Properties of Faint X-ray Activity of XTE J1908+094 in 2019
Abstract
1. Introduction
2. Observation and Data Analysis
3. Results
3.1. Variability Study from the Light Curve
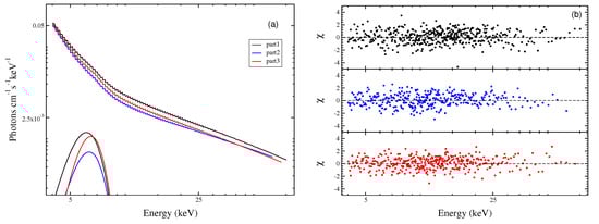
3.2. Accretion Properties from Spectral Analysis
3.3. Estimation of Inner Disk Radius and Prediction of Mass
4. Conclusions
5. Summary
- (i)
- No quasi-periodic oscillation (QPO) was found in the PDS;
- (ii)
- The source was in SIMS during our studied period;
- (iii)
- We also estimated the most probable mass of the black hole to be ∼6.5 ;
Author Contributions
Funding
Data Availability Statement
Acknowledgments
Conflicts of Interest
References
- Chakrabarti, S.K. Grand Unification of Solutions of Accretion and Winds around Black Holes and Neutron Stars. Astrophys. J. 1996, 464, 664–683. [Google Scholar] [CrossRef]
- Chakrabarti, S.K.; Debnath, D.; Nagarkoti, S. Delayed outburst of H 1743-322 in 2003 and relation with its other outbursts. Adv. Space Res. 2019, 63, 3749–3759. [Google Scholar] [CrossRef]
- Mondal, S.; Chakrabarti, S.K.; Nagarkoti, S.; Arévalo, P. Possible Range of Viscosity Parameters to Trigger Black Hole Candidates to Exhibit Different States of Outbursts. Astrophys. J. 2017, 850, 47–55. [Google Scholar] [CrossRef]
- Debnath, D.; Chakrabarti, S.K.; Nandi, A. Evolution of the temporal and the spectral properties in 2010 and 2011 outbursts of H 1743-322. Adv. Space Res. 2013, 52, 2143–2155. [Google Scholar] [CrossRef][Green Version]
- McClintock, J.E.; Remillard, R.A. Compact Stellar X-ray Sources; Cambridge University Press: Cambridge, UK, 2009; pp. 157–214. [Google Scholar]
- Remillard, R.A.; McClintock, J.E. X-Ray Properties of Black-Hole Binaries. Annu. Rev. Astron. Astrophys. 2006, 44, 49–92. [Google Scholar] [CrossRef]
- Belloni, T.; Homan, J.; Casella, P.; van der Klis, M.; Nespoli, E.; Lewin, W.H.G.; Miller, J.; Mèndez, M. The evolution of the timing properties of the black-hole transientGX 339-4 during its 2002/2003 outburst. Astron. Astrophys. 2005, 440, 207–222. [Google Scholar] [CrossRef]
- Belloni, T.M. States and Transitions in Black Hole Binaries. In The Jet Paradigm: From Microquasars to Quasars; Belloni, T.M., Ed.; Springer: Berlin/Heidelberg, Germany, 2010; Volume 794, pp. 53–84. [Google Scholar]
- Jana, A.; Debnath, D.; Chakrabarti, S.K.; Mondal, S.; Molla, A.A. Accretion Flow Dynamics of MAXI J1836-194 During Its 2011 Outburst from TCAF Solution. Astrophys. J. 2016, 819, 107–117. [Google Scholar] [CrossRef]
- Chatterjee, K.; Debnath, D.; Chatterjee, D.; Jana, A.; Chakrabarti, S.K. Inference on accretion flow properties of XTE J1752-223 during its 2009-10 outburst. Mon. Not. R. Astron. Soc. 2020, 493, 2452–2462. [Google Scholar] [CrossRef]
- Chatterjee, D.; Debnath, D.; Jana, A.; Chakrabarti, S.K. Properties of the black hole candidate XTE J1118+480 with the TCAF solution during its jet activity induced 2000 outburst. Astrophys. Space Sci. 2019, 364, 14. [Google Scholar] [CrossRef]
- García, J.A.; Tomsick, J.A.; Sridhar, N.; Grinberg, V.; Connors, R.M.; Wang, J.; Fabian, A. The 2017 Failed Outburst of GX 339-4: Relativistic X-Ray Reflection near the Black Hole Revealed by NuSTAR and Swift Spectroscopy. Astrophys. J. 2019, 885, 48–59. [Google Scholar] [CrossRef]
- Tetarenko, B.E.; Sivakoff, G.R.; Heinke, C.O.; Gladstone, J.C. WATCHDOG: A Comprehensive All-sky Database of Galactic Black Hole X-ray Binaries. Astrophys. J. Suppl. Ser. 2016, 222, 15–112. [Google Scholar] [CrossRef]
