The Response of the Inner Dark Matter Halo to Stellar Bars
Abstract
1. Introduction
2. Simulations
3. Analysis and Results
3.1. Bar Strength
3.2. Axis Ratios
3.3. Inner Halo Density
3.4. Experiments with Nonresponsive Discs
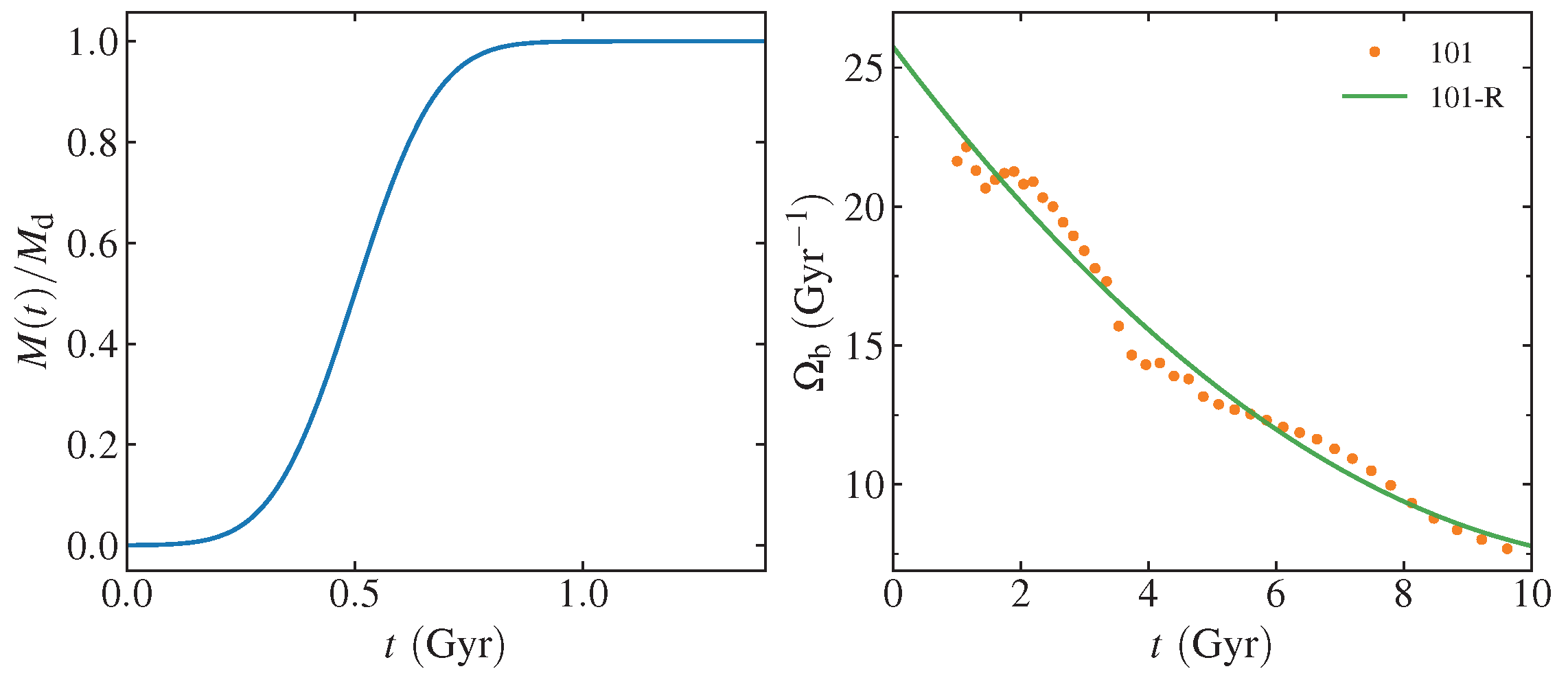
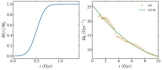
3.4.1. Frozen Disc
3.4.2. Analytic Potentials
3.4.3. Rigid Disc
4. Discussion and Conclusions
Author Contributions
Funding
Data Availability Statement
Acknowledgments
Conflicts of Interest
References
- Eskridge, P.B.; Frogel, J.A.; Pogge, R.W.; Quillen, A.C.; Davies, R.L.; DePoy, D.L.; Houdashelt, M.L.; Kuchinski, L.E.; Ramírez, S.V.; Sellgren, K.; et al. The Frequency of Barred Spiral Galaxies in the Near-Infrared. Astron. J. 2000, 119, 536–544. [Google Scholar] [CrossRef]
- Sheth, K.; Elmegreen, D.M.; Elmegreen, B.G.; Capak, P.; Abraham, R.G.; Athanassoula, E.; Ellis, R.S.; Mobasher, B.; Salvato, M.; Schinnerer, E.; et al. Evolution of the Bar Fraction in COSMOS: Quantifying the Assembly of the Hubble Sequence. Astrophys. J. 2008, 675, 1141–1155. [Google Scholar] [CrossRef]
- Nair, P.B.; Abraham, R.G. On the Fraction of Barred Spiral Galaxies. Astrophys. J. Lett. 2010, 714, L260–L264. [Google Scholar] [CrossRef]
- García-Barreto, J.A. Fraction of Strong Barred Galaxies (SB) in the Nearby Universe, 0 ≤ z ≤ 0.066 as a function of redshift. In Proceedings of the Revista Mexicana de Astronomia y Astrofisica Conference Series, Revista Mexicana de Astronomia y Astrofisica Conference Series, Morelia, Mexico, 2 March 2010; Instituto de Astronomia de la UNAM: Coyoacan, Mexico, 2011; Volume 40, p. 120. [Google Scholar] [CrossRef]
- Kraljic, K.; Bournaud, F.; Martig, M. The Two-phase Formation History of Spiral Galaxies Traced by the Cosmic Evolution of the Bar Fraction. Astrophys. J. 2012, 757, 60. [Google Scholar] [CrossRef]
- Lee, Y.H.; Ann, H.B.; Park, M.G. Bar Fraction in Early- and Late-type Spirals. Astrophys. J. 2019, 872, 97. [Google Scholar] [CrossRef]
- Kormendy, J. A morphological survey of bar, lens, and ring components in galaxies: Secular evolution in galaxy structure. Astrophys. J. 1979, 227, 714–728. [Google Scholar] [CrossRef]
- Buta, R.J.; Knapen, J.H.; Elmegreen, B.G.; Salo, H.; Laurikainen, E.; Elmegreen, D.M.; Puerari, I.; Block, D.L. Do Bars Drive Spiral Density Waves? Astron. J. 2009, 137, 4487–4516. [Google Scholar] [CrossRef]
- Wang, J.; Kauffmann, G.; Overzier, R.; Tacconi, L.J.; Kong, X.; Saintonge, A.; Catinella, B.; Schiminovich, D.; Moran, S.M.; Johnson, B. Quantifying the role of bars in the build-up of central mass concentrations in disc galaxies. Mon. Not. R. Astron. Soc. 2012, 423, 3486–3501. [Google Scholar] [CrossRef]
- Ciambur, B.C.; Graham, A.W.; Bland-Hawthorn, J. Quantifying the (X/peanut)-shaped structure of the Milky Way—new constraints on the bar geometry. Mon. Not. R. Astron. Soc. 2017, 471, 3988–4004. [Google Scholar] [CrossRef]
