Is an Elevated Preoperative CRP Level a Predictive Factor for Wound Healing Disorders following Lumbar Spine Surgery?
Abstract
1. Introduction
2. Materials and Methods
- (a)
- Purulent discharge from the superficial wound area, possibly from below, or pus discharge from the internal drain.
- (b)
- Patients experiencing postoperative pain and new complaints displaying typical signs of inflammation in the wound area, such as erythema and hyperthermia, along with serologically typical signs of infection, including a renewed increase in inflammatory parameters (CRP, leukocytes).
- (c)
- In instances of the mentioned criteria, neurological complaints, or persistent lower back pain, MRI imaging was performed postoperatively to rule out potential complications related to wound healing or infection.
Statistical Analysis
3. Results
4. Discussion
5. Conclusions
Author Contributions
Funding
Institutional Review Board Statement
Informed Consent Statement
Data Availability Statement
Conflicts of Interest
References
- Ciol, M.A.; Deyo, R.A.; Howell, E.; Kreif, S. An assessment of surgery for spinal stenosis: Time trends, geographic variations, complications, and reoperations. J. Am. Geriatr. Soc. 1996, 44, 285–290. [Google Scholar] [CrossRef]
- Stolke, D.; Sollmann, W.P.; Seifert, V. Intra- and postoperative complications in lumbar disc surgery. Spine 1989, 14, 56–59. [Google Scholar] [CrossRef] [PubMed]
- Behnke, M.; Hansen, S.; Leistner, R.; Diaz, L.A.; Gropmann, A.; Sohr, D.; Gastmeier, P.; Piening, B. Nosocomial infection and antibiotic use: A second national prevalence study in Germany. Dtsch. Arztebl. Int. 2013, 110, 627–633. [Google Scholar] [CrossRef][Green Version]
- Patel, H.; Khoury, H.; Girgenti, D.; Welner, S.; Yu, H. Burden of Surgical Site Infections Associated with Select Spine Operations and Involvement of Staphylococcus aureus. Surg. Infect. 2017, 18, 461–473. [Google Scholar] [CrossRef]
- Petilon, J.M.; Glassman, S.D.; Dimar, J.R.; Carreon, L.Y. Clinical outcomes after lumbar fusion complicated by deep wound infection: A case-control study. Spine 2012, 37, 1370–1374. [Google Scholar] [CrossRef]
- Pull ter Gunne, A.F.; Cohen, D.B. Incidence, prevalence, and analysis of risk factors for surgical site infection following adult spinal surgery. Spine 2009, 34, 1422–1428. [Google Scholar] [CrossRef] [PubMed]
- Olsen, M.A.; Nepple, J.J.; Riew, K.D.; Lenke, L.G.; Bridwell, K.H.; Mayfield, J.; Fraser, V.J. Risk factors for surgical site infection following orthopaedic spinal operations. J. Bone Jt. Surg. Am. 2008, 90, 62–69. [Google Scholar] [CrossRef]
- Erman, T.; Demirhindi, H.; Göçer, A.I.; Tuna, M.; Ildan, F.; Boyar, B. Risk factors for surgical site infections in neurosurgery patients with antibiotic prophylaxis. Surg. Neurol. 2005, 63, 107–112; discussion 112–113. [Google Scholar] [CrossRef]
