Effects of Dance-Based Aerobic Training on Mental Health and Quality of Life in Older Adults with Mild Cognitive Impairment
Abstract
1. Introduction
2. Materials and Methods
2.1. Study Design
2.2. Participants
2.3. Randomization
2.4. Intervention
2.5. Outcomes
2.5.1. Depression
2.5.2. Sleep Quality
2.5.3. Quality of Life
2.6. Sample Calculation
2.7. Statistical Analysis
3. Results
3.1. Depression
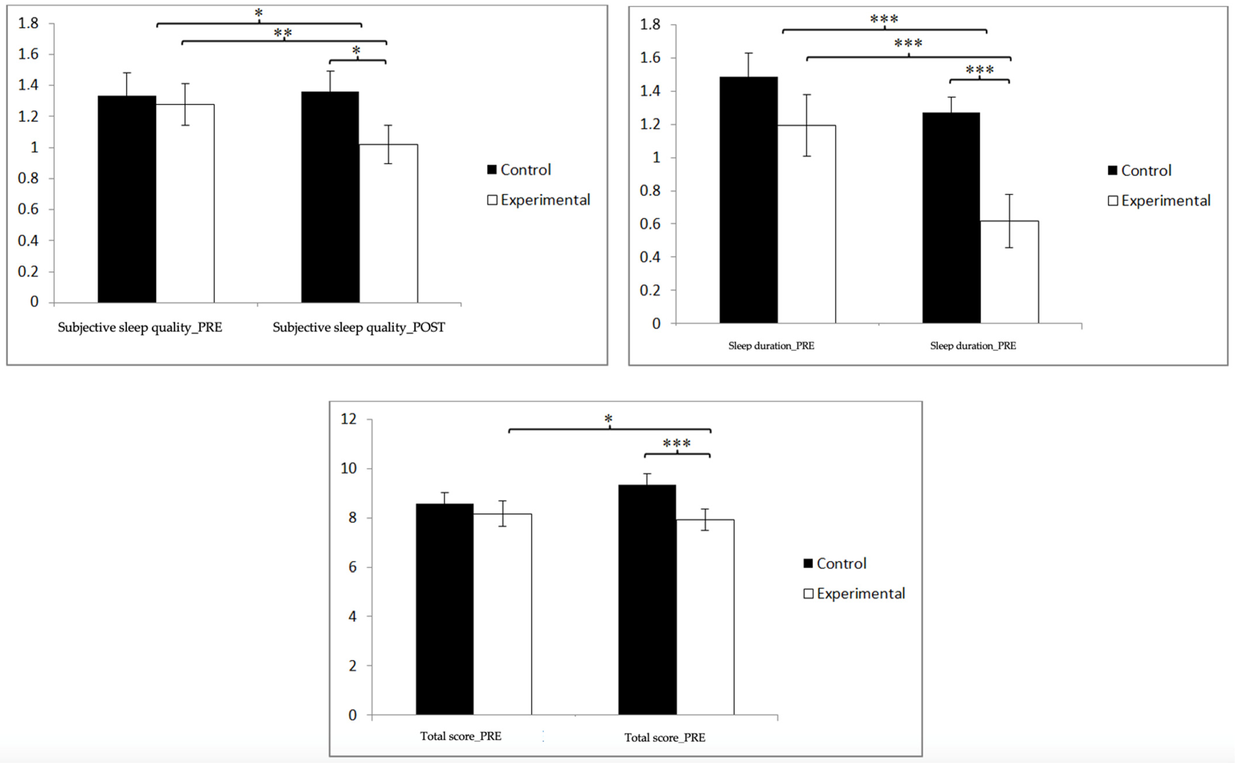
3.2. Sleep Quality
3.3. Quality of Life
4. Discussion
5. Conclusions
Author Contributions
Funding
Institutional Review Board Statement
Informed Consent Statement
Data Availability Statement
Conflicts of Interest
References
- Pais, M.; Martinez, L.; Ribeiro, O.; Loureiro, J.; Fernandez, R.; Valiengo, L.; Canineu, P.; Stella, F.; Talib, L.; Radanovic, M.; et al. Early diagnosis and treatment of Alzheimer’s disease: New definitions and challenges. Braz. J. Psychiatry 2020, 42, 431–441. [Google Scholar] [CrossRef] [PubMed]
- Mlaki, D.A.; Asmal, L.; Paddick, S.M.; Gray, W.K.; Dotchin, C.; Walker, R. Prevalence and associated factors of depression among older adults in rural Tanzania. Int. J. Geriatr. Psychiatry 2021, 36, 1559–1566. [Google Scholar] [CrossRef] [PubMed]
- Puri, S.; Shaheen, M.; Grover, B. Nutrition and cognitive health: A life course approach. Front Public Health 2023, 11, 1023907. [Google Scholar] [CrossRef]
- Przybelski, A.G.; Bendlin, B.B.; Jones, J.E.; Vogt, N.M.; Przybelski, R.J. Vitamin B6 and vitamin D deficiency co-occurrence in geriatric memory patients. Alzheimer’s Dement. 2024, 16, e12525. [Google Scholar] [CrossRef] [PubMed]
- Tetsuka, S. Depression and Dementia in Older Adults: A Neuropsychological Review. Aging Dis. 2021, 12, 1920–1934. [Google Scholar] [CrossRef]
- Delbari, A.; Ghavidel, F.; Bidkhori, M.; Saatchi, M.; Momtaz, Y.A.; Efati, S.; Hooshmand, E. Evaluation of Sleep Quality and Related Factors in Community-Dwelling Adults: Ardakan Cohort Study on Aging (ACSA). J. Res. Health Sci. 2023, 23, e00591. [Google Scholar] [CrossRef] [PubMed]
- Tatineny, P.; Shafi, F.; Gohar, A.; Bhat, A. Sleep in the Elderly. Mo. Med. 2020, 117, 490–495. [Google Scholar] [PubMed]
- Alnawwar, M.A.; Alraddadi, M.I.; Algethmi, R.A.; Salem, G.A.; Salem, M.A.; Alharbi, A.A. The Effect of Physical Activity on Sleep Quality and Sleep Disorder: A Systematic Review. Cureus 2023, 15, e43595. [Google Scholar] [CrossRef] [PubMed]
