Temporal Interactions between Maintenance of Cerebral Cortex Thickness and Physical Activity from an Individual Person Micro-Longitudinal Perspective and Implications for Precision Medicine
Abstract
1. Introduction
2. Materials and Methods
2.1. Studied Individual
2.2. Medical History
2.3. Health during the Study
2.4. Prospective Micro-Longitudinal Design
2.5. MRI Scans, Scan Processing, and Thickness Maintenance Measures
2.6. Physical Activity Measures
2.7. Regression Analyses
2.8. Temporal Analyses
2.9. Significance Levels
2.10. Blind Controls
3. Results
3.1. Cortical Thickness Maintenance
3.2. Activity across the Study Period
3.3. Activity for Different Days of the Week
3.4. Question 1: Was Preceding Physical Activity Related to Subsequent Maintenance of Cortical Thickness and, if so, over What Times?
3.4.1. Analysis 1: Activity during Preceding Three-Week Periods vs. Subsequent Thickness Maintenance (n = 2 Tests; Bonferroni Adjusted p ≤ 0.025)
3.4.2. Analysis 2: Activity during Preceding Individual Week Periods vs. Subsequent Thickness Maintenance (n = 4 Tests; Bonferroni Adjusted p ≤ 0.0125)
3.4.3. Analysis 3: Activity during Preceding Week Segment Periods vs. Subsequent Thickness Maintenance (n = 6 Tests; Bonferroni Adjusted p ≤ 0.008)
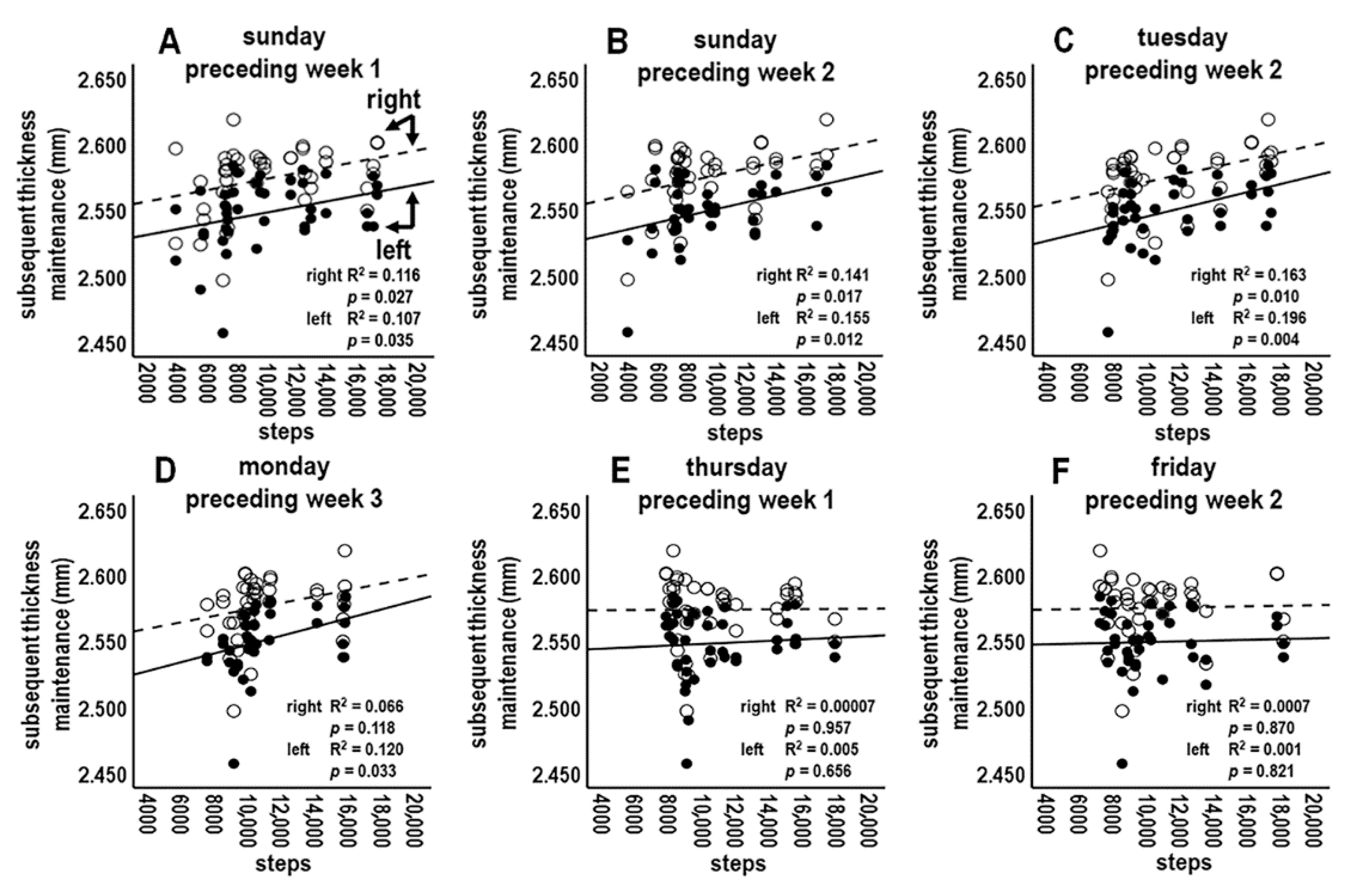
3.4.4. Analysis 4: Activity during Preceding Individual Days vs. Subsequent Thickness Maintenance (n = 21 Tests; Bonferroni Adjusted p ≤ 0.002)
3.4.5. Analysis 5: Left and Right Cortex Laterality Analyses (n = 42 Tests; Bonferroni Adjusted p ≤ 0.001)
3.4.6. Question 1 Summary
3.5. Question 2: Was Preceding Maintenance of Cortical Thickness Related to Subsequent Physical Activity and, if So, over What Times?
3.5.1. Analysis 6: Preceding Thickness Maintenance vs. Activity for Subsequent Three-Week Periods (n = 4 Tests; Bonferroni Adjusted p ≤ 0.0125)
3.5.2. Analysis 7: Preceding Thickness Maintenance vs. Activity for Subsequent Individual Weeks (n = 9; Bonferroni Adjusted p ≤ 0.005)
3.5.3. Analysis 8: Preceding Thickness Maintenance vs. Activity for Subsequent Week Segments (n = 16; Bonferroni Adjusted p ≤ 0.003)
3.5.4. Analysis 9: Left and Right Cortex Laterality Analyses (n = 6; Bonferroni Adjusted p ≤ 0.008)
3.5.5. Question 2 Summary
4. Discussion
4.1. Present Results
4.2. Concepts from the Present Results
4.3. Comparison of the Present Individual-Focused Concepts to Existing Group-Based Concepts of Interactions between Cortical Thickness and Physical Activity
4.4. Normality of Interactions
4.5. Implications
5. Limitations
6. Conclusions
Author Contributions
Funding
Institutional Review Board Statement
Informed Consent Statement
Data Availability Statement
Acknowledgments
Conflicts of Interest
References
- Shan, Z.Y.; Lagopoulos, J. Precision Medicine for Brain Disorders: New and Emerging Approaches. J. Pers. Med. 2023, 13, 872. [Google Scholar] [CrossRef] [PubMed]