- Deng, H.; Chan, A.K.; Ammanuel, S.; Chan, A.Y.; Oh, T.; Skrehot, H.C.; Edwards, S.; Kondapavulur, S.; Nichols, A.D.; Liu, C.; et al. Risk factors for deep surgical site infection following thoracolumbar spinal surgery. J. Neurosurg. Spine 2019, 32, 292–301. [Google Scholar] [CrossRef]
- Fei, Q.; Li, J.; Lin, J.; Li, D.; Wang, B.; Meng, H.; Wang, Q.; Su, N.; Yang, Y. Risk Factors for Surgical Site Infection After Spinal Surgery: A Meta-Analysis. World Neurosurg. 2016, 95, 507–515. [Google Scholar] [CrossRef] [PubMed]
- Kobayashi, Y.; Inose, H.; Ushio, S.; Yuasa, M.; Hirai, T.; Yoshii, T.; Okawa, A. Body Mass Index and Modified Glasgow Prognostic Score Are Useful Predictors of Surgical Site Infection After Spinal Instrumentation Surgery: A Consecutive Series. Spine 2020, 45, E148–E154. [Google Scholar] [CrossRef] [PubMed]
- Chahoud, J.; Kanafani, Z.; Kanj, S.S. Surgical site infections following spine surgery: Eliminating the controversies in the diagnosis. Front. Med. 2014, 1, 7. [Google Scholar] [CrossRef]
- Aljabi, Y.; Manca, A.; Ryan, J.; Elshawarby, A. Value of procalcitonin as a marker of surgical site infection following spinal surgery. Surgeon 2019, 17, 97–101. [Google Scholar] [CrossRef]
- Kurokawa, Y.; Yamashita, K.; Kawabata, R.; Fujita, J.; Imamura, H.; Takeno, A.; Takahashi, T.; Yamasaki, M.; Eguchi, H.; Doki, Y. Prognostic value of postoperative C-reactive protein elevation versus complication occurrence: A multicenter validation study. Gastric Cancer 2020, 23, 937–943. [Google Scholar] [CrossRef]
- Chen, Y.; Zhao, Y.; Liu, J.; Teng, Y.; Ou, M.; Hao, X. Predictive value of perioperative procalcitonin, C reactive protein and high-sensitivity C reactive protein for the risk of postoperative complications after non-cardiac surgery in elderly patients: A nested case-control study. BMJ Open 2023, 13, e071464. [Google Scholar] [CrossRef] [PubMed]
- Hoeller, S.; Roch, P.J.; Weiser, L.; Hubert, J.; Lehmann, W.; Saul, D. C-reactive protein in spinal surgery: More predictive than prehistoric. Eur. Spine J. 2021, 30, 1261–1269. [Google Scholar] [CrossRef]
- Mujagic, E.; Marti, W.R.; Coslovsky, M.; Zeindler, J.; Staubli, S.; Marti, R.; Mechera, R.; Soysal, S.D.; Gürke, L.; Weber, W.P. The role of preoperative blood parameters to predict the risk of surgical site infection. Am. J. Surg. 2018, 215, 651–657. [Google Scholar] [CrossRef]
- Gaynes, R.P.; Culver, D.H.; Horan, T.C.; Edwards, J.R.; Richards, C.; Tolson, J.S. Surgical site infection (SSI) rates in the United States, 1992–1998: The National Nosocomial Infections Surveillance System basic SSI risk index. Clin. Infect. Dis. 2001, 33 (Suppl. S2), S69–S77. [Google Scholar] [CrossRef]
- Abbey, D.M.; Turner, D.M.; Warson, J.S.; Wirt, T.C.; Scalley, R.D. Treatment of postoperative wound infections following spinal fusion with instrumentation. J. Spinal Disord. 1995, 8, 278–283. [Google Scholar] [CrossRef] [PubMed]
