The Impact of Dupilumab on Work Productivity and Emotional Health in CRSwNP: A Multicentric Study in Northeast Italy
Abstract
1. Introduction
2. Materials and Methods
2.1. Population
2.2. Statistical Analysis
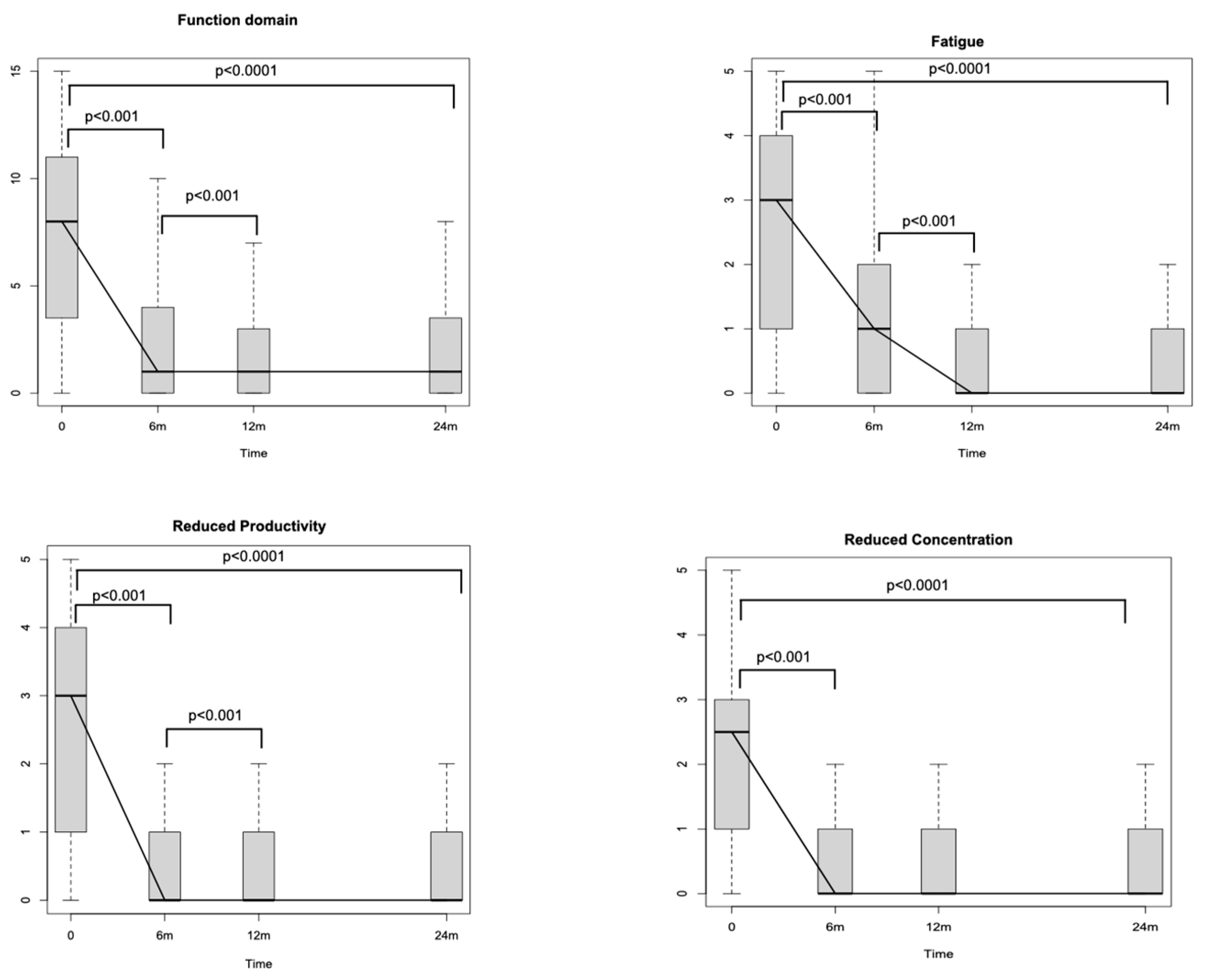
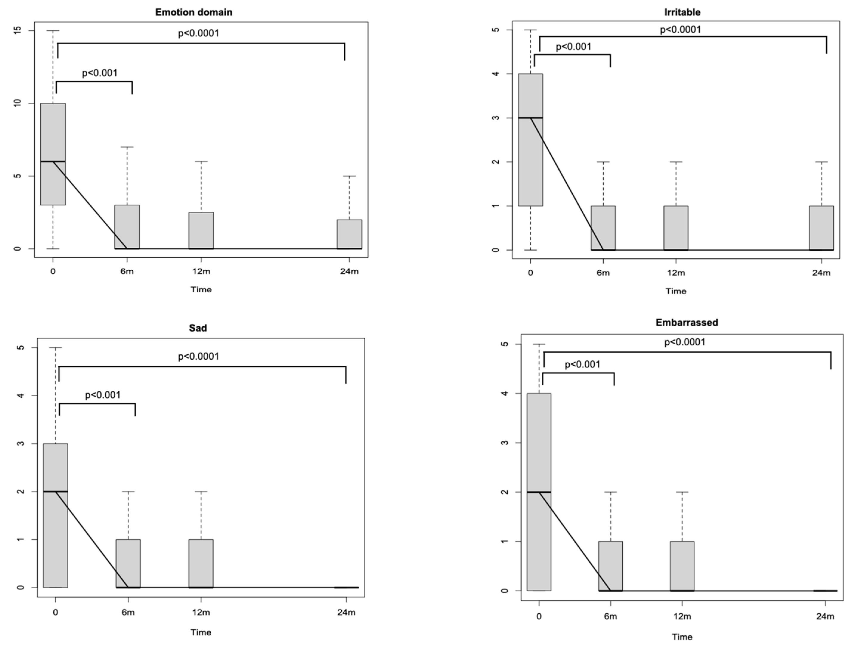
3. Results
4. Discussion
4.1. Limitations
4.2. Safety
5. Conclusions
Author Contributions
Funding
Institutional Review Board Statement
Informed Consent Statement
Data Availability Statement
Acknowledgments
Conflicts of Interest
Abbreviations
References
- Fokkens, W.J.; Lund, V.J.; Hopkins, C.; Hellings, P.W.; Kern, R.; Reitsma, S.; Toppila-Salmi, S.; Bernal-Sprekelsen, M.; Mullol, J.; Alobid, I.; et al. European Position Paper on Rhinosinusitis and Nasal Polyps 2020. Rhinol. J. 2020, 58, 1–464. [Google Scholar] [CrossRef]
- Bayar Muluk, N.; Cingi, C.; Scadding, G.K.; Scadding, G. Chronic Rhinosinusitis—Could Phenotyping or Endotyping Aid Therapy? Am. J. Rhinol. Allergy 2019, 33, 83–93. [Google Scholar] [CrossRef] [PubMed]
- Ottaviano, G.; Cappellesso, R.; Mylonakis, I.; Lionello, M.; Favaretto, N.; Giacomelli, L.; Spoladore, C.; Marchese-Ragona, R.; Marino, F.; Staffieri, A.; et al. Endoglin (CD105) Expression in Sinonasal Polyposis. Eur. Arch. Otorhinolaryngol. 2015, 272, 3367–3373. [Google Scholar] [CrossRef] [PubMed]
- Sedaghat, A.R.; Kuan, E.C.; Scadding, G.K. Epidemiology of Chronic Rhinosinusitis: Prevalence and Risk Factors. J Allergy Clin. Immunol. Pract. 2022, 10, 1395–1403. [Google Scholar] [CrossRef]
- Vlastos, I.; Gkouskou, K.; Doulaptsi, M.; Karatzanis, A.; Prokopakis, E.P. Precision Medicine in Rhinosinusitis. Curr. Allergy Asthma Rep. 2019, 19, 12. [Google Scholar] [CrossRef] [PubMed]
- Ottaviano, G.; De Corso, E.; Cantone, E.; Ciofalo, A.; Saccardo, T.; Bernardi, R.; Mairani, E.; Montuori, C.; Roccuzzo, G.; Soldati, L.; et al. Measuring Nasal Patency and the Sense of Smell in CRSwNP Patients Treated with Dupilumab. J. Pers. Med. 2023, 13, 234. [Google Scholar] [CrossRef] [PubMed]
- De Corso, E.; Bellocchi, G.; De Benedetto, M.; Lombardo, N.; Macchi, A.; Malvezzi, L.; Motta, G.; Pagella, F.; Vicini, C.; Passali, D. Biologics for Severe Uncontrolled Chronic Rhinosinusitis with Nasal Polyps: A Change Management Approach. Consens. Jt. Comm. Ital. Soc. Otorhinolaryngol. Biol. Rhinol. Acta Otorhinolaryngol. Ital. 2022, 42, 1–16. [Google Scholar] [CrossRef] [PubMed]
