Volumetric Biomarkers of Visual Outcome after Surgical Repair in Lamellar Macular Holes
Abstract
1. Introduction
2. Materials and Methods
- I.
- Pre-operative characteristics: baseline characteristics such as age, gender, laterality; clinical characteristics such as lens status, pre-operative BCVA (logMAR), ocular findings at dilated fundoscopy; and pre-operative OCT-based characteristics as detailed below.
- II.
- Surgical characteristics and intraoperative complications.
- III.
- Post-operative characteristics: post-operative BCVA (logMAR) and complications. The ETDRS (Early Treatment Diabetic Retinopathy Study) logMAR (logarithm of the Minimum Angle of Resolution) test was the standardized visual acuity test used to assess a patient’s pre- and post-operative vision.
2.1. Surgical Technique
2.2. OCT Parameters
2.3. Statistical Analysis
3. Results
3.1. Pre-Operative Clinical Parameters and Visual Outcomes
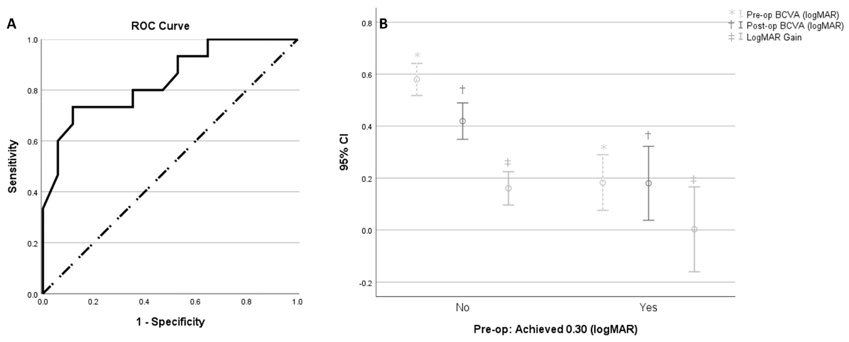
3.2. Pre-Operative OCT Parameters and Visual Outcomes
4. Discussion
5. Conclusions
Supplementary Materials
Author Contributions
Funding
Institutional Review Board Statement
Informed Consent Statement
Data Availability Statement
Conflicts of Interest
References
- Witkin, A.J.; Ko, T.H.; Fujimoto, J.G.; Schuman, J.S.; Baumal, C.R.; Rogers, A.H.; Reichel, E.; Duker, J.S. Redefining lamellar holes and the vitreomacular interface: An ultrahigh-resolution optical coherence tomography study. Ophthalmology 2006, 113, 388–397. [Google Scholar] [CrossRef] [PubMed]
- Hubschman, J.P.; Govetto, A.; Spaide, R.F.; Schumann, R.; Steel, D.; Figueroa, M.S.; Sebag, J.; Gaudric, A.; Staurenghi, G.; Haritoglou, C.; et al. Optical coherence tomography-based consensus definition for lamellar macular hole. Br. J. Ophthalmol. 2020, 104, 1741–1747. [Google Scholar] [CrossRef] [PubMed]
- Duker, J.S.; Kaiser, P.K.; Binder, S.; de Smet, M.D.; Gaudric, A.; Reichel, E.; Sadda, S.R.; Sebag, J.; Spaide, R.F.; Stalmans, P. The International Vitreomacular Traction Study Group classification of vitreomacular adhesion, traction, and macular hole. Ophthalmology 2013, 120, 2611–2619. [Google Scholar] [CrossRef] [PubMed]
- Govetto, A.; Dacquay, Y.; Farajzadeh, M.; Platner, E.; Hirabayashi, K.; Hosseini, H.; Schwartz, S.D.; Hubschman, J.P. Lamellar Macular Hole: Two Distinct Clinical Entities? Am. J. Ophthalmol. 2016, 164, 99–109. [Google Scholar] [CrossRef] [PubMed]
- Catania, F.; Romano, M.R.; Crincoli, E.; Allegrini, D.; Miere, A.; Chehaibou, I.; Abdelmassih, Y.; Beaumont, W.; Chapron, T.; Souied, E.H.; et al. Phenomenology of spontaneous closure in degenerative and mixed type lamellar macular hole. Eye 2024, 38, 315–320. [Google Scholar] [CrossRef] [PubMed]
- Taşlıpınar Uzel, A.G.; Gelisken, F.; Kühlewein, L.; Neubauer, J. Volumetric analysis of lamellar macular hole: An Optical Coherence Tomography Study. Retina 2023, 43, 209–214. [Google Scholar] [CrossRef] [PubMed]