- Méndez-Abreu, J.; Costantin, L.; Aguerri, J.A.L.; de Lorenzo-Cáceres, A.; Corsini, E.M. The intrinsic three-dimensional shape of galactic bars. Mon. Not. R. Astron. Soc. 2018, 479, 4172–4186. [Google Scholar] [CrossRef]
- Nitschai, M.S.; Cappellari, M.; Neumayer, N. First Gaia dynamical model of the Milky Way disc with six phase space coordinates: A test for galaxy dynamics. Mon. Not. R. Astron. Soc. 2020, 494, 6001–6011. [Google Scholar] [CrossRef]
- Gadotti, D.A. Secular evolution and structural properties of stellar bars in galaxies. Mon. Not. R. Astron. Soc. 2011, 415, 3308–3318. [Google Scholar] [CrossRef]
- Cuomo, V.; Aguerri, J.A.L.; Corsini, E.M.; Debattista, V.P. Relations among structural parameters in barred galaxies with a direct measurement of bar pattern speed. Astron. Astrophys. 2020, 641, A111. [Google Scholar] [CrossRef]
- Ellison, S.L.; Nair, P.; Patton, D.R.; Scudder, J.M.; Mendel, J.T.; Simard, L. The impact of gas inflows on star formation rates and metallicities in barred galaxies. Mon. Not. R. Astron. Soc. 2011, 416, 2182–2192. [Google Scholar] [CrossRef]
- Masters, K.L.; Nichol, R.C.; Haynes, M.P.; Keel, W.C.; Lintott, C.; Simmons, B.; Skibba, R.; Bamford, S.; Giovanelli, R.; Schawinski, K. Galaxy Zoo and ALFALFA: Atomic gas and the regulation of star formation in barred disc galaxies. Mon. Not. R. Astron. Soc. 2012, 424, 2180–2192. [Google Scholar] [CrossRef]
- Cheung, E.; Athanassoula, E.; Masters, K.L.; Nichol, R.C.; Bosma, A.; Bell, E.F.; Faber, S.M.; Koo, D.C.; Lintott, C.; Melvin, T.; et al. Galaxy Zoo: Observing Secular Evolution through Bars. Astrophys. J. 2013, 779, 162. [Google Scholar] [CrossRef]
- Williams, M.J.; Bureau, M.; Kuntschner, H. Secular evolution in action: Central values and radial trends in the stellar populations of boxy bulges. Mon. Not. R. Astron. Soc. 2012, 427, L99–L103. [Google Scholar] [CrossRef]
- Chown, R.; Li, C.; Athanassoula, E.; Li, N.; Wilson, C.D.; Lin, L.; Mo, H.; Parker, L.C.; Xiao, T. Linking bar- and interaction-driven molecular gas concentration with centrally enhanced star formation in EDGE-CALIFA galaxies. Mon. Not. R. Astron. Soc. 2019, 484, 5192–5211. [Google Scholar] [CrossRef]
- Laurikainen, E.; Salo, H.; Buta, R. Comparison of Bar Strengths and Fractions of Bars in Active and Nonactive Galaxies. Astrophys. J. 2004, 607, 103–124. [Google Scholar] [CrossRef]
- Athanassoula, E. Evolution of Bars in Isolated and in Interacting Disk Galaxies. In Astronomical Society of the Pacific Conference Series, Proceedings of the IAU Colloq. 157: Barred Galaxies, Tuscaloosa, AL, USA, 1995; Buta, R., Crocker, D.A., Elmegreen, B.G., Eds.; Astronomical Society of the Pacific: San Francisco, CA, USA, 1996; Volume 91, p. 309. [Google Scholar]
