On Variation Mechanisms in Recurrent Nova IM Normae
Abstract
1. Introduction
2. Reflection Effect Waveform Conceptually
3. Alternating Eclipse Type Interpretation (Resolution I)
Parameter Estimation for Resolution I
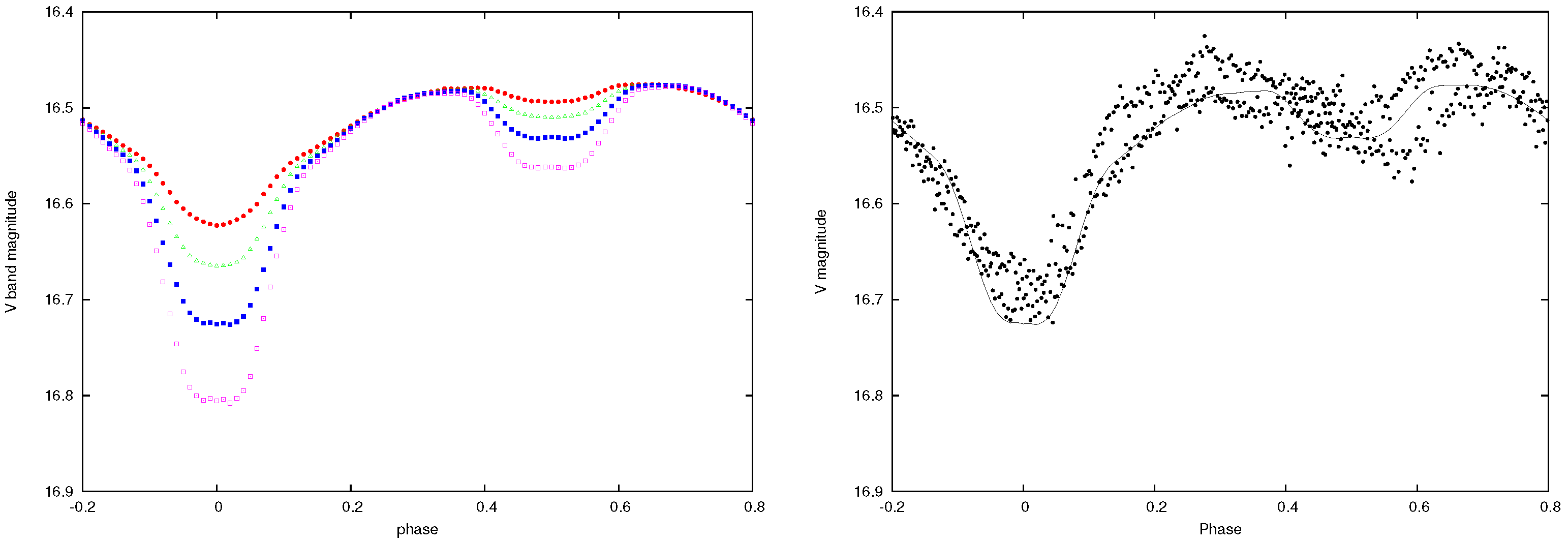
4. Case of Eclipses with Strong Tidal Variation in Disk and Star 2 (Resolution II)
5. Final Comments on the Proposed Resolutions
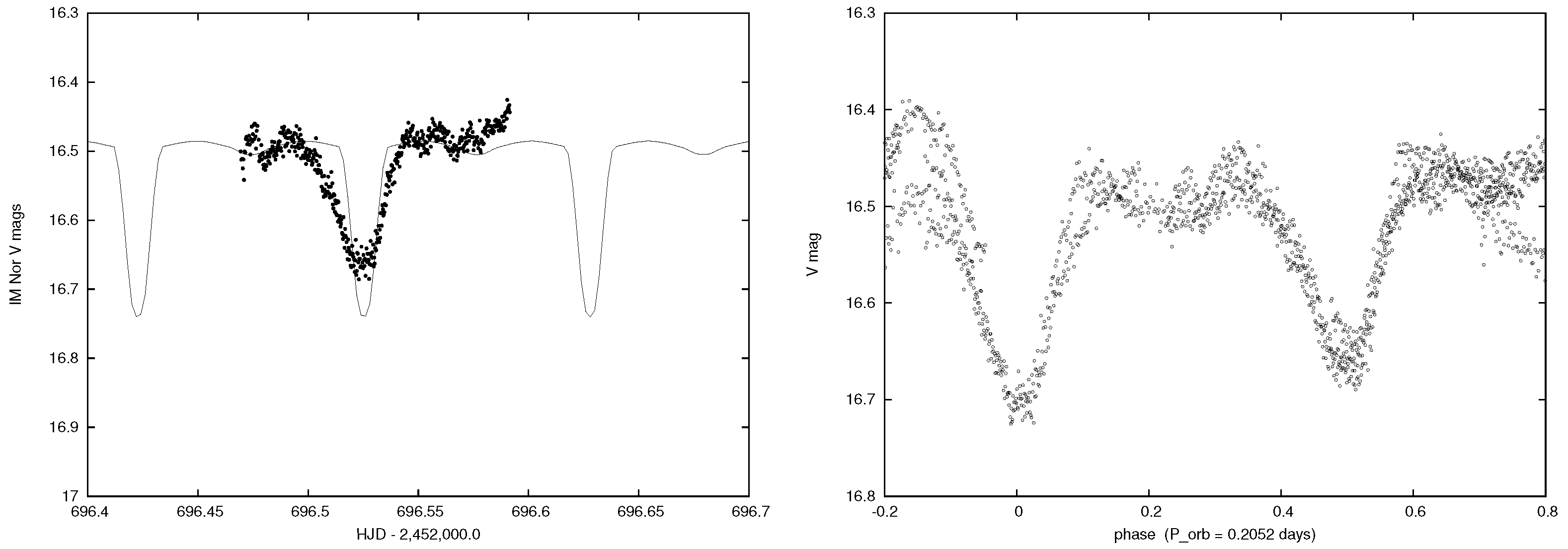
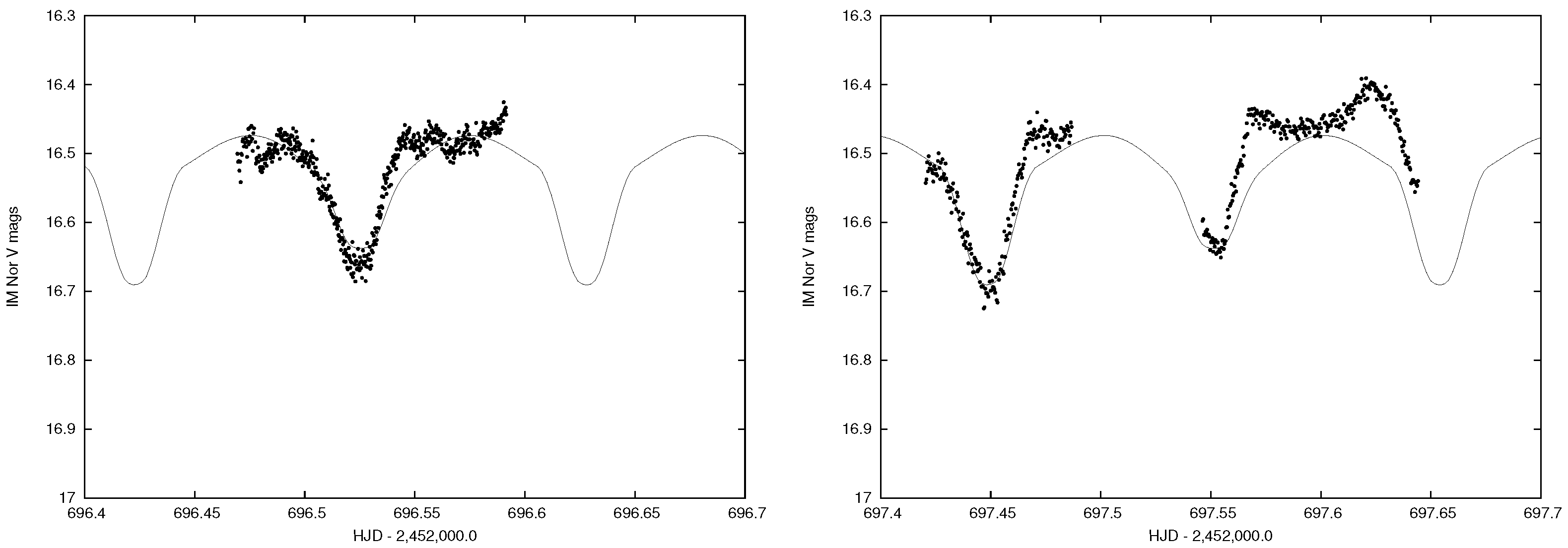
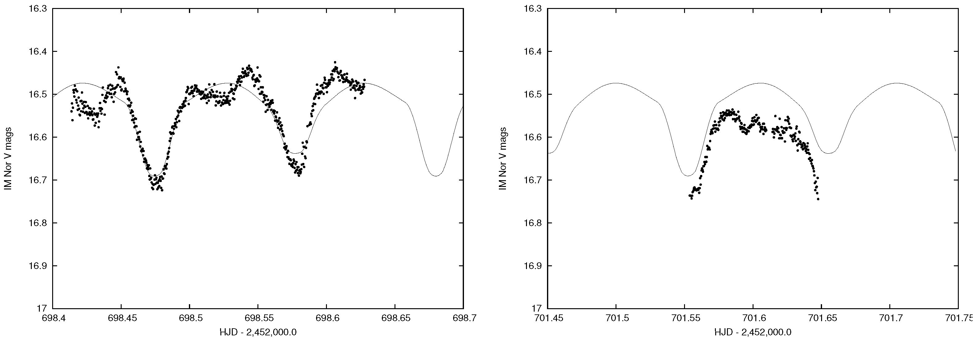
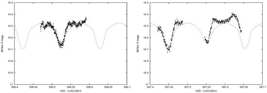
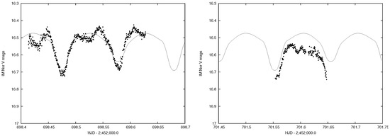
- Resolution I: The orbit period is doubled from to . The disk and star 2 temperatures are set nearly equal. Figure 1’s left panel illustrates the width mismatch if P= =, in agreement with WW’s comments. The right panel appears to show primary and secondary eclipses of slightly different depth and shape and doubled width when displayed for 3 nights to help in visual averaging.
- Resolution II: The period is . Widening of the computed eclipse is accomplished by having a disk with nearly the maximum equatorial dimensions ( vs. in the positive x-coordinate, where a is the orbital semi-major axis length). Apparent further widening is due to phase-dependent tidal variations of disk and star 2, with consequent difficulty in judging eclipse limits.
Funding
Data Availability Statement
Acknowledgments
Conflicts of Interest
| 1 | Acronym MLR means mass, luminosity, and radius. |
| 2 | See left panel of Figure 1 and caption. |
| 3 | Hereafter called star 2, with star 1 being the white dwarf in the center of the disk. |
| 4 | An example from the recurrent novae is U Scorpii, where a deep primary eclipse is accompanied by a shallow secondary eclipse of to that sometimes disappears Schaefer, et al. [8]. |