- Figueroa, M.S.; Govetto, A.; Steel, D.H.; Sebag, J.; Virgili, G.; Hubschman, J.P. Pars plana vitrectomy for the treatment of tractional and degenerative lamellar macular holes: Functional and Anatomical Results. Retina 2019, 39, 2090–2098. [Google Scholar] [CrossRef] [PubMed]
- Parisi, G.; Fallico, M.; Maugeri, A.; Barchitta, M.; Agodi, A.; Russo, A.; Longo, A.; Avitabile, T.; Castellino, N.; Bonfiglio, V.; et al. Primary vitrectomy for degenerative and tractional lamellar macular holes: A systematic review and meta-analysis. PLoS ONE 2021, 16, e0246667. [Google Scholar] [CrossRef]
- Morescalchi, F.; Russo, A.; Gambicorti, E.; Cancarini, A.; Scaroni, N.; Bahja, H.; Costagliola, C.; Semeraro, F. Peeling of the internal limiting membrane with foveal sparing for treatment of degenerative lamellar macular hole. Retina 2020, 40, 1087–1093. [Google Scholar] [CrossRef]
- Lee, C.S.; Koh, H.J.; Lim, H.T.; Lee, K.S.; Lee, S.C. Prognostic factors in vitrectomy for lamellar macular hole assessed by spectral-domain optical coherence tomography. Acta Ophthalmol. 2012, 90, e597–e602. [Google Scholar] [CrossRef]
- Lai, T.T.; Chen, S.N.; Yang, C.M. Epiretinal proliferation in lamellar macular holes and full-thickness macular holes: Clinical and surgical findings. Graefes Arch. Clin. Exp. Ophthalmol. 2016, 254, 629–638. [Google Scholar] [CrossRef] [PubMed]
- Lippera, M.; Ferrara, M.; Spiess, K.; Alnafisee, N.; Ally, N.; Jalil, A.; Ivanova, T.; Moussa, G. Novel OCT-Based Method to Measure Volumes of Retinal Specific Entities. Preprints 2024, 2024061063. [Google Scholar] [CrossRef]
- Ko, J.; Kim, G.A.; Lee, S.C.; Lee, J.; Koh, H.J.; Kim, S.S.; Byeon, S.H.; Lee, C.S. Surgical outcomes of lamellar macular holes with and without lamellar hole-associated epiretinal proliferation. Acta Ophthalmol. 2017, 95, e221–e226. [Google Scholar] [CrossRef]
- Venkatesh, R.; Pereira, A.; Jain, K.; Kumar Yadav, N. Structural and Functional Outcomes of Surgery for Lamellar Macular Holes with or without Epimacular Proliferations. J. Ophthalmic Vis. Res. 2022, 17, 42–50. [Google Scholar] [CrossRef] [PubMed]
- Murphy, D.C.; Rees, J.; Steel, D.H. Surgical interventions for lamellar macular holes. Cochrane Database Syst. Rev. 2021, 2021, CD013678. [Google Scholar]
- Pertile, G.; Iacovello, D.; Maraone, G.; Bottega, E.; Guerriero, M.; Maggio, E. Lamellar macular defects: Are degenerative lamellar macular holes truly degenerative? Front. Med. 2023, 10, 1156410. [Google Scholar] [CrossRef] [PubMed]
- Coassin, M.; Mastrofilippo, V.; Stewart, J.M.; Fanti, A.; Belpoliti, M.; Cimino, L.; Iovieno, A.; Fontana, L. Lamellar macular holes: Surgical outcome of 106 patients with long-term follow-up. Graefes Arch. Clin. Exp. Ophthalmol. 2018, 256, 1265–1273. [Google Scholar] [CrossRef] [PubMed]
- Frisina, R.; Tozzi, L.; Gius, I.; Pilotto, E.; Midena, E. Novel approaches to the assessment and treatment of lamellar macular hole. Acta Ophthalmol. 2022, 100, e1287–e1297. [Google Scholar] [CrossRef]
