A Census of B[e] Supergiants
Abstract
1. Introduction
2. B[e] Supergiants
2.1. General Aspects of B[e]SG Stars’ Disks
2.2. Disk Dynamics and Structure
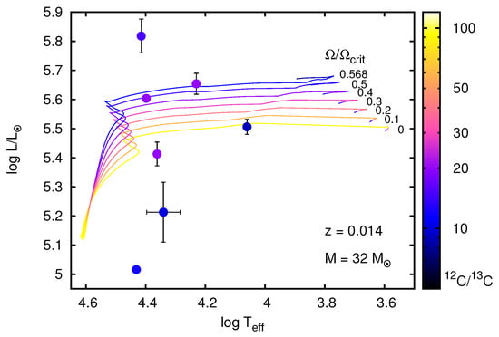
2.3. Current Evolutionary State of B[e]SGs
3. Identification of B[e] Supergiants in the Local Universe
- A spectral-type B (with extensions to late-O and early-A types), as evidenced from the hot underlying continuum or from photospheric absorption features5, and a luminosity higher than .
- Very intense Balmer lines dominating the optical spectrum with an equivalent width of H reaching up to 1000 Å.
- A spectrum indicating the hybrid character of the environment, consisting of a hot, fast line-driven wind coexisting with a cool, slow component from which the forbidden emission lines from neutral and low-ionized metals originate ([O i], [Fe ii]).
- Strong near- and mid-infrared excess emission, indicative of hot circumstellar dust.
4. A Census of B[e]Sgs
4.1. Magellanic Clouds
4.1.1. Large Magellanic Cloud
4.1.2. Small Magellanic Cloud
4.2. Local Group Galaxies beyond the Magellanic Clouds
4.2.1. M31
4.2.2. M33
4.3. Beyond the Local Group
4.4. Galactic Objects
5. Discussion and Conclusions
Funding
Acknowledgments
Conflicts of Interest
References
- Groh, J.H.; Georgy, C.; Ekström, S. Progenitors of supernova Ibc: A single Wolf-Rayet star as the possible progenitor of the SN Ib iPTF13bvn. Astron. Astrophys. 2013, 558, L1. [Google Scholar] [CrossRef]
- Groh, J.H.; Meynet, G.; Georgy, C.; Ekström, S. Fundamental properties of core-collapse supernova and GRB progenitors: Predicting the look of massive stars before death. Astron. Astrophys. 2013, 558, A131. [Google Scholar] [CrossRef]
- Groh, J.H.; Meynet, G.; Ekström, S. Massive star evolution: Luminous blue variables as unexpected supernova progenitors. Astron. Astrophys. 2013, 550, L7. [Google Scholar] [CrossRef]
- Pauldrach, A.W.A.; Vanbeveren, D.; Hoffmann, T.L. Radiation-driven winds of hot luminous stars XVI. Expanding atmospheres of massive and very massive stars and the evolution of dense stellar clusters. Astron. Astrophys. 2012, 538, A75. [Google Scholar] [CrossRef]
- Hopkins, P.F.; Kereš, D.; Oñorbe, J.; Faucher-Giguère, C.-A.; Quataert, E.; Murray, N.; Bullock, J.S. Galaxies on FIRE (Feedback in Realistic Environments): Stellar feedback explains cosmologically inefficient star formation. Mon. Not. R. Astron. Soc. 2014, 445, 581–603. [Google Scholar] [CrossRef]
- Massey, P.; Neugent, K.F.; Smart, B.M. A Spectroscopic Survey of Massive Stars in M31 and M33. Astron. J. 2016, 152, 62. [Google Scholar] [CrossRef]
- Cannon, A.J. Peculiar Spectra in the Large Magellanic Cloud. Harv. Coll. Obs. Bull. 1924, 801, 1–3. [Google Scholar]
- Henize, K.G. Catalogues of Hα-emission Stars and Nebulae in the Magellanic Clouds. Astrophys. J. Suppl. 1956, 2, 315. [Google Scholar] [CrossRef]
- Smith, H.J. Spectra of Bright-Line Stars in the Large Magellanic Cloud. Publ. ASP 1957, 69, 137. [Google Scholar] [CrossRef]
- Feast, M.W.; Thackeray, A.D.; Wesselink, A.J. The brightest stars in the Magellanic Clouds. Mon. Not. R. Astron. Soc. 1960, 121, 337. [Google Scholar] [CrossRef]
- Allen, D.A.; Glass, I.S. Emission-line stars in the Large Magellanic Cloud: Spectroscopy and infrared photometry. Astrophys. J. 1976, 210, 666–669. [Google Scholar] [CrossRef]
- Glass, I.S. A dusty star in the Small Magellanic Cloud. Mon. Not. R. Astron. Soc. 1977, 178, 9P. [Google Scholar] [CrossRef]
- Stahl, O.; Wolf, B.; Zickgraf, F.J.; Bastian, U.; de Groot, M.H.J.; Leitherer, C. R66 (Aeq), an LMC B Supergiant with a Massive, Cool and Dusty Wind. Astron. Astrophys. 1983, 120, 287–296. [Google Scholar]
- Stahl, O.; Leitherer, C.; Wolf, B.; Zickgraf, F.-J. Three new hot stars with dust shells in the Magellanic clouds. Astron. Astrophys. 1984, 131, L5–L6. [Google Scholar]
- Zickgraf, F.-J.; Wolf, B.; Stahl, O.; Leitherer, C.; Klare, G. The hybrid spectrum of the LMC hypergiant R 126. Astron. Astrophys. 1985, 143, 421–430. [Google Scholar]
- Zickgraf, F.J.; Wolf, B.; Stahl, O.; Leitherer, C.; Appenzeller, I. B(e)-supergiants of the Magellanic Clouds. Astron. Astrophys. 1986, 163, 119–134. [Google Scholar]
- Gray, D.F. The Observation and Analysis of Stellar Photospheres; Cambridge University Press: Cambridge, UK, 2005. [Google Scholar]
- Zickgraf, F.-J. B[e] Supergiants in the Magellanic Clouds. In Stars with the B[e] Phenomenon; ASP Conference Series; Astronomical Society of the Pacific: San Francisco, CA, USA, 2006; Volume 355, p. 135. [Google Scholar]
- Georgy, C.; Ekström, S.; Eggenberger, P.; Meynet, G.; Haemmerlé, L.; Maeder, A.; Granada, A.; Groh, J.H.; Hirschi, R.; Mowlavi, N.; et al. Grids of stellar models with rotation. III. Models from 0.8 to 120 M⊙ at a metallicity Z = 0.002. Astron. Astrophys. 2013, 558, A103. [Google Scholar] [CrossRef]
- Gummersbach, C.A.; Zickgraf, F.-J.; Wolf, B. B[e] phenomenon extending to lower luminosities in the Magellanic Clouds. Astron. Astrophys. 1995, 302, 409. [Google Scholar]
- McGregor, P.J.; Hillier, D.J.; Hyland, A.R. CO Overtone Emission from Magellanic Cloud Supergiants. Astrophys. J. 1988, 334, 639. [Google Scholar] [CrossRef]
- Zickgraf, F.-J.; Kovacs, J.; Wolf, B.; Stahl, O.; Kaufer, A.; Appenzeller, I. R4 in the Small Magellanic Cloud: A spectroscopic binary with a B[e]/LBV-type component. Astron. Astrophys. 1996, 309, 505–514. [Google Scholar]
- Zickgraf, F.-J.; Wolf, B.; Stahl, O.; Humphreys, R.M. S 18: A new B(e) supergiant in the Small Magellanic Cloud with evidence for an excretion disk. Astron. Astrophys. 1989, 220, 206–214. [Google Scholar]
- Zickgraf, F.-J.; Stahl, O.; Wolf, B. IR survey of OB emission-line stars in the SMC: Detection of a new B E supergiant, AV 172. Astron. Astrophys. 1992, 260, 205–212. [Google Scholar]
- Lamers, H.J.G.L.M.; Zickgraf, F.-J.; de Winter, D.; Houziaux, L.; Zorec, J. An improved classification of B[e]-type stars. Astron. Astrophys. 1998, 340, 117–128. [Google Scholar]
- Appenzeller, I.; Klare, G.; Stahl, O.; Wolf, B.; Zickgraf, F.-J. CASPEC/Cassegrain Echelle Spectrograph/and IUE—A Perfect Match. Messenger 1984, 38, 28. [Google Scholar]
- Clark, J.S.; Bartlett, E.S.; Coe, M.J.; Dorda, R.; Haberl, F.; Lamb, J.B.; Negueruela, I.; Udalski, A. The supergiant B[e] star LHA 115-S 18—Binary and/or luminous blue variable? Astron. Astrophys. 2013, 560, A10. [Google Scholar] [CrossRef]
- Massey, P.; Neugent, K.F.; Morrell, N.; Hillier, D.J. A Modern Search for Wolf-Rayet Stars in the Magellanic Clouds: First Results. Astrophys. J. 2014, 788, 83. [Google Scholar] [CrossRef]
- Bartlett, E.S.; Clark, J.S. Observational Constraints on the Nature of the X-ray bright supergiant B[e] stars LHA 115-S18 & LHA 120- S134. In Proceedings of the SALT Science Conference, Stellenbosch, South Afrcia, 1–5 June 2015. [Google Scholar]
- Magalhaes, A.M. Polarization and the Envelopes of B[e] Supergiants in the Magellanic Clouds. Astrophys. J. 1992, 398, 286. [Google Scholar] [CrossRef]
- Melgarejo, R.; Magalhães, A.M.; Carciofi, A.C.; Rodrigues, C.V. S 111 and the polarization of the B[e] supergiants in the Magellanic Clouds. Astron. Astrophys. 2001, 377, 581–588. [Google Scholar] [CrossRef]