- Gautam, S.; Jain, A.; Chaudhary, J.; Gautam, M.; Gaur, M.; Grover, S. Concept of mental health and mental well-being, it’s determinants and coping strategies. Indian J. Psychiatry 2024, 66, S231–S244. [Google Scholar] [CrossRef]
- Shen, T.; Li, D.; Hu, Z.; Li, J.; Wei, X. The impact of social support on the quality of life among older adults in China: An empirical study based on the 2020 CFPS. Front. Public Health 2022, 10, 914707. [Google Scholar] [CrossRef]
- Mahindru, A.; Patil, P.; Agrawal, V. Role of Physical Activity on Mental Health and Well-Being: A Review. Cureus 2023, 15, e33475. [Google Scholar] [CrossRef]
- Singh, B.; Olds, T.; Curtis, R.; Dumuid, D.; Virgara, R.; Watson, A.; Szeto, K.; O’Connor, E.; Ferguson, T.; Eglitis, E.; et al. Effectiveness of physical activity interventions for improving depression, anxiety and distress: An overview of systematic reviews. Br. J. Sports Med. 2023, 57, 1203–1209. [Google Scholar] [CrossRef]
- Barbaccia, V.; Bravi, L.; Murmura, F.; Savelli, E.; Viganò, E. Mature and Older Adults’ Perception of Active Ageing and the Need for Supporting Services: Insights from a Qualitative Study. Int. J. Environ. Res. Public Health 2022, 19, 7660. [Google Scholar] [CrossRef] [PubMed]
- Stathi, A.; Greaves, C.J.; Thompson, J.L.; Withall, J.; Ladlow, P.; Taylor, G.; Medina-Lara, A.; Snowsill, T.; Gray, S.; Green, C.; et al. Effect of a physical activity and behaviour maintenance programme on functional mobility decline in older adults: The REACT (Retirement in Action) randomised controlled trial. Lancet Public Health 2022, 7, e316–e326. [Google Scholar] [CrossRef]
- Golaszewski, N.M.; LaCroix, A.Z.; Hooker, S.P.; Bartholomew, J.B. Group exercise membership is associated with forms of social support, exercise identity, and amount of physical activity. Int. J. Sport Exerc. Psychol. 2022, 20, 630–643. [Google Scholar] [CrossRef]
- Drăgoi, C.M.; Nicolae, A.C.; Ungurianu, A.; Margină, D.M.; Grădinaru, D.; Dumitrescu, I.B. Circadian Rhythms, Chrononutrition, Physical Training, and Redox Homeostasis-Molecular Mechanisms in Human Health. Cells 2024, 13, 138. [Google Scholar] [CrossRef] [PubMed]
- Baron, P.; Hermand, É.; Bourlois, V.; Pezé, T.; Aron, C.; Lombard, R.; Hurdiel, R. Effect of Aerobic Exercise Training on Sleep and Core Temperature in Middle-Aged Women with Chronic Insomnia: A Randomized Controlled Trial. Int. J. Environ. Res. Public Health 2023, 20, 5452. [Google Scholar] [CrossRef]