- Cheung, Y.K.; Hsueh, P.S.; Qian, M.; Yoon, S.; Meli, L.; Diaz, K.M.; Schwartz, J.E.; Kronish, I.M.; Davidson, K.W. Are Nomothetic or Ideographic Approaches Superior in Predicting Daily Exercise Behaviors? Methods Inf. Med. 2017, 56, 452–460. [Google Scholar] [CrossRef] [PubMed]
- Zuidersma, M.; Riese, H.; Snippe, E.; Booij, S.H.; Wichers, M.; Bos, E.H. Single-Subject Research in Psychiatry: Facts and Fictions. Front. Psychiatry 2020, 11, 539777. [Google Scholar] [CrossRef] [PubMed]
- Rektorova, I.; Klobusiakova, P.; Balazova, Z.; Kropacova, S.; Sejnoha Minsterova, A.; Grmela, R.; Skotakova, A.; Rektor, I. Brain structure changes in nondemented seniors after six-month dance-exercise intervention. Acta Neurol. Scand. 2020, 141, 90–97. [Google Scholar] [CrossRef] [PubMed]
- Bae, S.; Harada, K.; Lee, S.; Harada, K.; Makino, K.; Chiba, I.; Park, H.; Shimada, H. The Effect of a Multicomponent Dual-Task Exercise on Cortical Thickness in Older Adults with Cognitive Decline: A Randomized Controlled Trial. J. Clin. Med. 2020, 9, 1312. [Google Scholar] [CrossRef] [PubMed]
- Falck, R.S.; Hsu, C.L.; Best, J.R.; Li, L.C.; Egbert, A.R.; Liu-Ambrose, T. Not Just for Joints: The Associations of Moderate-to-Vigorous Physical Activity and Sedentary Behavior with Brain Cortical Thickness. Med. Sci. Sports Exerc. 2020, 52, 2217–2223. [Google Scholar]
- Angelo, B.C.; DeFendis, A.; Yau, A.; Alves, J.M.; Thompson, P.M.; Xiang, A.H.; Page, K.A.; Luo, S. Relationships between physical activity, healthy eating and cortical thickness in children and young adults. Brain Imaging Behav. 2022, 16, 2690–2704. [Google Scholar]
- Wall, J.; Xie, H.; Wang, X. An exploration into short-interval maintenance of adult hemispheric cortical thickness at an individual brain level. J. Exp. Neurosci. 2017, 11, 1179069517733453. [Google Scholar] [CrossRef]
- Xie, H.; Wall, J.; Wang, X. Relationships in ongoing structural maintenances of the two cerebral cortices of an individual brain. J. Exp. Neurosci. 2018, 12, 1179069518795875. [Google Scholar] [CrossRef]
- Gratton, C.; Braga, R. Editorial overview: Deep imaging of the individual brain: Past, practice, and promise. Curr. Opin. Behav. Sci. 2021, 40, iii–vi. [Google Scholar]
- Fischer, H.; Nilsson, M.E.; Ebner, N.C. Why the Single-N Design Should Be the Default in Affective Neuroscience. Affect. Sci. 2023. [Google Scholar] [CrossRef]
- Naselaris, T.; Allen, E.; Kay, K. Extensive sampling for complete models of individual brains. Curr. Opin. Behav. Sci. 2021, 40, 45–51. [Google Scholar] [CrossRef]
- Wall, J.; Xie, H.; Wang, X. Interaction of Sleep and Cortical Structural Maintenance from an Individual Person Microlongitudinal Perspective and Implications for Precision Medicine Research. Front. Neurosci. 2020, 14, 769. [Google Scholar] [CrossRef]