- Debattista, V.P.; Sellwood, J.A. Dynamical Friction in Barred Galaxies. In Astronomical Society of the Pacific Conference Series, Proceedings of the IAU Colloq. 157: Barred Galaxies, Tuscaloosa, AL, USA, 1995; Buta, R., Crocker, D.A., Elmegreen, B.G., Eds.; Astronomical Society of the Pacific: San Francisco, CA, USA, 1996; Volume 91, p. 357. [Google Scholar]
- Debattista, V.P.; Sellwood, J.A. Dynamical Friction and the Distribution of Dark Matter in Barred Galaxies. Astrophys. J. Lett. 1998, 493, L5–L8. [Google Scholar] [CrossRef]
- Berentzen, I.; Heller, C.H.; Shlosman, I.; Fricke, K.J. Gas-driven evolution of stellar orbits in barred galaxies. Mon. Not. R. Astron. Soc. 1998, 300, 49–63. [Google Scholar] [CrossRef]
- Debattista, V.P.; Sellwood, J.A. Constraints from Dynamical Friction on the Dark Matter Content of Barred Galaxies. Astrophys. J. 2000, 543, 704–721. [Google Scholar] [CrossRef]
- Athanassoula, E.; Misiriotis, A. Morphology, photometry and kinematics of N-body bars—I. Three models with different halo central concentrations. Mon. Not. R. Astron. Soc. 2002, 330, 35–52. [Google Scholar] [CrossRef]
- Athanassoula, E. What determines the strength and the slowdown rate of bars? Mon. Not. R. Astron. Soc. 2003, 341, 1179–1198. [Google Scholar] [CrossRef]
- Dubinski, J.; Chakrabarty, D. Warps and Bars from the External Tidal Torques of Tumbling Dark Halos. Astrophys. J. 2009, 703, 2068–2081. [Google Scholar] [CrossRef]
- Villa-Vargas, J.; Shlosman, I.; Heller, C. Dark Matter Halos and Evolution of Bars in Disk Galaxies: Varying Gas Fraction and Gas Spatial Resolution. Astrophys. J. 2010, 719, 1470–1480. [Google Scholar] [CrossRef]
- Fragkoudi, F.; Athanassoula, E.; Bosma, A.; Iannuzzi, F. The effects of Boxy/Peanut bulges on galaxy models. Mon. Not. R. Astron. Soc. 2015, 450, 229–245. [Google Scholar] [CrossRef]
- Debattista, V.P.; Ness, M.; Gonzalez, O.A.; Freeman, K.; Zoccali, M.; Minniti, D. Separation of stellar populations by an evolving bar: Implications for the bulge of the Milky Way. Mon. Not. R. Astron. Soc. 2017, 469, 1587–1611. [Google Scholar] [CrossRef]
- Marasco, A.; Oman, K.A.; Navarro, J.F.; Frenk, C.S.; Oosterloo, T. Bars in dark-matter-dominated dwarf galaxy discs. Mon. Not. R. Astron. Soc. 2018, 476, 2168–2176. [Google Scholar] [CrossRef]
- Athanassoula, E.; Machado, R.E.G.; Rodionov, S.A. Bar formation and evolution in disc galaxies with gas and a triaxial halo: Morphology, bar strength and halo properties. Mon. Not. R. Astron. Soc. 2013, 429, 1949–1969. [Google Scholar] [CrossRef]
- Łokas, E.L.; Athanassoula, E.; Debattista, V.P.; Valluri, M.; Pino, A.d.; Semczuk, M.; Gajda, G.; Kowalczyk, K. Adventures of a tidally induced bar. Mon. Not. R. Astron. Soc. 2014, 445, 1339–1350. [Google Scholar] [CrossRef]
- Lang, M.; Holley-Bockelmann, K.; Sinha, M. Bar Formation from Galaxy Flybys. Astrophys. J. Lett. 2014, 790, L33. [Google Scholar] [CrossRef]