- Picada, R.; Winter, R.B.; Lonstein, J.E.; Denis, F.; Pinto, M.R.; Smith, M.D.; Perra, J.H. Postoperative deep wound infection in adults after posterior lumbosacral spine fusion with instrumentation: Incidence and management. J. Spinal Disord. 2000, 13, 42–45. [Google Scholar] [CrossRef]
- Wimmer, C.; Gluch, H.; Franzreb, M.; Ogon, M. Predisposing factors for infection in spine surgery: A survey of 850 spinal procedures. J. Spinal Disord. 1998, 11, 124–128. [Google Scholar] [CrossRef]
- Weinstein, M.A.; McCabe, J.P.; Cammisa, F.P., Jr. Postoperative spinal wound infection: A review of 2,391 consecutive index procedures. J. Spinal Disord. 2000, 13, 422–426. [Google Scholar] [CrossRef] [PubMed]
- Petignat, C.; Francioli, P.; Harbarth, S.; Regli, L.; Porchet, F.; Reverdin, A.; Rilliet, B.; de Tribolet, N.; Pannatier, A.; Pittet, D.; et al. Cefuroxime prophylaxis is effective in noninstrumented spine surgery: A double-blind, placebo-controlled study. Spine 2008, 33, 1919–1924. [Google Scholar] [CrossRef]
- Kanafani, Z.A.; Dakdouki, G.K.; El-Dbouni, O.; Bawwab, T.; Kanj, S.S. Surgical site infections following spinal surgery at a tertiary care center in Lebanon: Incidence, microbiology, and risk factors. Scand. J. Infect. Dis. 2006, 38, 589–592. [Google Scholar] [CrossRef]
- Kang, B.U.; Lee, S.H.; Ahn, Y.; Choi, W.C.; Choi, Y.G. Surgical site infection in spinal surgery: Detection and management based on serial C-reactive protein measurements. J. Neurosurg. Spine 2010, 13, 158–164. [Google Scholar] [CrossRef]
- Blam, O.G.; Vaccaro, A.R.; Vanichkachorn, J.S.; Albert, T.J.; Hilibrand, A.S.; Minnich, J.M.; Murphey, S.A. Risk factors for surgical site infection in the patient with spinal injury. Spine 2003, 28, 1475–1480. [Google Scholar] [CrossRef] [PubMed]
- Jiang, W.; Shi, H.; Deng, X.; Hou, W.; Wan, D. The incidence of incision infections after lumbar fusion and the significance of dynamically monitoring serum albumin and C-reactive protein levels. Ann. Palliat. Med. 2021, 10, 10870–10877. [Google Scholar] [CrossRef]
- Sharouf, F.; Hussain, R.N.; Hettipathirannahelage, S.; Martin, J.; Gray, W.; Zaben, M. C-reactive protein kinetics post elective cranial surgery. A prospective observational study. Br. J. Neurosurg. 2020, 34, 46–50. [Google Scholar] [CrossRef]
- Fujita, R.; Takahata, M.; Kokabu, T.; Oda, I.; Kajino, T.; Hisada, Y.; Takeuchi, H.; Iwasaki, N. Retrospective study to evaluate the clinical significance of a second rise in C-reactive protein level following instrumented spinal fusion surgery. J. Orthop. Sci. 2019, 24, 963–968. [Google Scholar] [CrossRef]
- Fransen, E.J.; Maessen, J.G.; Elenbaas, T.W.; van Aarnhem, E.E.; van Dieijen-Visser, M.P. Enhanced preoperative C-reactive protein plasma levels as a risk factor for postoperative infections after cardiac surgery. Ann. Thorac. Surg. 1999, 67, 134–138. [Google Scholar] [CrossRef]
