Low-Carbon Monoxide Diffusing Capacity, Patient-Reported Measures and Reduced Nailfold Capillary Density Are Associated with Interstitial Lung Disease in Systemic Sclerosis
Abstract
1. Introduction
2. Patients and Methods
2.1. Demographic, Clinical and Laboratory Data
2.2. HRCT Assessment and Visual Reader-Based Disease Quantification
2.3. Patient-Reported Measures
2.4. Pulmonary Function Tests
2.5. Nailfold Capillaroscopy
2.6. Statistical Analysis
3. Results
Variables Associated with SSc-ILD
4. Discussion
5. Conclusions
Author Contributions
Funding
Institutional Review Board Statement
Informed Consent Statement
Data Availability Statement
Conflicts of Interest
Appendix A
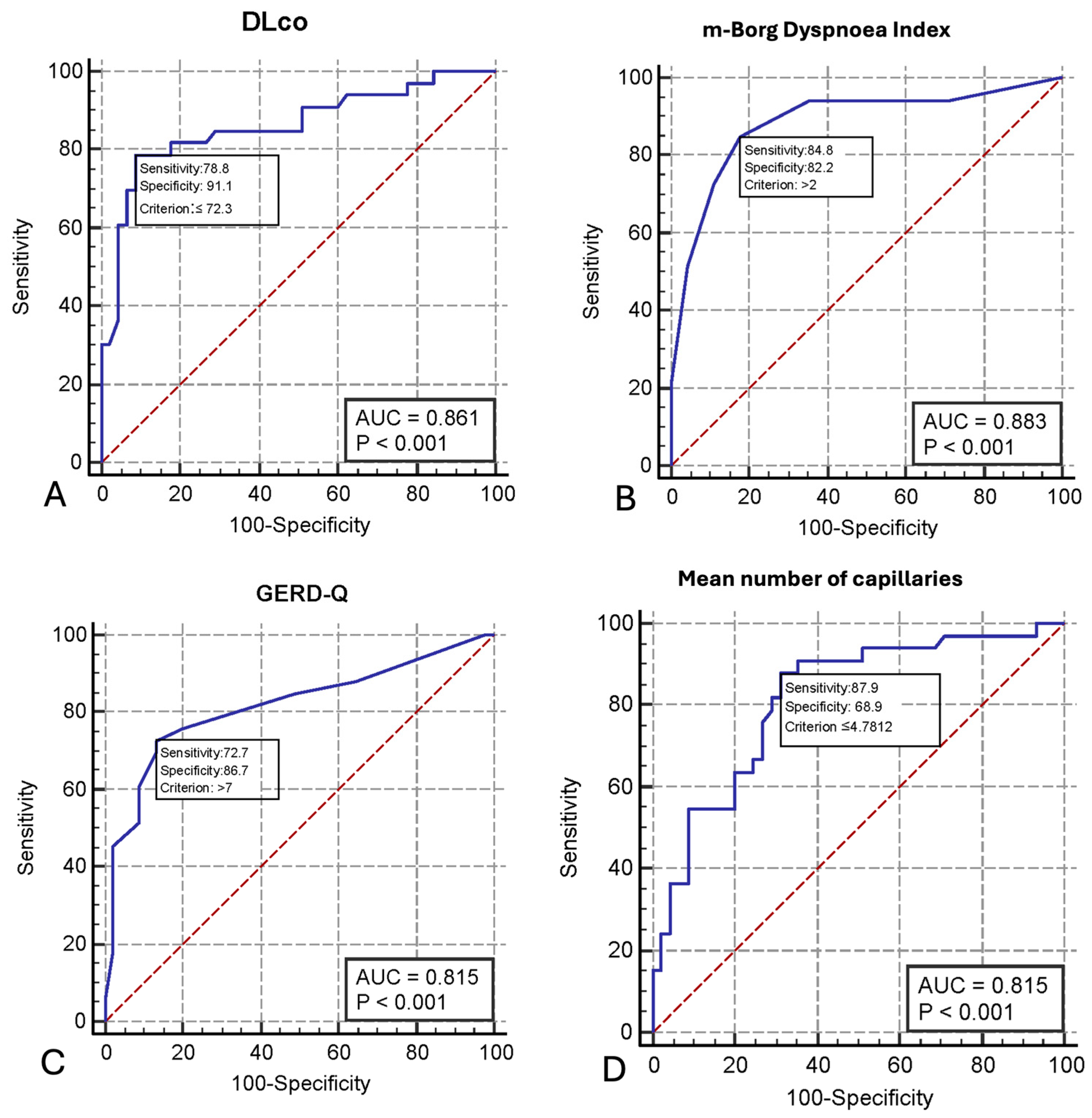
| ROC Curve | ||||||||
|---|---|---|---|---|---|---|---|---|
| Variable | DLco | |||||||
| Classification variable | CUT-OFF ILD | |||||||
| Sample size | 78 | |||||||
| Positive group a | 33 (42.31%) | |||||||
| Negative group b | 45 (57.69%) | |||||||
| a CUT-OFF ILD = 1 | ||||||||
| b CUT-OFF no ILD = 0 | ||||||||
| Area under the ROC curve (AUC) | ||||||||
| Area under the ROC curve (AUC) | 0.861 | |||||||
| Standard error a | 0.0457 | |||||||
| 95% Confidence interval b | 0.771 to 0.950 | |||||||
| z statistic | 7.887 | |||||||
| Significance level p (Area = 0.5) | <0.0001 | |||||||
| a Hanley & McNeil. 1982 | ||||||||
| b AUC ± 1.96 SE | ||||||||
| Youden index | ||||||||
| Youden index J | 0.6990 | |||||||
| Associated criterion | ≤72.3 | |||||||
| Sensitivity | 78.79 | |||||||
| Specificity | 91.11 | |||||||
| Criterion values and coordinates of the ROC curve | ||||||||
| Criterion | Sensitivity | 95% CI | Specificity | 95% CI | +LR | 95% CI | −LR | 95% CI |
| ≤55.2 | 30.30 | 15.6–48.7 | 97.78 | 88.2–99.9 | 13.64 | 1.8–101.4 | 0.71 | 0.6–0.9 |
| ≤56 | 36.36 | 20.4–54.9 | 95.56 | 84.9–99.5 | 8.18 | 2.0–34.1 | 0.67 | 0.5–0.9 |
| ≤60 | 60.61 | 42.1–77.1 | 95.56 | 84.9–99.5 | 13.64 | 3.4–54.3 | 0.41 | 0.3–0.6 |
| ≤61 | 60.61 | 42.1–77.1 | 93.33 | 81.7–98.6 | 9.09 | 2.9–28.1 | 0.42 | 0.3–0.6 |
| ≤66 | 69.70 | 51.3–84.4 | 93.33 | 81.7–98.6 | 10.45 | 3.4–31.9 | 0.32 | 0.2–0.5 |
| ≤67 | 69.70 | 51.3–84.4 | 91.11 | 78.8–97.5 | 7.84 | 3.0–20.5 | 0.33 | 0.2–0.6 |
| ≤72.3 | 78.79 | 61.1–91.0 | 91.11 | 78.8–97.5 | 8.86 | 3.4–23.0 | 0.23 | 0.1–0.5 |
| ≤74 | 78.79 | 61.1–91.0 | 82.22 | 67.9–92.0 | 4.43 | 2.3–8.5 | 0.26 | 0.1–0.5 |
| ≤74.3 | 81.82 | 64.5–93.0 | 82.22 | 67.9–92.0 | 4.60 | 2.4–8.8 | 0.22 | 0.1–0.5 |
| ≤78.5 | 81.82 | 64.5–93.0 | 73.33 | 58.1–85.4 | 3.07 | 1.8–5.1 | 0.25 | 0.1–0.5 |
| ≤79 | 84.85 | 68.1–94.9 | 71.11 | 55.7–83.6 | 2.94 | 1.8–4.7 | 0.21 | 0.09–0.5 |
| ≤82.2 | 84.85 | 68.1–94.9 | 48.89 | 33.7–64.2 | 1.66 | 1.2–2.3 | 0.31 | 0.1–0.7 |
| ≤84.5 | 90.91 | 75.7–98.1 | 48.89 | 33.7–64.2 | 1.78 | 1.3–2.4 | 0.19 | 0.06–0.6 |
| ≤85.4 | 90.91 | 75.7–98.1 | 40.00 | 25.7–55.7 | 1.52 | 1.2–2.0 | 0.23 | 0.07–0.7 |
| ≤88 | 93.94 | 79.8–99.3 | 37.78 | 23.8–53.5 | 1.51 | 1.2–1.9 | 0.16 | 0.04–0.6 |
| ≤90.2 | 93.94 | 79.8–99.3 | 22.22 | 11.2–37.1 | 1.21 | 1.0–1.4 | 0.27 | 0.06–1.2 |
| ≤91 | 96.97 | 84.2–99.9 | 22.22 | 11.2–37.1 | 1.25 | 1.1–1.5 | 0.14 | 0.02–1.0 |
| ≤92.2 | 96.97 | 84.2–99.9 | 15.56 | 6.5–29.5 | 1.15 | 1.0–1.3 | 0.19 | 0.03–1.5 |
| ≤93 | 100.00 | 89.4–100.0 | 15.56 | 6.5–29.5 | 1.18 | 1.0–1.3 | 0.00 | 0.04–1.6 |
| ROC Curve | ||||||||
|---|---|---|---|---|---|---|---|---|
| Variable | Modified Borg Dyspnea Scale | |||||||