- Haave, H.; Petrovski, B.É.; Zając, M.; Lumi, X.; Melekidou, W.; Lytvynchuk, L.; Ruban, A.; Znaor, L.; Nawrocki, J.; Nawrocka, Z.A.; et al. Outcomes from the Retrospective Multicenter Cross-Sectional Study on Lamellar Macular Hole Surgery. Clin. Ophthalmol. 2022, 16, 1847–1860. [Google Scholar] [CrossRef]
- Kanai, M.; Sakimoto, S.; Takahashi, S.; Nishida, K.; Maruyama, K.; Sato, S.; Sakaguchi, H.; Nishida, K. Embedding Technique versus Conventional Internal Limiting Membrane Peeling for Lamellar Macular Holes with Epiretinal Proliferation. Ophthalmol. Retina 2023, 7, 44–51. [Google Scholar] [CrossRef]
- Chehaibou, I.; Tadayoni, R.; Hubschman, J.P.; Bottoni, F.; Caputo, G.; Chang, S.; Dell’Omo, R.; Figueroa, M.S.; Gaudric, A.; Haritoglou, C.; et al. Natural History and Surgical Outcomes of Lamellar Macular Holes. Ophthalmol. Retina 2024, 8, 210–222. [Google Scholar] [CrossRef] [PubMed]
- Parolini, B.; Schumann, R.G.; Cereda, M.G.; Haritoglou, C.; Pertile, G. Lamellar macular hole: A clinicopathologic correlation of surgically excised epiretinal membranes. Invest. Ophthalmol. Vis. Sci. 2011, 52, 9074–9083. [Google Scholar] [CrossRef] [PubMed]
- Witkin, A.J.; Castro, L.C.; Reichel, E.; Rogers, A.H.; Baumal, C.R.; Duker, J.S. Anatomic and visual outcomes of vitrectomy for lamellar macular holes. Ophthalmic Surg. Lasers Imaging 2010, 41, 418–424. [Google Scholar] [CrossRef] [PubMed]
- Khodabande, A.; Riazi-Esfahani, H.; Ghassemi, H.; Mirzaei, A.; Abbas, H.; Mirghorbani, M. Structural and functional outcomes of pars plana vitrectomy in patients with lamellar macular hole. Taiwan. J. Ophthalmol. 2022, 12, 430–436. [Google Scholar] [PubMed]
- Omoto, T.; Asahina, Y.; Zhou, H.P.; Fujino, R.; Takao, M.; Obata, R.; Inoue, T.; Asaoka, R.; Maruyama-Inoue, M.; Yanagi, Y.; et al. Visual outcomes and prognostic factors of vitrectomy for lamellar macular holes and epiretinal membrane foveoschisis. PLoS ONE 2021, 16, e0247509. [Google Scholar] [CrossRef] [PubMed]
- Su, Y.T.; Yang, C.M.; Lai, T.T. Multimodel Imaging Evidence of Traction Component in Lamellar Macular Hole with Epiretinal Proliferation. Ophthalmic Res. 2023, 66, 835–845. [Google Scholar] [CrossRef] [PubMed]
- Abousy, M.; Drew-Bear, L.E.; Gibbons, A.; Pan-Doh, N.; Li, X.; Handa, J.T. In-Depth Analysis of Pre-Operative OCT Markers as Prognostic Factors for Lamellar Macular Holes and Epiretinal Membrane Foveoschisis. Ophthalmol. Retina 2024, 8, 465–472. [Google Scholar] [CrossRef] [PubMed]
- Holland, L.; Chen, J.C.; Lee, L.R. Anatomical and Functional Outcomes of Pars Plana Vitrectomy for Lamellar Macular Defects. Asia Pac. J. Ophthalmol. 2015, 4, 134–139. [Google Scholar] [CrossRef] [PubMed]
- Westreich, D.; Greenland, S. The Table 2 fallacy: Presenting and interpreting confounder and modifier coefficients. Am. J. Epidemiol. 2013, 177, 292–298. [Google Scholar] [CrossRef]
- dell’Omo, R.; Virgili, G.; Rizzo, S.; De Turris, S.; Coclite, G.; Giorgio, D.; Dell’Omo, E.; Costagliola, C. Role of Lamellar Hole-Associated Epiretinal Proliferation in Lamellar Macular Holes. Am. J. Ophthalmol. 2017, 175, 16–29. [Google Scholar] [CrossRef]