- Dipietro, L.; Campbell, W.W.; Buchner, D.M.; Erickson, K.I.; Powell, K.E.; Bloodgood, B.; Hughes, T.; Day, K.R.; Piercy, K.L.; Vaux-Bjerke, A.; et al. Physical Activity, Injurious Falls, and Physical Function in Aging: An Umbrella Review. Med. Sci. Sports Exerc. 2019, 51, 1303–1313. [Google Scholar] [CrossRef] [PubMed]
- Eather, N.; Wade, L.; Pankowiak, A.; Eime, R. The impact of sports participation on mental health and social outcomes in adults: A systematic review and the ‘Mental Health through Sport’ conceptual model. Syst. Rev. 2023, 12, 102. [Google Scholar] [CrossRef]
- Shen, B.; Ma, C.; Wu, G.; Liu, H.; Chen, L.; Yang, G. Effects of exercise on circadian rhythms in humans. Front. Pharmacol. 2023, 14, 1282357. [Google Scholar] [CrossRef]
- Kline, C.E. The bidirectional relationship between exercise and sleep: Implications for exercise adherence and sleep improvement. Am. J. Lifestyle Med. 2014, 8, 375–379. [Google Scholar] [CrossRef] [PubMed]
- de la Iglesia, J.M.; Vilches, M.C.O.; Herrero, R.D.; Colomer, C.A.; Taberné, C.A.; Luque, R.L. The Spanish version of the Yesavage abbreviated questionnaire (GDS) to screen depressive dysfunctions in patients older than 65 years. Medifam-Madrid 2002, 12, 26–40. [Google Scholar]
- Sheikh, J.I.; Yesavage, J.A. Geriatric Depression Scale (GDS): Recent evidence and development of a shorter version. Clin. Gerontol. Aging Ment. Health 1986, 5, 165–173. [Google Scholar]
- Buysse, D.J.; Reynolds, C.F.; Monk, T.H.; Berman, S.R.; Kupfer, D.J. The Pittsburgh Sleep Quality Index: A new instrument for psychiatric practice and research. Psychiatry Res. 1989, 28, 193–213. [Google Scholar] [CrossRef] [PubMed]
- Hita-Contreras, F.; Martínez-López, E.; Latorre-Román, P.A.; Garrido, F.; Santos, M.A.; Martínez-Amat, A. Reliability and validity of the Spanish version of the Pittsburgh Sleep Quality Index (PSQI) in patients with fibromyalgia. Rheumatol. Int. 2014, 34, 929–936. [Google Scholar] [CrossRef]
- Alonso, J.; Prieto, L.; Anto, J.M. La versión española del SF-36 Health Survey (Cuestionario de Salud SF-36): Un instrumento para la medida de los resultados clínicos. Med. Clin. 1995, 104, 771–776. [Google Scholar]
- Ware, J.E.; Sherbourne, C.D. The MOS 36-item short-form health survey (SF-36) (I). Conceptual framework and item selection. Med. Care 1992, 30, 473–483. [Google Scholar] [CrossRef] [PubMed]