| Classification variable | CUT-OFF ILD | |||||||
| Sample size | 78 | |||||||
| Positive group a | 33 (42.31%) | |||||||
| Negative group b | 45 (57.69%) | |||||||
| a CUT-OFF ILD = 1 | ||||||||
| b CUT-OFF no ILD = 0 | ||||||||
| Area under the ROC curve (AUC) | ||||||||
| Area under the ROC curve (AUC) | 0.883 | |||||||
| Standard error a | 0.0421 | |||||||
| 95% Confidence interval b | 0.801 to 0.966 | |||||||
| z statistic | 9.098 | |||||||
| Significance level p (Area = 0.5) | <0.0001 | |||||||
| a Hanley & McNeil. 1982 | ||||||||
| b AUC ± 1.96 SE | ||||||||
| Youden index | ||||||||
| Youden index J | 0.6707 | |||||||
| Associated criterion | >2 | |||||||
| Sensitivity | 84.85 | |||||||
| Specificity | 82.22 | |||||||
| Criterion values and coordinates of the ROC curve | ||||||||
| Criterion | Sensitivity | 95% CI | Specificity | 95% CI | +LR | 95% CI | −LR | 95% CI |
| >0.5 | 93.94 | 79.8–99.3 | 28.89 | 16.4–44.3 | 1.32 | 1.1–1.6 | 0.21 | 0.05–0.9 |
| >1 | 93.94 | 79.8–99.3 | 64.44 | 48.8–78.1 | 2.64 | 1.8–4.0 | 0.094 | 0.02–0.4 |
| >2 | 84.85 | 68.1–94.9 | 82.22 | 67.9–92.0 | 4.77 | 2.5–9.1 | 0.18 | 0.08–0.4 |
| >3 | 72.73 | 54.5–86.7 | 88.89 | 75.9–96.3 | 6.55 | 2.8–15.4 | 0.31 | 0.2–0.5 |
| >4 | 51.52 | 33.5–69.2 | 95.56 | 84.9–99.5 | 11.59 | 2.9–46.8 | 0.51 | 0.4–0.7 |
| >5 | 21.21 | 9.0–38.9 | 100.00 | 92.1–100.0 | 12.29 | 3.1–48.9 | 0.52 | 0.7–0.9 |
Appendix B
| ROC Curve | ||||||||
|---|---|---|---|---|---|---|---|---|
| Variable | GERD-Q | |||||||
| Classification variable | CUT-OFF ILD | |||||||
| Sample size | 78 | |||||||
| Positive group a | 33 (42.31%) | |||||||
| Negative group b | 45 (57.69%) | |||||||
| a CUT-OFF ILD = 1 | ||||||||
| b CUT-OFF no ILD = 0 | ||||||||
| Area under the ROC curve (AUC) | ||||||||
| Area under the ROC curve (AUC) | 0.815 | |||||||
| Standard error a | 0.0528 | |||||||
| 95% Confidence interval b | 0.712 to 0.919 | |||||||
| z statistic | 5.964 | |||||||
| Significance level p (Area = 0.5) | <0.0001 | |||||||
| a Hanley & McNeil. 1982 | ||||||||
| b AUC ± 1.96 SE | ||||||||
| Youden index | ||||||||
| Youden index J | 0.5939 | |||||||
| Associated criterion | >7 | |||||||
| Sensitivity | 72.73 | |||||||
| Specificity | 86.67 | |||||||
| Criterion values and coordinates of the ROC curve | ||||||||
| Criterion | Sensitivity | 95% CI | Specificity | 95% CI | +LR | 95% CI | −LR | 95% CI |
| >4 | 87.88 | 71.8–96.6 | 35.56 | 21.9–51.2 | 1.36 | 1.1–1.8 | 0.34 | 0.1–0.9 |
| >5 | 84.85 | 68.1–94.9 | 51.11 | 35.8–66.3 | 1.74 | 1.2–2.4 | 0.30 | 0.1–0.7 |
| >6 | 75.76 | 57.7–88.9 | 80.00 | 65.4–90.4 | 3.79 | 2.0–7.0 | 0.30 | 0.2–0.6 |
| >7 | 72.73 | 54.5–86.7 | 86.67 | 73.2–94.9 | 5.45 | 2.5–11.8 | 0.31 | 0.2–0.6 |
| >8 | 69.70 | 51.3–84.4 | 86.67 | 73.2–94.9 | 5.23 | 2.4–11.4 | 0.35 | 0.2–0.6 |
| >9 | 60.61 | 42.1–77.1 | 91.11 | 78.8–97.5 | 6.82 | 2.6–18.1 | 0.43 | 0.3–0.7 |
| >10 | 51.52 | 33.5–69.2 | 91.11 | 78.8–97.5 | 5.80 | 2.1–15.6 | 0.53 | 0.4–0.8 |
| >11 | 45.45 | 28.1–63.6 | 97.78 | 88.2–99.9 | 20.45 | 2.8–147.2 | 0.56 | 0.4–0.8 |
| >14 | 18.18 | 7.0–35.5 | 97.78 | 88.2–99.9 | 8.18 | 1.0–64.8 | 0.84 | 0.7–1.0 |
| ROC Curve | ||||||||
|---|---|---|---|---|---|---|---|---|
| Variable | Mean capillary density (number of capillary/mm2) | |||||||
| Classification variable | CUT-OFF ILD | |||||||
| Sample size | 78 | |||||||
| Positive group a | 33 (42.31%) | |||||||
| Negative group b | 45 (57.69%) | |||||||