| 5 | ‘Better covered’ meaning that at least some part of the very bottom was observed. |
| 6 | Limiting lobe size follows from the combined influence of gravitation and rotation. |
| 7 | The third light for WW’s observations is (almost certainly) the fading nova shell, although some contribution from stars cannot be excluded. |
| 8 | Eclipse width is set by the sum of the component radii as fractions of component separation (Rdisk/a + R2/a), and by the orbital inclination. The central problem for IM Nor has been that eclipse width has seemed “impossibly wide”, so none of these three parameters can be small. Each must contribute substantially to eclipse width–neither Rdisk/a nor R2/a can “do it all by itself”. Otherwise explanation of the large eclipse width indeed becomes impossible. Note that the requirement is not ‘almost same size’ but ‘same order of size’. |
| 9 | See Section 2.4 in Wilson [2] for ideas on the main cause of the transients. |
| 10 | Reflection is noticeable at about 0.02 magnitude semi-amplitude in Honeycutt’s pre-eruption light curve shown in Wilson [2]. |
| 11 | Logically all local effective gravity vectors must point toward the disk’s interior to be part of the disk. |
References
- Schaefer, B.E. Comprehensive Photometric Histories of All Known Galactic Recurrent Novae. Astrophys. J. Suppl. 2010, 187, 275. [Google Scholar] [CrossRef]
- Wilson, R.E. Self-gravitating Semi-transparent Circumstellar Disks: An Analytic Model. Astrophys. J. 2018, 869, 19. [Google Scholar] [CrossRef]
- Woudt, P.A.; Warner, B. High-speed photometry of the recurrent nova IM Normae. Mon. Not. R. Astron. Soc. 2003, 343, 313–314. [Google Scholar] [CrossRef][Green Version]
- Budaj, J. The Reflection Effect In Interacting Binaries Or In Planet–Star Systems. Astron. J. 2011, 141, 59. [Google Scholar] [CrossRef]