- Magalhães, A.M.; Melgarejo, R.; Pereyra, A.; Carciofi, A.C. Polarimetry and the Envelopes of Magellanic B[e] Supergiants. In Stars with the B[e] Phenomenon; ASP Conference Series; Astronomical Society of the Pacific: San Francisco, CA, USA, 2006; Volume 355, p. 147. [Google Scholar]
- Seriacopi, D.B.; Carciofi, A.C.; Magalhães, A.M. The Envelopes of B[e] Supergiants in the Magellanic Clouds as Seen by Polarimetry. In The B[e] Phenomenon: Forty Years of Studies; Miroshnichenko, A., Zharikov, S., Korčáková, D., Wolf, M., Eds.; ASP Conference Series; Astronomical Society of the Pacific: San Francisco, CA, USA, 2017; Volume 508, p. 109. [Google Scholar]
- Zickgraf, F.-J.; Schulte-Ladbeck, R.E. Polarization characteristics of galactic Be stars. Astron. Astrophys. 1989, 214, 274–284. [Google Scholar]
- McGregor, P.J.; Hyland, A.R.; Hillier, D.J. Atomic and Molecular Line Emission from Early-Type High-Luminosity Stars. Astrophys. J. 1988, 324, 1071. [Google Scholar] [CrossRef]
- McGregor, P.J.; Hyland, A.R.; McGinn, M.T. Emission-line stars in the Magellanic Clouds: Infrared spectroscopy of Be and Ofpe/WN9 stars. Astron. Astrophys. 1989, 223, 237–240. [Google Scholar]
- Morris, P.W.; Eenens, P.R.J.; Hanson, M.M.; Conti, P.S.; Blum, R.D. Infrared Spectra of Massive Stars in Transition: WNL, Of, Of/WN, Be, B[e], and Luminous Blue Variable Stars. Astrophys. J. 1996, 470, 597. [Google Scholar] [CrossRef]
- Wheelwright, H.E.; de Wit, W.J.; Weigelt, G.; Oudmaijer, R.D.; Ilee, J.D. AMBER and CRIRES observations of the binary sgB[e] star HD 327083: Evidence of a gaseous disc traced by CO bandhead emission. Astron. Astrophys. 2012, 543, A77. [Google Scholar] [CrossRef]
- Muratore, M.F.; Kraus, M.; de Wit, W.J. Near-infrared spectroscopic survey of galactic B[e] stars. Boletín Asoc. Argent. Astron. 2012, 55, 123–127. [Google Scholar]
- Oksala, M.E.; Kraus, M.; Arias, M.L.; Borges Fernandes, M.; Cidale, L.; Muratore, M.F.; Curé, M. The sudden appearance of CO emission in LHA 115-S 65. Mon. Not. R. Astron. Soc. 2012, 426, L56–L60. [Google Scholar] [CrossRef]
- Oksala, M.E.; Kraus, M.; Cidale, L.S.; Muratore, M.F.; Borges Fernandes, M. Probing the ejecta of evolved massive stars in transition. A VLT/SINFONI K-band survey. Astron. Astrophys. 2013, 558, A17. [Google Scholar] [CrossRef]
- Kraus, M.; Oksala, M.E.; Nickeler, D.H.; Muratore, M.F.; Borges Fernandes, M.; Aret, A.; Cidale, L.S.; de Wit, W.J. Molecular emission from GG Carinae’s circumbinary disk. Astron. Astrophys. 2013, 549, A28. [Google Scholar] [CrossRef]
- Kraus, M.; Cidale, L.S.; Arias, M.L.; Maravelias, G.; Nickeler, D.H.; Torres, A.F.; Borges Fernandes, M.; Aret, A.; Curé, M.; Vallverdú, R.; et al. Inhomogeneous molecular ring around the B[e] supergiant LHA 120-S 73. Astron. Astrophys. 2016, 593, A112. [Google Scholar] [CrossRef]
- Torres, A.F.; Cidale, L.S.; Kraus, M.; Arias, M.L.; Barbá, R.H.; Maravelias, G.; Borges Fernandes, M. Resolving the clumpy circumstellar environment of the B[e] supergiant LHA 120-S 35. Astron. Astrophys. 2018, 612, A113. [Google Scholar] [CrossRef]
- Kraus, M.; Oksala, M.E.; Cidale, L.S.; Arias, M.L.; Torres, A.F.; Borges Fernandes, M. Discovery of SiO Band Emission from Galactic B[e] Supergiants. Astrophys. J. Lett. 2015, 800, L20. [Google Scholar] [CrossRef]
- Torres, A.F.; Kraus, M.; Cidale, L.S.; Barba, R.; Borges Fernandes, M.; Brandi, E. Discovery of Raman-scattered lines in the massive luminous emission-line star LHA 115-S 18. Mon. Not. R. Astron. Soc. 2012, 427, L80–L84. [Google Scholar] [CrossRef]
- Domiciano de Souza, A.; Driebe, T.; Chesneau, O.; Hofmann, K.-H.; Kraus, S.; Miroshnichenko, A.S.; Ohnaka, K.; Petrov, R.G.; Preisbisch, T.; Stee, P.; et al. AMBER/VLTI and MIDI/VLTI spectro-interferometric observations of the B[e] supergiant CPD-57deg2874. Size and geometry of the circumstellar envelope in the near- and mid-IR. Astron. Astrophys. 2007, 464, 81–86. [Google Scholar] [CrossRef][Green Version]
- Domiciano de Souza, A.; Bendjoya, P.; Niccolini, G.; Chesneau, O.; Borges Fernandes, M.; Carciofi, A.C.; Spang, A.; Stee, P.; Driebe, T. Fast ray-tracing algorithm for circumstellar structures (FRACS). II. Disc parameters of the B[e] supergiant CPD-57deg2874 from VLTI/MIDI data. Astron. Astrophys. 2011, 525, A22. [Google Scholar] [CrossRef]
- Millour, F.; Meilland, A.; Chesneau, O.; Stee, P.; Kanaan, S.; Petrov, R.; Mourard, D.; Kraus, S. Imaging the spinning gas and dust in the disc around the supergiant A[e] star HD 62623. Astron. Astrophys. 2011, 526, A107. [Google Scholar] [CrossRef]
- Cidale, L.S.; Borges Fernandes, M.; Andruchow, I.; Arias, M.L.; Kraus, M.; Chesneau, O.; Kanaan, S.; Curé, M.; de Wit, W.J.; Muratore, M.F. Observational constraints for the circumstellar disk of the B[e] star CPD-52 9243. Astron. Astrophys. 2012, 548, A72. [Google Scholar] [CrossRef]
- Wang, Y.; Weigelt, G.; Kreplin, A.; Hofmann, K.-H.; Kraus, S.; Miroshnichenko, A.S.; Schertl, D.; Chelli, A.; Domiciano de Souza, A.; Massi, F.; et al. AMBER/VLTI observations of the B[e] star MWC 300. Astron. Astrophys. 2012, 545, L10. [Google Scholar] [CrossRef][Green Version]
- Wheelwright, H.E.; de Wit, W.J.; Oudmaijer, R.D.; Vink, J.S. VLTI/AMBER observations of the binary B[e] supergiant HD 327083. Astron. Astrophys. 2012, 538, A6. [Google Scholar] [CrossRef]
- Aret, A.; Kraus, M.; Muratore, M.F.; Borges Fernandes, M. A new observational tracer for high-density disc-like structures around B[e] supergiants. Mon. Not. R. Astron. Soc. 2012, 423, 284–293. [Google Scholar] [CrossRef]
- Condori, C.A.H.; Borges Fernandes, M.; Kraus, M.; Panoglou, D.; Guerrero, C.A. The study of unclassified B[e] stars and candidates in the Galaxy and Magellanic Clouds. Mon. Not. R. Astron. Soc. 2019, 488, 1090–1110. [Google Scholar] [CrossRef]
- Kraus, M.; Liimets, T.; Cappa, C.E.; Cidale, L.S.; Nickeler, D.H.; Duronea, N.U.; Arias, M.L.; Gunawan, D.S.; Oksala, M.E.; Borges Fernandes, M.; et al. Resolving the Circumstellar Environment of the Galactic B[e] Supergiant Star MWC 137 from Large to Small Scales. Astron. J. 2017, 154, 186. [Google Scholar] [CrossRef]
- Kraus, M.; Borges Fernandes, M.; de Araújo, F.X. On the hydrogen neutral outflowing disks of B[e] supergiants. Astron. Astrophys. 2007, 463, 627–634. [Google Scholar] [CrossRef]
- Kraus, M.; Borges Fernandes, M.; de Araújo, F.X. Neutral material around the B[e] supergiant star LHA 115-S 65. An outflowing disk or a detached Keplerian rotating disk? Astron. Astrophys. 2010, 517, A30. [Google Scholar] [CrossRef]
- Maravelias, G.; Kraus, M.; Cidale, L.S.; Borges Fernandes, M.; Arias, M.L.; Curé, M.; Vasilopoulos, G. Resolving the kinematics of the discs around Galactic B[e] supergiants. Mon. Not. R. Astron. Soc. 2018, 480, 320–344. [Google Scholar] [CrossRef]
- Muratore, M.F.; Kraus, M.; Oksala, M.E.; Arias, M.L.; Cidale, L.; Borges Fernandes, M.; Liermann, A. Evidence of the Evolved Nature of the B[e] Star MWC 137. Astron. J. 2015, 149, 13. [Google Scholar] [CrossRef]