| a CUT-OFF ILD = 1 | ||||||||
| b CUT-OFF no ILD = 0 | ||||||||
| Area under the ROC curve (AUC) | ||||||||
| Area under the ROC curve (AUC) | 0.815 | |||||||
| Standard error a | 0.0492 | |||||||
| 95% Confidence interval b | 0.718 to 0.911 | |||||||
| z statistic | 6.396 | |||||||
| Significance level p (Area = 0.5) | <0.0001 | |||||||
| a Hanley & McNeil. 1982 | ||||||||
| b AUC ± 1.96 SE | ||||||||
| Youden index | ||||||||
| Youden index J | 0.5677 | |||||||
| Associated criterion | ≤4.78125 | |||||||
| Sensitivity | 87.88 | |||||||
| Specificity | 68.89 | |||||||
| Criterion values and coordinates of the ROC curve | ||||||||
| Criterion | Sensitivity | 95% CI | Specificity | 95% CI | +LR | 95% CI | −LR | 95% CI |
| ≤2.53125 | 15.15 | 5.1–31.9 | 97.78 | 88.2–99.9 | 6.82 | 0.8–55.7 | 0.87 | 0.7–1.0 |
| ≤2.875 | 24.24 | 11.1–42.3 | 97.78 | 88.2–99.9 | 10.91 | 1.4–83.0 | 0.77 | 0.6–0.9 |
| ≤3 | 36.36 | 20.4–54.9 | 95.56 | 84.9–99.5 | 8.18 | 2.0–34.1 | 0.67 | 0.5–0.9 |
| ≤3.375 | 54.55 | 36.4–71.9 | 91.11 | 78.8–97.5 | 6.14 | 2.3–16.4 | 0.50 | 0.3–0.7 |
| ≤3.84375 | 54.55 | 36.4–71.9 | 80.00 | 65.4–90.4 | 2.73 | 1.4–5.3 | 0.57 | 0.4–0.8 |
| ≤4.09375 | 63.64 | 45.1–79.6 | 80.00 | 65.4–90.4 | 3.18 | 1.7–6.0 | 0.45 | 0.3–0.7 |
| ≤4.34375 | 66.67 | 48.2–82.0 | 73.33 | 58.1–85.4 | 2.50 | 1.5–4.3 | 0.45 | 0.3–0.8 |
| ≤4.53125 | 78.79 | 61.1–91.0 | 71.11 | 55.7–83.6 | 2.73 | 1.7–4.5 | 0.30 | 0.2–0.6 |
| ≤4.59375 | 81.82 | 64.5–93.0 | 68.89 | 53.4–81.8 | 2.63 | 1.7–4.2 | 0.26 | 0.1–0.6 |
| ≤4.78125 | 87.88 | 71.8–96.6 | 68.89 | 53.4–81.8 | 2.82 | 1.8–4.4 | 0.18 | 0.07–0.5 |
| ≤4.875 | 87.88 | 71.8–96.6 | 64.44 | 48.8–78.1 | 2.47 | 1.6–3.7 | 0.19 | 0.07–0.5 |
| ≤5.125 | 90.91 | 75.7–98.1 | 64.44 | 48.8–78.1 | 2.56 | 1.7–3.8 | 0.14 | 0.05–0.4 |
| ≤6.0625 | 90.91 | 75.7–98.1 | 48.89 | 33.7–64.2 | 1.78 | 1.3–2.4 | 0.19 | 0.06–0.6 |
| ≤6.09375 | 93.94 | 79.8–99.3 | 48.89 | 33.7–64.2 | 1.84 | 1.4–2.5 | 0.12 | 0.03–0.5 |
| ≤7.875 | 93.94 | 79.8–99.3 | 31.11 | 18.2–46.6 | 1.36 | 1.1–1.7 | 0.19 | 0.05–0.8 |
| ≤8.09375 | 96.97 | 84.2–99.9 | 28.89 | 16.4–44.3 | 1.36 | 1.1–1.7 | 0.10 | 0.01–0.8 |
| ≤8.59375 | 96.97 | 84.2–99.9 | 6.67 | 1.4–18.3 | 1.04 | 0.9–1.1 | 0.45 | 0.05–4.2 |
| ≤8.65625 | 100.00 | 89.4–100.0 | 6.67 | 1.4–18.3 | 1.07 | 1.0–1.2 | 0.00 | 0.06–4.5 |
References
- Allanore, Y.; Simms, M.; Distler, O.; Trojanowska, M.; Pope, J.; Denton, C.P.; Varga, J. Systemic sclerosis. Nat. Rev. Dis. Primers 2015, 1, 15002. [Google Scholar] [CrossRef] [PubMed]
- Truchetet, M.E.; Brembilla, M.C.; Chizzolini, C. Current concepts on the pathogenesis of systemic sclerosis. Clin. Rev. Allergy Immunol. 2023, 64, 262–283. [Google Scholar] [CrossRef] [PubMed]
- Khanna, S.A.; Nance, J.W.; Suliman, S.A. Detection and monitoring of interstitial lung disease in patients with systemic sclerosis. Curr. Rheumatol. Rep. 2022, 24, 166–173. [Google Scholar] [CrossRef] [PubMed]
- Salaffi, F.; Carotti, M.; Tardella, M.; Di Carlo, M.; Fraticelli, P.; Fischetti, C.; Giovagnoni, A.; Gabrieli, A. Computed tomography assessment of evolution of interstitial lung disease in systemic sclerosis: Comparison of two scoring systems. Eur. J. Intern. Med. 2020, 76, 71–75. [Google Scholar] [CrossRef] [PubMed]
- Denton, C.P.; Wells, A.U.; Coghlan, J.G. Major lung complications of systemic sclerosis. Nat. Rev. Rheumatol. 2018, 14, 511–527. [Google Scholar] [CrossRef] [PubMed]