- Novikov, I.D.; Thorne, K.S. Black Holes; DeWitt, C., DeWitt, B., Eds.; Gordon and Breach: New York, NY, USA, 1973. [Google Scholar]
- Shakura, N.I.; Sunyaev, R.A. Black holes in binary systems. Observational appearance. Astron. Astrophys. 1973, 24, 337–355. [Google Scholar]
- Sunyaev, R.A.; Titarchuk, L.G. Comptonization of X-rays in plasma clouds. Typical radiation spectra. Astron. Astrophys. 1980, 86, 121–138. [Google Scholar]
- Sunyaev, R.A.; Titarchuk, L.G. Comptonization of low-frequency radiation in accretion disks Angular distribution and polarization of hard radiation. Astron. Astrophys. 1985, 143, 374–388. [Google Scholar] [CrossRef]
- Chakrabarti, S.K.; Titarchuk, L.G. Spectral Properties of Accretion Disks around Galactic and Extragalactic Black Holes. Astrophys. J. 1995, 455, 623–639. [Google Scholar] [CrossRef]
- Chakrabarti, S.K. Spectral Properties of Accretion Disks around Black Holes. II. Sub-Keplerian Flows with and without Shocks. Astrophys. J. 1997, 484, 313–322. [Google Scholar] [CrossRef][Green Version]
- Chakrabarti, S.K. Theory of Transonic Astrophysical Flows; World Scientific: Singapore, 1990. [Google Scholar]
- Molteni, D.; Sponholz, H.; Chakrabarti, S.K. Resonance Oscillation of Radiative Shock Waves in Accretion Disks around Compact Objects. Astrophys. J. 1996, 457, 805–812. [Google Scholar] [CrossRef]
- Nandi, A.; Debnath, D.; Mandal, S.; Chakrabarti, S.K. Accretion flow dynamics during the evolution of timing and spectral properties of GX 339-4 during its 2010-11 outburst. Astron. Astrophys. 2012, 542, 56–66. [Google Scholar] [CrossRef]
- Chakrabarti, S.K. Estimation and effects of the mass outflowfrom shock compressed flow around compact objects. Astron. Astrophys. 1999, 351, 185–191. [Google Scholar]
- Debnath, D.; Mondal, S.; Chakrabarti, S.K. Implementation of two-component advective flow solution in xspec. Mon. Not. R. Astron. Soc. Lett. 2014, 440, L121–L125. [Google Scholar] [CrossRef]
- Debnath, D.; Mondal, S.; Chakrabarti, S.K. Characterization of GX 339-4 outburst of 2010-11: Analysis by XSPEC using two component advective flow model. Mon. Not. R. Astron. Soc. 2015, 447, 1984–1995. [Google Scholar] [CrossRef][Green Version]
- Woods, P.M.; Kouveliotou, C.; Finger, M.H.; Gogus, E.; Swank, J.; Markwardt, C.; Strohmayer, T. XTE J1908+094. Int. Astron. Union Circ. 2002, 7856, 1. [Google Scholar]
- Feroci, M.; Reboa, L.; BEPPOSAX Team. XTE J1908+094. Int. Astron. Union Circ. 2002, 7861, 2. [Google Scholar]
- Miller, J.M.; Oosterbroek, T.; Parmar, A.N. Broad-band X-ray measurements of the black hole candidateXTE J1908+094. Astron. Astrophys. 2002, 394, 553–560. [Google Scholar]
- Miller, J.M.; Reynolds, C.S.; Fabian, A.C.; Miniutti, G.; Gallo, L.C. Stellar-mass black hole spin constraints from disk reflection and continuum modeling. Astrophys. J. 2009, 697, 900–912. [Google Scholar] [CrossRef]
- Rupen, M.P.; Dhawan, V.; Mioduszewski, A.J. XTE J1908+094. Int. Astron. Union Circ. 2002, 7874, 1. [Google Scholar]
- Jonker, P.G.; Gallo, E.; Dhawan, V.; Rupen, M.; Fender, R.P.; Dubus, G. Radio and X-ray observations during the outburst decay of the black holecandidate XTE J1908+094. Mon. Not. R. Astron. Soc. 2004, 351, 1359–1364. [Google Scholar] [CrossRef][Green Version]
- Chaty, S.; Mignani, R.P.; Israel, G.L. Discovery of the near-infrared counterpart of the X-ray transient XTE J1908+094. Mon. Not. R. Astron. Soc. 2002, 337, L23–L26. [Google Scholar] [CrossRef]
