCE value at Condition 1 correlated with the sliding wear of the upper layer from the first hole (Figure 4d). Conversely, with higher SCE values, there was trace evidence of sliding wear. However, the delamination of a thicker upper tribolayer after hole 1 under Conditions 2 and 3 (Figure 10d and Figure 12d) was detected, while the subsequent reduction in SCE value again corresponds with the wear of the tribolayer after the first hole. In other words, the increase in SCE was related to the delamination of the organophosphate upper layer, while the sliding wear of this layer was associated with the reduction in the SCE values. It should be noted that the organophosphate-rich tribolayer was observed on all the blades after the 10 holes for the phosphate ester, which had the highest phosphorous level and lowest hydrocarbon chain, which would highlight that the upper tribolayer was continuously formed and worn off throughout the drilling process for each drilled hole with this additive. Successful lubrication with phosphate ester additives has been connected with maintaining the balance between the loss and reformation of the tribolayer [20]. The delamination of the upper layer of the tribolayer from the cutting blades used with the very-high-phosphorous-level phosphate ester was confirmed from the EDS examination of the corresponding chips. EDS mapping of the chips (Figure 17) revealed areas rich in phosphorus overlapping with carbon-/oxygen-rich areas, likely debris from the delaminated upper tribolayer that adhered to the chips. An examination of the chip morphology observed during the drilling of the titanium alloy lubricated with phosphorus-based additive cutting fluids confirmed that the cutting fluid possessed little influence on the chip morphology (Figure 18). The chip morphology was characterized as spiral cone chips and was consistently observed across different cutting conditions. The tribolayers formed on the cutting blade from the three other additives appeared to be mono-layered. The tribolayer on the cutting blades used with the medium-phosphorous-level phosphate ester was also an organophosphate, displaying phosphorus enrichment consistent with the carbon-rich areas. This organophosphate tribolayer was observed in the form of streaks, indicating sliding wear of the tribolayer from the interaction of the cutting blade with the titanium alloy. The sliding wear of this tribolayer could also be related to the SCE curve behavior of the phosphate ester with medium phosphorous levels. Higher SCE values were observed when the tribolayer had been completely worn off the cutting blade after the first hole (i.e., Conditions 2 and 3). However, lower SCE values were observed under conditions where there was still evidence of the tribolayer after the first hole (i.e., Conditions 1 and 4). Thus, it can be proposed that the drilling performance of the medium-phosphorous-level phosphate ester with a long hydrocarbon chain was dependent on the sliding wear of the tribolayer formed on the cutting blade surface. The lowest-phosphorous-level phosphate ester and the high-phosphorous-level phosphate ester (with the medium hydrocarbon chain) displayed similar tribological mechanisms during the drilling procedure. The lowest-phosphorous-level phosphate ester additive possessed a much lower phosphorus concentration on the cutting blade surfaces after the first hole (Figure 8a, Figure 12a and Figure 14a) compared to the tenth hole (Figure 9a, Figure 13a and Figure 15a) for lower SCE values (Conditions 1, 3, and 4). However, the increase in SCE values corresponded to the appearance of similar phosphorus concentrations after the first hole and the tenth hole under Condition 2 (Figure 10a and Figure 11a). Therefore, the behavior of the low-phosphorous-level phosphate ester additive was dependent on the thickness of the phosphorus tribolayer after the first hole. The high-phosphorous-level phosphate ester (with the medium hydrocarbon chain) displayed similar behavior, with the SCE values being related to the thickness of the phosphorus tribolayer. The reduction in SCE values with the variation in drilling conditions was related to the lower thickness of the phosphorus layer after the initial hole compared to the thickness of the phosphorus layer after the tenth hole. There was little evidence of wear or chemical dissolution after the first hole for the lowest-phosphorous-level phosphate ester additive. Therefore, it is difficult to determine whether the lower phosphorus concentrations at this stage of drilling resulted from the tribolayer’s formation during tribological contact of the drill and the hole or the chemical dissolution of a thicker tribolayer [20]. The contact pressure and temperatures experienced during drilling have been reported to influence the thickness and composition of the tribolayer [25]. However, after the tenth hole, evidence of the chemical dissolution of the tribolayer was observed in the form of marginally richer phosphorus patches randomly distributed on the cutting blade surface. These patches were probably a remnant tribolayer left behind as a result of their dissolution during the drilling of the tenth hole. There was also some evidence of the wear of the tribolayer occurring at the cutting edge under several drilling conditions after the tenth hole. The high-phosphorous-level phosphate ester (with the medium hydrocarbon chain) possessed evidence of chemical dissolution of the tribolayer on the cutting blade after the first and tenth hole. There was also evidence of wear to the cutting edge under most drilling conditions for this additive. The dissolution of the tribolayer formed from the high-phosphorous-level phosphate ester and low-phosphorous-level phosphate ester also appears to correlate with the SCE comparison of these additives. It should be noted that while the multi-layered tribolayer formed by the phosphate ester with the highest phosphorus levels might have contributed to its improved performance over the other phosphate esters during the lower drilling conditions, and the mono-layered tribolayers displayed better performance during the higher drilling conditions, it is more probable that the wear and dissolution of the tribolayer majorly influenced the behavior of the phosphate additives.
