Properties of MAXI J1348-630 during Its Second Outburst in 2019
Abstract
1. Introduction
2. Data Reduction
2.1. Swift/XRT
2.2. NICER
2.3. NuSTAR
2.4. MAXI/GSC
2.5. AstroSat/LAXPC
3. Data Analysis
3.1. Temporal Analysis
3.2. Spectral Analysis
4. Results
4.1. Temporal Properties
4.1.1. Outburst Profiles
4.1.2. Hardness Ratio
4.1.3. Power Density Spectra
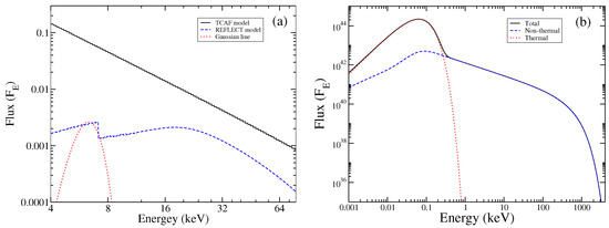
4.2. Spectral Properties
Viscous Time Scale
5. Discussion and Conclusions
Author Contributions
Funding
Data Availability Statement
Acknowledgments
Conflicts of Interest
Appendix A
| ID | /dof | R | /dof | |||||||
|---|---|---|---|---|---|---|---|---|---|---|
| (1) | (2) | (3) | (4) | (5) | (6) | (7) | (8) | (9) | (10) | (11) |
| X1 | 22/27 | 19/23 | ||||||||
| X2 | 199/197 | 197/193 | ||||||||
| NI1 | 764/709 | 776/705 | ||||||||
| NI2 | 924/839 | 1011/835 | ||||||||
| X3 | 721/622 | 724/618 | ||||||||
| X4 | 959/686 | 931/682 | ||||||||
| X5 | 707/627 | 723/623 | ||||||||
| NI3 | 788/779 | 811/775 | ||||||||
| NI4 | 1037/872 | 1046/868 | ||||||||
| NI5 | 979/841 | 964/837 | ||||||||
| X6 | 561/522 | 569/518 | ||||||||
| X7 | 57/48 | 54/44 | ||||||||
| X8 | 596/489 | 596/485 | ||||||||
| NI6 | 771/801 | 894/797 | ||||||||
| NI7 | 612/637 | 639/633 | ||||||||
| NI8 | 469/517 | 468/513 | ||||||||
| X9 | 55/50 | 56/46 | ||||||||
| X10 | 64/52 | 64/48 |
| ID | R | lineE | sigma | norm | /dof | ||||||||
|---|---|---|---|---|---|---|---|---|---|---|---|---|---|
| (1) | (2) | (3) | (4) | (5) | (6) | (7) | (8) | (9) | (10) | (11) | (12) | (13) | |
| Model 1: | NU1 | 2121/1496 | |||||||||||
| TBabs*(TCAF+ | NU2 | 2079/1497 | |||||||||||
| Gaussian) | NU3 | 1767/1435 | |||||||||||
| Model 2: | NU1 | 1607/1494 | |||||||||||
| TBabs*(reflect* | NU2 | 1647/1495 | |||||||||||
| TCAF+Gaussian) | NU3 | 1694/1433 |
| 1 | https://www.swift.ac.uk/analysis/xrt, accessed on 15 January 2022. |
| 2 | http://maxi.riken.jp/top/lc.html, accessed on 11 January 2022. |
| 3 | https://swift.gsfc.nasa.gov/results/transients/, accessed on 11 January 2022. |
References
- Frank, J.; King, A.; Raine, D. Accretion Power in Astrophysics, 3rd ed.; Cambridge University Press: Cambridge, UK, 2002. [Google Scholar]
- Chakrabarti, S.K.; Debnath, D.; Nagarkoti, S. Delayed outburst of H 1743-322 in 2003 and relation with its other outbursts. Adv. Space Res. 2019, 63, 3749–3759. [Google Scholar] [CrossRef]
- Bhowmick, R.; Debnath, D.; Chatterjee, K.; Nagarkoti, S.; Chakrabarti, S.K.; Sarkar, R.; Chatterjee, D.; Jana, A. Relation Between Quiescence and Outbursting Properties of GX 339-4. Astrophys. J. 2021, 910, 138. [Google Scholar] [CrossRef]
- Chatterjee, K.; Debnath, D.; Bhowmick, R.; Nath, S.K.; Chatterjee, D. Anomalous nature of outbursts of black hole candidate 4U 1630-472. Mon. Not. R. Astron. Soc. 2022, 510, 1128. [Google Scholar] [CrossRef]
- Cannizzo, J.K.; Ghosh, P.; Wheeler, J.C. Convective accretion disks and the onset of dwarf nova outbursts. Astrophys. J. 1982, 260, L83–L86. [Google Scholar] [CrossRef]