- Aret, A.; Kraus, M.; Šlechta, M. Spectroscopic survey of emission-line stars—I. B[e] stars. Mon. Not. R. Astron. Soc. 2016, 456, 1424–1437. [Google Scholar] [CrossRef]
- Kraus, M.; Krügel, E.; Thum, C.; Geballe, T.R. CO band emission from MWC 349. I. First overtone bands from a disk or from a wind? Astron. Astrophys. 2000, 362, 158–168. [Google Scholar]
- Kraus, M.; Arias, M.L.; Cidale, L.S.; Torres, A.F. Evidence of an evolved nature of MWC 349A. 2019; in preparation. [Google Scholar]
- Miroshnichenko, A.S.; Bjorkman, K.S.; Grosso, M.; Hinkle, K.; Levato, H.; Marang, F. Properties of galactic B[e] supergiants. IV. Hen 3-298 and Hen 3-303. Astron. Astrophys. 2005, 436, 653–659. [Google Scholar] [CrossRef]
- Liermann, A.; Schnurr, O.; Kraus, M.; Kreplin, A.; Arias, M.L.; Cidale, L.S. A K-band spectral mini-survey of Galactic B[e] stars. Mon. Not. R. Astron. Soc. 2014, 443, 947–956. [Google Scholar] [CrossRef]
- Miroshnichenko, A.S.; Bjorkman, K.S.; Chentsov, E.L.; Klochkova, V.G.; Ezhkova, O.V.; Gray, R.O.; García-Lario, P.; Perea Calderón, J.V.; Rudy, R.J.; Lynch, D.K.; et al. The luminous B[e] binary AS 381. Astron. Astrophys. 2002, 383, 171–181. [Google Scholar] [CrossRef]
- Andrillat, Y.; Jaschek, C. B[e] stars. VIII. MWC 342. Astron. Astrophys. Suppl. 1999, 136, 59–63. [Google Scholar] [CrossRef]
- Borges Fernandes, M.; Kraus, M.; Lorenz Martins, S.; de Araújo, F.X. On the evolutionary stage of the unclassified B[e] star CD-42∘11721. Mon. Not. R. Astron. Soc. 2007, 377, 1343–1362. [Google Scholar] [CrossRef]
- Kraus, M.; Borges Fernandes, M.; Kubát, J.; de Araújo, F.X. From B[e] to A[e]. On the peculiar variations of the SMC supergiant LHA 115-S 23 (AzV 172). Astron. Astrophys. 2008, 487, 697–707. [Google Scholar] [CrossRef][Green Version]
- Chentsov, E.L.; Klochkova, V.G.; Miroshnichenko, A.S. Spectral variability of the peculiar A-type supergiant 3Pup. Astrophys. Bull. 2010, 65, 150–163. [Google Scholar] [CrossRef]
- Kraus, M.; Lamers, H.J.G.L.M. Ionization structure in the winds of B[e] supergiants. I. Ionization equilibrium calculations in a H plus He wind. Astron. Astrophys. 2003, 405, 165–174. [Google Scholar] [CrossRef]
- Kraus, M. Ionization structure in the winds of B[e] supergiants. II. Influence of rotation on the formation of equatorial hydrogen neutral zones. Astron. Astrophys. 2006, 456, 151–159. [Google Scholar] [CrossRef]
- Zsargó, J.; Hillier, D.J.; Georgiev, L.N. Axi-symmetric models of B[e] supergiants. I. The effective temperature and mass-loss dependence of the hydrogen and helium ionization structure. Astron. Astrophys. 2008, 478, 543–551. [Google Scholar] [CrossRef]
- Glatzel, W.; Kiriakidis, M. Stability of Massive Stars and the Humphreys-Davidson Limit. Mon. Not. R. Astron. Soc. 1993, 263, 375–384. [Google Scholar] [CrossRef]
- Kiriakidis, M.; Fricke, K.J.; Glatzel, W. The stability of massive stars and its dependence on metallicity and opacity. Mon. Not. R. Astron. Soc. 1993, 264, 50–62. [Google Scholar] [CrossRef][Green Version]
- Glatzel, W.; Mehren, S. Non-radial pulsations and stability of massive stars. Mon. Not. R. Astron. Soc. 1996, 282, 1470–1482. [Google Scholar] [CrossRef]
- Kurfürst, P.; Feldmeier, A.; Krtička, J. Time-dependent modeling of extended thin decretion disks of critically rotating stars. Astron. Astrophys. 2014, 569, A23. [Google Scholar] [CrossRef]
- Kurfürst, P.; Feldmeier, A.; Krtička, J. Two-dimensional modeling of density and thermal structure of dense circumstellar outflowing disks. Astron. Astrophys. 2018, 613, A75. [Google Scholar] [CrossRef]
- Pelupessy, I.; Lamers, H.J.G.L.M.; Vink, J.S. The radiation driven winds of rotating B[e] supergiants. Astron. Astrophys. 2000, 359, 695–706. [Google Scholar]
- Curé, M. The Influence of Rotation in Radiation-driven Wind from Hot Stars: New Solutions and Disk Formation in Be Stars. Astrophys. J. 2004, 614, 929–941. [Google Scholar] [CrossRef]
- Curé, M.; Rial, D.F.; Cidale, L. Outflowing disk formation in B[e] supergiants due to rotation and bi-stability in radiation driven winds. Astron. Astrophys. 2005, 437, 929–933. [Google Scholar] [CrossRef][Green Version]
- Kraus, M. Spectroscopic Diagnostics for Circumstellar Disks of B[e] Supergiants. In The B[e] Phenomenon: Forty Years of Studies; Miroshnichenko, A., Zharikov, S., Korčáková, D., Wolf, M., Eds.; ASP Conference Series; Astronomical Society of the Pacific: San Francisco, CA, USA, 2017; Volume 508, pp. 219–228. [Google Scholar]
- Kastner, J.H.; Buchanan, C.; Sahai, R.; Forrest, W.J.; Sargent, B.A. The Dusty Circumstellar Disks of B[e] Supergiants in the Magellanic Clouds. Astron. J. 2010, 139, 1993–2002. [Google Scholar] [CrossRef]
- Mehner, A.; de Wit, W.J.; Groh, J.H.; Oudmaijer, R.D.; Baade, D.; Rivinius, T.; Selman, F.; Boffin, H.M.J.; Martayan, C. VLT/MUSE discovers a jet from the evolved B[e] star MWC 137. Astron. Astrophys. 2016, 585, A81. [Google Scholar] [CrossRef]
- Clark, J.S.; Negueruela, I.; Crowther, P.A.; Goodwin, S.P. On the massive stellar population of the super star cluster Westerlund 1. Astron. Astrophys. 2005, 434, 949–969. [Google Scholar] [CrossRef]
- Clark, J.S.; Ritchie, B.W.; Negueruela, I. The circumstellar environment and evolutionary state of the supergiant B[e] star Wd1-9. Astron. Astrophys. 2013, 560, A11. [Google Scholar] [CrossRef]
- Liermann, A.; Kraus, M.; Schnurr, O.; Borges Fernandes, M. The 13Carbon footprint of B[e] supergiants. Mon. Not. R. Astron. Soc. 2010, 408, L6–L10. [Google Scholar] [CrossRef]
- Kraus, M. The pre- versus post-main sequence evolutionary phase of B[e] stars. Constraints from 13CO band emission. Astron. Astrophys. 2009, 494, 253–262. [Google Scholar] [CrossRef]
- Ekström, S.; Georgy, C.; Eggenberger, P.; Meynet, G.; Mowlavi, N.; Wyttenbach, A.; Granada, A.; Decressin, T.; Hirschi, R.; Frischknecht, U.; et al. Grids of stellar models with rotation. I. Models from 0.8 to 120 M⊙ at solar metallicity (Z = 0.014). Astron. Astrophys. 2012, 537, A146. [Google Scholar] [CrossRef]
- Berkhuijsen, E.M.; Humphreys, R.M.; Ghigo, F.D.; Zumach, W. A catalogue of the brightest stars in the field of M 31. Astron. Astrophys. Suppl. 1988, 76, 65–99. [Google Scholar]
- Massey, P.; Armandroff, T.E.; Conti, P.S. Massive stars in M31. Astron. J. 1986, 92, 1303–1333. [Google Scholar] [CrossRef]
- Freedman, W.L. The Young Stellar Content of Nearby Resolved Galaxies. Ph.D. Thesis, University of Toronto, Toronto, ON, Canada, 1984. [Google Scholar]
- Humphreys, R.M.; Massey, P.; Freedman, W.L. Spectroscopy of Luminous Blue Stars in M31 and M33. Astron. J. 1990, 99, 84. [Google Scholar] [CrossRef]
- Massey, P.; Olsen, K.A.G.; Hodge, P.W.; Strong, S.B.; Jacoby, G.H.; Schlingman, W.; Smith, R.C. A Survey of Local Group Galaxies Currently Forming Stars. I. UBVRI Photometry of Stars in M31 and M33. Astron. J. 2006, 131, 2478–2496. [Google Scholar] [CrossRef]
- Massey, P.; Olsen, K.A.G.; Hodge, P.W.; Jacoby, G.H.; McNeill, R.T.; Smith, R.C.; Strong, S.B. A Survey of Local Group Galaxies Currently Forming Stars. II. UBVRI Photometry of Stars in Seven Dwarfs and a Comparison of the Entire Sample. Astron. J. 2007, 133, 2393–2417. [Google Scholar] [CrossRef]