- Milne, E.A. The Reflection Effect in Eclipsing Binaries. Mon. Not. R. Astron. Soc. 1926, 87, 43–55. [Google Scholar] [CrossRef]
- Sen, H.K. Reflection Effect in Eclipsing Binaries for a Point-Source of Light. Proc. Natl. Acad. Sci. USA 1948, 34, 311. [Google Scholar] [CrossRef] [PubMed]
- Wilson, R.E. Accuracy and efficiency in the binary star reflection effect. Astrophys. J. 1990, 356, 613–622. [Google Scholar] [CrossRef]
- Schaefer, B.E.; Pagnotta, A.; LaCluyze, A.P.; Reichart, D.E.; Ivarsen, K.M.; Haislip, J.B.; Nysewander, M.C.; Moore, J.P.; Oksanen, A.; Worters, H.L. Eclipses during the 2010 eruption of the recurrent nova U Scorpii. Astrophys. J. 2011, 742, 113. [Google Scholar] [CrossRef]
- Wilson, R.E.; Honeycutt, R.K. Outburst-related period changes of recurrent nova CI aquilae. Astrophys. J. 2014, 795, 8. [Google Scholar] [CrossRef]
- Kato, M.; Yamaoka, H.; Liller, W.; Monard, B. Recurrent nova IM Normae. Astron. Astrophys. 2002, 391, L7–L9. [Google Scholar] [CrossRef]
- Wilson, R.E.; Van Hamme, W. Unification of binary star ephemeris solutions. Astrophys. J. 2014, 780, 151. [Google Scholar] [CrossRef]
- Wilson, R.E.; University of Florida, Gainesville, FL, USA. Unpublished work. 2023.
- Wilson, R.E.; Devinney, E.J. Realization Of Accurate Close-Binary Light Curves: Application to Mr Cygni. Astrophys. J. 1971, 166, 605–619. [Google Scholar] [CrossRef]
- Wilson, R.E. Eccentric orbit generalization and simultaneous solution of binary star light and velocity curves. Astrophys. J. 1979, 234, 1054–1066. [Google Scholar] [CrossRef]
- Wilson, R.E. An analytic self-gravitating disk model: Inferences and logical structure. Contrib. Astron. Obs. Skalnate Pleso 2020, 50, 523–529. [Google Scholar] [CrossRef]
- Patterson, J.; Kemp, J.; Monard, B.; Myers, G.; De Miguel, E.; Hambsch, F.J.; Warhurst, P.; Rea, R.; Dvorak, S.; Menzies, K. IM Normae: The Death Spiral of a Cataclysmic Variable? Astrophys. J. 2022, 924, 27. [Google Scholar] [CrossRef]