- Dubus, G.; Hameury, J.-M.; Lasota, J.-P. The disc instability model for X-ray transients: Evidence for truncation and irradiation. Astron. Astrophys. 2001, 373, 251–271. [Google Scholar] [CrossRef]
- Lasota, J.-P. The disc instability model of dwarf novae and low-mass X-ray binary transients. New Astron. Rev. 2001, 45, 449–508. [Google Scholar] [CrossRef]
- Janiuk, A.; Czerny, B. On different types of instabilities in black hole accretion discs: Implications for X-ray binaries and active galactic nuclei. Mon. Not. R. Astron. Soc. 2011, 414, 2186. [Google Scholar] [CrossRef]
- Bagińska, P.; Różańska, A.; Czerny, B.; Janiuk, A. Ionization Instability Driven Outbursts in SXTs. Astrophys. J. Lett. 2021, 912, 110B. [Google Scholar] [CrossRef]
- Remillard, R.A.; McClintock, J.E. X-ray Properties of Black-Hole Binaries. Annu. Rev. Astron. Astrophys. 2006, 44, 49–92. [Google Scholar] [CrossRef]
- McClintock, J.E.; Remillard, R.A. Compact Stellar X-ray Sources; Cambridge University Press: Cambridge, UK, 2009; pp. 157–214. [Google Scholar]
- Debnath, D.; Chakrabarti, S.K.; Nandi, A. Evolution of the temporal and the spectral properties in 2010 and 2011 outbursts of H 1743-322. Adv. Space Res. 2013, 52, 2143–2155. [Google Scholar] [CrossRef][Green Version]
- Belloni, T.; Homan, J.; Casella, P.; van der Klis, M.; Nespoli, E.; Lewin, W.H.G.; Miller, J.; Mèndez, M. The evolution of the timing properties of the black-hole transientGX 339-4 during its 2002/2003 outburst. Astron. Astrophys. 2005, 440, 207–222. [Google Scholar] [CrossRef]
- Belloni, T.M. (Ed.) States and Transitions in Black Hole Binaries. In The Jet Paradigm: From Microquasars to Quasars; Springer: Berlin, Germany, 2010; Volume 794, pp. 53–84. [Google Scholar]
- Jana, A.; Debnath, D.; Chakrabarti, S.K.; Mondal, S.; Molla, A.A. Accretion Flow Dynamics of MAXI J1836-194 During Its 2011 Outburst from TCAF Solution. Astrophys. J. Lett. 2016, 819, 107–117. [Google Scholar] [CrossRef]
- Chatterjee, K.; Debnath, D.; Chatterjee, D.; Jana, A.; Chakrabarti, S.K. Inference on accretion flow properties of XTE J1752-223 during its 2009–10 outburst. Mon. Not. R. Astron. Soc. 2020, 493, 2452–2462. [Google Scholar] [CrossRef]
- Debnath, D.; Jana, A.; Chakrabarti, S.K.; Chatterjee, D.; Mondal, S. Accretion Flow Properties of Swift J1753.5-0127 during Its 2005 Outburst. Astrophys. J. Lett. 2017, 850, 92. [Google Scholar] [CrossRef]
- Tetarenko, B.E.; Sivakoff, G.R.; Heinke, C.O.; Gladstone, J.C. WATCHDOG: A Comprehensive All-sky Database of Galactic Black Hole X-ray Binaries. Astrophys. J. Suppl. Ser. 2016, 222, 15–112. [Google Scholar] [CrossRef]
- Novikov, I.D.; Thorne, K.S. Black Holes; DeWitt, C., DeWitt, B., Eds.; Gordon and Breach: New York, NY, USA, 1973. [Google Scholar]
- Shakura, N.I.; Sunyaev, R.A. Black holes in binary systems. Observational appearance. Astron. Astrophys. 1973, 24, 337–355. [Google Scholar]
- Sunyaev, R.A.; Titarchuk, L.G. Comptonization of X-rays in plasma clouds. Typical radiation spectra. Astron. Astrophys. 1980, 86, 121–138. [Google Scholar]