- Mora-Gonzalez, J.; Gould, Z.R.; Moore, C.C.; Aguiar, E.J.; Ducharme, S.W.; Schuna, J.M., Jr.; Barreira, T.V.; Staudenmayer, J.; McAvoy, C.R.; Boikova, M.; et al. A catalog of validity indices for step counting wearable technologies during treadmill walking: The CADENCE-adults study. Int. J. Behav. Nutr. Phys. Act. 2022, 19, 117. [Google Scholar] [CrossRef]
- Maganja, S.A.; Clarke, D.C.; Lear, S.A.; Mackey, D.C. Formative Evaluation of Consumer-Grade Activity Monitors Worn by Older Adults: Test-Retest Reliability and Criterion Validity of Step Counts. JMIR Form. Res. 2020, 4, e16537. [Google Scholar] [CrossRef] [PubMed]
- Takacs, J.; Pollock, C.L.; Guenther, J.R.; Bahar, M.; Napier, C.; Hunt, M.A. Validation of the Fitbit One activity monitor device during treadmill walking. J. Sci. Med. Sport. 2014, 17, 496–500. [Google Scholar] [PubMed]
- Floegel, T.A.; Florez-Pregonero, A.; Hekler, E.B.; Buman, M.P. Validation of Consumer-Based Hip and Wrist Activity Monitors in Older Adults with Varied Ambulatory Abilities. J. Gerontol. A Biol. Sci. Med. Sci. 2017, 72, 229–236. [Google Scholar] [CrossRef]
- Storm, F.A.; Heller, B.W.; Mazzà, C. Step detection and activity recognition accuracy of seven physical activity monitors. PLoS ONE 2015, 10, e0118723. [Google Scholar]
- Diaz, K.M.; Krupka, D.J.; Chang, M.J.; Peacock, J.; Ma, Y.; Goldsmith, J.; Schwartz, J.E.; Davidson, K.W. Fitbit®: An accurate and reliable device for wireless physical activity tracking. Int. J. Cardiol. 2015, 185, 138–140. [Google Scholar] [CrossRef]
- Case, M.A.; Burwick, H.A.; Volpp, K.G.; Patel, M.S. Accuracy of smartphone applications and wearable devices for tracking physical activity data. JAMA 2015, 313, 625–626. [Google Scholar]
- Middelweerd, A.; Vanderploeg, H.P.; Vanhalteren, A.; Twisk, J.W.R.; Brug, J.; Te Velde, S.J. A Validation Study of the Fitbit One in Daily Life Using Different Time Intervals. Med. Sci. Sports Exerc. 2017, 49, 1270–1279. [Google Scholar] [CrossRef]
- Ferguson, T.; Rowlands, A.V.; Olds, T.; Maher, C. The validity of consumer-level, activity monitors in healthy adults worn in free-living conditions: A cross-sectional study. Int. J. Behav. Nutr. Phys. Act. 2015, 12, 42. [Google Scholar] [PubMed]
- Reid, R.E.R.; Insogna, J.A.; Carver, T.E.; Comptour, A.M.; Bewski, N.A.; Sciortino, C.; Andersen, R.E. Validity and reliability of Fitbit activity monitors compared to ActiGraph GT3X+ with female adults in a free-living environment. J. Sci. Med. Sport. 2017, 20, 578–582. [Google Scholar] [CrossRef]
- Straiton, N.; Alharbi, M.; Bauman, A.; Neubeck, L.; Gullick, J.; Bhindi, R.; Gallagher, R. The validity and reliability of consumer-grade activity trackers in older, community-dwelling adults: A systematic review. Maturitas 2018, 112, 85–93. [Google Scholar]
- Paul, S.S.; Tiedemann, A.; Hassett, L.M.; Ramsay, E.; Kirkham, C.; Chagpar, S.; Sherrington, C. Validity of the Fitbit activity tracker for measuring steps in community-dwelling older adults. BMJ Open Sport. Exerc. Med. 2015, 1, e000013. [Google Scholar] [CrossRef]