- Łokas, E.L.; Ebrová, I.; del Pino, A.; Sybilska, A.; Athanassoula, E.; Semczuk, M.; Gajda, G.; Fouquet, S. Tidally Induced Bars of Galaxies in Clusters. Astrophys. J. 2016, 826, 227. [Google Scholar] [CrossRef]
- Łokas, E.L. Formation of Tidally Induced Bars in Galactic Flybys: Prograde versus Retrograde Encounters. Astrophys. J. 2018, 857, 6. [Google Scholar] [CrossRef]
- Gajda, G.; Łokas, E.L.; Athanassoula, E. Tidally Induced Bars in Gas-rich Dwarf Galaxies Orbiting the Milky Way. Astrophys. J. 2018, 868, 100. [Google Scholar] [CrossRef]
- Scannapieco, C.; White, S.D.M.; Springel, V.; Tissera, P.B. The formation and survival of discs in a ΛCDM universe. Mon. Not. R. Astron. Soc. 2009, 396, 696–708. [Google Scholar] [CrossRef]
- Scannapieco, C.; Athanassoula, E. Bars in hydrodynamical cosmological simulations. Mon. Not. R. Astron. Soc. 2012, 425, L10–L14. [Google Scholar] [CrossRef]
- Algorry, D.G.; Navarro, J.F.; Abadi, M.G.; Sales, L.V.; Bower, R.G.; Crain, R.A.; Dalla Vecchia, C.; Frenk, C.S.; Schaller, M.; Schaye, J.; et al. Barred galaxies in the EAGLE cosmological hydrodynamical simulation. Mon. Not. R. Astron. Soc. 2017, 469, 1054–1064. [Google Scholar] [CrossRef]
- Schaye, J.; Crain, R.A.; Bower, R.G.; Furlong, M.; Schaller, M.; Theuns, T.; Dalla Vecchia, C.; Frenk, C.S.; McCarthy, I.G.; Helly, J.C.; et al. The EAGLE project: Simulating the evolution and assembly of galaxies and their environments. Mon. Not. R. Astron. Soc. 2015, 446, 521–554. [Google Scholar] [CrossRef]
- Rosas-Guevara, Y.; Bonoli, S.; Dotti, M.; Zana, T.; Nelson, D.; Pillepich, A.; Ho, L.C.; Izquierdo-Villalba, D.; Hernquist, L.; Pakmor, R. The buildup of strongly barred galaxies in the TNG100 simulation. Mon. Not. R. Astron. Soc. 2020, 491, 2547–2564. [Google Scholar] [CrossRef]
- Genel, S.; Vogelsberger, M.; Springel, V.; Sijacki, D.; Nelson, D.; Snyder, G.; Rodriguez-Gomez, V.; Torrey, P.; Hernquist, L. Introducing the Illustris project: The evolution of galaxy populations across cosmic time. Mon. Not. R. Astron. Soc. 2014, 445, 175–200. [Google Scholar] [CrossRef]
- Frenk, C.S.; White, S.D.M.; Davis, M.; Efstathiou, G. The Formation of Dark Halos in a Universe Dominated by Cold Dark Matter. Astrophys. J. 1988, 327, 507. [Google Scholar] [CrossRef]
- Dubinski, J.; Carlberg, R.G. The Structure of Cold Dark Matter Halos. Astrophys. J. 1991, 378, 496. [Google Scholar] [CrossRef]
- Warren, M.S.; Quinn, P.J.; Salmon, J.K.; Zurek, W.H. Dark Halos Formed via Dissipationless Collapse. I. Shapes and Alignment of Angular Momentum. Astrophys. J. 1992, 399, 405. [Google Scholar] [CrossRef]
- Cole, S.; Lacey, C. The structure of dark matter haloes in hierarchical clustering models. Mon. Not. R. Astron. Soc. 1996, 281, 716. [Google Scholar] [CrossRef]