- Sunyaev, R.A.; Titarchuk, L.G. Comptonization of low-frequency radiation in accretion disks Angular distribution and polarization of hard radiation. Astron. Astrophys. 1985, 143, 374–388. [Google Scholar] [CrossRef]
- Bondi, H. On spherically symmetrical accretion. Mon. Not. R. Astron. Soc. 1950, 112, 195. [Google Scholar] [CrossRef]
- Paczynski, B.; Wiita, P. Thick Accretion Disks and Supercritical Luminosities. Astron. Astrophys. 1980, 88, 23. [Google Scholar]
- Narayan, R.; Yi, I. Advection-dominated Accretion: A Self-similar Solution. Astrophys. J. Lett. 1994, 428, L13. [Google Scholar] [CrossRef]
- Chakrabarti, S.K.; Titarchuk, L.G. Spectral Properties of Accretion Disks around Galactic and Extragalactic Black Holes. Astrophys. J. Lett. 1995, 455, 623–639. [Google Scholar] [CrossRef]
- Chakrabarti, S.K. Spectral Properties of Accretion Disks around Black Holes. II. Sub-Keplerian Flows with and without Shocks. Astrophys. J. Lett. 1997, 484, 313–322. [Google Scholar] [CrossRef][Green Version]
- Chakrabarti, S.K. Study of accretion processes around black holes becomes ‘Science’: Tell tale observational signatures of two component advective flows. In The Fourteenth Marcel Grossmann Meeting on Recent Developments in Theoretical and Experimental General Relativity, Astrophysics, and Relativistic Field Theories: Proceedings of the MG14 Meeting on General Relativity, University of Rome “La Sapienza”, Rome, Italy, 12–18 July 2015; Ruffini, R., Jantzen, R., Bianchi, M., Eds.; World Scientific: Singapore, 2016. [Google Scholar]
- Chakrabarti, S.K. Theory of Transonic Astrophysical Flows; World Scientific: Singapore, 1990. [Google Scholar]
- Debnath, D.; Mondal, S.; Chakrabarti, S.K. Implementation of two-component advective flow solution in xspec. Mon. Not. R. Astron. Soc. 2014, 440, L121–L125. [Google Scholar] [CrossRef]
- Debnath, D.; Molla, A.A.; Chakrabarti, S.K.; Mondal, S. Accretion Flow Dynamics of MAXI J1659-152 from the Spectral Evolution Study of its 2010 Outburst using the TCAF Solution. Astrophys. J. Lett. 2015, 803, 59. [Google Scholar] [CrossRef]
- Debnath, D.; Mondal, S.; Chakrabarti, S.K. Characterization of GX 339-4 outburst of 2010-11: Analysis by XSPEC using two component advective flow model. Mon. Not. R. Astron. Soc. 2015, 447, 1984. [Google Scholar] [CrossRef][Green Version]
- Chatterjee, D.; Debnath, D.; Chakrabarti, S.K.; Mondal, S.; Jana, A. Accretion Flow Properties of MAXI J1543-564 during 2011 Outburst from the TCAF Solution. Astrophys. J. Lett. 2016, 827, 88. [Google Scholar] [CrossRef]
- Chatterjee, D.; Debnath, D.; Jana, A.; Chakrabarti, S.K. Properties of the black hole candidate XTE J1118+480 with the TCAF solution during its jet activity induced 2000 outburst. Astrophys. Space Sci. 2019, 364, 14. [Google Scholar] [CrossRef]
- Chatterjee, D.; Debnath, D.; Jana, A.; Shang, J.R.; Chakrabarti, S.K.; Chang, H.K.; Banerjee, A.; Bhattacharjee, A.; Chatterjee, K.; Bhowmick, R.; et al. AstroSat observation of non-resonant type-C QPOs in MAXI J1535-571. Astrophys. Space Sci. 2021, 366, 82. [Google Scholar] [CrossRef]