- Hoffmann-Vold, A.M.; Maher, T.M.; Philpot, E.E.; Ashrafzadeh, A.; Barake, R.; Barsotti, S.; Bruni, C.; Carducci, P.; Carreira, P.E.; Castellvi, I.; et al. The identification and management of interstitial lung disease in systemic sclerosis: Evidence-based European consensus statements. Lancet Rheumatol. 2020, 2, e71–e83. [Google Scholar] [CrossRef] [PubMed]
- Assassi, S.; Tumuluri, S.; Levin, R.W. Interstitial lung disease in patients with systemic sclerosis: What can we learn from the SENCIS trial? Clin. Exp. Rheumatol. 2023, 41, 1713–1719. [Google Scholar] [CrossRef] [PubMed]
- Hoffmann-Vold, A.M.; Allanore, Y.; Alves, M.; Brunborg, C.; Airò, P.; Ananieva, L.P.; Czirjak, L.; Guiducci, S.; Hachulla, E.; Li, M.; et al. Progressive interstitial lung disease in patients with systemic sclerosis-associated interstitial lung disease in the EUSTAR database. Ann. Rheum. Dis. 2021, 80, 219–227. [Google Scholar] [CrossRef] [PubMed]
- Distler, O.; Assassi, S.; Cottin, V.; Cutolo, M.; Danoff, S.K.; Denton, C.P.; Distler, J.H.V.; Hoffmann-Vold, A.M.; Johnson, S.R.; Ladner, U.M.; et al. Predictors of progression in systemic sclerosis patients with interstitial lung disease. Eur. Resp. J. 2020, 55, 1902026. [Google Scholar] [CrossRef]
- Saketkoo, L.A.; Scholand, M.B.; Lammi, M.R.; Russell, A.M. Patient-reported outcome measures in systemic sclerosis-related interstitial lung disease for clinical practice and clinical trials. J. Scleroderma Relat. Disord. 2020, 5 (Suppl. S2), 48–60. [Google Scholar] [CrossRef]
- Lafyatis, R.; Valenzi, E. Assessment of disease outcome measures in systemic sclerosis. Nat. Rev. Rheumatol. 2022, 18, 527–541. [Google Scholar] [CrossRef] [PubMed]
- Salaffi, F.; Di Carlo, M.; Carotti, M.; Fraticelli, P.; Gabrielli, A.; Giovagnoni, A. Relationship between interstitial lung diseases and oesophageal dilatation on chest high resolution computed tomography in patients with systemic sclerosis: A cross-sectional study. Radiol. Med. 2018, 123, 655–663. [Google Scholar] [CrossRef] [PubMed]
- Smith, V.; Vanhaecke, A.; Guerra, M.G.; Melsens, K.; Vandecasteele, E.; Paolino, S.; Cutolo, M. May capillaroscopy be a candidate tool in future algorithms for SSc-ILD: Are we looking for the holy gray? A systematic review. Autoimmun. Rev. 2020, 19, 102619. [Google Scholar] [CrossRef] [PubMed]
- Umashankar, E.; Abdel-Shaheed, C.; Plit, M.; Girgis, L. Assessing the role of nailfold capillaroscopy in interstitial lung disease classification: A systematic review and meta-analysis. Rheumatology 2022, 30, 2221–2234. [Google Scholar] [CrossRef]
- Van den Hoogen, F.; Khanna, D.; Fransen, J.; Johnson, S.R.; Baron, M.; Tyndall, A.; Matucci-Cerinic, M.; Naden, R.P.; Medsger, T.A., Jr.; Carreira, P.E.; et al. 2013 classification criteria for systemic sclerosis: An American College of Rheumatology/European League Against Rheumatism collaborative initiative. Arthritis Rheum. 2013, 65, 2737–2747. [Google Scholar] [CrossRef] [PubMed]
- Weatherald, J.; Montani, D.; Jevnikar, M.; Jais, X.; Savale, L.; Humbert, M. Screening for pulmonary arterial hypertension in systemic sclerosis. Eur. Respir. Rev. 2019, 28, 190023. [Google Scholar] [CrossRef] [PubMed]
- Nevskaya, T.; Pope, J.E.; Turk, M.A.; Shu, J.; Marquardt, A.; van den Hoogen, F.; Khanna, D.; Fransen, J.; Matucci-Cerinic, M.; Baron, M.; et al. Systematic analysis of the literature in search of defining systemic sclerosis subsets. J. Rheumatol. 2021, 48, 1698–1717. [Google Scholar] [CrossRef] [PubMed]