Figure 17.
EDS maps displaying the titanium adhesion, oxygen, carbon, and phosphorus on drilling chips used with (a) phosphate ester 2, (b) phosphate ester 4, under Condition 4 (0.419 m/s at 0.01 mm/r).
Figure 18.
The chip morphology observed in the drilling tests for all four cutting fluids applied in this study, phosphate ester 1, phosphate ester 2, phosphate ester 3, and phosphate ester 4 employed in drilling 10 holes on a Ti-6Al-4V alloy under (a) Condition 1 (0.105 m/s at 0.04 mm/r), (b) Condition 2 (0.188 m/s at 0.022 mm/r), (c) Condition 3 (0.293 m/s at 0.014 mm/r), (d) Condition 4 (0.419 m/s at 0.01 mm/r).
In summary, the behavior of the phosphate ester additives during drilling depended on the drilling conditions. The very-high-phosphorous-level phosphate ester (PE 4) performance was more sustainable than the other additives under the lower drilling conditions, while under higher drilling conditions, the high-phosphorous-level phosphate ester (PE 3) additive and the medium-phosphorous-level phosphate ester (PE 2) additives provided better lubrication. The behavior of the very-high-phosphorous-level phosphate ester (PE 4) additives was related to the wear of the upper layer of a possibly dual-layered tribolayer formed on the cutting blades, while the medium-phosphorous-level phosphate ester (PE 2) was related to the wear of the tribolayer. However, the behavior of the low-phosphorous-level phosphate ester (PE 1) and high-phosphorous-level phosphate ester (PE 3) additives was related to the chemical dissolution of the mono tribolayer.
5. Conclusions
This study investigated the behavior of phosphate ester additives with varying concentrations of phosphorus and hydrocarbon chain length during the drilling of a titanium alloy Ti-6Al-4V. A series of drilling tests were performed under a constant MRR of 4.2 mm3/s using various combinations of spindle speeds and feed rate. The results are indicated below:
- The drilling performance of the phosphorus esters additives was associated with the drilling condition employed under the constant MRR. The very-high-phosphorous-level phosphate ester performance was more sustainable than the other additives under lower drilling conditions, while under higher drilling conditions, the high-phosphorous-level phosphate ester additive and the medium-phosphorous-level phosphate ester additives provided better lubrication.
- The phosphorus ester additives’ performance could be attributed to the behavior of the phosphorus-rich tribolayer formed on the surface of the cutting blade. The drilling performance of the low-phosphorous-level phosphate ester and high-phosphorous-level phosphate ester was related to the chemical dissolution of the tribolayer. However, the behavior of the phosphate ester with a very high phosphorous level and the medium-phosphorous-level phosphate ester additives was related to the sliding wear of the tribolayer formed on the cutting blades.
- The composition of the tribolayers was dependent on the type of phosphorous ester additives. The tribolayer formed from a low-phosphorous-level phosphate ester and high-phosphorous-level phosphate ester (with medium hydrocarbon chain length) was thin a phosphorus-rich layer, while the medium-phosphorous-level phosphate ester and very-high-phosphorous-level phosphate (with low hydrocarbon chain length) ester were observed to form thick organophosphate layers. Although most of the phosphate esters appeared to form mono-layered tribolayers, evidence of a multi-layered tribolayer was detected from the phosphate ester with the highest levels of phosphorus.
Author Contributions
Conceptualization, J.M. (Junhui Ma), O.A.G. and R.A.R.; methodology, J.M. (Junhui Ma), J.M. (Javad Mohammadi), O.A.G. and R.A.R.; software, J.M. (Junhui Ma), J.M. (Javad Mohammadi) and O.A.G.; validation, J.M. (Junhui Ma), J.M. (Javad Mohammadi), O.A.G. and R.A.R.; formal analysis, J.M. (Junhui Ma), O.A.G. and R.A.R.; investigation, J.M. (Junhui Ma), J.M. (Javad Mohammadi), O.A.G. and R.A.R.; resources, J.M. (Junhui Ma), J.M. (Javad Mohammadi), O.A.G. and R.A.R.; data curation, J.M. (Junhui Ma), O.A.G. and R.A.R.; writing-original draft preparation, J.M. (Junhui Ma), O.A.G. and R.A.R.; writing-review and editing, J.M. (Junhui Ma), J.M. (Javad Mohammadi), O.A.G. and R.A.R.; visualization, J.M. (Junhui Ma), J.M. (Javad Mohammadi), O.A.G. and R.A.R.; supervision, R.A.R.; project administration, R.A.R.; funding acquisition, R.A.R. All authors have read and agreed to the published version of the manuscript.