- Boeken, U.; Feindt, P.; Zimmermann, N.; Kalweit, G.; Petzold, T.; Gams, E. Increased preoperative C-reactive protein (CRP)-values without signs of an infection and complicated course after cardiopulmonary bypass (CPB)-operations. Eur. J. Cardiothorac. Surg. 1998, 13, 541–545. [Google Scholar] [CrossRef] [PubMed]
- Haupt, W.; Hohenberger, W.; Mueller, R.; Klein, P.; Christou, N.V. Association between preoperative acute phase response and postoperative complications. Eur. J. Surg. 1997, 163, 39–44. [Google Scholar] [PubMed]
- Vinnes, E.W.; Soldal Lillemoen, P.K.; Persson, R.M.; Meyer, K.; Haaverstad, R.; Bjørke-Monsen, A.L. A novel case of impaired C-reactive protein response following open-heart surgery: A case report and review of the literature. Clin. Chim. Acta 2021, 520, 196–201. [Google Scholar] [CrossRef] [PubMed]
- Sahin, V.; Akpinar, M.B.; Sevim, E.; Uyar, I.S.; Abacilar, A.F.; Uc, H.; Tetik, F.; Damar, E.; Okur, F.F.; Alayunt, E.A. Preoperative CRP levels is not predictive early renal dysfunction after coronary artery bypass surgery. Int. J. Clin. Exp. Med. 2015, 8, 4146–4151. [Google Scholar] [PubMed]
- Cui, P.; Wang, P.; Hu, X.; Kong, C.; Lu, S. Comparison of Perioperative Outcomes in Patients Undergoing Short-Level Lumbar Fusion Surgery after Implementing Enhanced Recovery after Surgery: A Propensity Score Matching Analysis Focusing on Young-Old and Old-Old. Clin. Interv. Aging 2022, 17, 1793–1801. [Google Scholar] [CrossRef] [PubMed]
- Kim, J.H.; Ha, S.W.; Choi, J.G.; Son, B.C. Chronological Changes of C-Reactive Protein Levels following Uncomplicated, Two-Staged, Bilateral Deep Brain Stimulation. J. Korean Neurosurg. Soc. 2015, 58, 368–372. [Google Scholar] [CrossRef] [PubMed]
- Okafor, B.; MacLellan, G. Postoperative changes of erythrocyte sedimentation rate, plasma viscosity and C-reactive protein levels after hip surgery. Acta Orthop. Belg. 1998, 64, 52–56. [Google Scholar] [PubMed]
- Jenny, J.Y.; Gaudias, J.; Bourguignat, A.; Férard, G.; Kempf, I. C-reactive protein and transthyretin in early diagnosis of infection after open fractures of the lower limbs (a preliminary study). Rev. Chir. Orthop. Reparatrice Appar. Mot. 1999, 85, 321–327. [Google Scholar] [PubMed]
- Margheritini, F.; Camillieri, G.; Mancini, L.; Mariani, P.P. C-reactive protein and erythrocyte sedimentation rate changes following arthroscopically assisted anterior cruciate ligament reconstruction. Knee Surg. Sports Traumatol. Arthrosc. 2001, 9, 343–345. [Google Scholar] [CrossRef]
- Ji, L.S.; Lu, T.S.; Wang, Y.P.; Jia, Y.J.; Yang, J.W.; Ma, Y.; Liu, H.E.; Luo, C.S. The role of lymphocyte count in the early diagnosis of surgical site infection following posterior lumbar fusion. Eur. Rev. Med. Pharmacol. Sci. 2023, 27, 3941–3946. [Google Scholar] [CrossRef]