- Walhovd, K.B.; Storsve, A.B.; Westlye, L.T.; Drevon, C.A.; Fjell, A.M. Blood markers of fatty acids and vitamin D, cardiovascular measures, body mass index, and physical activity relate to longitudinal cortical thinning in normal aging. Neurobiol. Aging 2014, 35, 1055–1064. [Google Scholar] [PubMed]
- Lee, J.S.; Shin, H.Y.; Kim, H.J.; Jang, Y.K.; Jung, N.Y.; Lee, J.; Kim, Y.J.; Chun, P.; Yang, J.J.; Lee, J.M.; et al. Combined effects of physical exercise and education on age-related cortical thinning in cognitively normal individuals. Sci. Rep. 2016, 6, 24284. [Google Scholar] [CrossRef]
- Rogge, A.K.; Röder, B.; Zech, A.; Hötting, K. Exercise-induced neuroplasticity: Balance training increases cortical thickness in visual and vestibular cortical regions. Neuroimage 2018, 179, 471–479. [Google Scholar]
- Gu, Y.; Beato, J.M.; Amarante, E.; Chesebro, A.G.; Manly, J.J.; Schupf, N.; Mayeux, R.P.; Brickman, A.M. Assessment of Leisure Time Physical Activity and Brain Health in a Multiethnic Cohort of Older Adults. JAMA Netw. Open 2020, 3, e2026506. [Google Scholar] [CrossRef]
- Um, Y.H.; Wang, S.M.; Kim, N.Y.; Kang, D.W.; Na, H.R.; Lee, C.U.; Lim, H.K. Effects of Moderate Intensity Exercise on the Cortical Thickness and Subcortical Volumes of Preclinical Alzheimer’s Disease Patients: A Pilot Study. Psychiatry Investig. 2020, 17, 613–619. [Google Scholar] [CrossRef]
- Zhu, L.; Yu, Q.; Herold, F.; Cheval, B.; Dong, X.; Cui, L.; Xiong, X.; Chen, A.; Yin, H.; Kong, Z.; et al. Brain Structure, Cardiorespiratory Fitness, and Executive Control Changes after a 9-Week Exercise Intervention in Young Adults: A Randomized Controlled Trial. Life 2021, 11, 292. [Google Scholar]
- Tarumi, T.; Tomoto, T.; Repshas, J.; Wang, C.; Hynan, L.S.; Cullum, C.M.; Zhu, D.C.; Zhang, R. Midlife aerobic exercise and brain structural integrity: Associations with age and cardiorespiratory fitness. Neuroimage 2021, 225, 117512. [Google Scholar] [CrossRef]
- Jonasson, L.S.; Nyberg, L.; Kramer, A.F.; Lundquist, A.; Riklund, K.; Boraxbekk, C.J. Aerobic Exercise Intervention, Cognitive Performance, and Brain Structure: Results from the Physical Influences on Brain in Aging (PHIBRA) Study. Front. Aging Neurosci. 2016, 8, 336. [Google Scholar] [CrossRef]
- Siddarth, P.; Burggren, A.C.; Eyre, H.A.; Small, G.W.; Merrill, D.A. Sedentary behavior associated with reduced medial temporal lobe thickness in middle-aged and older adults. PLoS ONE 2018, 13, e0195549. [Google Scholar]
- Best, J.R.; Chiu, B.K.; Hall, P.A.; Liu-Ambrose, T. Larger Lateral Prefrontal Cortex Volume Predicts Better Exercise Adherence Among Older Women: Evidence from Two Exercise Training Studies. J. Gerontol. A Biol. Sci. Med. Sci. 2017, 72, 804–810. [Google Scholar]
- Gujral, S.; McAuley, E.; Oberlin, L.E.; Kramer, A.F.; Erickson, K.I. Role of Brain Structure in Predicting Adherence to a Physical Activity Regimen. Psychosom. Med. 2018, 80, 69–77. [Google Scholar]