- Schlosser, R.J.; Gage, S.E.; Kohli, P.; Soler, Z.M. Burden of Illness: A Systematic Review of Depression in Chronic Rhinosinusitis. Am. J. Rhinol. Allergy 2016, 30, 250–256. [Google Scholar] [CrossRef] [PubMed]
- Ferri, S.; Montagna, C.; Casini, M.; Malvezzi, L.; Pirola, F.; Russo, E.; Racca, F.; Messina, M.R.; Puggioni, F.; Nappi, E.; et al. Sleep Quality Burden in Chronic Rhinosinusitis with Nasal Polyps and Its Modulation by Dupilumab. Ann. Allergy Asthma Immunol. 2024, 132, 69–75. [Google Scholar] [CrossRef]
- Bisogni, V.; Maiolino, G.; Ceolotto, G.; Pengo, M.F.; Marchese Ragona, R.; Artusi, C.; Brugnolo, L.; Lerco, S.; Borsetto, D.; Gaudioso, P.; et al. Design of a Study to Investigate the Mechanisms of Obstructive Sleep Apnoea by Means of Drug-Induced Sleep Endoscopy. Clin. Chem. Lab. Med. (CCLM) 2019, 57, 1406–1413. [Google Scholar] [CrossRef]
- van Agthoven, M.; Fokkens, W.J.; van de Merwe, J.P.; Marijke van Bolhuis, E.; Uyl-de Groot, C.A.; Busschbach, J.J. Quality of Life of Patients with Refractory Chronic Rhinosinusitis: Effects of Filgrastim Treatment. Am. J. Rhinol. 2001, 15, 231–237. [Google Scholar] [CrossRef] [PubMed]
- Wensing, M.; Vingerhoets, E.; Grol, R. Functional Status, Health Problems, Age and Comorbidity in Primary Care Patients. Qual. Life Res. 2001, 10, 141–148. [Google Scholar] [CrossRef] [PubMed]
- Cergan, R.; Berghi, O.N.; Dumitru, M.; Vrinceanu, D.; Manole, F.; Serboiu, C.S. Biologics for Chronic Rhinosinusitis—A Modern Option for Therapy. Life 2023, 13, 2165. [Google Scholar] [CrossRef] [PubMed]
- De Corso, E.; Pasquini, E.; Trimarchi, M.; La Mantia, I.; Pagella, F.; Ottaviano, G.; Garzaro, M.; Pipolo, C.; Torretta, S.; Seccia, V.; et al. Dupilumab in the Treatment of Severe Uncontrolled Chronic Rhinosinusitis with Nasal Polyps (CRSwNP): A Multicentric Observational Phase IV Real-life Study (DUPIREAL). Allergy 2023, 78, 2669–2683. [Google Scholar] [CrossRef] [PubMed]
- Ottaviano, G.; De Corso, E.; Saccardo, T.; D’Auria, L.M.; Zampollo, S.; D’Agostino, G.; Mairani, E.; De Maio, G.; Scarpa, B.; Bacci, C.; et al. Effectiveness of Dupilumab in the Treatment of Adult and Older Adult Patients with Severe, Uncontrolled CRSwNP. J. Pers. Med. 2023, 13, 1241. [Google Scholar] [CrossRef] [PubMed]
- Khan, A.; Huynh, T.M.T.; Vandeplas, G.; Joish, V.N.; Mannent, L.P.; Tomassen, P.; van Zele, T.; Cardell, L.-O.; Arebro, J.; Olze, H.; et al. The GALEN Rhinosinusitis Cohort: Chronic Rhinosinusitis with Nasal Polyps Affects Health-Related Quality of Life. Rhinology 2019, 57, 343–351. [Google Scholar] [CrossRef] [PubMed]
