Outcomes of Active Middle Ear Implants: Speech Perception and Quality of Life
Abstract
1. Introduction
2. Materials and Methods
2.1. Participants
2.2. Outcome Measures
2.3. Questionnaire
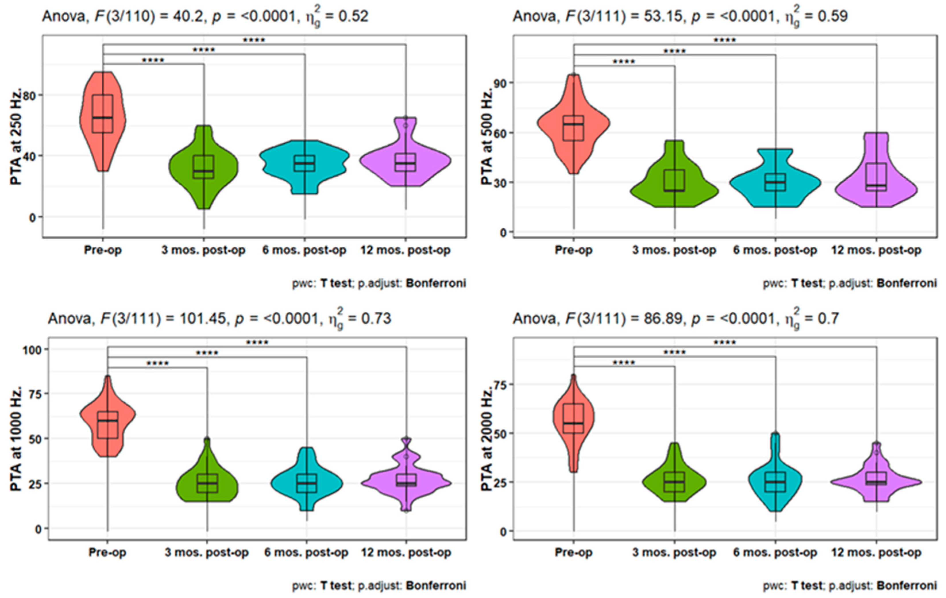
3. Results
Outcome Measures
4. Discussion
5. Conclusions
Author Contributions
Funding
Institutional Review Board Statement
Informed Consent Statement
Data Availability Statement
Conflicts of Interest
References
- Bruchhage, K.-L.; Lupatsii, M.; Möllenkolk, F.; Leffers, D.; Kurabi, A.; Jürgens, T.; Graspeuntner, S.; Hollfelder, D.; Leichtle, A. Hearing rehabilitation and microbial shift after middle ear surgery with Vibrant Soundbridge in patients with chronic otitis media. Eur. Arch. Oto-Rhino-Laryngol. 2023, 280, 3107–3118. [Google Scholar] [CrossRef] [PubMed]
- Pegan, A.; Ries, M.; Ajduk, J.; Bedeković, V.; Ivkić, M.; Trotić, R. Active middle ear vibrant soundbridge sound implant. Acta Clin. Croat. 2019, 58, 348–353. [Google Scholar] [CrossRef] [PubMed]
- Luetje, C.M.; Brackman, D.; Balkany, T.J.; Maw, J.; Baker, R.S.; Kelsall, D.; Backous, D.; Miyamoto, R.; Parisier, S.; Arts, A. Phase III clinical trial results with the Vibrant Soundbridge implantable middle ear hearing device: A prospective controlled multicenter study. Otolaryngol.—Head Neck Surg. 2002, 126, 97–107. [Google Scholar] [CrossRef] [PubMed]
- Baumgartner, W.D.; Böheim, K.; Hagen, R.; Müller, J.; Lenarz, T.; Reiss, S.; Schlögel, M.; Mlynski, R.; Mojallal, H.; Colletti, V.; et al. The vibrant soundbridge for conductive and mixed hearing losses: European multicenter study results. Adv. Otorhinolaryngol. 2010, 69, 38–50. [Google Scholar] [CrossRef] [PubMed]
- Lailach, S.; Zahnert, T. Results and Quality of Life after Implantation of Active Middle Ear Implants. Laryngorhinootologie 2022, 101, S3–S35. [Google Scholar] [CrossRef] [PubMed]
- Lim, S.H.; Baeg, M.S.; Koo, B.M.; Hong, S.J.; Park, P.; Cho, H.-S.; Kim, S.W.; Kim, C.D.; Park, H.M.; Choi, G.E.; et al. Audiologic outcomes and complications of active middle ear implantation in older adults. Acta Otolaryngol. 2021, 141, 702–706. [Google Scholar] [CrossRef]
- Sprinzl, G.M.; Schoerg, P.; Muck, S.; Jesenko, M.; Speiser, S.; Ploder, M.; Edlinger, S.H.; Magele, A. Long-Term Stability and Safety of the Soundbridge Coupled to the Round Window. Laryngoscope 2021, 131, E1434–E1442. [Google Scholar] [CrossRef] [PubMed]
- Burd, C.; Pai, I.; Connor, S.E. Pictorial review active middle ear implantation: Imaging in the pre-operative planning and post-operative assessment of the vibrant Soundbridge tM. Br. J. Radiol. 2020, 93, 20190741. [Google Scholar] [CrossRef]
- Maw, J. The Vibrant Soundbridge: A Global Overview. Otolaryngol. Clin. N. Am. 2019, 52, 285–295. [Google Scholar] [CrossRef]
- Grégoire, A.; Van Damme, J.P.; Gilain, C.; Bihin, B.; Garin, P. Our auditory results using the Vibrant Soundbridge on the long process of the incus: 20 years of data. Auris Nasus Larynx 2018, 45, 66–72. [Google Scholar] [CrossRef]
- Rahne, T.; Skarzynski, P.H.; Hagen, R.; Radeloff, A.; Lassaletta, L.; Barbara, M.; Plontke, S.K.; Mlynski, R. A retrospective European multicenter analysis of the functional outcomes after active middle ear implant surgery using the third generation vibroplasty couplers. Eur. Arch. Oto-Rhino-Laryngol. 2021, 278, 67–75. [Google Scholar] [CrossRef]
- Guidelines for Audiometric Symbols—PubMed. Available online: https://pubmed.ncbi.nlm.nih.gov/3207447/ (accessed on 4 August 2024).