- Massey, P.; McNeill, R.T.; Olsen, K.A.G.; Hodge, P.W.; Blaha, C.; Jacoby, G.H.; Smith, R.C.; Strong, S.B. A Survey of Local Group Galaxies Currently Forming Stars. III. A Search for Luminous Blue Variables and Other Hα Emission-Line Stars. Astron. J. 2007, 134, 2474–2503. [Google Scholar] [CrossRef]
- Massey, P.; Waterhouse, E.; DeGioia-Eastwood, K. The Progenitor Masses of Wolf-Rayet Stars and Luminous Blue Variables Determined from Cluster Turnoffs. I. Results from 19 OB Associations in the Magellanic Clouds. Astron. J. 2000, 119, 2214–2241. [Google Scholar] [CrossRef]
- Clark, J.S.; Castro, N.; Garcia, M.; Herrero, A.; Najarro, F.; Negueruela, I.; Ritchie, B.W.; Smith, K.T. On the nature of candidate luminous blue variables in M 33. Astron. Astrophys. 2012, 541, A146. [Google Scholar] [CrossRef]
- Humphreys, R.M.; Weis, K.; Davidson, K.; Bomans, D.J.; Burggraf, B. Luminous and Variable Stars in M31 and M33. II. Luminous Blue Variables, Candidate LBVs, Fe II Emission Line Stars, and Other Supergiants. Astrophys. J. 2014, 790, 48. [Google Scholar] [CrossRef]
- Humphreys, R.M.; Gordon, M.S.; Martin, J.C.; Weis, K.; Hahn, D. Luminous and Variable Stars in M31 and M33. IV. Luminous Blue Variables, Candidate LBVs, B[e] Supergiants, and the Warm Hypergiants: How to Tell Them Apart. Astrophys. J. 2017, 836, 64. [Google Scholar] [CrossRef]
- Gvaramadze, V.V.; Kniazev, A.Y.; Fabrika, S. Revealing evolved massive stars with Spitzer. Mon. Not. R. Astron. Soc. 2010, 405, 1047–1060. [Google Scholar] [CrossRef][Green Version]
- Wachter, S.; Mauerhan, J.C.; Van Dyk, S.D.; Hoard, D.W.; Kafka, S.; Morris, P.W. A Hidden Population of Massive Stars with Circumstellar Shells Discovered with the Spitzer Space Telescope. Astron. J. 2010, 139, 2330–2346. [Google Scholar] [CrossRef]
- Aadland, E.; Massey, P.; Neugent, K.F.; Drout, M.R. Shedding Light on the Isolation of Luminous Blue Variables. Astron. J. 2018, 156, 294. [Google Scholar] [CrossRef]
- Campagnolo, J.C.N.; Borges Fernandes, M.; Drake, N.A.; Kraus, M.; Guerrero, C.A.; Pereira, C.B. Detection of new eruptions in the Magellanic Clouds luminous blue variables R 40 and R 110. Astron. Astrophys. 2018, 613, A33. [Google Scholar] [CrossRef]
- Cutri, R.M.; Skrutskie, M.F.; van Dyk, S.; Beichman, C.A.; Carpenter, J.M.; Chester, T.; Cambresy, L.; Evans, T.; Fowler, J.; Gizis, J.; et al. VizieR Online Data Catalog: 2MASS All-Sky Catalog of Point Sources. VizieR On-line Data Catalog 2003, II/246. [Google Scholar]
- Cutri, R.M. VizieR Online Data Catalog: WISE All-Sky Data Release. VizieR On-line Data Catalog 2012, II/311. [Google Scholar]
- Worthey, G.; Lee, H. An Empirical UBV RI JHK Color-Temperature Calibration for Stars. Astrophys. J. Suppl. 2011, 193, 1. [Google Scholar] [CrossRef]
- Morris, P.W.; Voors, R.H.M.; Lamers, H.J.G.L.M.; Eenens, P.R.J. Near-Infrared Spectra of LBV; Be and B[e] Stars: Does Axisymmetry Provide a Morphological Link? In Luminous Blue Variables: Massive Stars in Transition; Nota, A., Lamers, H., Eds.; ASP Conference Series; Astronomical Society of the Pacific: San Francisco, CA, USA, 1997; Volume 120, p. 20. [Google Scholar]
- Bonanos, A.Z.; Massa, D.; Sewilo, M.; Lennon, D.J.; Panagia, N.; Smith, L.J.; Meixner, M.; Babler, B.L.; Bracker, S.; Meade, M.R.; et al. Spitzer SAGE Infrared Photometry of Massive Stars in the Large Magellanic Cloud. Astron. J. 2009, 138, 1003–1021. [Google Scholar] [CrossRef]
- Stahl, O.; Smolinski, J.; Wolf, B.; Zickgraf, F.-J. High-Dispersion Spectroscopy of the B[e] Supergiant S 111. In Physics of Luminous Blue Variables; Davidson, K., Moffat, A.F.J., Lamers, H.J.G.L.M., Eds.; Astrophysics and Space Science Library: Dordrecht, The Netherlands; Kluwer Academic Publishers: Boston, MA, USA, 1989; Volume 157, p. 295. [Google Scholar]
- Miroshnichenko, A.S.; Manset, N.; Polcaro, F.; Rossi, C.; Zharikov, S. The B[e] phenomenon in the Milky Way and Magellanic Clouds. Proc. Int. Astron. Union 2011, 6, 260–264. [Google Scholar] [CrossRef]
- Evans, C.J.; Taylor, W.D.; Hénault-Brunet, V.; Sana, H.; de Koter, A.; Simón-Díaz, S.; Carraro, G.; Bagnoli, T.; Bastian, N.; Bestenlehner, J.M.; et al. The VLT-FLAMES Tarantula Survey. I. Introduction and observational overview. Astron. Astrophys. 2011, 530, A108. [Google Scholar] [CrossRef]
- Evans, C.J.; Kennedy, M.B.; Dufton, P.L.; Howarth, I.D.; Walborn, N.R.; Markova, N.; Clark, J.S.; de Mink, S.E.; de Koter, A.; Dunstall, P.R.; et al. The VLT-FLAMES Tarantula Survey. XVIII. Classifications and radial velocities of the B-type stars. Astron. Astrophys. 2015, 574, A13. [Google Scholar] [CrossRef]
- Kalari, V.M.; Vink, J.S.; Dufton, P.L.; Evans, C.J.; Dunstall, P.R.; Sana, H.; Clark, J.S.; Ellerbroek, L.; de Koter, A.; Lennon, D.J.; et al. The VLT-FLAMES Tarantula Survey. XV. VFTS 822: A candidate Herbig B[e] star at low metallicity. Astron. Astrophys. 2014, 564, L7. [Google Scholar] [CrossRef]
- Kamath, D.; Wood, P.R.; Van Winckel, H. Optically visible post-AGB stars, post-RGB stars and young stellar objects in the Large Magellanic Cloud. Mon. Not. R. Astron. Soc. 2015, 454, 1468–1502. [Google Scholar] [CrossRef]
- González-Fernández, C.; Dorda, R.; Negueruela, I.; Marco, A. A new survey of cool supergiants in the Magellanic Clouds. Astron. Astrophys. 2015, 578, A3. [Google Scholar] [CrossRef]
- Hernández, J.; Calvet, N.; Briceño, C.; Hartmann, L.; Berlind, P. Spectral Analysis and Classification of Herbig Ae/Be Stars. Astron. J. 2004, 127, 1682–1701. [Google Scholar] [CrossRef]
- Cardelli, J.A.; Clayton, G.C.; Mathis, J.S. The Relationship between Infrared, Optical, and Ultraviolet Extinction. Astrophys. J. 1989, 345, 245. [Google Scholar] [CrossRef]
- Levato, H.; Miroshnichenko, A.S.; Saffe, C. New objects with the B[e] phenomenon in the Large Magellanic Cloud. Astron. Astrophys. 2014, 568, A28. [Google Scholar] [CrossRef][Green Version]
- Dunstall, P.R.; Fraser, M.; Clark, J.S.; Crowther, P.A.; Dufton, P.L.; Evans, C.J.; Lennon, D.J.; Soszyński, I.; Taylor, W.D.; Vink, J.S. The VLT-FLAMES Tarantula Survey. V. The peculiar B[e]-like supergiant, VFTS698, in 30 Doradus. Astron. Astrophys. 2012, 542, A50. [Google Scholar] [CrossRef]
- Whitney, B.A.; Sewilo, M.; Indebetouw, R.; Robitaille, T.P.; Meixner, M.; Gordon, K.; Meade, M.R.; Babler, B.L.; Harris, J.; Hora, J.L.; et al. Spitzer Sage Survey of the Large Magellanic Cloud. III. Star Formation and 1000 New Candidate Young Stellar Objects. Astron. J. 2008, 136, 18–43. [Google Scholar] [CrossRef]
- Campbell, M.A.; Evans, C.J.; Mackey, A.D.; Gieles, M.; Alves, J.; Ascenso, J.; Bastian, N.; Longmore, A.J. VLT-MAD observations of the core of 30 Doradus. Mon. Not. R. Astron. Soc. 2010, 405, 421–435. [Google Scholar] [CrossRef][Green Version]
- Evans, C.J.; Howarth, I.D.; Irwin, M.J.; Burnley, A.W.; Harries, T.J. A 2dF survey of the Small Magellanic Cloud. Mon. Not. R. Astron. Soc. 2004, 353, 601–623. [Google Scholar] [CrossRef]