- Litvack, J.R.; Fong, K.; Mace, J.; James, K.E.; Smith, T.L. Predictors of Olfactory Dysfunction in Patients with Chronic Rhinosinusitis. Laryngoscope 2008, 118, 2225–2230. [Google Scholar] [CrossRef] [PubMed]
- Passali, G.C.; Passali, D.; Cingi, C.; Ciprandi, G. Smell Impairment in Patients with Chronic Rhinosinusitis: A Real-Life Study. Eur. Arch. Otorhinolaryngol. 2022, 279, 773–777. [Google Scholar] [CrossRef]
- Masiol, M.; Squizzato, S.; Formenton, G.; Harrison, R.M.; Agostinelli, C. Air Quality across a European Hotspot: Spatial Gradients, Seasonality, Diurnal Cycles and Trends in the Veneto Region, NE Italy. Sci. Total Environ. 2017, 576, 210–224. [Google Scholar] [CrossRef]
- Forlivesi, S.; Turcato, G.; Zivelonghi, C.; Zannoni, M.; Ricci, G.; Cervellin, G.; Lippi, G.; Bovi, P.; Bonetti, B.; Cappellari, M. Association of Short- and Medium-Term Particulate Matter Exposure with Risk of Mortality after Spontaneous Intracerebral Hemorrhage. J. Stroke Cerebrovasc. Dis. 2018, 27, 2519–2523. [Google Scholar] [CrossRef]
- Norelli, F.; Schiappoli, M.; Senna, G.; Pinter, P.; Olivieri, B.; Ottaviano, G.; De Corso, E.; Caminati, M. Adherence to Intranasal Steroids in Chronic Rhinosinusitis with Nasal Polyposis Prior to and during Biologic Therapy: A Neglected Matter. J. Clin. Med. 2024, 13, 1066. [Google Scholar] [CrossRef] [PubMed]
- Mozzanica, F.; Preti, A.; Gera, R.; Gallo, S.; Bulgheroni, C.; Bandi, F.; Ottaviani, F.; Castelnuovo, P. Cross-Cultural Adaptation and Validation of the SNOT-22 into Italian. Eur. Arch. Otorhinolaryngol. 2017, 274, 887–895. [Google Scholar] [CrossRef] [PubMed]
- Khan, A.H.; Reaney, M.; Guillemin, I.; Nelson, L.; Qin, S.; Kamat, S.; Mannent, L.; Amin, N.; Whalley, D.; Hopkins, C. Development of Sinonasal Outcome Test (SNOT-22) Domains in Chronic Rhinosinusitis With Nasal Polyps. Laryngoscope 2022, 132, 933–941. [Google Scholar] [CrossRef] [PubMed]
- Hummel, T.; Sekinger, B.; Wolf, S.R.; Pauli, E.; Kobal, G. “Sniffin” Sticks’: Olfactory Performance Assessed by the Combined Testing of Odor Identification, Odor Discrimination and Olfactory Threshold. Chem. Senses 1997, 22, 39–52. [Google Scholar] [CrossRef] [PubMed]