- Alkhodair, M.B.; Mesallam, T.A.; Hagr, A.; Yousef, M.F. Arabic version of short form of the speech, spatial, and qualities of hearing scale (SSQ12). Saudi Med. J. 2021, 42, 1180–1185. [Google Scholar] [CrossRef] [PubMed]
- Ernst, A.; Todt, I.; Wagner, J. Safety and effectiveness of the Vibrant Soundbridge in treating conductive and mixed hearing loss: A systematic review. Laryngoscope 2016, 126, 1451–1457. [Google Scholar] [CrossRef]
- Alzhrani, F.; Alhabib, S.F.; Yousef, M. Speech performance and subjective satisfaction of middle ear implant in congenital aural atresia. Acta Otorhinolaryngol. Ital. 2022, 42, 182–188. [Google Scholar] [CrossRef]
- Lassaletta, L.; Calvino, M.; Sánchez-Cuadrado, I.; Pérez-Mora, R.M.; Muñoz, E.; Gavilán, J. Pros and Cons of Round Window Vibroplasty in Open Cavities: Audiological, Surgical, and Quality of Life Outcomes. Otol. Neurotol. 2015, 36, 944–952. [Google Scholar] [CrossRef] [PubMed]
- Rameh, C.; Meller, R.; Lavieille, J.-P.; Deveze, A.; Magnan, J. Long-Term Patient Satisfaction with Different Middle Ear Hearing Implants in Sensorineural Hearing Loss. Otol. Neurotol. 2010, 31, 883–892. [Google Scholar] [CrossRef]
- Sterkers, O.; Boucarra, D.; Labassi, S.; Bebear, J.P.; Dubreuil, C.; Frachet, B.; Fraysse, B.; Lavieille, J.P.; Magnan, J.; Martin, C.; et al. A Middle Ear Implant, the Symphonix Vibrant Soundbridge: Retrospective Study of the First 125 Patients Implanted in France. Otol. Neurotol. 2003, 24, 427–436. [Google Scholar] [CrossRef]
- Vincent, C.; Fraysse, B.; Lavieille, J.P.; Truy, E.; Sterkers, O.; Vaneecloo, F.M. A longitudinal study on postoperative hearing thresholds with the Vibrant Soundbridge device. Eur. Arch. Oto-Rhino-Laryngol. 2004, 261, 493–496. [Google Scholar] [CrossRef] [PubMed]
- Wolf-Magele, A.; Schnabl, J.; Woellner, T.; Koci, V.; Riechelmann, H.; Sprinzl, G.M. Active Middle Ear Implantation in Elderly People: A Retrospective Study. Otol. Neurotol. 2011, 32, 805–811. [Google Scholar] [CrossRef]
- Brkic, F.F.; Riss, D.; Auinger, A.; Zoerner, B.; Arnoldner, C.; Baumgartner, W.; Gstoettner, W.; Vyskocil, E. Long-Term Outcome of Hearing Rehabilitation with an Active Middle Ear Implant. Laryngoscope 2019, 129, 477–481. [Google Scholar] [CrossRef]
- Zwartenkot, J.W.; Mulder, J.J.S.; Snik, A.F.M.; Cremers, C.W.R.J.; Mylanus, E.A.M. Active Middle Ear Implantation: Long-term Medical and Technical Follow-up, Implant Survival, and Complications. Otol Neurotol. 2016, 37, 513–519. [Google Scholar] [CrossRef] [PubMed]
- Colletti, L.; Mandalà, M.; Colletti, V. Long-term outcome of round window vibrant soundbridge implantation in extensive ossicular chain defects. Otolaryngol.—Head Neck Surg. 2013, 149, 134–141. [Google Scholar] [CrossRef] [PubMed]
- Schmuziger, N.; Schimmann, F.; àWengen, D.; Patscheke, J.; Probst, R. Long-term assessment after implantation of the Vibrant Soundbridge device. Otol. Neurotol. 2006, 27, 183–188. [Google Scholar] [CrossRef] [PubMed]







| Demographics and Surgical Characteristics |
Overall
N = 31 | |
|---|---|---|
| Side | Left | 14 (45.2) |
| Right | 17 (54.8) | |