- Hofman, A.; Rodriguez-Ayllon, M.; Vernooij, M.W.; Croll, P.H.; Luik, A.I.; Neumann, A.; Niessen, W.J.; Ikram, M.A.; Voortman, T.; Muetzel, R.L. Physical activity levels and brain structure in middle-aged and older adults: A bidirectional longitudinal population-based study. Neurobiol. Aging 2023, 121, 28–37. [Google Scholar] [CrossRef]
- Stillman, C.M.; Erickson, K.I. Physical activity as a model for health neuroscience. Ann. N. Y. Acad. Sci. 2018, 1428, 103–111. [Google Scholar]
- Morris, T.P.; Burzynska, A.; Voss, M.; Fanning, J.; Salerno, E.A.; Prakash, R.; Gothe, N.P.; Whitfield-Gabrieli, S.; Hillman, C.H.; McAuley, E.; et al. Brain Structure and Function Predict Adherence to an Exercise Intervention in Older Adults. Med. Sci. Sports Exerc. 2022, 54, 1483–1492. [Google Scholar] [CrossRef]
- Tudor-Locke, C.; Craig, C.L.; Brown, W.J.; Clemes, S.A.; De Cocker, K.; Giles-Corti, B.; Hatano, Y.; Inoue, S.; Matsudo, S.M.; Mutrie, N.; et al. How many steps/day are enough? For adults. Int. J. Behav. Nutr. Phys. Act. 2011, 8, 79. [Google Scholar] [CrossRef]
- Beagle, A.J.; Tison, G.H.; Aschbacher, K.; Olgin, J.E.; Marcus, G.M.; Pletcher, M.J. Comparison of the Physical Activity Measured by a Consumer Wearable Activity Tracker and That Measured by Self-Report: Cross-Sectional Analysis of the Health eHeart Study. JMIR Mhealth Uhealth 2020, 8, e22090. [Google Scholar] [PubMed]
- Amagasa, S.; Fukushima, N.; Kikuchi, H.; Oka, K.; Chastin, S.; Tudor-Locke, C.; Owen, N.; Inoue, S. Older Adults’ Daily Step Counts and Time in Sedentary Behavior and Different Intensities of Physical Activity. J. Epidemiol. 2021, 31, 350–355. [Google Scholar] [PubMed]
- Althoff, T.; Sosič, R.; Hicks, J.L.; King, A.C.; Delp, S.L.; Leskovec, J. Large-scale physical activity data reveal worldwide activity inequality. Nature 2017, 547, 336–339. [Google Scholar] [PubMed]
- Bassett, D.R., Jr.; Toth, L.P.; LaMunion, S.R.; Crouter, S.E. Step Counting: A Review of Measurement Considerations and Health-Related Applications. Sports Med. 2017, 47, 1303–1315. [Google Scholar] [CrossRef]
- Mair, J.L.; Aguiar, E.J.; Stamatakis, E.; Edney, S.M. Moving Toward the Inclusion of Step-Based Metrics in Physical Activity Guidelines and Surveillance. J. Phys. Act. Health 2023, 20, 575–577. [Google Scholar]
- Choi, B.C.; Pak, A.W.; Choi, J.C.; Choi, E.C. Daily step goal of 10,000 steps: A literature review. Clin. Investig. Med. 2007, 30, E146–E151. [Google Scholar] [CrossRef]
- Orlov, A.; Rotar, O.; Vigl, M.; Konradi, A.; Boeing, H. Objective measurement of physical activity in a random sample of Saint-Petersburg inhabitants. Arter. Hypertens. 2020, 24, 135–141. [Google Scholar]
- Vandelanotte, C.; Van Itallie, A.; Brown, W.; Mummery, W.K.; Duncan, M.J. Every Step Counts: Understanding the Success of Implementing The 10,000 Steps Project. Stud. Health Technol. Inform. 2020, 268, 15–30. [Google Scholar]