- Compera, D.; Schumann, R.G.; Cereda, M.G.; Acquistapace, A.; Lita, V.; Priglinger, S.G.; Staurenghi, G.; Bottoni, F. Progression of lamellar hole-associated epiretinal proliferation and retinal changes during long-term follow-up. Br. J. Ophthalmol. 2018, 102, 84–90. [Google Scholar] [CrossRef] [PubMed]
- Theodossiadis, P.G.; Grigoropoulos, V.G.; Emfietzoglou, I.; Nikolaidis, P.; Vergados, I.; Apostolopoulos, M.; Theodossiadis, G.P. Evolution of lamellar macular hole studied by optical coherence tomography. Graefes Arch. Clin. Exp. Ophthalmol. 2009, 247, 13–20. [Google Scholar] [CrossRef] [PubMed]
- Colakoglu, A.; Balci Akar, S. Potential role of Müller cells in the pathogenesis of macropsia associated with epiretinal membrane: A hypothesis revisited. Int. J. Ophthalmol. 2017, 10, 1759–1767. [Google Scholar] [PubMed]
- Kim, J.H.; Kim, Y.M.; Chung, E.J.; Lee, S.Y.; Koh, H.J. Structural and functional predictors of visual outcome of epiretinal membrane surgery. Am. J. Ophthalmol. 2012, 153, 103–110.e1. [Google Scholar] [CrossRef] [PubMed]




| Total | D-LMH | ERM-FS | p Value | |
|---|---|---|---|---|
| Total | 31 | 14 | 17 | - |
| Baseline Characteristics | ||||
| Age (years) | 69 (9) | 65 (8) | 73 (8) | 0.016 |
| Gender (% male) | 10 (32%) | 6 (43%) | 4 (24%) | 0.441 |
| Laterality (% right) | 14 (45%) | 8 (57%) | 6 (35%) | 0.289 |
| Phakic (% yes) | 21 (68%) | 12 (86%) | 9 (53%) | 0.068 |
| Ellipsoid Zone | ||||
| Normal | 20 (65%) | 7 (50%) | 13 (77%) | 0.153 |
| Disrupted | 8 (26%) | 6 (43%) | 2 (12%) | 0.097 |
| Absent | 3 (10%) | 1 (7%) | 2 (12%) | 1.000 |
| External Limiting Membrane | ||||
| Normal | 22 (71%) | 9 (64%) | 13 (77%) | 0.693 |
| Disrupted | 6 (19%) | 3 (21%) | 3 (18%) | 1.000 |
| Absent | 3 (10%) | 2 (14%) | 1 (6%) | 0.576 |
| ERP (% yes) | 13 (42%) | 9 (64%) | 4 (24%) | 0.033 |
| Pre-operative BCVA (logMAR) | 0.49 (0.22) | 0.50 (0.24) | 0.49 (0.20) | 0.897 |
| Central Retinal Thickness | 197 (82) | 166 (41) | 223 (99) | 0.052 |
| Minimum Retinal Thickness | 155 (74) | 110 (36) | 191 (78) | 0.001 |
| Cavity or schisis max horizontal diameter | 1292 (617) | 967 (473) | 1560 (603) | 0.006 |
| Cavity or schisis min horizontal diameter | 428 (212) | 490 (249) | 377 (166) | 0.139 |
| ONL Average Thickness | 102 (20) | 90 (13) | 113 (19) | <0.001 |
| Foveal Cavity Volume | 0.0716 (0.0426) | 0.0716 (0.0426) | - | - |
| Schitic Volume | 0.1057 (0.0860) | - | 0.1057 (0.0860) | - |
| ERP Volume | 0.0632 (0.0811) | 0.0783 (0.0929) | 0.0292 (0.0324) | 0.044 |
| Foveal ONL Volume | 0.0803 (0.0176) | 0.0700 (0.0118) | 0.0888 (0.0173) | 0.002 |
| Central Retinal Volume | 2.7945 (0.4031) | 2.6509 (0.4442) | 2.9127 (0.3339) | 0.071 |
| Visual outcomes | ||||
| Post-operative BCVA (logMAR) | 0.37 (0.19) | 0.42 (0.18) | 0.32 (0.20) | 0.184 |
| LogMAR gain | 0.12 (0.17) | 0.08 (0.14) | 0.16 (0.18) | 0.184 |
| Univariate | Multivariate | |||
|---|---|---|---|---|