| Type of HL | CHL | 20 (64.5) |
| MHL | 7 (22.6) | |
| SNHL | 4 (12.9) | |
| Coupler | Clip Coupler | 13 (41.9) |
| LP Coupler | 1 (3.2) | |
| RWS Coupler | 5 (16.1) | |
| SP Coupler | 12 (38.7) | |
| Surgical Time (Hours) | 2:00:00 | 6 (19.4) |
| 2:30:00 | 6 (19.4) | |
| 3:00:00 | 14 (45.2) | |
| 4:00:00 | 4 (12.9) | |
| 5:00:00 | 1 (3.2) | |
| Mean (SD) | 2.9 (0.7) | |
| VORP template drawing made before incision | NO | 20 (71.4) |
| YES | 8 (28.6) | |
| Skin flap measured with skin flap gauge 7 | Pass | 27 (96.4) |
| Thinned | 1 (3.6) | |
| Stapes present | NO | 5 (17.9) |
| YES | 23 (82.1) | |
| Abnormal facial nerve course | NO | 24 (85.7) |
| Limiting Posterior Tympanotomy | 4 (14.3) | |
| RW niche visible | NO | 4 (23.5) |
| YES | 13 (76.5) | |
| Age at operation (Years) | Mean (SD) | 25.3 (18.9) |
| Postoperative complications | None | 23 (95.8) |
| Secondary facial nerve paralysis | 1 (4.2) | |
| Pure-Tone Audiometry (PTA) Air Conduction | ||
| 250 Hz | Mean (SD) | 65.5 (17.2) |
| 500 Hz | Mean (SD) | 64.0 (13.7) |
| 1000 Hz | Mean (SD) | 59.4 (10.5) |
| 2000 Hz | Mean (SD) | 56.0 (10.8) |
| 4000 Hz | Mean (SD) | 66.0 (13.3) |
| 6000 Hz | Mean (SD) | 69.5 (15.5) |
| PTA4 | Mean (SD) | 61.3 (8.6) |
| Bone Conduction | ||
| 500 Hz | Mean (SD) | 13.7 (14.7) |
| 1000 Hz | Mean (SD) | 13.9 (16.1) |
| 2000 Hz | Mean (SD) | 24.2 (18.8) |
| 4000 Hz | Mean (SD) | 22.1 (21.9) |
| Speech Audiometry Measures | ||
| SRT | Mean (SD) | 59.4 (11.2) |
| SDS in Quite (score %) | Mean (SD) | 36.8 (23.7) |
| SDS in Noise (score %) | Mean (SD) | 21.6 (15.0) |
| SSQ | Mean (SD) | 4.9 (2.4) |
Disclaimer/Publisher’s Note: The statements, opinions and data contained in all publications are solely those of the individual author(s) and contributor(s) and not of MDPI and/or the editor(s). MDPI and/or the editor(s) disclaim responsibility for any injury to people or property resulting from any ideas, methods, instructions or products referred to in the content. |
© 2024 by the authors. Licensee MDPI, Basel, Switzerland. This article is an open access article distributed under the terms and conditions of the Creative Commons Attribution (CC BY) license (https://creativecommons.org/licenses/by/4.0/).
Share and Cite
Salamah, M.; Alradhi, A.; Alzhrani, F.; Yousef, M. Outcomes of Active Middle Ear Implants: Speech Perception and Quality of Life. J. Pers. Med. 2024, 14, 883. https://doi.org/10.3390/jpm14080883
Salamah M, Alradhi A, Alzhrani F, Yousef M. Outcomes of Active Middle Ear Implants: Speech Perception and Quality of Life. Journal of Personalized Medicine. 2024; 14(8):883. https://doi.org/10.3390/jpm14080883
Chicago/Turabian StyleSalamah, Marzouqi, Athair Alradhi, Farid Alzhrani, and Medhat Yousef. 2024. "Outcomes of Active Middle Ear Implants: Speech Perception and Quality of Life" Journal of Personalized Medicine 14, no. 8: 883. https://doi.org/10.3390/jpm14080883
APA StyleSalamah, M., Alradhi, A., Alzhrani, F., & Yousef, M. (2024). Outcomes of Active Middle Ear Implants: Speech Perception and Quality of Life. Journal of Personalized Medicine, 14(8), 883. https://doi.org/10.3390/jpm14080883