- Oleszkiewicz, A.; Schriever, V.A.; Croy, I.; Hähner, A.; Hummel, T. Updated Sniffin’ Sticks Normative Data Based on an Extended Sample of 9139 Subjects. Eur. Arch. Otorhinolaryngol. 2019, 276, 719–728. [Google Scholar] [CrossRef] [PubMed]
- Gevaert, P.; De Craemer, J.; Bachert, C.; Blauwblomme, M.; Chaker, A.; Cingi, C.; Hellings, P.W.; Hopkins, C.; Hox, V.; Fokkens, W.J.; et al. European Academy of Allergy and Clinical Immunology Position Paper on Endoscopic Scoring of Nasal Polyposis. Allergy 2023, 78, 912–922. [Google Scholar] [CrossRef] [PubMed]
- R Core Team. R: A Language and Environment for Statistical Computing; R Core Team: Vienna, Austria, 2020. [Google Scholar]
- Ottaviano, G.; Saccardo, T.; Roccuzzo, G.; Bernardi, R.; Chicco, A.D.; Pendolino, A.L.; Scarpa, B.; Mairani, E.; Nicolai, P. Effectiveness of Dupilumab in the Treatment of Patients with Uncontrolled Severe CRSwNP: A “Real-Life” Observational Study in Naïve and Post-Surgical Patients. J. Pers. Med. 2022, 12, 1526. [Google Scholar] [CrossRef] [PubMed]
- Fjaeldstad, A.W.; Konieczny, D.T.; Fernandes, H.; Gaini, L.M.; Vejlø, M.; Sandberg, K. The Relationship between Individual Significance of Olfaction and Measured Olfactory Function. Curr. Res. Behav. Sci. 2022, 3, 100076. [Google Scholar] [CrossRef]
- Cantone, E.; De Corso, E.; Ricciardiello, F.; Di Nola, C.; Grimaldi, G.; Allocca, V.; Motta, G. Olfaction Recovery Following Dupilumab Is Independent of Nasal Polyp Reduction in CRSwNP. J. Pers. Med. 2022, 12, 1215. [Google Scholar] [CrossRef]
- La Mantia, I.; Ottaviano, G.; Ragusa, M.; Trimarchi, M.; Foglia, E.; Schettini, F.; Bellavia, D.; Cantone, E. Multidimensional Impact of Dupilumab on Chronic Rhinosinusitis with Nasal Polyps: A Complete Health Technology Assessment of Clinical, Economic, and Non-Clinical Domains. J. Pers. Med. 2024, 14, 347. [Google Scholar] [CrossRef]
- Varendh, M.; Johannisson, A.; Hrubos-Strom, H.; Andersson, M. Sleep Quality Improves with Endoscopic Sinus Surgery in Patients with Chronic Rhinosinusitis and Nasal Polyposis. Rhinol. J. 2017, 55, 45–52. [Google Scholar] [CrossRef] [PubMed]
- Servizio Studi Dipartimento Lavoro Camera dei Deputati. Available online: https://Documenti.Camera.It/Leg19/Dossier/Pdf/PP004LA.Pdf (accessed on 27 March 2024).
- Regione del Veneto RAPPORTO SU “L’OCCUPAZIONE MASCHILE E FEMMINILE IN VENETO”. Available online: https://www.regione.veneto.it/article-detail?articleId=13945658 (accessed on 27 March 2024).