- Hui, E.; Chui, B.T.; Woo, J. Effects of dance on physical and psychological well-being in older persons. Arch. Gerontol. Geriatr. 2009, 49, e45–e50. [Google Scholar] [CrossRef]
- Fiske, A.; Wetherell, J.L.; Gatz, M. Depression in older adults. Annu. Rev. Clin. Psychol. 2009, 5, 363–389. [Google Scholar] [CrossRef]
- Blumenthal, J.A.; Babyak, M.A.; Moore, K.A.; Craighead, W.E.; Herman, S.; Khatri, P.; Waugh, R.; Napolitano, M.A.; Forman, L.M.; Appelbaum, M.; et al. Effects of exercise training on older patients with major depression. Arch. Intern. Med. 1999, 159, 2349–2356. [Google Scholar] [CrossRef]
- Bridle, C.; Spanjers, K.; Patel, S.; Atherton, N.M.; Lamb, S.E. Effect of exercise on depression severity in older people: Systematic review and meta-analysis of randomised controlled trials. Br. J. Psychiatry 2012, 201, 180–185. [Google Scholar] [CrossRef] [PubMed]
- Mura, G.; Carta, M.G. Physical activity in depressed elderly. A systematic review. Clin. Pract. Epidemiol. Ment. Health 2013, 9, 125–135. [Google Scholar] [CrossRef] [PubMed]
- Clement-Carbonell, V.; Portilla-Tamarit, I.; Rubio-Aparicio, M.; Madrid-Valero, J.J. Sleep Quality, Mental and Physical Health: A Differential Relationship. Int. J. Environ. Res. Public Health 2021, 18, 460. [Google Scholar] [CrossRef] [PubMed]
- Jaqua, E.E.; Hanna, M.; Labib, W.; Moore, C.; Matossian, V. Common Sleep Disorders Affecting Older Adults. Perm. J. 2023, 27, 122–132. [Google Scholar] [CrossRef] [PubMed]
- Reid, K.J.; Baron, K.G.; Lu, B.; Naylor, E.; Wolfe, L.; Zee, P.C. Aerobic exercise improves self-reported sleep and quality of life in older adults with insomnia. Sleep Med. 2010, 11, 934–940. [Google Scholar] [CrossRef] [PubMed]
- King, A.C.; Oman, R.F.; Brassington, G.S.; Bliwise, D.L.; Haskell, W.L. Moderate-intensity exercise and self-rated quality of sleep in older adults. A randomized controlled trial. JAMA 1997, 277, 32–37. [Google Scholar] [CrossRef] [PubMed]
- Kredlow, M.A.; Capozzoli, M.C.; Hearon, B.A.; Calkins, A.W.; Otto, M.W. The effects of physical activity on sleep: A meta-analytic review. J. Behav. Med. 2015, 38, 427–449. [Google Scholar] [CrossRef] [PubMed]
- Estoque, R.C.; Togawa, T.; Ooba, M.; Gomi, K.; Nakamura, S.; Hijioka, Y.; Kameyama, Y. A review of quality of life (QOL) assessments and indicators: Towards a “QOL-Climate” assessment framework. Ambio 2019, 48, 619–638. [Google Scholar] [CrossRef] [PubMed]