- Chaty, S.; Mignani, R.P.; Israel, G.L. A closer look at the X-ray transient XTE J1908+094: Identification of two new near-infrared candidate counterparts. Mon. Not. R. Astron. Soc. 2006, 365, 1387–1391. [Google Scholar] [CrossRef][Green Version]
- Coriat, M.; Tzioumis, T.; Corbel, S.; Fender, R. Optically thin synchrotron emission from XTE J1908+094 observed by the ATCA. Astron. Telegr. 2013, 5575, 1. [Google Scholar]
- Krimm, H.A.; Barthelmy, S.D.; Baumgartner, W.; Cummings, J.; Gehrels, N.; Lien, A.Y.; Markwardt, C.B.; Palmer, D.; Sakamoto, T.; Stamatikos, M.; et al. Swift/BAT detects a new outburst from the HXMB/BHC XTE J1908+094. Astron. Telegr. 2013, 5523, 1. [Google Scholar]
- Miller-Jones, J.C.A.; Sivakoff, G.R.; Krimm, H.A. VLA detection of radio emission from the new outburst of XTE J1908+094. Astron. Telegr. 2013, 5530, 1. [Google Scholar]
- Negoro, H.; Suzuki, K.; Ueno, J.S.S.; Tomida, H.; Kimura, M.; Nakahira, S.; Ishikawa, M.; Nakagawa, Y.E.; Mihara, T.; Sugizaki, S.; et al. MAXI/GSC detection of a hard-to-soft state transition of XTE J1908+094. ATel 2013, 5549, 1. [Google Scholar]
- Rushton, A.P.; Fender, R.; Anderson, G.; Staley, T.; Rumsey, C.; Titterington, D. AMI detection of 2 cm radio emission from the XRB BHC J1908+094. Astron. Telegr. 2013, 5532, 1. [Google Scholar]
- Tao, L.; Tomsick, J.A.; Walton, D.J.; Fürst, F.; Kennea, J.; Miller, J.M.; Boggs, S.E.; Christensen, F.E.; Craig, W.W.; Gandhi, P.; et al. NuSTAR and Swift Observations of the Black Hole Candidate XTE J1908+094 during its 2013 Outburst. Astrophys. J. 2015, 811, 51–59. [Google Scholar] [CrossRef]
- Zhang, L.; Chen, L.; Qu, J.-L.; Bu, Q.-C.; Zhang, W. The 2013-2014 Outburst of XTE J1908+094 Observed with Swift and NuSTAR: Spectral Evolution and Black Hole Spin Constraint. Astrophys. J. 2015, 813, 90–102. [Google Scholar] [CrossRef]
- Curran, P.A.; Miller-Jones, J.C.; Rushton, A.P.; Pawar, D.D.; Anderson, G.E.; Altamirano, D.; Tudose, V. Radio polarimetry as a probe of unresolved jets: The 2013 outburstof XTE J1908+094. Mon. Not. R. Astron. Soc. 2015, 451, 3975–3985. [Google Scholar] [CrossRef]
- Rushton, A.P.; Miller-Jones, J.C.A.; Curran, P.A.; Sivakoff, G.R.; Rupen, M.P.; Paragi, Z.; Spencer, R.E.; Yang, J.; Altamirano, D.; Belloni, T.; et al. Resolved, expanding jets in the Galactic black hole candidate XTE J1908+094. Mon. Not. R. Astron. Soc. 2017, 468, 2788–2802. [Google Scholar] [CrossRef]
- Rodriguez, J.; Mereminskiy, I.; Grebenev, S.A.; Cangemi, F.; Clavel, M.; Coleiro, A.; Egron, E.; Grinberg, V.; Pottschmidt, K.; Remillard, R.; et al. INTEGRAL detects renewed activity from the microquasar XTE J1908+094. Astron. Telegr. 2019, 12628, 1. [Google Scholar]
- Williams, D.; Motta, S.; Fender, R.; Titterington, D.; Green, D.; Perrott, Y. AMI-LA 15.5 GHz observation of the Black Hole candidate XTE J1908+094. Astron. Telegr. 2019, 12620, 1. [Google Scholar]
- Miller, J.M.; Reynolds, M.; Tetarenko, B.; Ali, S.; Balakrishnan, M.; Chen, J.; Vozza, D. A Neil Gehrels Swift Observatory Snapshot of the Black Hole Candidate XTE J1908+094. Astron. Telegr. 2019, 12632, 1. [Google Scholar]
- Ludlam, R.M.; Remillard, R.; Homan, J.; Strohmayer, T.E.; Gendreau, K.; Arzoumanian, Z. NICER Observations of the new outburst from XTE J1908+094. Astron. Telegr. 2019, 12652, 1. [Google Scholar]
- Verner, D.A.; Ferland, G.J.; Korista, K.T.; Yakovlev, D.G. Atomic Data for Astrophysics. II. New Analytic FITS for Photoionization Cross Sections of Atoms and Ions. Astrophys. J. 1996, 465, 487–498. [Google Scholar] [CrossRef]