- Gregório, L.L.; Andrade, J.S.C.; Caparroz, F.A.; Saraceni Neto, P.; Kosugi, E.M. Influence of Age and Gender in the Normal Values of Sino Nasal Outcome Test-22. Clin. Otolaryngol. 2015, 40, 115–120. [Google Scholar] [CrossRef] [PubMed]
- Atella, V.; Belotti, F.; Giaccherini, M.; Medea, G.; Nicolucci, A.; Sbraccia, P.; Mortari, A.P. Lifetime Costs of Overweight and Obesity in Italy. Econ. Hum. Biol. 2024, 53, 101366. [Google Scholar] [CrossRef] [PubMed]
- Ishibashi, Y.; Shimura, A. Association between Work Productivity and Sleep Health: A Cross-Sectional Study in Japan. Sleep Health 2020, 6, 270–276. [Google Scholar] [CrossRef] [PubMed]
- Moore, L.M. High standards: ISO 9000 comes to health care. Trustee 1999, 52, 10–14. [Google Scholar] [PubMed]
- Berghi, O.; Dumitru, M.; Caragheorgheopol, R.; Tucureanu, C.; Simioniuc-Petrescu, A.; Sfrent-Cornateanu, R.; Giurcaneanu, C. The Relationship between Chemokine Ligand 3 and Allergic Rhinitis. Cureus 2020, 12, e7783. [Google Scholar] [CrossRef] [PubMed] [PubMed Central]
- Bachert, C.; Han, J.K.; Desrosiers, M.; Hellings, P.W.; Amin, N.; Lee, S.E.; Mullol, J.; Greos, L.S.; Bosso, J.V.; Laidlaw, T.M.; et al. Efficacy and Safety of Dupilumab in Patients with Severe Chronic Rhinosinusitis with Nasal Polyps (LIBERTY NP SINUS-24 and LIBERTY NP SINUS-52): Results from Two Multicentre, Randomised, Double-Blind, Placebo-Controlled, Parallel-Group Phase 3 Trials. Lancet 2019, 394, 1638–1650. [Google Scholar] [CrossRef] [PubMed]
- Caminati, M.; Micheletto, C.; Norelli, F.; Olivieri, B.; Ottaviano, G.; Padoan, R.; Piacentini, G.; Schiappoli, M.; Senna, G.; Menzella, F. Safety of Dupilumab in T2 Airways Conditions: Focus on Eosinophilia across Trials and Real-Life Evidence. Expert. Opin. Biol. Ther. 2024, 24, 15–23. [Google Scholar] [CrossRef]
- Galletti, C.; Barbieri, M.A.; Ciodaro, F.; Freni, F.; Galletti, F.; Spina, E.; Galletti, B. Effectiveness and Safety Profile of Dupilumab in Chronic Rhinosinusitis with Nasal Polyps: Real-Life Data in Tertiary Care. Pharmaceuticals 2023, 16, 630. [Google Scholar] [CrossRef]
- Rampi, A.; Tanzini, U.; Vinciguerra, A.; Danè, G.; Moroni, L.; Yacoub, M.; Trimarchi, M. Early Increase in Eosinophil Count May Predict Long-term Hypereosinophilia during Dupilumab Treatment: A 2-year Observational Study. Int. Forum Allergy Rhinol. 2023, 13, 2244–2247. [Google Scholar] [CrossRef]