- Dinius, C.J.; Pocknell, C.E.; Caffrey, M.P.; Roche, R.A.P. Cognitive interventions for memory and psychological well-being in aging and dementias. Front. Psychol. 2023, 14, 1070012. [Google Scholar] [CrossRef]
- Fong Yan, A.; Nicholson, L.L.; Ward, R.E.; Hiller, C.E.; Dovey, K.; Parker, H.M.; Low, L.F.; Moyle, G.; Chan, C. The Effectiveness of Dance Interventions on Psychological and Cognitive Health Outcomes Compared with Other Forms of Physical Activity: A Systematic Review with Meta-analysis. Sports Med. 2024, 54, 1179–1205. [Google Scholar] [CrossRef]
- Venturelli, M.; Lanza, M.; Muti, E.; Schena, F. Positive effects of physical training in activity of daily living-dependent older adults. Exp. Aging Res. 2010, 37, 358–370. [Google Scholar] [CrossRef] [PubMed]
- Coubard, O.A.; Duretz, S.; Lefebvre, V.; Lapalus, P.; Ferrufino, L. Practice of contemporary dance improves cognitive flexibility in aging. Front. Aging Neurosci. 2011, 3, 13. [Google Scholar] [CrossRef] [PubMed]
- Merom, D.; Grunseit, A.; Eramudugolla, R.; Jefferis, B.; McNeill, J.; Anstey, K.J. Dancing participation and cardiovascular disease mortality: A pooled analysis of 11 population-based British cohorts. Am. J. Prev. Med. 2016, 50, 756–760. [Google Scholar] [CrossRef] [PubMed]
- Bailey, M.J. Fifty Years of Family Planning: New Evidence on the Long-Run Effects of Increasing Access to Contraception. Brook. Pap. Econ. Act. 2013, 2013, 341–409. [Google Scholar] [CrossRef] [PubMed]
- Böheim, R.; Horvath, T.; Leoni, T.; Spielauer, M. The Impact of Health and Education on Labor Force Participation in Aging Societies: Projections for the United States and Germany from Dynamic Microsimulations. Popul. Res. Policy Rev. 2023, 42, 39. [Google Scholar] [CrossRef] [PubMed]
- Ismail, Z.; Ahmad, W.I.W.; Hamjah, S.H.; Astina, I.K. The Impact of Population Ageing: A Review. Iran. J. Public Health 2021, 50, 2451–2460. [Google Scholar] [CrossRef]
- Khavinson, V.; Popovich, I.; Mikhailova, O. Towards realization of longer life. Acta Biomed. 2020, 91, e2020054. [Google Scholar]
- WHO. Ageing and Health; WHO: Geneva, Switzerland, 2022. [Google Scholar]
- Randhawa, S.S.; Varghese, D. Geriatric Evaluation and Treatment of Age-Related Cognitive Decline. [Updated 2023 September 28]. In StatPearls [Internet]; StatPearls Publishing: Treasure Island, FL, USA, 2024. Available online: https://www.ncbi.nlm.nih.gov/books/NBK580536/ (accessed on 16 March 2024).