Funding
This research was funded by Natural Sciences and Engineering Research Council of Canada (NSERC) (Grant No. 818321) and Quaker Houghton.
Data Availability Statement
The authors declare that the data support the findings of this study and are included in this published article.
Acknowledgments
Financial support for this research was provided by the Natural Sciences and Engineering Research Council of Canada (NSERC) and Quaker Houghton. The authors would like to gratefully acknowledge Yixing Zhao, Yan Zhou, Kris Januszkiewicz, and Robert Evans of Quaker Houghton (QH) for their valuable comments, and Sharon Lackie of the Great Lakes Institute for Environmental Research (GLIER), University of Windsor, Windsor, ON, for her assistance with the SEM micrographs.
Conflicts of Interest
The authors declare no conflict of interest.
References
- Zhang, W.; Zhu, Z.; Cheng, C.Y. A literature review of titanium metallurgical processes. Hydrometallurgy 2011, 108, 177–188. [Google Scholar] [CrossRef]
- Vieira, J.; Machado, A.; Ezugwu, E.O. Performance of cutting fluids during face milling of steels. J. Mater. Process. Technol. 2001, 116, 244–251. [Google Scholar] [CrossRef]
- Yuan, C.G.; Pramanik, A.; Basak, A.; Prakash, C.; Shankar, S. Drilling of titanium alloy (Ti6Al4V)—A review. Mach. Sci. Technol. 2021, 25, 637–702. [Google Scholar] [CrossRef]
- Debnath, S.; Reddy, M.M.; Yi, Q.S. Environmental friendly cutting fluids and cooling techniques in machining: A review. J. Clean. Prod. 2014, 83, 33–47. [Google Scholar] [CrossRef]
- Brinksmeier, E.; Meyer, D.; Huesmann-Cordes, A.; Herrmann, C. Metalworking fluids—Mechanisms and performance. CIRP Ann. 2015, 64, 605–628. [Google Scholar] [CrossRef]
- Jamil, N.; Azmi, A.; Fairuz, M. Coated carbide drill performance under soluble coconut oil lubricant and nanoparticle enhanced MQL in drilling AISI P20. In Proceedings of the IOP Conference Series: Materials Science and Engineering, Kuala Lumpur, Malaysia, 1 February 2016. [Google Scholar]
- Davim, J.P.; Gaitonde, V.; Karnik, S.J. Investigations into the effect of cutting conditions on surface roughness in turning of free machining steel by ANN models. J. Mater. Process. Technol. 2008, 205, 16–23. [Google Scholar] [CrossRef]
- Yan, P.; Rong, Y.; Wang, G. The effect of cutting fluids applied in metal cutting process. Proc. Inst. Mech. Eng. Part B J. Eng. Manuf. 2016, 230, 19–37. [Google Scholar] [CrossRef]
- Lu, T.; Kudaravalli, R.; Georgiou, G. Cryogenic machining through the spindle and tool for improved machining process performance and sustainability: Pt. I, system design. Procedia Manuf. 2018, 21, 266–272. [Google Scholar] [CrossRef]
- Outeiro, J.C.; Lenoir, P.; Bosselut, A. Thermo-mechanical effects in drilling using metal working fluids and cryogenic cooling and their impact in tool performance. Prod. Eng. 2015, 9, 551–562. [Google Scholar] [CrossRef]
- Rahim, E.; Sasahara, H. A study of the effect of palm oil as MQL lubricant on high speed drilling of titanium alloys. Tribol. Int. 2011, 44, 309–317. [Google Scholar] [CrossRef]
- Gupta, M.K.; Song, Q.; Liu, Z.; Sarikaya, M.; Jamil, M.; Mia, M.; Khanna, N.; Krolczyk, G.M. Experimental characterisation of the performance of hybrid cryo-lubrication assisted turning of Ti–6Al–4V alloy. Tribol. Int. 2021, 153, 106582. [Google Scholar] [CrossRef]
- Pereira, O.; Català, P.; Rodríguez, A.; Ostra, T.; Vivancos, J.; Rivero, A.; López-de-Lacalle, L.N. The use of hybrid CO2+ MQL in machining operations. Procedia Eng. 2015, 132, 492–499. [Google Scholar] [CrossRef]
- Liu, Z.; An, Q.; Xu, J.; Chen, M.; Han, S. Wear performance of (nc-AlTiN)/(a-Si3N4) coating and (nc-AlCrN)/(a-Si3N4) coating in high-speed machining of titanium alloys under dry and minimum quantity lubrication (MQL) conditions. Wear 2013, 305, 249–259. [Google Scholar] [CrossRef]