- Chatterjee, K.; Debnath, D.; Chatterjee, D.; Jana, A.; Nath, S.K.; Bhowmick, R.; Chakrabarti, S.K. Accretion flow properties of GRS 1716-249 during its 2016–17 ‘failed’ outburst. Astrophys. Space Sci. 2021, 366, 63. [Google Scholar] [CrossRef]
- Molla, A.A.; Debnath, D.; Chakrabarti, S.K.; Monda, S. Estimation of the mass of the black hole candidate MAXI J1659-152 using TCAF and POS models. Mon. Not. R. Astron. Soc. 2016, 460, 3163–3169. [Google Scholar] [CrossRef]
- Molla, A.A.; Chakrabarti, S.K.; Debnath, D.; Mondal, S. Estimation of Mass of Compact Object in H 1743-322 from 2010 and 2011 Outbursts using TCAF Solution and Spectral Index-QPO Frequency Correlation. Astrophys. J. Lett. 2017, 834, 88. [Google Scholar] [CrossRef]
- Jana, A.; Debnath, D.; Chatterjee, D.; Chatterjee, K.; Chakrabarti, S.K.; Naik, S.; Bhowmick, R.; Kumari, N. Accretion Flow Evolution of a New Black Hole Candidate MAXI J1348-630 during the 2019 Outburst. Astrophys. J. Lett. 2020, 897, 3. [Google Scholar] [CrossRef]
- Nath, S.K.; Debnath, D.; Chatterjee, K.; Jana, A.; Chatterjee, D.; Bhowmick, R. Accretion Flow Properties of MAXI J1910-057/Swift J1910.2-0546 During Its 2012–13 Outburst. Adv. Space Res. 2022. [Google Scholar] [CrossRef]
- Jana, A.; Chakrabarti, S.K.; Debnath, D. Properties of X-ray Flux of Jets during the 2005 Outburst of Swift J1753.5-0127 Using the TCAF Solution. Astrophys. J. Lett. 2017, 850, 91. [Google Scholar] [CrossRef]
- Debnath, D.; Chatterjee, K.; Chatterjee, D.; Jana, A.; Chakrabarti, S.K. Jet properties of XTE J1752-223 during its 2009–2010 outburst. Mon. Not. R. Astron. Soc. 2021, 504, 4242. [Google Scholar] [CrossRef]
- Blandford, R.D.; Rees, M.J. A “twin-exhaust” model for double radio sources. Mon. Not. R. Astron. Soc. 1974, 169, 395. [Google Scholar] [CrossRef]
- Znajek, R.L. The electric and magnetic conductivity of a Kerr hole. Mon. Not. R. Astron. Soc. 1978, 185, 833. [Google Scholar] [CrossRef]
- Blandford, R.D.; Payne, D.G. Hydromagnetic flows from accretion disks and the production of radio jets. Mon. Not. R. Astron. Soc. 1982, 199, 883. [Google Scholar] [CrossRef]
- Blandford, R.D.; Znajek, R.L. Electromagnetic extraction of energy from Kerr black holes. Mon. Not. R. Astron. Soc. 1977, 179, 433. [Google Scholar] [CrossRef]
- Camenzind, M. Hydromagnetic Flows from Rapidly Rotating Compact Objects and the Formation of Relativistic Jets. In Accretion Disks and Magnetic Fields in Astrophysics; Springer: Dordrecht, The Netherlands, 1989; Volume 156, pp. 129–143. [Google Scholar]
- Chakrabarti, S.K.; Bhaskaran, P. On the origin, acceleration and collimation of bipolar outflows and cosmic radio jets. Mon. Not. R. Astron. Soc. 1992, 255, 255. [Google Scholar] [CrossRef]
- Chakrabarti, S.K. Estimation and effects of the mass outflowfrom shock compressed flow around compact objects. Astron. Astrophys. 1999, 351, 185–191. [Google Scholar]