- Abt, N.B.; Sethi, R.K.; Puram, S.V.; Varvares, M.A. Preoperative laboratory data are associated with complications and surgical site infection in composite head and neck surgical resections. Am. J. Otolaryngol. 2018, 39, 261–265. [Google Scholar] [CrossRef]
- Gerometta, A.; Rodriguez Olaverri, J.C.; Bitan, F. Infections in spinal instrumentation. Int. Orthop. 2012, 36, 457–464. [Google Scholar] [CrossRef]
- Levi, A.D.; Dickman, C.A.; Sonntag, V.K. Management of postoperative infections after spinal instrumentation. J. Neurosurg. 1997, 86, 975–980. [Google Scholar] [CrossRef] [PubMed]
- Lietard, C.; Thébaud, V.; Besson, G.; Lejeune, B. Risk factors for neurosurgical site infections: An 18-month prospective survey. J. Neurosurg. 2008, 109, 729–734. [Google Scholar] [CrossRef] [PubMed]
- Watanabe, M.; Sakai, D.; Matsuyama, D.; Yamamoto, Y.; Sato, M.; Mochida, J. Risk factors for surgical site infection following spine surgery: Efficacy of intraoperative saline irrigation. J. Neurosurg. Spine 2010, 12, 540–546. [Google Scholar] [CrossRef] [PubMed]
- Christodoulou, A.G.; Givissis, P.; Symeonidis, P.D.; Karataglis, D.; Pournaras, J. Reduction of postoperative spinal infections based on an etiologic protocol. Clin. Orthop. Relat. Res. 2006, 444, 107–113. [Google Scholar] [CrossRef] [PubMed]
- Fang, A.; Hu, S.S.; Endres, N.; Bradford, D.S. Risk factors for infection after spinal surgery. Spine 2005, 30, 1460–1465. [Google Scholar] [CrossRef]
- Cavaillon, J.M. Exotoxins and endotoxins: Inducers of inflammatory cytokines. Toxicon 2018, 149, 45–53. [Google Scholar] [CrossRef]
- Grammatico-Guillon, L.; Baron, S.; Rosset, P.; Gaborit, C.; Bernard, L.; Rusch, E.; Astagneau, P. Surgical site infection after primary hip and knee arthroplasty: A cohort study using a hospital database. Infect. Control Hosp. Epidemiol. 2015, 36, 1198–1207. [Google Scholar] [CrossRef]
- Rao, S.B.; Vasquez, G.; Harrop, J.; Maltenfort, M.; Stein, N.; Kaliyadan, G.; Klibert, F.; Epstein, R.; Sharan, A.; Vaccaro, A.; et al. Risk factors for surgical site infections following spinal fusion procedures: A case-control study. Clin. Infect. Dis. 2011, 53, 686–692. [Google Scholar] [CrossRef]
- Lai, Q.; Song, Q.; Guo, R.; Bi, H.; Liu, X.; Yu, X.; Zhu, J.; Dai, M.; Zhang, B. Risk factors for acute surgical site infections after lumbar surgery: A retrospective study. J. Orthop. Surg. Res. 2017, 12, 116. [Google Scholar] [CrossRef] [PubMed]
- Veeravagu, A.; Patil, C.G.; Lad, S.P.; Boakye, M. Risk factors for postoperative spinal wound infections after spinal decompression and fusion surgeries. Spine 2009, 34, 1869–1872. [Google Scholar] [CrossRef] [PubMed]
- Haleem, A.; Chiang, H.Y.; Vodela, R.; Behan, A.; Pottinger, J.M.; Smucker, J.; Greenlee, J.D.; Clark, C.; Herwaldt, L.A. Risk Factors for Surgical Site Infections Following Adult Spine Operations. Infect. Control Hosp. Epidemiol. 2016, 37, 1458–1467. [Google Scholar] [CrossRef] [PubMed]