- Denworth, L. The “10,000 Steps” Gimmick. Sci. Am. 2023, 328, 25. [Google Scholar]
- Del Pozo Cruz, B.; Ahmadi, M.N.; Lee, I.M.; Stamatakis, E. Prospective Associations of Daily Step Counts and Intensity with Cancer and Cardiovascular Disease Incidence and Mortality and All-Cause Mortality. JAMA Intern. Med. 2022, 182, 1139–1148. [Google Scholar]
- Lee, I.M.; Shiroma, E.J.; Kamada, M.; Bassett, D.R.; Matthews, C.E.; Buring, J.E. Association of Step Volume and Intensity with All-Cause Mortality in Older Women. JAMA Intern. Med. 2019, 179, 1105–1112. [Google Scholar] [CrossRef] [PubMed]
- Hall, K.S.; Hyde, E.T.; Bassett, D.R.; Carlson, S.A.; Carnethon, M.R.; Ekelund, U.; Evenson, K.R.; Galuska, D.A.; Kraus, W.E.; Lee, I.M.; et al. Systematic review of the prospective association of daily step counts with risk of mortality, cardiovascular disease, and dysglycemia. Int. J. Behav. Nutr. Phys. Act. 2020, 17, 78. [Google Scholar] [CrossRef]
- Moniruzzaman, M.; Kadota, A.; Segawa, H.; Kondo, K.; Torii, S.; Miyagawa, N.; Fujiyoshi, A.; Hisamatsu, T.; Watanabe, Y.; Shiino, A.; et al. Relationship Between Step Counts and Cerebral Small Vessel Disease in Japanese Men. Stroke 2020, 51, 3584–3591. [Google Scholar] [PubMed]
- Saint-Maurice, P.F.; Troiano, R.P.; Bassett, D.R., Jr.; Graubard, B.I.; Carlson, S.A.; Shiroma, E.J.; Fulton, J.E.; Matthews, C.E. Association of Daily Step Count and Step Intensity with Mortality Among US Adults. J. Am. Med. Assoc. 2020, 323, 1151–1160. [Google Scholar] [CrossRef] [PubMed]
- Aho, S.; Vuoristo, M.S.; Raitanen, J.; Mansikkamäki, K.; Alanko, J.; Vähä-Ypyä, H.; Luoto, R.; Kellokumpu-Lehtinen, P.L.; Vasankari, T. Higher number of steps and breaks during sedentary behaviour are associated with better lipid profiles. BMC Public Health 2021, 21, 629. [Google Scholar] [CrossRef] [PubMed]
- Hamaya, R.; Fukuda, H.; Takebayashi, M.; Mori, M.; Matsushima, R.; Nakano, K.; Miyake, K.; Tani, Y.; Yokokawa, H. Effects of an mHealth App (Kencom) With Integrated Functions for Healthy Lifestyles on Physical Activity Levels and Cardiovascular Risk Biomarkers: Observational Study of 12,602 Users. J. Med. Internet Res. 2021, 23, e21622. [Google Scholar] [CrossRef]
- Hsueh, M.C.; Stubbs, B.; Lai, Y.J.; Sun, C.K.; Chen, L.J.; Ku, P.W. A dose response relationship between accelerometer assessed daily steps and depressive symptoms in older adults: A two-year cohort study. Age Ageing 2021, 50, 519–526. [Google Scholar] [CrossRef]
- Paluch, A.E.; Gabriel, K.P.; Fulton, J.E.; Lewis, C.E.; Schreiner, P.J.; Sternfeld, B.; Sidney, S.; Siddique, J.; Whitaker, K.M.; Carnethon, M.R. Steps per Day and All-Cause Mortality in Middle-aged Adults in the Coronary Artery Risk Development in Young Adults Study. J. Am. Med. Assoc. Netw. Open 2021, 4, e2124516. [Google Scholar]