- Morgan, E.H.; Remillard, R.A.; Greiner, J. RXTE Observations of QPOs in the Black Hole Candidate GRS 1915+105. Astrophys. J. Lett. 1997, 482, 993M. [Google Scholar] [CrossRef]
- Casella, P.; Belloni, T.; Stella, L. The ABC of Low-Frequency Quasi-periodic Oscillations in Black Hole Candidates: Analogies with Z Sources. Astrophys. J. Lett. 2005, 629, 403–407. [Google Scholar] [CrossRef]
- Motta, S.E. Quasi periodic oscillations in black hole binaries. Astron. Nachrichten 2016, 337, 398. [Google Scholar] [CrossRef]
- Mondal, S.; Chakrabarti, S.K.; Debnath, D. Is Compton Cooling Sufficient to Explain Evolution of Observed Quasi-periodic Oscillations in Outburst Sources? Astrophys. J. Lett. 2015, 798, 57. [Google Scholar] [CrossRef]
- Chakrabarti, S.K.; Mondal, S.; Debnath, D. Resonance condition and low-frequency quasi-periodic oscillations of the outbursting source H1743-322. Mon. Not. R. Astron. Soc. 2015, 452, 3451. [Google Scholar] [CrossRef]
- Molteni, D.; Sponholz, H.; Chakrabarti, S.K. Resonance Oscillation of Radiative Shock Waves in Accretion Disks around Compact Objects. Astrophys. J. Lett. 1996, 457, 805–812. [Google Scholar] [CrossRef]
- Ryu, D.; Chakrabarti, S.K.; Molteni, D. Zero-Energy Rotating Accretion Flows near a Black Hole. Astrophys. J. 1997, 474, 378. [Google Scholar] [CrossRef]
- Yatabe, F.; Negoro, H.; Nakajima, M.; Sakamaki, A.; Maruyama, W.; Aoki, M.; Kobayashi, K.; Mihara, T.; Nakahira, S.; Takao, Y.; et al. MAXI/GSC discovery of a new X-ray transient MAXI J1348-630. Astron. Telegr. 2019, 12425, 1. [Google Scholar]
- Matsuoka, M.; Kawasaki, K.; Ueno, S.; Tomida, H.; Kohama, M.; Suzuki, M.; Adachi, Y.; Ishikawa, M.; Mihara, T.; Sugizaki, M.; et al. The MAXI Mission on the ISS: Science and Instruments for Monitoring All-Sky X-ray Images. Publ. Astron. Soc. Jpn. 2009, 61, 999–1010. [Google Scholar] [CrossRef]
- Tominaga, M.; Nakahira, S.; Shidatsu, M.; Oeda, M.; Ebisawa, K.; Sugawara, Y.; Negoro, H.; Kawai, N.; Sugizaki, M.; Ueda, Y.; et al. Discovery of the Black Hole X-ray Binary Transient MAXI J1348-630. Astrophys. J. Lett. 2019, 899, L20. [Google Scholar] [CrossRef]
- Kennea, J.A.; Negoro, H. MAXI J1348-630: Swift XRT localization, possible periodicity. Astron. Telegr. 2019, 12434, 1. [Google Scholar]
- Lepingwell, A.V.; Fiocchi, M.; Bird, A.J.; Chenevez, J.; Bazzano, A.; Onori, F.; Natalucci, L.; Ubertini, P.; Sguera, V.; Malizia, A.; et al. INTEGRAL’s detection of evolution in MAXI J1348-630. Astron. Telegr. 2019, 12441, 1. [Google Scholar]
- Sanna, A.; Uttley, P.; Altamirano, D.; Homan, J.; Jaisawal, G.K.; Gendreau, K.; Arzoumanian, Z.; Guver, T.; Bozzo, E.; Ferrigno, C.; et al. NICER identification of MAXI J1348-630 as a probable black hole X-ray binary. Astron. Telegr. 2019, 12447, 1. [Google Scholar]
- Chen, Y.P.; Ma, X.; Huang, Y.; Ge, M.Y.; Tao, L.; Qu, J.L.; Zhang, S.; Zhang, S.N. [HXMT Collaboration]. Insight-HXMT observations of MAXI J1348-630. Astron. Telegr. 2019, 12470, 1. [Google Scholar]