| Total (n = 92) | EG (n = 47) | CG (n = 45) | ||
|---|---|---|---|---|
| Age | 71.83 ± 2.96 | 71.43 ± 2.97 | 72.24 ± 2.92 | |
| Sex | Male | 34 (23.10) | 18 (52.90) | 16 (47.10) |
| Female | 58 (39.50) | 29 (50.00) | 29 (50.00) | |
| Occupational status | Retired | 67 (45.60) | 35 (52.20) | 32 (47.80) |
| Worker | 0 (0.00) | 0 (0.00) | 0 (0.00) | |
| Stopped | 25 (17.00) | 12 (48.00) | 13 (52.00) | |
| Civil status | Single | 13 (8.80) | 7 (53.80) | 6 (46.20) |
| Married | 52 (35.40) | 26 (50.00) | 26 (50.00) | |
| Divorced/separated/widowed | 27 (18.40) | 14 (51.90) | 13 (48.10) | |
| Educational status | Without studies | 14 (9.50) | 8 (57.10) | 6 (42.90) |
| Primary studies | 54 (36.70) | 31 (57.40) | 23 (42.60) | |
| Secondary studies | 16 (10.90) | 5 (31.20) | 11 (68.80) | |
| University studies | 8 (5.40) | 3 (37.50) | 5 (62.50) | |
| Depression | 6.46 ± 3.33 | 6.49 ± 3.30 | 6.42 ± 3.39 | |
| Sleep quality | 1.35 ± 0.95 | 1.34 ± 1.05 | 1.36 ± 0.86 | |
| Sleep latency | 1.43 ± 1.12 | 1.34 ± 1.13 | 1.53 ± 1.12 | |
| Sleep duration | 1.20 ± 1.02 | 1.04 ± 0.96 | 1.36 ± 1.07 | |
| Sleep efficiency | 1.11 ± 1.03 | 0.91 ± 0.95 | 1.31 ± 1.08 | |
| Sleep disturbances | 1.58 ± 0.83 | 1.51 ± 0.75 | 1.64 ± 0.91 | |
| Use of sleeping medication | 1.45 ± 1.02 | 1.51 ± 1.12 | 1.38 ± 0.91 | |
| Daytime dysfunction | 1.21 ± 0.73 | 1.04 ± 0.78 | 1.39 ± 0.65 | |
| PSQI Total score | 8.11 ± 3.09 | 7.66 ± 3.04 | 8.58 ± 3.11 | |
| SF-36 General Health | 52.88 ± 15.18 | 51.60 ± 16.98 | 54.22 ± 13.10 | |
| SF-36 Physical Function | 58.32 ± 22.01 | 60.21 ± 22.21 | 53.33 ± 21.86 | |
| SF-36 Physical Role | 60.33 ± 36.72 | 56.38 ± 37.03 | 64.44 ± 36.34 | |
| SF-36 Emotional Role | 71.08 ± 27.49 | 67.77 ± 27.91 | 74.53 ± 26.92 | |
| SF-36 Social Function | 84.40 ± 21.19 | 82.89 ± 23.43 | 85.98 ± 18.71 | |
| SF-36 Physical pain | 63.77 ± 19.26 | 60.77 ± 17.77 | 66.91 ± 20.42 | |
| SF-36 Vitality | 61.09 ± 19.21 | 52.87 ± 16.38 | 69.67 ± 18.32 | |
| SF-36 Mental Health | 68.46 ± 19.22 | 64.68 ± 19.35 | 72.40 ± 18.47 | |
| SF-36 CSF | 58.82 ± 11.59 | 57.24 ± 12.17 | 60.48 ± 10.83 | |
| SF-36 CSM | 73.78 ± 10.82 | 72.00 ± 10.24 | 75.64 ± 11.22 |
| EG (n = 47) | CG (n = 45) | Group | Time | Group × Time | |||||||||
|---|---|---|---|---|---|---|---|---|---|---|---|---|---|
| Pre | Post | Pre | Post | F(90) | p-Value | η2 | F(90) | p-Value | η2 | F(90) | p-Value | η2 | |
| Depression | 6.49 ± 3.30 | 5.55 ± 2.78 | 6.42 ± 3.39 | 6.93 ± 3.22 | 1.044 | 0.310 | 0.011 | 1.683 | 0.198 | 0.018 | 19.517 | 0.000 | 0.178 |