- Jing, Y.P. Intrinsic correlation of halo ellipticity and its implications for large-scale weak lensing surveys. Mon. Not. R. Astron. Soc. 2002, 335, L89–L93. [Google Scholar] [CrossRef]
- Bailin, J.; Steinmetz, M. Internal and External Alignment of the Shapes and Angular Momenta of ΛCDM Halos. Astrophys. J. 2005, 627, 647–665. [Google Scholar] [CrossRef]
- Allgood, B.; Flores, R.A.; Primack, J.R.; Kravtsov, A.V.; Wechsler, R.H.; Faltenbacher, A.; Bullock, J.S. The shape of dark matter haloes: Dependence on mass, redshift, radius and formation. Mon. Not. R. Astron. Soc. 2006, 367, 1781–1796. [Google Scholar] [CrossRef]
- Novak, G.S.; Cox, T.J.; Primack, J.R.; Jonsson, P.; Dekel, A. Shapes of Stellar Systems and Dark Halos from Simulations of Galaxy Major Mergers. Astrophys. J. Lett. 2006, 646, L9–L12. [Google Scholar] [CrossRef]
- Bett, P.; Eke, V.; Frenk, C.S.; Jenkins, A.; Helly, J.; Navarro, J. The spin and shape of dark matter haloes in the Millennium simulation of a Λ cold dark matter universe. Mon. Not. R. Astron. Soc. 2007, 376, 215–232. [Google Scholar] [CrossRef]
- Velliscig, M.; Cacciato, M.; Schaye, J.; Crain, R.A.; Bower, R.G.; van Daalen, M.P.; Dalla Vecchia, C.; Frenk, C.S.; Furlong, M.; McCarthy, I.G.; et al. The alignment and shape of dark matter, stellar, and hot gas distributions in the EAGLE and cosmo-OWLS simulations. Mon. Not. R. Astron. Soc. 2015, 453, 721–738. [Google Scholar] [CrossRef]
- Chua, K.T.E.; Pillepich, A.; Vogelsberger, M.; Hernquist, L. Shape of dark matter haloes in the Illustris simulation: Effects of baryons. Mon. Not. R. Astron. Soc. 2019, 484, 476–493. [Google Scholar] [CrossRef]
- Berentzen, I.; Shlosman, I. Growing Live Disks within Cosmologically Assembling Asymmetric Halos: Washing Out the Halo Prolateness. Astrophys. J. 2006, 648, 807–819. [Google Scholar] [CrossRef]
- Abadi, M.G.; Navarro, J.F.; Fardal, M.; Babul, A.; Steinmetz, M. Galaxy-induced transformation of dark matter haloes. Mon. Not. R. Astron. Soc. 2010, 407, 435–446. [Google Scholar] [CrossRef]
- Tissera, P.B.; White, S.D.M.; Pedrosa, S.; Scannapieco, C. Dark matter response to galaxy formation. Mon. Not. R. Astron. Soc. 2010, 406, 922–935. [Google Scholar] [CrossRef]
- Machado, R.E.G.; Athanassoula, E. Loss of halo triaxiality due to bar formation. Mon. Not. R. Astron. Soc. 2010, 406, 2386–2404. [Google Scholar] [CrossRef]
- Artale, M.C.; Pedrosa, S.E.; Tissera, P.B.; Cataldi, P.; Di Cintio, A. Dark matter response to galaxy assembly history. Astron. Astrophys. 2019, 622, A197. [Google Scholar] [CrossRef]
- Cataldi, P.; Pedrosa, S.E.; Tissera, P.B.; Artale, M.C. Baryons shaping dark matter haloes. Mon. Not. R. Astron. Soc. 2021, 501, 5679–5691. [Google Scholar] [CrossRef]
- Prada, J.; Forero-Romero, J.E.; Grand, R.J.J.; Pakmor, R.; Springel, V. Dark matter halo shapes in the Auriga simulations. Mon. Not. R. Astron. Soc. 2019, 2477. [Google Scholar] [CrossRef]