- Negoro, H.; Nakajima, M.; Aoki, M.; Kobayashi, K.; Takagi, R.; Asakura, K.; Seino, K.; Mihara, T.; Guo, C.; Zhou, Y.; et al. MAXI/GSC detection of successive mini-outbursts from the black hole candidate MAXI J1348-630. Astron. Telegr. 2020, 13994, 1. [Google Scholar]
- Baglio, M.C.; Russel, D.M.; Saikia, P.; Bramich, D.M.; Lewis, F. Mini-outburst from the black hole candidate MAXI J1348-630 detected at optical frequencies by XB-NEWS. Astron. Telegr. 2020, 14016, 1. [Google Scholar]
- Carotenuto, F.; Corbel, S.; Tremou, E.; Fender, R.; Woudt, P.; Miller-Jones, J.; Atri, P. [ThunderKAT Collaboration]. MeerKAT and ATCA detection of MAXI J1348-630. Astron. Telegr. 2020, 14029, 1. [Google Scholar]
- Zhang, W.; Tao, L.; Soria, R.; Qu, J.L.; Zhang, S.N.; Weng, S.S.; Zhang, L.; Wang, Y.N.; Huang, Y.; Ma, R.C.; et al. Peculiar Disk Behaviors of the Black Hole Candidate MAXI J1348-630 in the Hard State Observed by Insight-HXMT and Swift. Astrophys. J. Lett. 2022, 927, 210. [Google Scholar] [CrossRef]
- Chauhan, J.; Miller-Jones, J.C.A.; Raja, W.; Allison, J.R.; Jacob, P.F.L.; Anderson, G.E.; Carotenuto, F.; Corbel, S.; Fender, R.; Hotan, A.; et al. Measuring the distance to the black hole candidate X-ray binary MAXI J1348-630 using HI absorption. Mon. Not. R. Astron. Soc. 2020, 501, L60–L64. [Google Scholar] [CrossRef]
- Jia, N.; Zhao, X.; Gou, L.; García, J.A.; Liao, Z.; Feng, Y.; Li, Y.; Wang, Y.; Li, H.; Wu, J. Detailed analysis on the reflection component for the black hole candidate MAXI J1348-630. Mon. Not. R. Astron. Soc. 2022, 511, 3125–3132. [Google Scholar] [CrossRef]
- Chakraborty, S.; Ratheesh, A.; Bhattacharyya, S.; Tomsick, J.A.; Tombesi, F.; Fukumura, K.; Jaisawal, G.K. NuSTAR monitoring of MAXI J1348-630: Evidence of high density disc reflection. Mon. Not. R. Astron. Soc. 2021, 508, 475–488. [Google Scholar] [CrossRef]
- Belloni, T.M.; Zhang, L.; Kylafis, N.D.; Reig, P.; Altamirano, D. Time lags of the type-B quasi-periodic oscillation in MAXI J1348-630. Mon. Not. R. Astron. Soc. 2020, 496, 4366–4371. [Google Scholar] [CrossRef]
- Zhang, L.; Altamirano, D.; Uttley, P.; García, F.; Méndez, M.; Homan, J.; Steiner, J.F.; Alabarta, K.; Buisson, D.J.K.; Remillard, R.A.; et al. NICER uncovers the transient nature of the type-B quasi-periodic oscillation in the black hole candidate MAXI J1348-630. Mon. Not. R. Astron. Soc. 2021, 505, 3823–3843. [Google Scholar] [CrossRef]
- Weng, S.S.; Cai, Z.Y.; Zhang, S.N.; Zhang, W.; Chen, Y.P.; Huang, Y.; Tao, L. Time-lag Between Disk and Corona Radiation Leads to Hysteresis Effect Observed in Black hole X-ray Binary MAXI J1348-630. Astrophys. J. Lett. 2021, 915, L15. [Google Scholar] [CrossRef]
- Magdziarz, P.; Zdziarski, A.A. Angle-dependent Compton reflection of X-rays and gamma-rays. Mon. Not. R. Astron. Soc. 1995, 273, 837–848. [Google Scholar] [CrossRef]
- Debnath, D.; Chakrabarti, S.K.; Nandi, A. Properties of the propagating shock wave in the accretion flow around GX 339-4 in the 2010 outburst. Astron. Astrophys. 2010, 520A, 98D. [Google Scholar] [CrossRef]