| Sleep quality | 1.34 ± 1.05 | 1.00 ± 0.91 | 1.36 ± 0.86 | 1.36 ± 0.77 | 1.094 | 0.298 | 0.012 | 6.789 | 0.010 | 0.073 | 6.939 | 0.010 | 0.072 |
| Sleep latency | 1.34 ± 1.13 | 1.26 ± 0.97 | 1.53 ± 1.12 | 1.60 ± 1.07 | 1.696 | 0.196 | 0.018 | 0.011 | 0.916 | 0.000 | 0.763 | 0.385 | 0.008 |
| Sleep duration | 1.04 ± 0.95 | 0.47 ± 0.55 | 1.36 ± 1.07 | 1.18 ± 0.86 | 9.535 | 0.003 | 0096 | 23.385 | 0.000 | 0.206 | 6.503 | 0.012 | 0.067 |
| Sleep efficiency | 0.91 ± 0.95 | 0.70 ± 0.80 | 1.31 ± 0.08 | 1.22 ± 0.77 | 7.290 | 0.008 | 0.075 | 3.163 | 0.079 | 0.034 | 0.533 | 0.467 | 0.006 |
| Sleep disturbances | 1.51 ± 0.75 | 1.28 ± 0.68 | 1.64 ± 0.91 | 1.51 ± 0.82 | 1.511 | 0.222 | 0.017 | 7.047 | 0.009 | 0.073 | 0.530 | 0.469 | 0.006 |
| Use of sleeping medication | 1.51 ± 1.12 | 1.45 ± 0.12 | 1.38 ± 0.91 | 1.47 ± 1.14 | 0.073 | 0.787 | 0.001 | 0.038 | 0.846 | 0.000 | 1.401 | 0.240 | 0.015 |
| Daytime dysfunction | 1.04 ± 0.78 | 0.98 ± 0.79 | 1.38 ± 0.65 | 1.13 ± 0.84 | 3.644 | 0.059 | 0.039 | 2.554 | 0.114 | 0.028 | 0.875 | 0.352 | 0.010 |
| PSQI total score | 7.66 ± 3.03 | 7.06 ± 3.05 | 8.58 ± 3.11 | 9.29 ± 2.55 | 7.718 | 0.007 | 0.079 | 0.058 | 0.811 | 0.001 | 7.384 | 0.008 | 0.076 |
| EG (n = 47) | CG (n = 45) | Group | Time | Group × Time | |||||||||
|---|---|---|---|---|---|---|---|---|---|---|---|---|---|
| Pre | Post | Pre | Post | F(93) | p-Value | η2 | F(93) | p-Value | η2 | F(93) | p-Value | η2 | |
| SF-36 General Health | 51.60 ± 16.98 | 67.34 ± 15.28 | 54.22 ± 13.10 | 51.11 ± 13.18 | 5.911 | 0.017 | 0.062 | 24.258 | 0.000 | 0.212 | 54.037 | 0.000 | 0.375 |
| SF-36 Physical Function | 60.21 ± 22.21 | 69.89 ± 18.55 | 56.33 ± 21.86 | 51.44 ± 20.55 | 7.252 | 0.008 | 0.075 | 3.395 | 0.0690 | 0.036 | 31.384 | 0.000 | 0.259 |
| SF-36 Physical Role | 56.38 ± 37.03 | 88.30 ± 21.40 | 64.44 ± 36.34 | 73.33 ± 37.84 | 0.332 | 0.566 | 0.004 | 30.332 | 0.000 | 0.252 | 9.659 | 0.003 | 0.097 |
| SF-36 Emotional Role | 67.77 ± 29.91 | 71.58 ± 28.55 | 74.53 ± 26.92 | 90.64 ± 18.22 | 1.620 | 0.0206 | 0.018 | 18.344 | 0.000 | 0.169 | 30.849 | 0.000 | 0.255 |
| SF-36 Social Function | 82.89 ± 23.43 | 81.16 ± 16.70 | 85.98 ± 18.71 | 93.45 ± 15.45 | 1.708 | 0.195 | 0.019 | 2.710 | 0.103 | 0.029 | 19.509 | 0.000 | 0.178 |
| SF-36 Physical pain | 60.77 ± 17.77 | 79.09 ± 17.24 | 66.91 ± 20.42 | 61.60 ± 19.88 | 2.789 | 0.098 | 0.030 | 10.787 | 0.001 | 0.107 | 35.597 | 0.000 | 0.283 |
| SF-36 Vitality | 52.87 ± 16.38 | 63.67 ± 17.76 | 69.67 ± 18.32 | 72.66 ± 14.62 | 1.899 | 0.172 | 0.021 | 11.133 | 0.001 | 0.110 | 38.945 | 0.000 | 0.302 |