- Janssen-Heijnen, M.L.; Maas, H.A.; Houterman, S.; Lemmens, V.E.; Rutten, H.J.; Coebergh, J.W. Comorbidity in older surgical cancer patients: Influence on patient care and outcome. Eur. J. Cancer 2007, 43, 2179–2193. [Google Scholar] [CrossRef] [PubMed]
- Hecker, A.; Hecker, B.; Schwandner, T.; Hecker, M.; Weigand, M.; Padberg, W. Chirurgie bei Patienten mit Vorerkrankungen und Schwangeren. Allg. Visz. Up2date 2012, 6, 231–247. [Google Scholar] [CrossRef]
- Takenaka, S.; Makino, T.; Sakai, Y.; Kashii, M.; Iwasaki, M.; Yoshikawa, H.; Kaito, T. Dural tear is associated with an increased rate of other perioperative complications in primary lumbar spine surgery for degenerative diseases. Medicine 2019, 98, e13970. [Google Scholar] [CrossRef] [PubMed]
- Valentini, L.G.; Casali, C.; Chatenoud, L.; Chiaffarino, F.; Uberti-Foppa, C.; Broggi, G. Surgical site infections after elective neurosurgery: A survey of 1747 patients. Neurosurgery 2008, 62, 88–95; discussion 95–96. [Google Scholar] [CrossRef]
- Mastronardi, L.; Tatta, C. Intraoperative antibiotic prophylaxis in clean spinal surgery: A retrospective analysis in a consecutive series of 973 cases. Surg. Neurol. 2004, 61, 129–135; discussion 135. [Google Scholar] [CrossRef]


| Parameters | Wound Healing Disorder/Infection | No Wound Healing Disorder/Infection | p-Value | |
|---|---|---|---|---|
| N (%) | N (%) | |||
| Mean ± SD | Mean ± SD | |||
| Demographic data | ||||
| Sex | Female | 57 (77.03) | 1392 (47.27) | <0.001 |
| Male | 17 (22.97) | 1553 (52.73) | ||
| Age | 74 (67.8 ± 11.7) | 2929 (60.8 ± 14.8) | <0.001 | |
| ASA Classification | I | 1 (1.39) | 361 (12.30) | <0.001 |
| II | 31 (43.06) | 1869 (63.70) | ||
| III–IV | 40 (55.56) | 704 (23.99) | ||
| Smoker | Yes | 13 (17.57) | 741 (25.16) | 0.173 |
| No | 61 (82.43) | 2204 (74.84) | ||
| BMI | Normal weight | 12 (16.22) | 679 (23.08) | 0.101 |
| Pre-obesity | 25 (33.78) | 1185 (40.28) | ||
| Obesity grade I–III | 37 (50.00) | 1049 (35.66) | ||
| Comorbidities | ||||
| Diabetes | Typ I | 0 (0.00) | 9 (0.31) | 0.012 |
| Typ II | 22 (29.73) | 472 (16.03) | ||
| No | 52 (70.27) | 2464 (83.67) | ||
| Hypertension | Yes | 57 (77.03) | 1640 (55.69) | <0.001 |
| No | 17 (22.97) | 1305 (44.31) | ||
| Cardiovascular diseases | Yes | 30 (40.54) | 659 (22.38) | <0.001 |
| No | 44 (59.46) | 2286 (77.62) | ||
| Chronic inflammation | Yes | 8 (10.81) | 170 (5.77) | 0.078 |
| No | 66 (89.19) | 2775 (94.23) | ||
| Operative Characteristics | ||||
| Injury of the dura during surgery | Yes | 27 (36.49) | 508 (17.25) | <0.001 |
| No | 47 (63.51) | 2437 (82.75) | ||
| Number of operating segments | 1 | 17 (23.29) | 1466 (49.93) | <0.001 |
| 2 | 40 (54.79) | 1225 (41.72) | ||
| ≥3 | 16 (21.92) | 245 (8.34) | ||
| Use of synthetic materials | Yes | 29 (39.19) | 676 (22.95) | 0.002 |
| No | 45 (60.81) | 2269 (77.05) | ||
| Duration of the operation [minutes] | 72 (128.9) | 2655 (125.1) | <0.001 | |
| [122.3; 135.4] | [63.1; 187.0] | |||