- Belloni, T.M.; Psaltis, D.; Van der Klis, M. A Unified Description of the Timing Features of Accreting X-ray Binaries. Astrophys. J. Lett. 2002, 572, 392B. [Google Scholar] [CrossRef]
- Belloni, T.; Van Der Klis, M.; Lewin, W.H.G.; Van Paradijs, J.; Dotani, T.; Mitsuda, K.; Miyamoto, S. Energy dependence in the quasi-periodic oscillations and noise of black hole candidates in the very high state. Astron. Astrophys. 1997, 322, 857–867. [Google Scholar]
- Van Straaten, S.; Van der Klis, M.; Salvo, T.; Belloni, T.M. A Multi-Lorentzian Timing Study of the Atoll Sources 4U 0614+09 and 4U 1728-34. Astrophys. J. Lett. 2002, 568, 912–930. [Google Scholar] [CrossRef]
- Remillard, R.A.; Sobczak, G.J.; Muno, M.P.; McClintock, J.E. Characterizing the quasi-periodic oscillation behavior of the X-ray nova XTE J1550-564. Astrophys. J. Lett. 2002, 562, 962–973. [Google Scholar] [CrossRef]
- Casella, P.; Belloni, T.; Homan, J.; Stella, L. A study of the low-frequency quasi-periodic oscillations in the X-ray light curves of the black hole candidate XTE J1859+226. Astron. Astrophys. 2004, 426, 587–600. [Google Scholar] [CrossRef]
- Remillard, R.A.; Muno, M.P.; McClintock, J.E.; Orosz, J.A. Evidence for Harmonic Relationships in the High-Frequency Quasi-periodic Oscillations of XTE J1550-564 and GRO J1655-40. Astrophys. J. Lett. 2002, 580, 1030–1042. [Google Scholar] [CrossRef]
- Shang, J.-R.; Debnath, D.; Chatterjee, D.; Jana, A.; Chakrabarti, S.K.; Chang, H.-K.; Yap, Y.-X.; Chiu, C.-L. Evolution of X-ray Properties of MAXI J1535-571: Analysis with the TCAF Solution. Astrophys. J. Lett. 2019, 875, 9. [Google Scholar] [CrossRef]
- Ebisawa, K.; Titarchuk, L.; Chakrabarti, S.K. On the Spectral Slopes of Hard X-ray Emission from Black Hole Candidates. Publ. Astron. Soc. Jpn. 1996, 48, 59–65. [Google Scholar] [CrossRef]









| ID | Obs. ID | Satellite/Instrument | MJD | Date of Obs. | Exposure |
|---|---|---|---|---|---|
| YYYY-MM-DD | (ks) | ||||
| (1) | (2) | (3) | (4) | (5) | (6) |
| X1 | 00011107040 | XRT+GSC | 58,630.70 | 2019-05-27 | 1.02 |
| X2 | 00011107041 | XRT+GSC | 58,633.39 | 2019-05-30 | 0.86 |
| X3 | 00011107042 | XRT+GSC | 58,639.67 | 2019-06-05 | 1.00 |
| X4 | 00011107043 | XRT+GSC | 58,647.82 | 2019-06-13 | 1.07 |
| X5 | 00011107044 | XRT+GSC | 58,650.84 | 2019-06-16 | 1.00 |
| X6 | 00011107045 | XRT | 58,685.02 | 2019-07-21 | 0.93 |
| X7 | 00011107046 | XRT+GSC | 58,689.63 | 2019-07-25 | 2.01 |
| X8 | 00011107047 | XRT+GSC | 58,690.23 | 2019-07-26 | 1.60 |
| X9 | 00011107048 | XRT | 58,699.84 | 2019-08-04 | 1.00 |
| X10 | 00011107049 | XRT+GSC | 58,706.42 | 2019-08-11 | 0.90 |
| NI1 | 2200530143 | NICER+GSC | 58,634.04 | 2019-05-31 | 1.37 |
| NI2 | 2200530144 | NICER+GSC | 58,637.81 | 2019-06-03 | 1.11 |
| NI3 | 2200530170 | NICER+GSC | 58,675.91 | 2019-07-11 | 0.49 |
| NI4 | 2200530172 | NICER+GSC | 58,678.44 | 2019-07-14 | 1.35 |
| NI5 | 2200530175 | NICER+GSC | 58,681.43 | 2019-07-17 | 1.23 |
| NI6 | 2200530185 | NICER+GSC | 58,691.62 | 2019-07-27 | 1.70 |
| NI7 | 2200530187 | NICER+GSC | 58,693.49 | 2019-07-29 | 0.78 |
| NI8 | 2200530190 | NICER+GSC | 58,696.14 | 2019-08-01 | 0.71 |