| SF-36 Mental Health | 64.68 ± 19.35 | 86.81 ± 13.13 | 72.40 ± 18.47 | 65.49 ± 21.89 | 4.768 | 0.032 | 0.050 | 11.335 | 0.001 | 0.112 | 41.282 | 0.000 | 0.314 |
| SF-36 CSF | 57.24 ± 12.17 | 76.15 ± 8.35 | 60.48 ± 10.83 | 59.37 ± 12.01 | 11.690 | 0.001 | 0.115 | 61.859 | 0.000 | 0.407 | 78.173 | 0.000 | 0.465 |
| SF-36 CSM | 72.00 ± 10.24 | 83.89 ± 7.99 | 75.64 ± 11.22 | 71.34 ± 13.33 | 5.487 | 0.021 | 0.057 | 9.681 | 0.002 | 0.097 | 44.025 | 0.000 | 0.328 |
Disclaimer/Publisher’s Note: The statements, opinions and data contained in all publications are solely those of the individual author(s) and contributor(s) and not of MDPI and/or the editor(s). MDPI and/or the editor(s) disclaim responsibility for any injury to people or property resulting from any ideas, methods, instructions or products referred to in the content. |
© 2024 by the authors. Licensee MDPI, Basel, Switzerland. This article is an open access article distributed under the terms and conditions of the Creative Commons Attribution (CC BY) license (https://creativecommons.org/licenses/by/4.0/).
Share and Cite
Sánchez-Alcalá, M.; Aibar-Almazán, A.; Hita-Contreras, F.; Castellote-Caballero, Y.; Carcelén-Fraile, M.d.C.; Infante-Guedes, A.; González-Martín, A.M. Effects of Dance-Based Aerobic Training on Mental Health and Quality of Life in Older Adults with Mild Cognitive Impairment. J. Pers. Med. 2024, 14, 844. https://doi.org/10.3390/jpm14080844
Sánchez-Alcalá M, Aibar-Almazán A, Hita-Contreras F, Castellote-Caballero Y, Carcelén-Fraile MdC, Infante-Guedes A, González-Martín AM. Effects of Dance-Based Aerobic Training on Mental Health and Quality of Life in Older Adults with Mild Cognitive Impairment. Journal of Personalized Medicine. 2024; 14(8):844. https://doi.org/10.3390/jpm14080844
Chicago/Turabian StyleSánchez-Alcalá, Marcelina, Agustín Aibar-Almazán, Fidel Hita-Contreras, Yolanda Castellote-Caballero, María del Carmen Carcelén-Fraile, Aday Infante-Guedes, and Ana María González-Martín. 2024. "Effects of Dance-Based Aerobic Training on Mental Health and Quality of Life in Older Adults with Mild Cognitive Impairment" Journal of Personalized Medicine 14, no. 8: 844. https://doi.org/10.3390/jpm14080844
APA StyleSánchez-Alcalá, M., Aibar-Almazán, A., Hita-Contreras, F., Castellote-Caballero, Y., Carcelén-Fraile, M. d. C., Infante-Guedes, A., & González-Martín, A. M. (2024). Effects of Dance-Based Aerobic Training on Mental Health and Quality of Life in Older Adults with Mild Cognitive Impairment. Journal of Personalized Medicine, 14(8), 844. https://doi.org/10.3390/jpm14080844