| a () | (assumed) | |
| mass ratio of stars (from stepped trials) | ||
| disk/(white dwarf) mass ratio (from trials) | ||
| (days) | twice that from WW | |
| star 1 rotation parameter (from trials) | ||
| star 2 rotation parameter (synchronous) | ||
| (K) | star 1 temperature (white dwarf) | |
| 3687 | temperature of outermost disk | |
| star 1 mean radius (white dwarf) | ||
| star 2 mean radius | ||
| (g/cm) | outer disk density | |
| disk semi-thickness (by-product of solution) | ||
| 2,452,696.62790 | superior conjunction time (white dwarf or disk) | |
| i | orbital inclination | |
| outer disk coordinate, line of star centers | ||
| (K) | star 2 temperature | |
| star luminosity ratio (V band assumed) | ||
| relative V band third light (phase 0.25) |
Publisher’s Note: MDPI stays neutral with regard to jurisdictional claims in published maps and institutional affiliations. |
© 2022 by the author. Licensee MDPI, Basel, Switzerland. This article is an open access article distributed under the terms and conditions of the Creative Commons Attribution (CC BY) license (https://creativecommons.org/licenses/by/4.0/).
Share and Cite
Wilson, R.E. On Variation Mechanisms in Recurrent Nova IM Normae. Galaxies 2022, 10, 96. https://doi.org/10.3390/galaxies10050096
Wilson RE. On Variation Mechanisms in Recurrent Nova IM Normae. Galaxies. 2022; 10(5):96. https://doi.org/10.3390/galaxies10050096
Chicago/Turabian StyleWilson, R. E. 2022. "On Variation Mechanisms in Recurrent Nova IM Normae" Galaxies 10, no. 5: 96. https://doi.org/10.3390/galaxies10050096
APA StyleWilson, R. E. (2022). On Variation Mechanisms in Recurrent Nova IM Normae. Galaxies, 10(5), 96. https://doi.org/10.3390/galaxies10050096