- Wechsler, M.E.; Klion, A.D.; Paggiaro, P.; Nair, P.; Staumont-Salle, D.; Radwan, A.; Johnson, R.R.; Kapoor, U.; Khokhar, F.A.; Daizadeh, N.; et al. Effect of Dupilumab on Blood Eosinophil Counts in Patients With Asthma, Chronic Rhinosinusitis With Nasal Polyps, Atopic Dermatitis, or Eosinophilic Esophagitis. J. Allergy Clin. Immunol. Pract. 2022, 10, 2695–2709. [Google Scholar] [CrossRef] [PubMed]



| Padova n = 73 | Venezia Mestre n = 42 | Cittadella n = 27 | Rovigo n = 19 | Schiavonia n = 12 | Udine n = 10 | Montebelluna n = 10 | Treviso n = 8 | Bassano del Grappa n = 8 | Belluno n = 8 | TOTAL n = 217 | |
|---|---|---|---|---|---|---|---|---|---|---|---|
| Sex | 19 Women 54 Men | 17 Women 25 Men | 9 Women 18 Men | 7 Women 12 Men | 2 Women 10 Men | 1 Women 9 Men | 4 Women 6 Men | 1 Women 7 Men | 3 Women 5 Men | 3 Women 5 Men | 66 Women 151 Men |
| Mean Age, yr (SD) | 52.9 (13.3) | 55.3 (12.5) | 57.6 (13.5) | 57.2 (12.3) | 62.9 (11.3) | 60.1 (12.6) | 55.1 (5.5) | 59.5 (6.9) | 56.3 (14.7) | 55 (16.6) | 55.8 (12.8) |
| BMI | 25.9 (5.1) | 23.1 (8.6) | 24.6 (3.1) | N/A | 28 (2.9) | N/A | N/A | 26.8 (4.8) | 25.7 (4.6) | 26.9 (4.6) | 25.3 (5.9) |
| Asthma, n (%) | 26 (35.6) | 31 (73.8) | 21 (77.8) | 14 (73.7) | 8 (66.7) | 6 (60.0) | 1 (10.0) | 4 (50.0) | 6 (75.0) | 6 (75.0) | 149 (68.7) |
| NSAIDs intolerance, n (%) | 18 (24.7) | 16 (38.1) | 3 (11.1) | 2 (10.5) | 2 (16.7) | 0 (0) | 5 (50.0) | 1 (12.5) | 4 (50.0) | 4 (50.0) | 63 (29.0) |
| Allergy, n (%) | 52 (71.2) | 34 (81.0) | 11 (40.7) | 7 (36.8) | 7 (58.3) | 6 (60.0) | 3 (30.0) | 5 (62.5) | 5 (62.5) | 4 (50.0) | 134 (61.8) |
| Smokers, n (%) | 9 (12.3) | 5 (11.9) | 3 (11.1) | NA | 1 (8.3) | 3 (30.0) | 1 (10.0) | 0 (0) | 1 (12.5) | 0 (0) | 37 (17.1) |
| Previous ESS, n (%) | 58 (79.5) | 38 (90.5) | 21 (77.8) | 19 (100) | 12 (100) | 9 (90.0) | 9 (90.0) | 8 (100) | 8 (100) | 8 (100) | 190 (87.6) |
| Mean n. of previous surgeries, n (SD) | 1.7 (1.5) | 3 (3.2) | 2.9 (2.7) | 2.6 (3.2) | 2.1 (2.9) | 2.4 (1.7) | 3.4 (2.4) | 2.5 (1.2) | 2.9 (1.2) | 3.5 (2.3) | 2.4 (2.3) |
| Estimate | Standard Error | t-Value | p-Value | |
|---|---|---|---|---|
| Intercept | 2.116 | 0.303 | 6.992 | <0.001 |
| Sex (M) | −0.453 | 0.137 | −3.308 | 0.001 |
| BMI | 0.029 | 0.011 | 2.644 | 0.008 |
| T0 | −1.304 | 0.081 | −16.138 | <0.001 |
| T1 | −1.554 | 0.089 | −17.449 | <0.001 |
| T2 | −1.537 | 0.112 | −13.764 | <0.001 |
| Estimate | Standard Error | z-Value | p-Value | |
|---|---|---|---|---|