- Paluch, A.E.; Bajpai, S.; Bassett, D.R.; Carnethon, M.R.; Ekelund, U.; Evenson, K.R.; Galuska, D.A.; Jefferis, B.J.; Kraus, W.E.; Lee, I.M.; et al. Daily steps and all-cause mortality: A meta-analysis of 15 international cohorts. Lancet Public Health 2022, 7, e219–e228. [Google Scholar] [CrossRef] [PubMed]
- Sheng, M.; Yang, J.; Bao, M.; Chen, T.; Cai, R.; Zhang, N.; Chen, H.; Liu, M.; Wu, X.; Zhang, B.; et al. The relationships between step count and all-cause mortality and cardiovascular events: A dose-response meta-analysis. J. Sport. Health Sci. 2021, 10, 620–628. [Google Scholar] [CrossRef] [PubMed]
- Jayedi, A.; Gohari, A.; Shab-Bidar, S. Daily Step Count and All-Cause Mortality: A Dose-Response Meta-analysis of Prospective Cohort Studies. Sports Med. 2022, 52, 89–99. [Google Scholar] [CrossRef]
- Cocate, P.G.; de Oliveira, A.; Hermsdorff, H.H.; Alfenas Rde, C.; Amorim, P.R.; Longo, G.Z.; Peluzio Mdo, C.; Faria, F.R.; Natali, A.J. Benefits and relationship of steps walked per day to cardiometabolic risk factor in Brazilian middle-aged men. J. Sci. Med. Sport. 2014, 17, 283–287. [Google Scholar] [CrossRef]
- Ewald, B.; Attia, J.; McElduff, P. How many steps are enough? Dose-response curves for pedometer steps and multiple health markers in a community-based sample of older Australians. J. Phys. Act. Health 2014, 11, 509–518. [Google Scholar] [CrossRef] [PubMed]
- Zając-Gawlak, I.; Pelclová, J.; Groffik, D.; Přidalová, M.; Nawrat-Szołtysik, A.; Kroemeke, A.; Gába, A.; Sadowska-Krępa, E. Does physical activity lower the risk for metabolic syndrome: A longitudinal study of physically active older women. BMC Geriatr. 2021, 21, 11. [Google Scholar]
- Tudor-Locke, C.; Leonardi, C.; Johnson, W.D.; Katzmarzyk, P.T.; Church, T.S. Accelerometer steps/day translation of moderate-to-vigorous activity. Prev. Med. 2011, 53, 31–33. [Google Scholar] [CrossRef] [PubMed]
- Cao, Z.B.; Oh, T.; Miyatake, N.; Tsushita, K.; Higuchi, M.; Tabata, I. Steps per day required for meeting physical activity guidelines in Japanese adults. J. Phys. Act. Health 2014, 11, 1367–1372. [Google Scholar] [CrossRef]
- Kumahara, H.; Ayabe, M. Individual variations in steps per day for meeting physical activity guidelines in young adult women. Appl. Physiol. Nutr. Metab. 2019, 44, 713–719. [Google Scholar] [CrossRef] [PubMed]
- Franz, C.E.; Xian, H.; Lew, D.; Hatton, S.N.; Puckett, O.; Whitsel, N.; Beck, A.; Dale, A.M.; Fang, B.; Fennema-Notestine, C.; et al. Body mass trajectories and cortical thickness in middle-aged men: A 42-year longitudinal study starting in young adulthood. Neurobiol. Aging 2019, 79, 11–21. [Google Scholar] [PubMed]
- Doucet, G.E.; Moser, D.A.; Rodrigue, A.; Bassett, D.S.; Glahn, D.C.; Frangou, S. Person-based brain morphometric similarity is heritable and correlates with biological features. Cereb. Cortex 2019, 29, 852–862. [Google Scholar] [PubMed]
- Klinger-König, J.; Frenzel, S.; Hannemann, A.; Wittfeld, K.; Bülow, R.; Friedrich, N.; Nauck, M.; Völzke, H.; Grabe, H.J. Sex differences in the association between basal serum cortisol concentrations and cortical thickness. Neurobiol. Stress. 2021, 15, 100416. [Google Scholar] [CrossRef] [PubMed]