- Graus, A.S.; Lamb, J.B.; Oey, M.S. Discovery of New, Dust-poor B[e] Supergiants in the Small Magellanic Cloud. Astrophys. J. 2012, 759, 10. [Google Scholar] [CrossRef]
- Bonanos, A.Z.; Lennon, D.J.; Köhlinger, F.; van Loon, J.T.; Massa, D.L.; Sewilo, M.; Evans, C.J.; Panagia, N.; Babler, B.L.; Block, M.; et al. Spitzer SAGE-SMC Infrared Photometry of Massive Stars in the Small Magellanic Cloud. Astron. J. 2010, 140, 416–429. [Google Scholar] [CrossRef]
- Wisniewski, J.P.; Bjorkman, K.S.; Bjorkman, J.E.; Clampin, M. Discovery of a New Dusty B[e] Star in the Small Magellanic Cloud. Astrophys. J. 2007, 670, 1331–1336. [Google Scholar] [CrossRef]
- Meyssonnier, N.; Azzopardi, M. A new catalogue of H-alpha emission-line stars and small nebulae in the Small Magellanic Cloud. Astron. Astrophys. Suppl. 1993, 102, 451–593. [Google Scholar]
- Keller, S.C.; Wood, P.R.; Bessell, M.S. Be stars in and around young clusters in the Magellanic Clouds. Astron. Astrophys. Suppl. 1999, 134, 489–503. [Google Scholar] [CrossRef]
- Keller, L.D.; Sloan, G.C.; Forrest, W.J.; Ayala, S.; D’Alessio, P.; Shah, S.; Calvet, N.; Najita, J.; Li, A.; Hartmann, L.; et al. PAH Emission from Herbig Ae/Be Stars. Astrophys. J. 2008, 684, 411–429. [Google Scholar] [CrossRef]
- Peeters, E.; Hony, S.; Van Kerckhoven, C.; Tielens, A.G.G.M.; Allamandola, L.J.; Hudgins, D.M.; Bauschlicher, C.W. The rich 6 to 9 μm spectrum of interstellar PAHs. Astron. Astrophys. 2002, 390, 1089–1113. [Google Scholar] [CrossRef]
- Ruffle, P.M.E.; Kemper, F.; Jones, O.C.; Sloan, G.C.; Kraemer, K.E.; Woods, P.M.; Boyer, M.L.; Srinivasan, S.; Antoniou, V.; Lagadec, E.; et al. Spitzer infrared spectrograph point source classification in the Small Magellanic Cloud. Mon. Not. R. Astron. Soc. 2015, 451, 3504–3536. [Google Scholar] [CrossRef]
- Whelan, D.G.; Lebouteiller, V.; Galliano, F.; Peeters, E.; Bernard-Salas, J.; Johnson, K.E.; Indebetouw, R.; Brandl, B.R. An In-depth View of the Mid-infrared Properties of Point Sources and the Diffuse ISM in the SMC Giant H II Region, N66. Astrophys. J. 2013, 771, 16. [Google Scholar] [CrossRef]
- Kamath, D.; Wood, P.R.; Van Winckel, H. Optically visible post-AGB/RGB stars and young stellar objects in the Small Magellanic Cloud: Candidate selection, spectral energy distributions and spectroscopic examination. Mon. Not. R. Astron. Soc. 2014, 439, 2211–2270. [Google Scholar] [CrossRef]
- Heydari-Malayeri, M. Discovery of a low mass B[e] supergiant in the Small magellanic Cloud. Astron. Astrophys. 1990, 234, 233. [Google Scholar]
- Corral, L.J. LBV-Type Stars in M33. Astron. J. 1996, 112, 1450. [Google Scholar] [CrossRef]
- Fabrika, S.; Sholukhova, O. A survey of blue—Hα objects in the galaxy M 33. Astron. Astrophys. Suppl. 1999, 140, 309–326. [Google Scholar] [CrossRef]
- Kraus, M.; Cidale, L.S.; Arias, M.L.; Oksala, M.E.; Borges Fernandes, M. Discovery of the First B[e] Supergiants in M 31. Astrophys. J. Lett. 2014, 780, L10. [Google Scholar] [CrossRef]
- Sholukhova, O.; Bizyaev, D.; Fabrika, S.; Sarkisyan, A.; Malanushenko, V.; Valeev, A. New luminous blue variables in the Andromeda galaxy. Mon. Not. R. Astron. Soc. 2015, 447, 2459–2467. [Google Scholar] [CrossRef]
- Kourniotis, M.; Kraus, M.; Arias, M.L.; Cidale, L.; Torres, A.F. On the evolutionary state of massive stars in transition phases in M33. Mon. Not. R. Astron. Soc. 2018, 480, 3706–3717. [Google Scholar] [CrossRef]
- Sholukhova, O.; Fabrika, S.; Valeev, A. Classification of LBV-Star Candidates in the Galaxy M31. In Stars: From Collapse to Collapse; Balega, Y.Y., Kudryavtsev, D.O., Romanyuk, I.I., Yakunin, I.A., Eds.; ASP Conference Series; Astronomical Society of the Pacific: San Francisco, CA, USA, 2017; Volume 510, p. 468. [Google Scholar]
- Humphreys, R.M.; Davidson, K.; Grammer, S.; Kneeland, N.; Martin, J.C.; Weis, K.; Burggraf, B. Luminous and Variable Stars in M31 and M33. I. The Warm Hypergiants and Post-red Supergiant Evolution. Astrophys. J. 2013, 773, 46. [Google Scholar] [CrossRef]
- Fabrika, S.; Sholukhova, O.; Becker, T.; Afanasiev, V.; Roth, M.; Sanchez, S.F. Crowded field 3D spectroscopy of LBV candidates in M 33. Astron. Astrophys. 2005, 437, 217–226. [Google Scholar] [CrossRef]
- Humphreys, R.M.; Davidson, K.; Hahn, D.; Martin, J.C.; Weis, K. Luminous and Variable Stars in M31 and M33. V. The Upper HR Diagram. Astrophys. J. 2017, 844, 40. [Google Scholar] [CrossRef]
- Gordon, M.S.; Humphreys, R.M.; Jones, T.J. Luminous and Variable Stars in M31 and M33. III. The Yellow and Red Supergiants and Post-red Supergiant Evolution. Astrophys. J. 2016, 825, 50. [Google Scholar] [CrossRef]
- Stahl, O.; Wolf, B.; de Groot, M.; Leitherer, C. Atlas of hig-dispersion spectra of peculiar emission-line stars in the Magellanic Clouds. Astron. Astrophys. Suppl. 1985, 61, 237–258. [Google Scholar]
- Sholukhova, O.; Fabrika, S.; Roth, M.; Becker, T. B 416—A B[e]-SUPERGIANT in Interacting Binary? Balt. Astron. 2004, 13, 156–158. [Google Scholar]
- Sandage, A. The brightest stars in nearby galaxies. II. The color-magnitude diagram for the brightest red and blue stars in M101. Astron. J. 1983, 88, 1569–1578. [Google Scholar] [CrossRef]
- Sandage, A. The brightest stars in nearby galaxies. III. The color-magnitude diagram for the brightest red and blue stars in M 81 and Holmberg IX. Astron. J. 1984, 89, 621–629. [Google Scholar] [CrossRef]
- Sandage, A. The brightest stars in nearby galaxies. IV. The color-magnitude diagram for the brightest red and blue stars in NGC 2403. Astron. J. 1984, 89, 630–635. [Google Scholar] [CrossRef]
- Zickgraf, F.-J.; Humphreys, R.M. A Stellar Content Survey of NGC 2403 and M81. Astron. J. 1991, 102, 113. [Google Scholar] [CrossRef]
- Grammer, S.; Humphreys, R.M. The Massive Star Population in M101. I. The Identification and Spatial Distribution of the Visually Luminous Stars. Astron. J. 2013, 146, 114. [Google Scholar] [CrossRef][Green Version]
- Humphreys, R.M. Studies of luminous stars in nearby galaxies. VII—The brightest blue stars in the spiral galaxies M101 and NGC 2403. Astrophys. J. 1980, 241, 598–601. [Google Scholar] [CrossRef]
- Humphreys, R.M.; Aaronson, M. The Visually Brightest Early-Type Supergiants in the Spiral Galaxies NGC 2403, M81, and M101. Astron. J. 1987, 94, 1156. [Google Scholar] [CrossRef]
- Sholukhova, O.N.; Fabrika, S.N.; Vlasyuk, V.V.; Dodonov, S.N. Spectroscopy of stars in the galaxy M 81. Astron. Lett. 1998, 24, 507–515. [Google Scholar]
- Sholukhova, O.N.; Fabrika, S.N.; Vlasyuk, V.V. Spectroscopy of stars in the Galaxy NGC 2403. Astron. Lett. 1998, 24, 603–610. [Google Scholar]
- Grammer, S.H.; Humphreys, R.M.; Gerke, J. The Massive Star Population in M101. III. Spectra and Photometry of the Luminous and Variable Stars. Astron. J. 2015, 149, 152. [Google Scholar] [CrossRef]
- Humphreys, R.M.; Stangl, S.; Gordon, M.S.; Davidson, K.; Grammer, S.H. Luminous and Variable Stars in NGC 2403 and M81. Astron. J. 2019, 157, 22. [Google Scholar] [CrossRef]
- Pustilnik, S.A.; Makarova, L.N.; Perepelitsyna, Y.A.; Moiseev, A.V.; Makarov, D.I. The extremely metal-poor galaxy DDO 68: The luminous blue variable, Hα shells and the most luminous stars. Mon. Not. R. Astron. Soc. 2017, 465, 4985–5002. [Google Scholar] [CrossRef]