| Intercept | 0.335 | 0.326 | 1.028 | 0.304 |
| Sex (M) | −0.427 | 0.136 | −3.144 | 0.002 |
| BMI | 0.023 | 0.012 | 1.952 | 0.050 |
| T0 | −1.100 | 0.101 | −10.884 | <0.001 |
| T1 | −1.389 | 0.127 | −10.908 | <0.001 |
| T2 | −1.266 | 0.167 | −7.564 | <0.001 |
Disclaimer/Publisher’s Note: The statements, opinions and data contained in all publications are solely those of the individual author(s) and contributor(s) and not of MDPI and/or the editor(s). MDPI and/or the editor(s) disclaim responsibility for any injury to people or property resulting from any ideas, methods, instructions or products referred to in the content. |
© 2024 by the authors. Licensee MDPI, Basel, Switzerland. This article is an open access article distributed under the terms and conditions of the Creative Commons Attribution (CC BY) license (https://creativecommons.org/licenses/by/4.0/).
Share and Cite
Ottaviano, G.; Roccuzzo, G.; Lora, L.; Bison, E.; Tosin, E.; Calvanese, L.; Cestaro, W.; Locatello, L.G.; Corlianò, F.; Stellin, M.; et al. The Impact of Dupilumab on Work Productivity and Emotional Health in CRSwNP: A Multicentric Study in Northeast Italy. J. Pers. Med. 2024, 14, 468. https://doi.org/10.3390/jpm14050468
Ottaviano G, Roccuzzo G, Lora L, Bison E, Tosin E, Calvanese L, Cestaro W, Locatello LG, Corlianò F, Stellin M, et al. The Impact of Dupilumab on Work Productivity and Emotional Health in CRSwNP: A Multicentric Study in Northeast Italy. Journal of Personalized Medicine. 2024; 14(5):468. https://doi.org/10.3390/jpm14050468
Chicago/Turabian StyleOttaviano, Giancarlo, Giuseppe Roccuzzo, Lucia Lora, Elisabetta Bison, Enrico Tosin, Leonardo Calvanese, Walter Cestaro, Luca Giovanni Locatello, Fabrizio Corlianò, Marco Stellin, and et al. 2024. "The Impact of Dupilumab on Work Productivity and Emotional Health in CRSwNP: A Multicentric Study in Northeast Italy" Journal of Personalized Medicine 14, no. 5: 468. https://doi.org/10.3390/jpm14050468
APA StyleOttaviano, G., Roccuzzo, G., Lora, L., Bison, E., Tosin, E., Calvanese, L., Cestaro, W., Locatello, L. G., Corlianò, F., Stellin, M., Baldovin, M., Trimarchi, M. V., Bertocco, A. G., Maculan, M., Scarpa, B., Saccardo, T., & Nicolai, P. (2024). The Impact of Dupilumab on Work Productivity and Emotional Health in CRSwNP: A Multicentric Study in Northeast Italy. Journal of Personalized Medicine, 14(5), 468. https://doi.org/10.3390/jpm14050468