- Black, C.M. Measurement of skin involvement in scleroderma. J. Rheumatol. 1995, 22, 1217–1219. [Google Scholar] [PubMed]
- Salaffi, F.; Carotti, M.; Bosello, S.; Ciapetti, A.; Gutierrez, M.; Bichisecchi, E.; Giuseppetti, G.; Ferraccioli, G. Computer-aided quantification of interstitial lung disease from high resolution computed tomography images in systemic sclerosis: Correlation with visual reader base score and physiologic tests. Biomed. Res. Int. 2015, 2015, 834262. [Google Scholar] [CrossRef]
- Salaffi, F.; Carotti, M.; Di Donato, E.; Di Carlo, M.; Ceccarelli, M.; Giuseppetti, G. Computer-Aided tomographic analysis of interstitial lung disease (ILD) in patients with systemic sclerosis (SSc). Correlation with pulmonary physiologic tests and patient-centred measures of perceived dyspnoea and functional disability. PLoS ONE 2016, 11, e0149240. [Google Scholar] [CrossRef]
- Warrick, J.H.; Bhalla, M.; Schabel, S.I.; Silver, R.M. High resolution computed tomography in early scleroderma lung disease. J. Rheumatol. 1991, 18, 1520–1528. [Google Scholar]
- Borg, E.; Borg, G.; Larsson, K.; Letzter, M.; Sundblad, B.M. An index for breathlessness and leg fatigue. Scand. J. Med. Sci. Sports 2010, 20, 644–650. [Google Scholar] [CrossRef]
- Clements, P.; Wong, W.K.; Hurwitz, E.L.; Furst, D.E.; Mayes, M.; White, B.; Wigley, F.; Weisman, M.; Barr, W.; Moreland, L.; et al. Correlates of the disability index of the Health Assessment Questionnaire: A measure of functional impairment in systemic sclerosis. Arthritis Rheum. 1999, 42, 2372–2380. [Google Scholar] [CrossRef]
- Jonasson, C.; Wernersson, B.; Hoff, D.; Hatlebakk, J. Validation of the GerdQ questionnaire for the diagnosis of gastro-oesophageal reflux disease. Aliment. Pharmacol. Ther. 2013, 37, 564–572. [Google Scholar] [CrossRef]
- Jones, R.; Junghard, O.; Dent, J.; Vakil, N.; Halling, K.; Wernersson, B.; Lind, T. Development of the GerdQ, a tool for the diagnosis and management of gastro-oesophageal reflux disease in primary care. Aliment. Pharmacol. Ther. 2009, 30, 1030–1038. [Google Scholar] [CrossRef]
- Gutierrez, M.; Bertolazzi, C.; Tardella, M.; Becciolini, A.; Di Carlo, M.; Dottori, M.; Grassi, W.; De Angelis, R. Inter-reader reliability in assessment of nailfold capillary abnormalities by beginners: Pilot study of an intensive videocapillaroscopy training programme. J. Rheumatol. 2012, 39, 1248–1255. [Google Scholar] [CrossRef]
- Smith, V.; Herrick, A.L.; Ingegnoli, F.; Damjanov, N.; De Angelis, R.; Denton, C.P.; Distler, O.; Espejo, K.; Foeldvari, I.; Frech, T.; et al. EULAR study group on microcirculation in rheumatic diseases and the scleroderma clinical trials consortium group on capillaroscopy. Standardization of nailfold capillaroscopy for the assessment of patients with Raynaud’s phenomenon and systemic sclerosis. Autoimmun. Rev. 2020, 19, 102458. [Google Scholar] [CrossRef]
- De Angelis, R.; Riccieri, V.; Cipolletta, E.; Del Papa, N.; Ingegnoli, F.; Bosello, S.; Spinella, A.; Pellegrino, G.; de Pinto, M.; Papa, S.; et al. Significant nailfold capillary loss and late capillaroscopic pattern are associated with pulmonary arterial hypertension in systemic sclerosis. Rheumatology, 2023; Online ahead of print. [Google Scholar] [CrossRef]
- Steele, R.; Hudson, M.; Lo, E.; Baron, M. Canadian Scleroderma Research Group. Clinical decision rule to predict the presence of interstitial lung disease in systemic sclerosis. Arthritis Care Res. 2012, 64, 519–524. [Google Scholar] [CrossRef]