| Independent Variable | Post-Operative BCVA (r) | p Value | B Coefficient (95% CI) | p Value |
| Pre-operative BCVA (logMAR) | 0.666 | <0.001 | 0.316 (0.155 to 0.477) | 0.008 |
| Combined Phacovitrectomy | 0.33 (0.16) * | 0.195 * | −0.064 (−0.123 to −0.008) | 0.118 |
| Pseudophakic baseline | 0.43 (0.24) * | - | - | |
| ERP (present) | 0.47 (0.19) * | 0.006 * | 0.155 (0.082 to 0.227) | 0.002 |
| ERP (absent) | 0.29 (0.15) * | - | - | |
| Volume of ERP | 0.203 | 0.274 | - | - |
| D-LMH | 0.169 | 0.564 | −0.793 (−1.629 to 0.013) | 0.226 |
| ERM-FS | 0.117 | 0.655 | −7.116 (−8.401 to −5.765) | <0.001 |
| Volume of Foveal Cavity (D-LMH) | 0.033 | 0.91 | 1.335 (0.425 to 2.245) | 0.032 |
| Schitic Volume (ERM-FS) | 0.618 | 0.008 | 1.197 (0.831 to 1.551) | <0.001 |
| Retinal Volume | −0.272 | 0.138 | - | - |
| D-LMH | −0.141 | 0.63 | −0.201 (−0.332 to −0.076) | 0.034 |
| ERM-FS | −0.284 | 0.27 | −0.370 (−0.509 to −0.232) | <0.001 |
| ONL Volume | −0.004 | 0.981 | - | - |
| D-LMH | 0.089 | 0.763 | 4.994 (−1.241 to 11.104) | 0.236 |
| ERM-FS | 0.194 | 0.457 | 9.486 (7.291 to 11.416) | <0.001 |
Disclaimer/Publisher’s Note: The statements, opinions and data contained in all publications are solely those of the individual author(s) and contributor(s) and not of MDPI and/or the editor(s). MDPI and/or the editor(s) disclaim responsibility for any injury to people or property resulting from any ideas, methods, instructions or products referred to in the content. |
© 2024 by the authors. Licensee MDPI, Basel, Switzerland. This article is an open access article distributed under the terms and conditions of the Creative Commons Attribution (CC BY) license (https://creativecommons.org/licenses/by/4.0/).
Share and Cite
Lippera, M.; Moussa, G.; Ivanova, T.; Ferrara, M.; Spiess, K.; Ally, N.; Jasani, K.; Dhawahir-Scala, F.; Patton, N.; Jalil, A. Volumetric Biomarkers of Visual Outcome after Surgical Repair in Lamellar Macular Holes. J. Pers. Med. 2024, 14, 755. https://doi.org/10.3390/jpm14070755
Lippera M, Moussa G, Ivanova T, Ferrara M, Spiess K, Ally N, Jasani K, Dhawahir-Scala F, Patton N, Jalil A. Volumetric Biomarkers of Visual Outcome after Surgical Repair in Lamellar Macular Holes. Journal of Personalized Medicine. 2024; 14(7):755. https://doi.org/10.3390/jpm14070755
Chicago/Turabian StyleLippera, Myrta, George Moussa, Tsveta Ivanova, Mariantonia Ferrara, Karina Spiess, Naseer Ally, Kirti Jasani, Felipe Dhawahir-Scala, Niall Patton, and Assad Jalil. 2024. "Volumetric Biomarkers of Visual Outcome after Surgical Repair in Lamellar Macular Holes" Journal of Personalized Medicine 14, no. 7: 755. https://doi.org/10.3390/jpm14070755
APA StyleLippera, M., Moussa, G., Ivanova, T., Ferrara, M., Spiess, K., Ally, N., Jasani, K., Dhawahir-Scala, F., Patton, N., & Jalil, A. (2024). Volumetric Biomarkers of Visual Outcome after Surgical Repair in Lamellar Macular Holes. Journal of Personalized Medicine, 14(7), 755. https://doi.org/10.3390/jpm14070755