- Spetsieri, Z.T.; Bonanos, A.Z.; Kourniotis, M.; Yang, M.; Lianou, S.; Bellas-Velidis, I.; Gavras, P.; Hatzidimitriou, D.; Kopsacheili, M.; Moretti, M.I.; et al. Massive variable candidates with the Hubble Space Telescope. Astron. Astrophys. 2018, 618, A185. [Google Scholar] [CrossRef]
- Spetsieri, Z.T.; Bonanos, A.Z.; Yang, M.; Kourniotis, M.; Hatzidimitriou, D. The HST Key Project galaxies NGC 1326A, NGC 1425 and NGC 4548: New variable stars and massive star population. Astron. Astrophys. 2019, 629, A3. [Google Scholar] [CrossRef]
- Ababakr, K.M.; Oudmaijer, R.D.; Vink, J.S. A statistical spectropolarimetric study of Herbig Ae/Be stars. Mon. Not. R. Astron. Soc. 2017, 472, 854–868. [Google Scholar] [CrossRef]
- Bik, A.; Thi, W.F. Evidence for an inner molecular disk around massive Young Stellar Objects. Astron. Astrophys. 2004, 427, L13–L16. [Google Scholar] [CrossRef]
- Blum, R.D.; Barbosa, C.L.; Damineli, A.; Conti, P.S.; Ridgway, S. Accretion Signatures from Massive Young Stellar Objects. Astrophys. J. 2004, 617, 1167–1176. [Google Scholar] [CrossRef][Green Version]
- Ilee, J.D.; Wheelwright, H.E.; Oudmaijer, R.D.; de Wit, W.J.; Maud, L.T.; Hoare, M.G.; Lumsden, S.L.; Moore, T.J.T.; Urquhart, J.S.; Mottram, J.C. CO bandhead emission of massive young stellar objects: Determining disc properties. Mon. Not. R. Astron. Soc. 2013, 429, 2960–2973. [Google Scholar] [CrossRef]
- Ilee, J.D.; Fairlamb, J.; Oudmaijer, R.D.; Mendigutía, I.; van den Ancker, M.E.; Kraus, S.; Wheelwright, H.E. Investigating the inner discs of Herbig Ae/Be stars with CO bandhead and Brγ emission. Mon. Not. R. Astron. Soc. 2014, 445, 3723–3736. [Google Scholar] [CrossRef]
- Ilee, J.D.; Oudmaijer, R.D.; Wheelwright, H.E.; Pomohaci, R. Blinded by the light: On the relationship between CO first overtone emission and mass accretion rate in massive young stellar objects. Mon. Not. R. Astron. Soc. 2018, 477, 3360–3368. [Google Scholar] [CrossRef]
- Esteban, C.; Fernandez, M. S266: A ring nebula around a Galactic B[e] supergiant? Mon. Not. R. Astron. Soc. 1998, 298, 185–192. [Google Scholar] [CrossRef]
- Gvaramadze, V.V.; Menten, K.M. Discovery of a parsec-scale bipolar nebula around MWC 349A. Astron. Astrophys. 2012, 541, A7. [Google Scholar] [CrossRef][Green Version]
- Cohen, M.; Bieging, J.H.; Dreher, J.W.; Welch, W.J. The binary system MWC 349. Astrophys. J. 1985, 292, 249–256. [Google Scholar] [CrossRef]
- Marchiano, P.; Brandi, E.; Muratore, M.F.; Quiroga, C.; Ferrer, O.E.; García, L.G. The spectroscopic orbits and physical parameters of GG Carinae. Astron. Astrophys. 2012, 540, A91. [Google Scholar] [CrossRef]
- Miroshnichenko, A.S.; Levato, H.; Bjorkman, K.S.; Grosso, M. Properties of galactic B[e] supergiants II. HDE 327083. Astron. Astrophys. 2003, 406, 673–683. [Google Scholar] [CrossRef]
- Wolf, B.; Stahl, O. The absorption spectrum of the Be star MWC 300. Astron. Astrophys. 1985, 148, 412–416. [Google Scholar]
- Miroshnichenko, A.S.; Levato, H.; Bjorkman, K.S.; Grosso, M.; Manset, N.; Men’shchikov, A.B.; Rudy, R.J.; Lynch, D.K.; Mazuk, S.; Venturini, C.C.; et al. Properties of galactic B[e] supergiants. III. MWC 300. Astron. Astrophys. 2004, 417, 731–743. [Google Scholar] [CrossRef]
- Miroshnichenko, A.; Corporon, P. Revealing the nature of the B[e] star MWC 342. Astron. Astrophys. 1999, 349, 126–134. [Google Scholar]
- Millour, F.; Chesneau, O.; Borges Fernandes, M.; Meilland, A.; Mars, G.; Benoist, C.; Thiébaut, E.; Stee, P.; Hofmann, K.-H.; Baron, F.; et al. A binary engine fuelling HD 87643’s complex circumstellar environment. Determined using AMBER/VLTI imaging. Astron. Astrophys. 2009, 507, 317–326. [Google Scholar] [CrossRef]
- Plets, H.; Waelkens, C.; Trams, N.R. The peculiar binary supergiant 3 Puppis. Astron. Astrophys. 1995, 293, 363–370. [Google Scholar]
- Meilland, A.; Kanaan, S.; Borges Fernandes, M.; Chesneau, O.; Millour, F.; Stee, P.; Lopez, B. Resolving the dusty circumstellar environment of the A[e] supergiant HD 62623 with the VLTI/MIDI. Astron. Astrophys. 2010, 512, A73. [Google Scholar] [CrossRef]
- de Wit, W.J.; Oudmaijer, R.D.; Vink, J.S. Dusty Blue Supergiants: News from High-Angular Resolution Observations. Adv. Astron. 2014, 2014, 270848. [Google Scholar] [CrossRef]
- Hendry, M.A.; Smartt, S.J.; Skillman, E.D.; Evans, C.J.; Trundle, C.; Lennon, D.J.; Crowther, P.A.; Hunter, I. The blue supergiant Sher 25 and its intriguing hourglass nebula. Mon. Not. R. Astron. Soc. 2008, 388, 1127–1142. [Google Scholar] [CrossRef]
- Smith, N.; Arnett, W.D.; Bally, J.; Ginsburg, A.; Filippenko, A.V. The ring nebula around the blue supergiant SBW1: Pre-explosion snapshot of an SN 1987A twin. Mon. Not. R. Astron. Soc. 2013, 429, 1324–1341. [Google Scholar] [CrossRef][Green Version]
- Smith, N.; Tombleson, R. Luminous blue variables are antisocial: Their isolation implies that they are kicked mass gainers in binary evolution. Mon. Not. R. Astron. Soc. 2015, 447, 598–617. [Google Scholar] [CrossRef]
- Richardson, N.D.; Mehner, A. The 2018 Census of Luminous Blue Variables in the Local Group. Res. Notes Am. Astron. Soc. 2018, 2, 121. [Google Scholar] [CrossRef]
- Langer, N.; Heger, A. B[e] Supergiants: What is Their Evolutionary Status? In B[e] Stars; Hubert, A.M., Jaschek, C., Eds.; Astrophysics and Space Science Library: Dordrecht, The Netherlands; Kluwer Academic Publishers: Boston, MA, USA, 1998; Volume 233, p. 235. [Google Scholar]
- Pasquali, A.; Nota, A.; Langer, N.; Schulte-Ladbeck, R.E.; Clampin, M. R4 and Its Circumstellar Nebula: Evidence for a Binary Merger? Astron. J. 2000, 119, 1352–1358. [Google Scholar] [CrossRef]
- Martin, J.C.; Humphreys, R.M. Multi-epoch BVRI Photometry of Luminous Stars in M31 and M33. Astron. J. 2017, 154, 81. [Google Scholar] [CrossRef]
- Stanek, K.Z.; Kaluzny, J.; Krockenberger, M.; Sasselov, D.D.; Tonry, J.L.; Mateo, M. Detached Eclipsing Binaries and Cepheids. III. Variables in the Field M31C. Astron. J. 1999, 117, 2810–2830. [Google Scholar] [CrossRef][Green Version]
- Vilardell, F.; Ribas, I.; Jordi, C. Eclipsing binaries suitable for distance determination in the Andromeda galaxy. Astron. Astrophys. 2006, 459, 321–331. [Google Scholar] [CrossRef]
- Bartlett, E.S.; Clark, J.S.; Negueruela, I. CI Camelopardalis: The first sgB[e]-high mass X-ray binary twenty years on: A supernova imposter in our own Galaxy? Astron. Astrophys. 2019, 622, A93. [Google Scholar] [CrossRef]
- Filliatre, P.; Chaty, S. The Optical/Near-Infrared Counterpart of the INTEGRAL Obscured Source IGR J16318-4848: An sgB[e] in a High-Mass X-Ray Binary? Astrophys. J. 2004, 616, 469–484. [Google Scholar] [CrossRef]
- Lau, R.M.; Kasliwal, M.M.; Bond, H.E.; Smith, N.; Fox, O.D.; Carlon, R.; Cody, A.M.; Contreras, C.; Dykhoff, D.; Gehrz, R.; et al. Rising from the Ashes: Mid-infrared Re-brightening of the Impostor SN 2010da in NGC 300. Astrophys. J. 2016, 830, 142. [Google Scholar] [CrossRef]
- Lau, R.M.; Heida, M.; Kasliwal, M.M.; Walton, D.J. First Detection of Mid-infrared Variability from an Ultraluminous X-Ray Source Holmberg II X-1. Astrophys. J. Lett. 2017, 838, L17. [Google Scholar] [CrossRef]