- Grand, R.J.J.; Gómez, F.A.; Marinacci, F.; Pakmor, R.; Springel, V.; Campbell, D.J.R.; Frenk, C.S.; Jenkins, A.; White, S.D.M. The Auriga Project: The properties and formation mechanisms of disc galaxies across cosmic time. Mon. Not. R. Astron. Soc. 2017, 467, 179–207. [Google Scholar] [CrossRef]
- Tremaine, S.; Weinberg, M.D. Dynamical friction in spherical systems. Mon. Not. R. Astron. Soc. 1984, 209, 729–757. [Google Scholar] [CrossRef]
- Weinberg, M.D. Evolution of barred galaxies by dynamical friction. Mon. Not. R. Astron. Soc. 1985, 213, 451–471. [Google Scholar] [CrossRef]
- Hernquist, L.; Weinberg, M.D. Bar-Spheroid Interaction in Galaxies. Astrophys. J. 1992, 400, 80. [Google Scholar] [CrossRef]
- O’Neill, J.K.; Dubinski, J. Detailed comparison of the structures and kinematics of simulated and observed barred galaxies. Mon. Not. R. Astron. Soc. 2003, 346, 251–264. [Google Scholar] [CrossRef]
- Athanassoula, E. Dynamical Evolution of Barred Galaxies. Celest. Mech. Dyn. Astron. 2005, 91, 9–31. [Google Scholar] [CrossRef]
- Colín, P.; Valenzuela, O.; Klypin, A. Bars and Cold Dark Matter Halos. Astrophys. J. 2006, 644, 687–700. [Google Scholar] [CrossRef]
- Athanassoula, E. A bar in the inner halo of barred galaxies - I. Structure and kinematics of a representative model. Mon. Not. R. Astron. Soc. 2007, 377, 1569–1578. [Google Scholar] [CrossRef]
- Petersen, M.S.; Weinberg, M.D.; Katz, N. Dark matter trapping by stellar bars: The shadow bar. Mon. Not. R. Astron. Soc. 2016, 463, 1952–1967. [Google Scholar] [CrossRef]
- Holley-Bockelmann, K.; Weinberg, M.; Katz, N. Bar-induced evolution of dark matter cusps. Mon. Not. R. Astron. Soc. 2005, 363, 991–1007. [Google Scholar] [CrossRef]
- Debattista, V.P.; Moore, B.; Quinn, T.; Kazantzidis, S.; Maas, R.; Mayer, L.; Read, J.; Stadel, J. The Causes of Halo Shape Changes Induced by Cooling Baryons: Disks versus Substructures. Astrophys. J. 2008, 681, 1076–1088. [Google Scholar] [CrossRef]
- Athanassoula, E.; Ling, F.S.; Nezri, E. Halo geometry and dark matter annihilation signal. Phys. Rev. D 2005, 72, 083503. [Google Scholar] [CrossRef]
- Ling, F.S.; Nezri, E.; Athanassoula, E.; Teyssier, R. Dark matter direct detection signals inferred from a cosmological N-body simulation with baryons. J. Cosmol. Astropart. Phys. 2010, 2010, 012. [Google Scholar] [CrossRef]
- Petersen, M.S.; Katz, N.; Weinberg, M.D. Dynamical response of dark matter to galaxy evolution affects direct-detection experiments. Phys. Rev. D 2016, 94, 123013. [Google Scholar] [CrossRef]
- Kavanagh, B.J.; O’Hare, C.A.J. Reconstructing the three-dimensional local dark matter velocity distribution. Phys. Rev. D 2016, 94, 123009. [Google Scholar] [CrossRef]