- Hoffmann-Vold, A.M.; Fretheim, H.; Halse, A.K.; Seip, M.; Bitter, H.; Wallenius, M.; Garen, T.; Salberg, A.; Brunborg, C.; Midtvedt, O.; et al. Tracking impact of interstitial lung disease in systemic sclerosis in a complete nationwide cohort. Am. J. Respir. Crit. Care Med. 2019, 200, 1258–1266. [Google Scholar] [CrossRef] [PubMed]
- Caron, M.; Hoa, S.; Hudson, M.; Schwartzman, K.; Steel, R. Pulmonary function test as outcomes for systemic sclerosis in interstitial lung diseases. Eur. Respir. Rev. 2018, 27, 170102. [Google Scholar] [CrossRef] [PubMed]
- Showalter, K.; Hoffmann, A.; Rouleau, G.; Aaby, D.; Lee, J.; Richardson, C.; Dematte, J.; Agrawal, R.; Chang, R.W.; Hinccliff, M. Performance of forced vital capacity and lung diffusion cut points for associated radiographic interstitial lung disease in systemic sclerosis. J. Rheumatol. 2018, 45, 1572–1576. [Google Scholar] [CrossRef]
- Suliman, Y.A.; Dobrota, R.; Huscher, D.; Nguyen-Kim, T.D.L.; Maurer, B.; Jordan, S.; Speich, R.; Frauenfelder, T.; Distler, O. Pulmonary function tests: High rate of false-negative results in the early detection and screening of scleroderma-related interstitial lung disease. Arthritis Rheumatol. 2015, 67, 3256–3261. [Google Scholar] [CrossRef]
- Antoniou, K.M.; Margaritopoulos, G.A.; Goh, N.S.; Karagiannis, K.; Desai, S.R.; Nicholson, A.G.; Siafakas, N.M.; Coghlan, J.G.; Denton, C.P.; Hansell, D.M.; et al. Combined pulmonary fibrosis and emphysema in scleroderma-related lung disease has a major confounding effect on lung physiology and screening for pulmonary hypertension. Arthritis Rheum. 2016, 68, 1004–1012. [Google Scholar] [CrossRef]
- Murphy, S.L.; Chen, Y.T.; Lee, Y.C.; Carns, N.; Aren, K.; Korman, B.; Hinchcliff, M.; Varga, J. Differences in symptom experience among patients with systemic sclerosis: A cluster analytic approach to identifying subgroups. Rheumatology 2023, 62, SI64–SI73. [Google Scholar] [CrossRef]
- Tashkin, D.P.; Volkmann, E.R.; Tseng, C.-H.; Kim, H.J.; Goldin, J.; Clements, P.; Furst, D.; Kanna, D.; Kleerup, E.; Roth, M.D.; et al. Relationship between quantitative radiographic assessments of interstitial lung disease and physiological and clinical features of systemic sclerosis. Ann. Rheum. Dis. 2016, 75, 374–381. [Google Scholar] [CrossRef]
- Khanna, D.; Clements, P.J.; Furst, D.E.; Chon, Y.; Elashoff, R.; Roth, M.D.; Stertz, M.G.; Chung, J.; Fitzgerald, J.D.; Seibold, J.R.; et al. Correlation of the degree of dyspnea with health-related quality of life, functional abilities, and diffusing capacity for carbon monoxide in patients with systemic sclerosis and active alveolitis: Results from the scleroderma lung study. Arthritis Rheum. 2005, 52, 592–600. [Google Scholar] [CrossRef]
- Savarino, E.; Bazzica, M.; Zentilin, P.; Pohl, D.; Parodi, A.; Cittadini, G.; Negrini, S.; Indiveri, F.; Tutuian, R.; Savarino, V.; et al. Gastroesophageal reflux and pulmonary fibrosis in scleroderma: A study using pH-impedance monitoring. Am. J. Respir. Crit. Care Med. 2009, 179, 408–413. [Google Scholar] [CrossRef]
- Richardson, C.; Agrawal, R.; Lee, J.; Almagor, O.; Nelson, R.; Varga, J.; Cuttica, M.J.; Dematte, J.D.; Chang, R.W.; Hinchcliff, M.E. Esophageal dilatation and interstitial lung disease in systemic sclerosis: A cross-sectional study. Semin. Arthritis Rheum. 2016, 46, 109–114. [Google Scholar] [CrossRef]