- Villar, V.A.; Berger, E.; Chornock, R.; Margutti, R.; Laskar, T.; Brown, P.J.; Blanchard, P.K.; Czekala, I.; Lunnan, R.; Reynolds, M.T. The Intermediate Luminosity Optical Transient SN 2010da: The Progenitor, Eruption, and Aftermath of a Peculiar Supergiant High-mass X-ray Binary. Astrophys. J. 2016, 830, 11. [Google Scholar] [CrossRef]
| 1 | Note that these objects have previously been abbreviated sgB[e] [25], to separate them from other stars showing the B[e] phenomenon. We prefer the designation B[e]SG, to be in line with the naming and abbreviation of other types of supergiants such as blue supergiant (BSG) and red supergiant (RSG). |
| 2 | |
| 3 | This spectral region suffers from strong telluric contamination, which is not always easy to remove, so that especially weak CO emission features might be hidden within telluric remnants. |
| 4 | |
| 5 | We would like to stress that the high-luminosity B[e]SGs barely display photospheric absorption lines, whereas the low-luminosity B[e]SGs typically do. |
| 6 | |
| 7 | |
| 8 | One exception to this rule is the LBV star HR Car, which occasionally showed CO band emission related to phases when the star was dimmer [107]. |
| 9 | I would like to point out that from the proposed 12 newly discovered B[e] stars only one was found to be a supergiant (see Table 4). The others have been carefully inspected in collaboration with Devika Kamath, and they did not fulfill the requirements. These results are yet unpublished. |
| 10 |








| Object | Other Common Identifiers | log T | log L/L | V | E(B–V) | Ref. |
|---|---|---|---|---|---|---|
| Large Magellanic Cloud B[e]SGs | ||||||
| LHA 120-S 12 | SK −67 23 | 4.36 | 5.41 ± 0.04 | 12.6 | 0.2–0.25 | [16] |
| LHA 120-S 22 | HD 34664, SK −67 64 | 4.39 ± 0.04 | 5.89 ± 0.09 | 11.7 | 0.25–0.3 | [16] |
| LHA 120-S 35 | SK −66 97 | 4.34 ± 0.06 | 5.21 ± 0.10 | 12.5 | 0.07 | [20] |
| LHA 120-S 59 | … | 4.14 ± 0.09 | 4.01 ± 0.15 | 14.4 | 0.05 | [20] |
| LHA 120-S 73 | RMC 66, HD 268835 | 4.06 | 5.51 ± 0.03 | 10.6 | 0.12–0.15 | [13] |
| LHA 120-S 89 | RMC 82, HD 269217 | 4.27 | 5.44 ± 0.03 | 12.0 | 0.20 | [16] |
| LHA 120-S 93 | SK −68 66 | 4.00 ± 0.06 | 4.61 ± 0.10 | 12.7 | 0.22 | [20] |
| LHA 120-S 111 a | HD 269599 | 4.19 | 6.06 | 10.3 | 0.28 | [21] |
| LHA 120-S 127 | RMC 126, HD 37974 | 4.35 | 6.12 ± 0.02 | 10.9 | 0.25 | [15] |
| LHA 120-S 134 b,c | HD 38489, SK −69 259 | 4.42 | 5.82 ± 0.06 | 12.0 | 0.2–0.25 | [16] |
| LHA 120-S 137 | … | 4.11 ± 0.10 | 4.24 ± 0.16 | 14.0 | 0.17 | [20] |
| Small Magellanic Cloud B[e]SGs | ||||||
| LHA 115-S 6 b | RMC 4, AzV 16 | 4.43 | 5.02 | 13.0 | 0.07 | [22] |
| LHA 115-S 18 b,c | AzV 154 | 4.40 | 5.60 | 13.3 | 0.4 | [23] |
| LHA 115-S 23 | AzV 172 | 4.04 | 4.31 | 13.3 | 0.03–0.1 | [24] |
| LHA 115-S 65 | RMC 50 | 4.23 | 5.65 ± 0.04 | 11.6 | 0.15–0.2 | [16] |
| Object | [Ca ii] | [O i] a | Ref. | CO | C/C | Ref. | TiO | SiO | Ref. |
|---|---|---|---|---|---|---|---|---|---|
| Large Magellanic Cloud B[e]SGs | |||||||||
| LHA 120-S 12 | yes | no | [53] | yes | 20 ± 2 | [21,41] | yes | … | [23] |
| LHA 120-S 22 | yes | yes | [53] | no | … | [21,41] | no | … | TW b |
| LHA 120-S 35 | yes | yes | [44] | yes | 10 ± 2 | [41,44] | yes | … | [44] |
| LHA 120-S 59 | no | yes | [54] | ? | … | [41] | no | … | TW b |
| LHA 120-S 73 | yes | yes | [43,53] | yes | 9 ± 1 | [21,41,43] | yes | … | [55] |
| LHA 120-S 89 | no | no | TW b | no | … | [21,41] | no | … | TW b |
| LHA 120-S 93 | yes | no | TW b | no | … | [41] | no | … | TW b |
| LHA 120-S 111 | yes | yes | [53] | no | … | [21] | yes | … | [23] |
| LHA 120-S 127 | yes | yes | [53,56] | no | … | [21,41] | no | … | TW b |
| LHA 120-S 134 | yes | yes | [53] | yes | 15 ± 2 | [21,41] | yes | … | [23] |
| LHA 120-S 137 | no | yes | TW b | no | … | [41] | no | … | TW b |
| Small Magellanic Cloud B[e]SGs | |||||||||
| LHA 115-S 6 | ? | yes | TW b | yes | 12 ± 2 | [36,41] | no | … | TW b |
| LHA 115-S 18 | yes | yes | [53] | yes | 20 ± 5 | [37,41] | yes | … | [23,46] |
| LHA 115-S 23 c | ? | no | TW b | no | … | TW d | no | … | TW b |
| LHA 115-S 65 | yes | yes | [53,57] | yes e | 20 ± 5 | [40,41] | no | … | TW b |
| Galactic B[e]SGs/B[e]SG Candidates | |||||||||
| MWC 137 | no | no | [55,58] | yes | 25 ± 2 | [39,41,59] | no | … | TW b |
| MWC 349 | yes | … | [60] | yes | 4 ± 1 | [61,62] | … | no | [62] |
| GG Car | yes | no | [58] | yes | 15 ± 5 | [35,37,39,41,42,58] | no | … | TW b |
| Hen 3-298 | yes | yes | [58,63] | yes | 20 ± 5 | [39,41,58,63] | no | … | TW b |
| CPD-52 9243 | yes | no | [58] | yes | … | [35,39,58] | no | yes | TW b,45] |
| HD 327083 | yes | no | [58] | yes | … | [39,58] | no | yes | TW b,45] |
| MWC 300 | no | yes | TW b | no | … | [39,64] | no | … | TW b |
| AS 381 | no | no | [65] | abs | ? | [39,64,65] | … | … | … |
| CPD-57 2874 | yes | no | [58] | yes | … | [35,39,58] | no | yes | TW b,45] |
| Hen 3-938 | yes | yes | [54] | … | … | … | no | … | TW b |
| MWC 342 | no | yes | [60,66] | … | … | … | … | … | … |
| Hen 3-303 | no | no | TW b | no | … | [63] | no | … | TW b |
| CD-42 11721 | no | yes | [67] | no | … | [39] | no | … | TW b |
| HD 87643 | yes | no | [58] | yes e | … | [39,58] | no | … | TW b |
| HD 62623 c | yes | yes | [58] | yes | … | [39,58] | no | yes | TW b,45] |
| Object | J–H | H–K | W1–W2 | W2–W4 | Class |
|---|---|---|---|---|---|
| Large Magellanic Cloud | |||||
| LHA 120-S 12 | 0.634 ± 0.035 | 0.924 ± 0.035 | 0.761 ± 0.031 | 1.723 ± 0.051 | B[e]SG |
| LHA 120-S 22 | 0.619 ± 0.033 | 1.289 ± 0.033 | 1.258 ± 0.047 | 3.328 ± 0.032 | B[e]SG |
| LHA 120-S 35 | 0.520 ± 0.060 | 1.096 ± 0.051 | 1.156 ± 0.027 | 4.323 ± 0.021 | B[e]SG |
| LHA 120-S 59 | 0.661 ± 0.037 | 0.962 ± 0.035 | 0.988 ± 0.031 | 3.514 ± 0.033 | B[e]SG |
| LHA 120-S 73 | 0.403 ± 0.033 | 0.825 ± 0.033 | 1.030 ± 0.031 | 4.015 ± 0.027 | B[e]SG |
| LHA 120-S 89 | 0.440 ± 0.022 | 1.030 ± 0.036 | 1.059 ± 0.031 | 3.289 ± 0.026 | B[e]SG |
| LHA 120-S 93 | 0.507 ± 0.036 | 1.195 ± 0.033 | 1.128 ± 0.030 | 3.486 ± 0.025 | B[e]SG |
| LHA 120-S 111 a | 0.500 ± 0.000 | 1.030 ± 0.000 | … | … | B[e]SG |
| LHA 120-S 127 | 0.362 ± 0.033 | 1.004 ± 0.033 | 1.106 ± 0.039 | 3.922 ± 0.028 | B[e]SG |
| LHA 120-S 134 | 0.609 ± 0.030 | 1.245 ± 0.030 | 1.090 ± 0.045 | 2.892 ± 0.035 | B[e]SG |
| LHA 120-S 137 | 0.899 ± 0.040 | 1.097 ± 0.037 | 0.931 ± 0.030 | 2.691 ± 0.045 | B[e]SG |
| LHA 120-S 96 (=S Dor) | 0.173 ± 0.054 | 0.172 ± 0.057 | 0.374 ± 0.028 | 5.586 ± 0.022 | LBV |
| LHA 120-S 116 (=R110) | 0.116 ± 0.034 | 0.161 ± 0.036 | 0.076 ± 0.032 | 3.391 ± 0.034 | LBV |
| LHA 120-S 128 (=R127) | 0.115 ± 0.037 | 0.286 ± 0.036 | 0.255 ± 0.029 | 6.573 ± 0.021 | LBV |
| LHA 120-S 155 (=R71) | 0.027 ± 0.035 | 0.097 ± 0.038 | 0.069 ± 0.033 | 7.095 ± 0.024 | LBV |
| CPD-69 463 (=R143) | 0.244 ± 0.033 | 0.201 ± 0.035 | 0.259 ± 0.030 | 7.851 ± 0.049 | LBV |
| LHA 120-S 83 (=Sk −69 142a) | 0.115 ± 0.041 | 0.287 ± 0.041 | 0.239 ± 0.031 | 1.609 ± 0.055 | LBV |
| Small Magellanic Cloud | |||||
| LHA 115-S 6 | 0.433 ± 0.034 | 0.709 ± 0.0319 | 0.769 ± 0.031 | 4.037 ± 0.035 | B[e]SG |