- Machado, R.E.G.; Manos, T. Chaotic motion and the evolution of morphological components in a time-dependent model of a barred galaxy within a dark matter halo. Mon. Not. R. Astron. Soc. 2016, 458, 3578–3591. [Google Scholar] [CrossRef]
- Iannuzzi, F.; Athanassoula, E. 2D kinematic signatures of boxy/peanut bulges. Mon. Not. R. Astron. Soc. 2015, 450, 2514–2538. [Google Scholar] [CrossRef]
- Springel, V. The cosmological simulation code GADGET-2. Mon. Not. R. Astron. Soc. 2005, 364, 1105–1134. [Google Scholar] [CrossRef]
- Boily, C.M.; Athanassoula, E. On the equilibrium morphology of systems drawn from spherical collapse experiments. Mon. Not. R. Astron. Soc. 2006, 369, 608–624. [Google Scholar] [CrossRef]
- Pillepich, A.; Kuhlen, M.; Guedes, J.; Madau, P. The Distribution of Dark Matter in the Milky Way’s Disk. Astrophys. J. 2014, 784, 161. [Google Scholar] [CrossRef]
- Bozorgnia, N.; Calore, F.; Schaller, M.; Lovell, M.; Bertone, G.; Frenk, C.S.; Crain, R.A.; Navarro, J.F.; Schaye, J.; Theuns, T. Simulated Milky Way analogues: Implications for dark matter direct searches. J. Cosmol. Astropart. Phys. 2016, 2016, 024. [Google Scholar] [CrossRef]
- Kelso, C.; Savage, C.; Valluri, M.; Freese, K.; Stinson, G.S.; Bailin, J. The impact of baryons on the direct detection of dark matter. J. Cosmol. Astropart. Phys. 2016, 2016, 071. [Google Scholar] [CrossRef]
- Sloane, J.D.; Buckley, M.R.; Brooks, A.M.; Governato, F. Assessing Astrophysical Uncertainties in Direct Detection with Galaxy Simulations. Astrophys. J. 2016, 831, 93. [Google Scholar] [CrossRef]
- Lovell, M.R.; Pillepich, A.; Genel, S.; Nelson, D.; Springel, V.; Pakmor, R.; Marinacci, F.; Weinberger, R.; Torrey, P.; Vogelsberger, M.; et al. The fraction of dark matter within galaxies from the IllustrisTNG simulations. Mon. Not. R. Astron. Soc. 2018, 481, 1950–1975. [Google Scholar] [CrossRef]
- Evans, N.W.; O’Hare, C.A.J.; McCabe, C. Refinement of the standard halo model for dark matter searches in light of the Gaia Sausage. Phys. Rev. D 2019, 99, 023012. [Google Scholar] [CrossRef]
- Ibarra, A.; Kavanagh, B.J.; Rappelt, A. Impact of substructure on local dark matter searches. J. Cosmol. Astropart. Phys. 2019, 2019, 013. [Google Scholar] [CrossRef]
- Buch, J.; Fan, J.; Leung, J.S.C. Implications of the Gaia sausage for dark matter nuclear interactions. Phys. Rev. D 2020, 101, 063026. [Google Scholar] [CrossRef]
- Wang, Y.; Athanassoula, E.; Mao, S. Orbital classification in an N-body bar. Mon. Not. R. Astron. Soc. 2016, 463, 3499–3512. [Google Scholar] [CrossRef]
- Manos, T.; Machado, R.E.G. Chaos and dynamical trends in barred galaxies: Bridging the gap between N-body simulations and time-dependent analytical models. Mon. Not. R. Astron. Soc. 2014, 438, 2201–2217. [Google Scholar] [CrossRef]
- Miyamoto, M.; Nagai, R. Three-dimensional models for the distribution of mass in galaxies. Publ. Astron. Soc. Jpn. 1975, 27, 533–543. [Google Scholar]