- Christmann, R.; Wells, A.; Capelozzi, V.; Silver, R. Gastroesophageal reflux incites interstitial lung disease in systemic sclerosis: Clinical, radiologic, histopathologic, and treatment evidence. Semin. Arthritis Rheum. 2010, 40, 241–249. [Google Scholar] [CrossRef] [PubMed]
- De Lorenzis, E.; Wasson, C.W.; Del Galdo, F. Alveolar epithelial-to-mesenchymal transition in scleroderma interstitial lung disease: Technical challenges, available evidence, and therapeutic perspectives. J. Scleroderma Relat. Dis. 2024, 9, 7–15. [Google Scholar] [CrossRef] [PubMed]
- Volkmann, E.R.; Tashkin, D.P.; Leng, M.; Kim, G.H.J.; Goldin, J.; Roth, M.D. Association of symptoms of gastroesophageal reflux, oesophageal dilatation, and progression of systemic sclerosis-related interstitial lung disease. Arthritis Care Res. 2023, 75, 1690–1697. [Google Scholar] [CrossRef] [PubMed]
- Liakouli, V.; Ciancio, A.; Del Galdo, F.; Giacomelli, R.; Ciccia, F. Systemic sclerosis interstitial lung disease: Unmet needs and potential solutions. Nat. Rev. Rheumatol. 2024, 20, 21–32. [Google Scholar] [CrossRef] [PubMed]
- Caetano, J.; Paula, F.S.; Amaral, M.; Oliveira, S.; Alves, J. Nailfold videocapillaroscopy changes are associated with the presence and severity of systemic sclerosis-related interstitial lung disease. J. Clin. Rheumatol. 2019, 25, e12–e15. [Google Scholar] [CrossRef] [PubMed]
- Guillen-Del-Castillo, A.; Simeon-Aznar, C.P.; Callejas-Moraga, E.L.; Tolosa-Vilella, C.; Alonso-Vila, S.; Fonollosa-Pla, V.; Selva-O’Callaghan, A. Quantitative videocapillaroscopy correlates with functional respiratory parameters: A clue for vasculopathy as a pathogenic mechanism for lung injury in systemic sclerosis. Arthritis Res. Ther. 2018, 20, 281. [Google Scholar] [CrossRef] [PubMed]
- Sulli, A.; Paolino, S.; Pizzorni, C.; Ferrari, G.; Pacini, G.; Pesce, G.; Carmisciano, L.; Smith, V.; Cutolo, M. Progression of nailfold capillaroscopic patterns and correlation with organ involvement in systemic sclerosis: A 12-year study. Rheumatology 2020, 59, 1051–1058. [Google Scholar] [CrossRef] [PubMed]
- Salaffi, F.; Carotti, M.; Di Carlo, M.; Ceccarelli, L.; Galli, M.; Sarzi-Puttini, P.; Giovagnoni, A. Predicting severe/critical outcomes in patients with SARS-CoV2 pneumonia: Development of the prediCtion seveRe/crItical ouTcome in COVID-19 (CRITIC) model. Front. Med. 2021, 8, 695195. [Google Scholar] [CrossRef] [PubMed]
- Emrani, Z.; Karbalaie, A.; Fatemi, A.; Etahadtavakol, M.; Erlandsson, B.E. Capillary density: An important parameter in nailfold capillaroscopy. Microvasc. Res. 2017, 109, 7–18. [Google Scholar] [CrossRef]
- Rahaghi, F.F.; Hsu, V.M.; Kaner, R.J.; Mayes, M.D.; Rosas, I.O.; Saggar, R.; Steen, V.D.; Strek, M.E.; Bernstein, E.J.; Bhatt, N.; et al. Expert consensus on the management of systemic sclerosis-associated interstitial lung disease. Respir. Res. 2023, 24, 6. [Google Scholar] [CrossRef]



| Variables | Mean | SD | Median | 25–75 P |
|---|---|---|---|---|
| Age (years) | 63.60 | 10.34 | 65.00 | 56.00 to 71.00 |
| Disease duration (years) | 10.53 | 7.38 | 8.00 | 5.00 to 16.00 |
| Modified Rodnan skin score | 10.70 | 7.97 | 9.00 | 4.00 to 16.00 |
| HRCT extent of disease score | 5.64 | 3.69 | 3.00 | 3.00 to 9.00 |
| HRCT severity of disease score | 5.97 | 4.03 | 4.50 | 3.00 to 8.00 |
| HRCT total score | 11.62 | 7.79 | 6.00 | 5.00 to 18.00 |