| Blood loss during surgery [mL] | 67 (217.9) | 2655 (125.1) | 0.002 | |
| [140.1; 295.6] | [63.1; 187.0] |
| Illnesses | N | % |
|---|---|---|
| Arterial hypertension | 326 | 66.8 |
| Chronic inflammation | 145 | 29.7 |
| Diabetes mellitus | 123 | 25 |
| Dyslipoproteinemia | 4 | 0.82 |
| Patients without previous illnesses | 137 | 28 |
| Wound Healing Disorder/Infection | |||
|---|---|---|---|
| N/Mean [SD] | |||
| Yes | No | p-Value | |
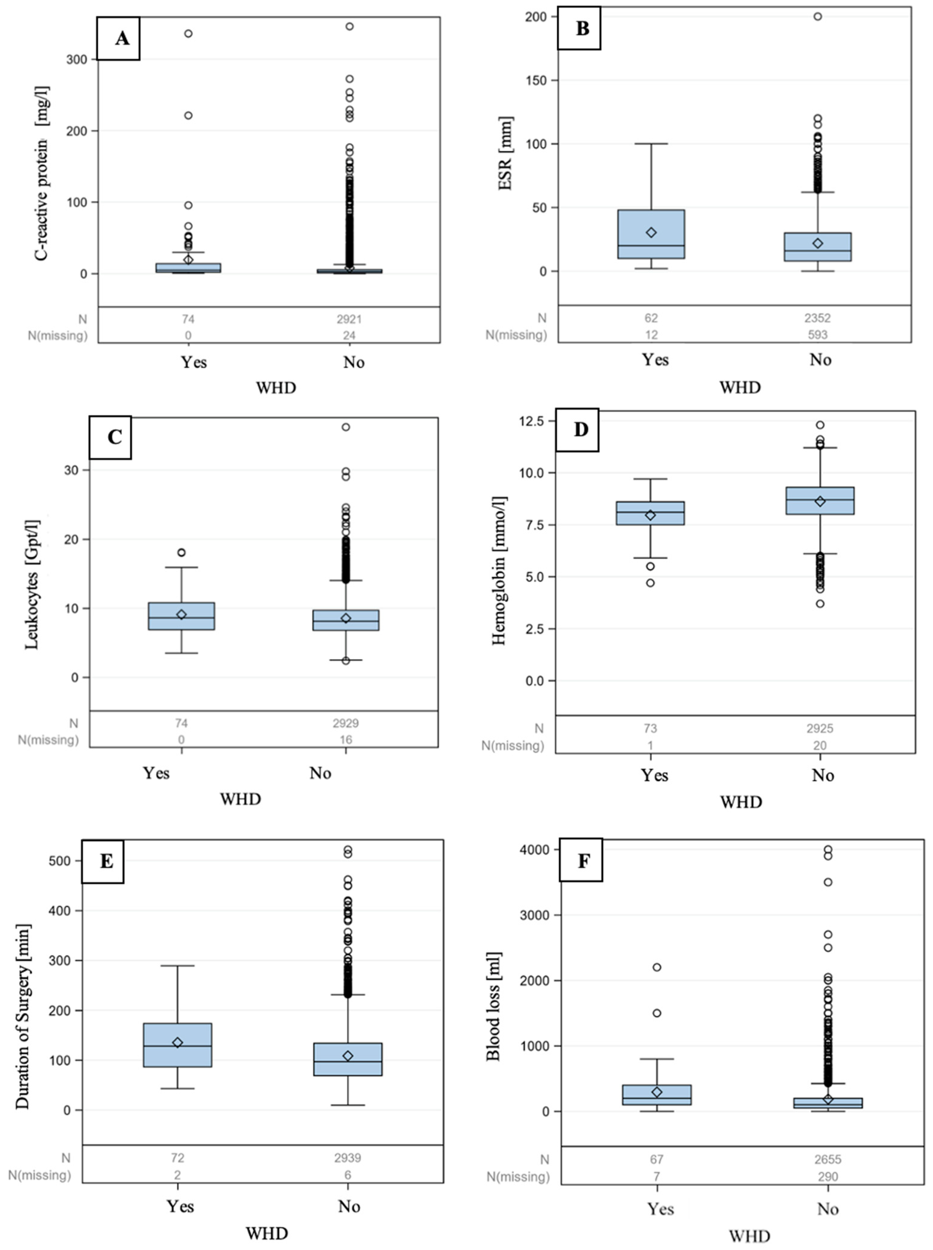
| Duration of the surgery [minutes] | 72/128.9 [122.3; 135.4] | 2939/102.6 [96.5; 108.7] | <0.001 |
| Blood loss [mL] | 67/217.9 [140.1; 295.6] | 2655/125.1 [63.1; 187.0] | 0.002 |
| Blood sedimentation rate [mm] | 62/25.5 [20.6; 30.5] | 2352/18.3 [14.6; 21.9] | 0.008 |
| Hemoglobin [mmol/L] | 73/7.9 [7.9; 8.0] | 2925/8.6 [8.6; 8.6] | <0.001 |
| C-reactive protein [mg/L] | 74/10.4 [1.2; 19.6] | 2921/4.8 [1.3; 8.2] | 0.004 |
| Leukocytes [gpt/L] | 74/8.9 [8.6; 9.1] | 2929/8.4 [8.2; 8.5] | 0.117 |
Disclaimer/Publisher’s Note: The statements, opinions and data contained in all publications are solely those of the individual author(s) and contributor(s) and not of MDPI and/or the editor(s). MDPI and/or the editor(s) disclaim responsibility for any injury to people or property resulting from any ideas, methods, instructions or products referred to in the content. |
© 2024 by the authors. Licensee MDPI, Basel, Switzerland. This article is an open access article distributed under the terms and conditions of the Creative Commons Attribution (CC BY) license (https://creativecommons.org/licenses/by/4.0/).
Share and Cite
Pinchuk, A.; Luchtmann, M.; Neyazi, B.; Dumitru, C.A.; Stein, K.P.; Sandalcioglu, I.E.; Rashidi, A. Is an Elevated Preoperative CRP Level a Predictive Factor for Wound Healing Disorders following Lumbar Spine Surgery? J. Pers. Med. 2024, 14, 667. https://doi.org/10.3390/jpm14070667
Pinchuk A, Luchtmann M, Neyazi B, Dumitru CA, Stein KP, Sandalcioglu IE, Rashidi A. Is an Elevated Preoperative CRP Level a Predictive Factor for Wound Healing Disorders following Lumbar Spine Surgery? Journal of Personalized Medicine. 2024; 14(7):667. https://doi.org/10.3390/jpm14070667
Chicago/Turabian StylePinchuk, Anatoli, Michael Luchtmann, Belal Neyazi, Claudia A. Dumitru, Klaus Peter Stein, Ibrahim Erol Sandalcioglu, and Ali Rashidi. 2024. "Is an Elevated Preoperative CRP Level a Predictive Factor for Wound Healing Disorders following Lumbar Spine Surgery?" Journal of Personalized Medicine 14, no. 7: 667. https://doi.org/10.3390/jpm14070667
APA StylePinchuk, A., Luchtmann, M., Neyazi, B., Dumitru, C. A., Stein, K. P., Sandalcioglu, I. E., & Rashidi, A. (2024). Is an Elevated Preoperative CRP Level a Predictive Factor for Wound Healing Disorders following Lumbar Spine Surgery? Journal of Personalized Medicine, 14(7), 667. https://doi.org/10.3390/jpm14070667