| LHA 115-S 18 | 0.418 ± 0.050 | 0.822 ± 0.0460 | 1.059 ± 0.030 | 3.705 ± 0.031 | B[e]SG |
| LHA 115-S 23 | 0.221 ± 0.038 | 0.601 ± 0.0382 | 0.946 ± 0.031 | 2.484 ± 0.096 | B[e]SG |
| LHA 115-S 65 | 0.292 ± 0.035 | 0.800 ± 0.0311 | 0.982 ± 0.030 | 4.363 ± 0.027 | B[e]SG |
| LHA 115-S 52 (=R40) | 0.182 ± 0.036 | 0.065 ± 0.0330 | 0.066 ± 0.031 | 2.851 ± 0.043 | LBV |
| Object | Ref. | E(B–V) | Ref. | J–H | H–K | W1–W2 | W2–W4 |
|---|---|---|---|---|---|---|---|
| Confirmed B[e]SGs | |||||||
| LHA 120-S 165 | [114] | … | … | 0.735 ± 0.041 | 0.98 ± 0.040 | 0.886 ± 0.029 | 3.385 ± 0.037 |
| ARDB 54 | [54,118] | 0.11 | [54] | 0.340 ± 0.057 | 0.810 ± 0.04 | 0.402 ± 0.023 | 2.057 ± 0.054 |
| Uncertain or controversial classification | |||||||
| (VFTS 1003) | [111] | … | … | 0.540 ± 0.094 | 0.87 ± 0.0539 | … | … |
| (VFTS 822) | [112,113] | 0.56 | [113] | 0.689 ± 0.039 | 1.261 ± 0.035 | 0.952 ± 0.033 | 6.09 ± 0.046 |
| Erroneous classification | |||||||
| (VFTS 698) | [119] | 0.6 | [119] | 0.436 ± 0.030 | 0.444 ± 0.034 | 0.585 ± 0.030 | 9.81 ± 0.023 |
| ([L72] LH 85-10) | [96] | … | … | 0.108 ± 0.036 | 0.211 ± 0.048 | … | … |
| (NOMAD1 | |||||||
| 0181-0125572) | [118] | … | … | …a | …a | … | … |
| Object | Ref. | E(B–V) | Ref. | J–H | H–K | W1–W2 | W2–W4 |
|---|---|---|---|---|---|---|---|
| Confirmed B[e]SGs | |||||||
| [MA93] 1116 | [54,125] | 0.42 | [54] | 0.665 ± 0.077 | 1.084 ± 0.0689 | 1.112 ± 0.03 | 6.883 ± 0.034 |
| Uncertain or controversial classification | |||||||
| (LHA 115-S 38) | [124] | 0.13 | [132] | 0.468 ± 0.038 | 0.879 ± 0.038 | 1.034 ± 0.031 | 3.978 ± 0.035 |
| Erroneous classification | |||||||
| (LHA 115-N82) | [122,133] | 0.12 | [133] | 0.488 ± 0.040 | 1.141 ± 0.040 | 1.133 ± 0.031 | 2.723 ± 0.038 |
| (LHA 115-S 29) | [123] | 0.05 | [123] | 0.089 ± 0.030 | 0.180 ± 0.032 | 0.346 ± 0.030 | 2.479 ± 0.020 |
| (LHA 115-S 46) | [123] | 0.05 | [123] | 0.096 ± 0.037 | 0.204 ± 0.040 | 0.308 ± 0.030 | 2.108 ± 0.020 |
| (LHA 115-S 62) | [123] | 0.11 | [123] | 0.084 ± 0.039 | 0.175 ± 0.048 | 0.315 ± 0.034 | 3.076 ± 0.024 |
| LGGS | Ref. | J–H | H–K | W1–W2 | W2–W4 |
|---|---|---|---|---|---|
| Confirmed B[e]SGs | |||||
| J004320.97+414039.6 | [99,139] | 0.358 | 1.522 ± 0.143 | 0.983 ± 0.051 | 5.284 ± 0.084 |
| J004415.00+420156.2 a | [99,139] | 0.741 ± 0.253 | 1.510 ± 0.210 | 0.961 ± 0.033 | 3.645 ± 0.230 |
| J004417.10+411928.0 b,c | [99,136] | 0.387 ± 0.148 | 0.853 ± 0.149 | 0.882 ± 0.068 | 4.455 ± 0.247 |
| J004522.58+415034.8 c,d | [136] | 0.684 ± 0.223 | 0.877 ± 0.273 | 1.091 ± 0.039 | 4.303 ± 0.187 |
| Uncertain or controversial classifications | |||||
| (J004220.31+405123.2) | [99] | … | … | 0.880 ± 0.062 | 4.495 ± 0.298 |
| (J004221.78+410013.4) | [99] | … | … | 0.927 ± 0.072 | 5.253 ± 0.107 |
| (J004229.87+410551.8) e | [99,139] | … | … | 0.870 ± 0.045 | 4.484 ± 0.082 |
| (J004411.36+413257.2) | [139] | 0.187 ± 0.123 | 0.914 ± 0.165 | … | … |
| (J004442.28+415823.1) | [99,139] | … | … | 0.781 ± 0.076 | 4.994 ± 0.406 |
| (J004444.52+412804.0) c,d | [137] | 0.576 ± 0.119 | 0.858 ± 0.114 | 0.883 ± 0.039 | 5.247 ± 0.046 |
| (J004621.08+421308.2) d | [139] | 0.374 ± 0.171 | 1.283 ± 0.128 | 1.091 ± 0.039 | 4.303 ± 0.188 |
| Erroneous classifications | |||||
| (J004043.10+410846.0) | [99,139] | 1.616 | 0.523 ± 0.162 | 0.974 ± 0.045 | 4.030 ± 0.250 |
| (J004057.03+405238.6) | [99] | … | … | … | … |
| LGGS | Ref. | J–H | H–K | W1–W2 | W2–W4 |
|---|---|---|---|---|---|
| Confirmed B[e]SGs | |||||
| J013333.22+303343.4 a | [97,99,138] | 1.144 ± 0.234 | 1.128 ± 0.154 | 0.900 ± 0.063 | 5.269 ± 0.098 |
| J013350.12+304126.6 | [97,99] | 0.653 ± 0.089 | 0.683 ± 0.091 | 0.764 ± 0.041 | 4.132 ± 0.186 |
| Uncertain or controversial classifications | |||||
| (J013324.62+302328.4) | [97,99] | … | … | 1.050 ± 0.047 | 4.235 ± 0.414 |
| (J013342.78+303256.3) | [99] | … | … | … | … |
| (J013349.28+305250.2) | [99] | … | … | 0.746 ± 0.054 | 5.394 ± 0.040 |
| (J013426.11+303424.7) | [97,99] | … | … | 1.208 ± 0.066 | 4.845 ± 0.278 |
| (J013459.47+303701.9) | [97,99] | … | … | 0.898 ± 0.053 | 4.996 ± 0.038 |
| (J013500.30+304150.9) | [97,99] | … | … | 0.939 ± 0.040 | 4.142 ± 0.029 |
| Erroneous classifications | |||||
| (J013242.26+302114.1) | [97,99] | 0.861 ± 0.059 | 0.376 ± 0.064 | 0.050 ± 0.040 | 4.543 ± 0.031 |
| (J013406.63+304147.8) b | [97,138,141] | 0.217 ± 0.115 | 0.249 ± 0.149 | … | … |
| Star ID | RA(J2000) | Dec(J2000) | V | Ref. |
|---|---|---|---|---|
| (10584-8-4) | 9:54:50.03 | +69:06:55.47 | … | [156] |
| (10584-4-1) | 9:54:54.05 | +69:10:23.00 | 19.68 | [156] |
| (10584-9-1) | 9:55:18.97 | +69:08:27.54 | 19.10 | [156] |
| Object | Ref. | Ref. | (J–H) | (H–K) | (J–H) | (H–K) | |
|---|---|---|---|---|---|---|---|
| Confirmed B[e]SGs | |||||||
| MWC 137 a | [59,166] | 1.22 | [166] | 0.922 ± 0.040 | 1.217 ± 0.035 | 0.572 ± 0.040 | 0.930 ± 0.035 |
| MWC 349 a | [62,167] | ∼3.2 | [168] | 1.472 ± 0.038 | 1.603 ± 0.369 | 0.554 ± 0.038 | 0.851 ± 0.369 |
| GG Car b | [41,42,169] | 0.51 | [169] | 0.818 ± 0.049 | 0.964 ± 0.049 | 0.672 ± 0.049 | 0.844 ± 0.049 |
| Hen 3-298 | [41,63] | 1.7 | [63] | 1.009 ± 0.065 | 1.139 ± 0.060 | 0.522 ± 0.065 | 0.739 ± 0.060 |
| CPD-52 9243 | [50] | 1.7 | [35] | 0.919 ± 0.029 | 0.948 ± 0.026 | 0.432 ± 0.029 | 0.548 ± 0.026 |
| HD 327083 b | [170] | 1.8 | [170] | 1.000 ± 0.042 | 1.309 ± 0.188 | 0.484 ± 0.042 | 0.886 ± 0.188 |
| MWC 300 a,b | [171,172] | 1.2 | [172] | 1.150 ± 0.056 | 1.951 ± 0.055 | 0.806 ± 0.056 | 1.669 ± 0.055 |
| AS 381 b | [65] | 2.3 | [65] | 1.285 ± 0.029 | 1.117 ± 0.028 | 0.625 ± 0.029 | 0.576 ± 0.028 |
| CPD-57 2874 | [47] | 1.75 | [47] | 0.803 ± 0.062 | 0.678 ± 0.304 | 0.301 ± 0.062 | 0.267 ± 0.304 |
| Uncertain or controversial classifications | |||||||
| (Hen 3-938) | [54] | 1.64 | [54] | 1.593 ± 0.035 | 1.487 ± 0.034 | 1.124 ± 0.035 | 1.101 ± 0.034 |
| (MWC 342) a,b | [173] | 1.5 | [173] | 1.179 ± 0.027 | 1.121 ± 0.025 | 0.749 ± 0.027 | 0.768 ± 0.025 |
| (Hen 3-303) | [63] | 1.7 | [63] | 1.366 ± 0.063 | 1.443 ± 0.063 | 0.879 ± 0.063 | 1.042 ± 0.063 |
| (CD-42 11721) a | [67] | 1.4–1.6 | [50,67] | 1.317 ± 0.053 | 1.398 ± 0.050 | 0.901 ± 0.053 | 1.057 ± 0.050 |
| (HD 87643) a,b | [35,174] | 1.0 | [35] | 1.461 ± 0.271 | 1.300 ± 0.338 | 1.174 ± 0.271 | 1.065 ± 0.338 |
| (HD 62623) b | [69] | 0.17 | [175] | 0.395 ± 0.380 | 0.693 ± 0.368 | 0.346 ± 0.380 | 0.653 ± 0.368 |
© 2019 by the author. Licensee MDPI, Basel, Switzerland. This article is an open access article distributed under the terms and conditions of the Creative Commons Attribution (CC BY) license (http://creativecommons.org/licenses/by/4.0/).
Share and Cite
Kraus, M. A Census of B[e] Supergiants. Galaxies 2019, 7, 83. https://doi.org/10.3390/galaxies7040083
Kraus M. A Census of B[e] Supergiants. Galaxies. 2019; 7(4):83. https://doi.org/10.3390/galaxies7040083
Chicago/Turabian StyleKraus, Michaela. 2019. "A Census of B[e] Supergiants" Galaxies 7, no. 4: 83. https://doi.org/10.3390/galaxies7040083
APA StyleKraus, M. (2019). A Census of B[e] Supergiants. Galaxies, 7(4), 83. https://doi.org/10.3390/galaxies7040083