| DLco (% predicted) | 73.41 | 16.76 | 78.15 | 59.00 to 88.00 |
| FVC (% predicted) | 87.72 | 18.51 | 88.95 | 76.00 to 103.00 |
| HAQ-DI score | 0.96 | 0.45 | 0.92 | 0.62 to 1.12 |
| m-Borg score | 2.73 | 2.22 | 2.00 | 1.00 to 5.00 |
| Gerd-Q | 8.19 | 4.03 | 6.00 | 5.00 to 11.00 |
| Capillary density | 5.44 | 2.22 | 5.15 | 3.43 to 7.65 |
| Independent Variables | Coefficient | Std. Error | t | p | rpartial | rsemipartial |
|---|---|---|---|---|---|---|
| (Constant) | 13.0435 | |||||
| Age | 0.0981 | 0.0851 | 1.153 | 0.253 | 0.1416 | 0.07871 |
| Sex | 0.1117 | 1.8317 | 0.061 | 0.951 | 0.0075 | 0.00416 |
| Disease duration | −0.1681 | 0.1285 | −1.309 | 0.195 | −0.1602 | 0.08935 |
| Anti-topoisomerase I | −0.0878 | 1.6181 | −0.054 | −0.956 | 0.0067 | 0.00370 |
| modified Rodnan skin score | −0.02611 | 0.0990 | −0.264 | 0.792 | −0.0326 | 0.01800 |
| DLco (% predicted) | −0.1101 | 0.0541 | −2.035 | 0.045 | −0.2448 | 0.13895 |
| FVC (% predicted) | −0.0341 | 0.0386 | −0.885 | 0.379 | −0.1091 | 0.06041 |
| HAQ-DI score | 2.6693 | 1.5923 | 1.676 | 0.098 | 0.2036 | 0.11442 |
| m-Borg | 1.3327 | 0.5202 | 2.562 | 0.012 | 0.3029 | 0.17491 |
| GERD-Q | 0.6810 | 0.2819 | 2.416 | 0.018 | 0.2870 | 0.16497 |
| Capillary density | −0.8847 | 0.4132 | −2.141 | 0.036 | −0.2567 | 0.14622 |
Disclaimer/Publisher’s Note: The statements, opinions and data contained in all publications are solely those of the individual author(s) and contributor(s) and not of MDPI and/or the editor(s). MDPI and/or the editor(s) disclaim responsibility for any injury to people or property resulting from any ideas, methods, instructions or products referred to in the content. |
© 2024 by the authors. Licensee MDPI, Basel, Switzerland. This article is an open access article distributed under the terms and conditions of the Creative Commons Attribution (CC BY) license (https://creativecommons.org/licenses/by/4.0/).
Share and Cite
De Angelis, R.; Cipolletta, E.; Francioso, F.; Carotti, M.; Farah, S.; Giovagnoni, A.; Salaffi, F. Low-Carbon Monoxide Diffusing Capacity, Patient-Reported Measures and Reduced Nailfold Capillary Density Are Associated with Interstitial Lung Disease in Systemic Sclerosis. J. Pers. Med. 2024, 14, 635. https://doi.org/10.3390/jpm14060635
De Angelis R, Cipolletta E, Francioso F, Carotti M, Farah S, Giovagnoni A, Salaffi F. Low-Carbon Monoxide Diffusing Capacity, Patient-Reported Measures and Reduced Nailfold Capillary Density Are Associated with Interstitial Lung Disease in Systemic Sclerosis. Journal of Personalized Medicine. 2024; 14(6):635. https://doi.org/10.3390/jpm14060635
Chicago/Turabian StyleDe Angelis, Rossella, Edoardo Cipolletta, Francesca Francioso, Marina Carotti, Sonia Farah, Andrea Giovagnoni, and Fausto Salaffi. 2024. "Low-Carbon Monoxide Diffusing Capacity, Patient-Reported Measures and Reduced Nailfold Capillary Density Are Associated with Interstitial Lung Disease in Systemic Sclerosis" Journal of Personalized Medicine 14, no. 6: 635. https://doi.org/10.3390/jpm14060635
APA StyleDe Angelis, R., Cipolletta, E., Francioso, F., Carotti, M., Farah, S., Giovagnoni, A., & Salaffi, F. (2024). Low-Carbon Monoxide Diffusing Capacity, Patient-Reported Measures and Reduced Nailfold Capillary Density Are Associated with Interstitial Lung Disease in Systemic Sclerosis. Journal of Personalized Medicine, 14(6), 635. https://doi.org/10.3390/jpm14060635