- Kamata, Y.; Obikawa, T. High speed MQL finish-turning of Inconel 718 with different coated tools. J. Mater. Process. Technol. 2007, 192, 281–286. [Google Scholar] [CrossRef]
- Hong, S.Y.; Zhao, Z. Thermal aspects, material considerations and cooling strategies in cryogenic machining. Clean Prod. Process. 1999, 1, 107–116. [Google Scholar] [CrossRef]
- Pereira, O.; Martín-Alfonso, J.; Rodríguez, A.; Calleja, A.; Fernández-Valdivielso, A.; De Lacalle, L.L. Sustainability analysis of lubricant oils for minimum quantity lubrication based on their tribo-rheological performance. J. Clean. Prod. 2017, 164, 1419–1429. [Google Scholar] [CrossRef]
- Wang, Q.; Hou, T.; Wang, W.; Zhang, G.; Gao, Y.; Wang, K. Tribological properties of black phosphorus nanosheets as oil-based lubricant additives for titanium alloy-steel contacts. R. Soc. Open Sci. 2020, 7, 200530. [Google Scholar] [CrossRef]
- Johnson, B.; Wu, H.; Desanker, M.; Pickens, D.; Chung, Y.-W.; Wang, Q.J. Direct formation of lubricious and wear-protective carbon films from phosphorus-and sulfur-free oil-soluble additives. Tribol. Lett. 2018, 66, 2. [Google Scholar] [CrossRef]
- Alves, S.M.; Schroeter, R.B.; Bossardi, J.C.d.S.; Andrade, C.L.F.d. Influence of EP additive on tool wear in drilling of compacted graphite iron. J. Braz. Soc. Mech. Sci. Eng. 2011, 33, 197–202. [Google Scholar] [CrossRef]
- Yan, L.; Yao, X.; Zhang, T.; Jiang, F.; Shui, Y.; Xie, H.; Xiang, Z.; Li, Y.; Lin, L. Passivation Effect of the Chlorinated Paraffin Added in the Cutting Fluid on the Surface Corrosion Resistance of the Stainless Steel. Molecules 2023, 28, 3648. [Google Scholar] [CrossRef] [PubMed]
- Miller, P.R.; Patel, H. Using complex polymeric esters as multifunctional replacements for chlorine and other additives in metalworking. Tribol. Lubr. Technol. 1997, 53, 31. [Google Scholar]
- Johnson, D.W. The Tribology and Chemistry of Phosphorus-Containing Lubricant Additives. IntechOpen: London, UK, 2016. [Google Scholar]
- Ma, J.; Mohammadi, J.; Zhou, Y.; Larsh, J.; Januszkiewicz, K.; Evans, R.; Zhao, Y.; Gali, O.A.; Riahi, R.A. An investigation into cutting fluid additives performance during machining processing of Ti-6Al-4V. Int. J. Adv. Manuf. Technol. 2020, 112, 977–987. [Google Scholar] [CrossRef]
- Ma, J.; Gali, O.A.; Riahi, R.A. An Evaluation of the Tribological Behavior of Cutting Fluid Additives on Aluminum-Manganese Alloys. Lubricants 2021, 9, 84. [Google Scholar] [CrossRef]
- Ma, J.; Gali, O.A.; Riahi, R.A. An investigation into the tribological behaviour of cutting fluid additives on Ti-6Al-4V alloy. Lubr. Sci. 2022, 34, 331–346. [Google Scholar] [CrossRef]
- Ma, J.; Mohammadi, J.; Gali, O.; Riahi, A. The Influence of Polymeric Ester-Type Additives on the Performance of Metal Cutting Fluids for Machining of Titanium Alloy. J. Mater. Eng. Perform. 2021, 31, 2057–2073. [Google Scholar] [CrossRef]
- Cantero, J.; Tardio, M.; Canteli, J.; Marcos, M.; Miguelez, M.J. Dry drilling of alloy Ti–6Al–4V. Int. J. Mach. Tools Manuf. 2005, 45, 1246–1255. [Google Scholar] [CrossRef]
- Mistry, K.; Morina, A.; Erdemir, A.; Neville, A. Tribological performance of EP lubricants with phosphorus-based additives. Tribol. Trans. 2013, 56, 645–651. [Google Scholar] [CrossRef]
Disclaimer/Publisher’s Note: The statements, opinions and data contained in all publications are solely those of the individual author(s) and contributor(s) and not of MDPI and/or the editor(s). MDPI and/or the editor(s) disclaim responsibility for any injury to people or property resulting from any ideas, methods, instructions or products referred to in the content. |
© 2023 by the authors. Licensee MDPI, Basel, Switzerland. This article is an open access article distributed under the terms and conditions of the Creative Commons Attribution (CC BY) license (https://creativecommons.org/licenses/by/4.0/).


