- Wilms, J.; Allen, A.; McCray, R. On the Absorption of X-Rays in the Interstellar Medium. Astrophys. J. 2000, 542, 914–924. [Google Scholar] [CrossRef]
- Göğüş, E.; Finger, M.H.; Kouveliotou, C.; Woods, P.M.; Patel, S.K.; Rupen, M.; Van Der Klis, M. Long-term spectral and timing behavior of the black hole candidate XTE J1908+094. Astrophys. J. 2004, 609, 977–987. [Google Scholar] [CrossRef]
- Kubota, A.; Tanaka, Y.; Makishima, K.; Ueda, Y.; Dotani, T.; Inoue, H.; Yamaoka, K. Evidence for a Black Hole in the X-ray Transient GRS 1009-45. Publ. Astron. Soc. Jpn. 1998, 50, 667–673. [Google Scholar] [CrossRef]
- Shimura, T.; Takahara, F. On the Spectral Hardening Factor of the X-Ray Emission from Accretion Disks in Black Hole Candidates. Astrophys. J. 1995, 445, 780–788. [Google Scholar] [CrossRef]
- Bhowmick, R.; Debnath, D.; Chatterjee, K.; Nagarkoti, S.; Chakrabarti, S.K.; Sarkar, R.; Jana, A. Relation Between Quiescence and Outbursting Properties of GX 339-4. Astrophys. J. 2021, 910, 138. [Google Scholar] [CrossRef]
- Done, C.; Gierlinski, M.; Kubota, A. Modelling the behaviour of accretion flows in X-ray binaries: Everything you always wanted to know about accretion but were afraid to ask. Astron. Astrophys. R 2007, 15, 1–66. [Google Scholar] [CrossRef]




| Model1 | Diskbb | (keV) | |
| norm | |||
| Powerlaw | |||
| norm | |||
| /dof | 744/597∼1.246 | ||
| Model2 | Diskbb | (keV) | |
| norm | |||
| Powerlaw | |||
| norm | |||
| Gaussian | E (keV) | ||
| (keV) | |||
| norm | |||
| /dof | 549/594∼0.924 | ||
| Model3 | TCAF | () | |
| () | |||
| () | |||
| R | |||
| () | |||
| Gaussian | E (keV) | ||
| (keV) | |||
| norm | |||
| /dof | 562/592∼0.949 |
| Obs. | Part1 | Part2 | Part3 | |
|---|---|---|---|---|
| MJD | 58,583.471 | 58,583.709 | 58,583.975 | |
| Diskbb | (keV) | |||
| norm | ||||
| Powerlaw | ||||
| norm | ||||
| Gaussian | E (keV) | |||
| (keV) | ||||
| norm | ||||
| /dof | 483/439 ∼1.100 | 316/332 ∼0.952 | 352/368 ∼0.956 | |
| TCAF | () | |||
| () | ||||
| () | ||||
| R | ||||
| () | ||||
| Gaussian | E (keV) | |||
| (keV) | ||||
| norm | ||||
| /dof | 483/437∼1.105 | 321/330∼0.973 | 350/366 ∼0.956 |
Publisher’s Note: MDPI stays neutral with regard to jurisdictional claims in published maps and institutional affiliations. |
© 2021 by the authors. Licensee MDPI, Basel, Switzerland. This article is an open access article distributed under the terms and conditions of the Creative Commons Attribution (CC BY) license (https://creativecommons.org/licenses/by/4.0/).
Share and Cite
Chatterjee, D.; Jana, A.; Chatterjee, K.; Bhowmick, R.; Nath, S.K.; Chakrabarti, S.K.; Mangalam, A.; Debnath, D. Properties of Faint X-ray Activity of XTE J1908+094 in 2019. Galaxies 2021, 9, 25. https://doi.org/10.3390/galaxies9020025
Chatterjee D, Jana A, Chatterjee K, Bhowmick R, Nath SK, Chakrabarti SK, Mangalam A, Debnath D. Properties of Faint X-ray Activity of XTE J1908+094 in 2019. Galaxies. 2021; 9(2):25. https://doi.org/10.3390/galaxies9020025
Chicago/Turabian StyleChatterjee, Debjit, Arghajit Jana, Kaushik Chatterjee, Riya Bhowmick, Sujoy Kumar Nath, Sandip K. Chakrabarti, A. Mangalam, and Dipak Debnath. 2021. "Properties of Faint X-ray Activity of XTE J1908+094 in 2019" Galaxies 9, no. 2: 25. https://doi.org/10.3390/galaxies9020025
APA StyleChatterjee, D., Jana, A., Chatterjee, K., Bhowmick, R., Nath, S. K., Chakrabarti, S. K., Mangalam, A., & Debnath, D. (2021). Properties of Faint X-ray Activity of XTE J1908+094 in 2019. Galaxies, 9(2), 25. https://doi.org/10.3390/galaxies9020025