- Ferrers, N.M. On the Potentials, Ellipsoids, Ellipsoidal Shells, Elliptic Laminae and Elliptic Rings, of Variable Densities. Quart. J. Pure Appl. Math. 1877, 14, 1–22. [Google Scholar]
- Pfenniger, D. The 3D dynamics of barred galaxies. Astron. Astrophys. 1984, 134, 373–386. [Google Scholar]









| Initial Gas Fraction | Halo 1 | Halo 2 | Halo 3 |
|---|---|---|---|
| 0.00 | 101 | 102 | 103 |
| 0.20 | 106 | 109 | 110 |
| 0.50 | 111 | 114 | 115 |
| 0.75 | 116 | 117 | 118 |
| 1.00 | 119 | 120 | 121 |
| Model | (Initial) | (Final) | (Final) | ||
|---|---|---|---|---|---|
| 101 | 1,000,000 | 200,000 | 0 | 0 | 0 |
| 102 | 1,000,000 | 200,000 | 0 | 0 | 0 |
| 103 | 1,000,000 | 200,000 | 0 | 0 | 0 |
| 106 | 1,000,000 | 160,000 | 200,000 | 40,800 | 338,857 |
| 109 | 1,000,000 | 160,000 | 200,000 | 38,616 | 341,887 |
| 110 | 1,000,000 | 160,000 | 200,000 | 39,589 | 340,860 |
| 111 | 1,000,000 | 100,000 | 500,000 | 64,000 | 906,399 |
| 114 | 1,000,000 | 100,000 | 500,000 | 64,123 | 907,027 |
| 115 | 1,000,000 | 100,000 | 500,000 | 67,816 | 905,424 |
| 116 | 1,000,000 | 50,000 | 750,000 | 80,472 | 1,383,891 |
| 117 | 1,000,000 | 50,000 | 750,000 | 81,486 | 1,384,287 |
| 118 | 1,000,000 | 50,000 | 750,000 | 79,518 | 1,387,188 |
| 119 | 1,000,000 | 0 | 1,000,000 | 94,528 | 1,866,322 |
| 120 | 1,000,000 | 0 | 1,000,000 | 94,332 | 1,867,179 |
| 121 | 1,000,000 | 0 | 1,000,000 | 94,567 | 1,867,718 |
Disclaimer/Publisher’s Note: The statements, opinions and data contained in all publications are solely those of the individual author(s) and contributor(s) and not of MDPI and/or the editor(s). MDPI and/or the editor(s) disclaim responsibility for any injury to people or property resulting from any ideas, methods, instructions or products referred to in the content. |
© 2024 by the authors. Licensee MDPI, Basel, Switzerland. This article is an open access article distributed under the terms and conditions of the Creative Commons Attribution (CC BY) license (https://creativecommons.org/licenses/by/4.0/).
Share and Cite
Marostica, D.A.; Machado, R.E.G.; Athanassoula, E.; Manos, T. The Response of the Inner Dark Matter Halo to Stellar Bars. Galaxies 2024, 12, 27. https://doi.org/10.3390/galaxies12030027
Marostica DA, Machado REG, Athanassoula E, Manos T. The Response of the Inner Dark Matter Halo to Stellar Bars. Galaxies. 2024; 12(3):27. https://doi.org/10.3390/galaxies12030027
Chicago/Turabian StyleMarostica, Daniel A., Rubens E. G. Machado, E. Athanassoula, and T. Manos. 2024. "The Response of the Inner Dark Matter Halo to Stellar Bars" Galaxies 12, no. 3: 27. https://doi.org/10.3390/galaxies12030027
APA StyleMarostica, D. A., Machado, R. E. G., Athanassoula, E., & Manos, T. (2024). The Response of the Inner Dark Matter Halo to Stellar Bars. Galaxies, 12(3), 27. https://doi.org/10.3390/galaxies12030027