| NU1 | 80502304002 | NuSTAR | 58,655.60 | 2019-06-21 | 13.78 |
| NU2 | 80502304004 | NuSTAR | 58,660.73 | 2019-06-26 | 15.37 |
| NU3 | 80502304006 | NuSTAR | 58,672.61 | 2019-07-08 | 17.18 |
| ID | /dof | R | /dof | ||||||
|---|---|---|---|---|---|---|---|---|---|
| (1) | (2) | (3) | (4) | (5) | (6) | (7) | (8) | (9) | (10) |
| X1 | 22/27 | 19/24 | |||||||
| X2 | 199/197 | 197/194 | |||||||
| NI1 | 764/709 | 777/706 | |||||||
| NI2 | 924/839 | 996/836 | |||||||
| X3 | 721/622 | 725/619 | |||||||
| X4 | 959/686 | 932/683 | |||||||
| X5 | 707/627 | 725/624 | |||||||
| NI3 | 788/779 | 816/776 | |||||||
| NI4 | 1037/872 | 1099/869 | |||||||
| NI5 | 979/841 | 964/838 | |||||||
| X6 | 561/522 | 570/519 | |||||||
| X7 | 57/48 | 55/45 | |||||||
| X8 | 596/489 | 596/486 | |||||||
| NI6 | 771/801 | 899/798 | |||||||
| NI7 | 612/637 | 639/634 | |||||||
| NI8 | 469/517 | 468/514 | |||||||
| X9 | 55/50 | 56/47 | |||||||
| X10 | 64/52 | 65/49 |
| ID | lineE | norm | /dof | ||||||||
|---|---|---|---|---|---|---|---|---|---|---|---|
| (1) | (2) | (3) | (4) | (5) | (6) | (7) | (8) | (9) | (10) | (11) | |
| Model 1: | NU1 | 2494/1500 | |||||||||
| TBabs*(PL | NU2 | 2689/1501 | |||||||||
| +Gaussian) | NU3 | 2248/1439 | |||||||||
| Model 2: | NU1 | 1594/1498 | |||||||||
| TBabs*(reflect | NU2 | 1553/1499 | |||||||||
| PL+Gaussian) | NU3 | 1464/1437 |
| ID | R | lineE | sigma | norm | /dof | |||||||
|---|---|---|---|---|---|---|---|---|---|---|---|---|
| (1) | (2) | (3) | (4) | (5) | (6) | (7) | (8) | (9) | (10) | (11) | (12) | |
| Model 1: | NU1 | 2113/1497 | ||||||||||
| TBabs*(TCAF+ | NU2 | 1995/1498 | ||||||||||
| Gaussian) | NU3 | 1791/1436 | ||||||||||
| Model 2: | NU1 | 1621/1495 | ||||||||||
| TBabs*(reflect* | NU2 | 1670/1496 | ||||||||||
| TCAF+Gaussian) | NU3 | 1684/1434 |
Publisher’s Note: MDPI stays neutral with regard to jurisdictional claims in published maps and institutional affiliations. |
© 2022 by the authors. Licensee MDPI, Basel, Switzerland. This article is an open access article distributed under the terms and conditions of the Creative Commons Attribution (CC BY) license (https://creativecommons.org/licenses/by/4.0/).
Share and Cite
Bhowmick, R.; Debnath, D.; Chatterjee, K.; Jana, A.; Nath, S.K. Properties of MAXI J1348-630 during Its Second Outburst in 2019. Galaxies 2022, 10, 95. https://doi.org/10.3390/galaxies10050095
Bhowmick R, Debnath D, Chatterjee K, Jana A, Nath SK. Properties of MAXI J1348-630 during Its Second Outburst in 2019. Galaxies. 2022; 10(5):95. https://doi.org/10.3390/galaxies10050095
Chicago/Turabian StyleBhowmick, Riya, Dipak Debnath, Kaushik Chatterjee, Arghajit Jana, and Sujoy Kumar Nath. 2022. "Properties of MAXI J1348-630 during Its Second Outburst in 2019" Galaxies 10, no. 5: 95. https://doi.org/10.3390/galaxies10050095
APA StyleBhowmick, R., Debnath, D., Chatterjee, K., Jana, A., & Nath, S. K. (2022). Properties of MAXI J1348-630 during Its Second Outburst in 2019. Galaxies, 10(5), 95. https://doi.org/10.3390/galaxies10050095