- Michalski, L.J.; Demers, C.H.; Baranger, D.A.A.; Barch, D.M.; Harms, M.P.; Burgess, G.C.; Bogdan, R. Perceived stress is associated with increased rostral middle frontal gyrus cortical thickness: A family-based and discordant-sibling investigation. Genes. Brain Behav. 2017, 16, 781–789. [Google Scholar] [PubMed]
- Staubo, S.C.; Aakre, J.A.; Vemuri, P.; Syrjanen, J.A.; Mielke, M.M.; Geda, Y.E.; Kremers, W.K.; Machulda, M.M.; Knopman, D.S.; Petersen, R.C.; et al. Mediterranean diet, micronutrients and macronutrients, and MRI measures of cortical thickness. Alzheimers Dement. 2017, 13, 168–177. [Google Scholar] [CrossRef] [PubMed]
- Ottino-Gonzalez, J.; Jurado, M.A.; Garcia-Garcia, I.; Segura, B.; Marques-Iturria, I.; Sender-Palacios, M.J.; Tor, E.; Prats-Soteras, X.; Caldu, X.; Junque, C.; et al. Allostatic load is linked to cortical thickness changes depending on body-weight status. Front. Hum. Neurosci. 2017, 11, 639. [Google Scholar] [CrossRef]
- Trefler, A.; Sadeghi, N.; Thomas, A.G.; Pierpaoli, C.; Baker, C.I.; Thomas, C. Impact of time-of-day on brain morphometric measures derived from T1-weighted magnetic resonance imaging. Neuroimage 2016, 133, 41–52. [Google Scholar]
- Labus, J.S.; Hollister, E.B.; Jacobs, J.; Kirbach, K.; Oezguen, N.; Gupta, A.; Acosta, J.; Luna, R.A.; Aagaard, K.; Versalovic, J.; et al. Differences in gut microbial composition correlate with regional brain volumes in irritable bowel syndrome. Microbiome 2017, 5, 49. [Google Scholar]
- España-Irla, G.; Gomes-Osman, J.; Cattaneo, G.; Albu, S.; Cabello-Toscano, M.; Solana-Sanchéz, J.; Redondo-Camós, M.; Delgado-Gallén, S.; Alviarez-Schulze, V.; Pachón-García, C.; et al. Associations Between Cardiorespiratory Fitness, Cardiovascular Risk, and Cognition Are Mediated by Structural Brain Health in Midlife. J. Am. Heart Assoc. 2021, 10, e020688. [Google Scholar] [CrossRef]
- Coutinho, A.M.; Coutu, J.P.; Lindemer, E.R.; Rosas, H.D.; Rosen, B.R.; Salat, D.H. Differential associations between systemic markers of disease and cortical thickness in healthy middle-aged and older adults. Neuroimage 2017, 146, 19–27. [Google Scholar] [CrossRef] [PubMed]
- Furber, M.; Pyle, S.; Roberts, M.; Roberts, J. Comparing Acute, High Dietary Protein and Carbohydrate Intake on Transcriptional Biomarkers, Fuel Utilisation and Exercise Performance in Trained Male Runners. Nutrients 2021, 13, 4391. [Google Scholar] [CrossRef] [PubMed]
- Hughes, R.L.; Holscher, H.D. Fueling Gut Microbes: A Review of the Interaction between Diet, Exercise, and the Gut Microbiota in Athletes. Adv. Nutr. 2021, 12, 2190–2215. [Google Scholar]
- Semplonius, T.; Willoughby, T. Long-Term Links between Physical Activity and Sleep Quality. Med. Sci. Sports Exerc. 2018, 50, 2418–2424. [Google Scholar] [CrossRef] [PubMed]
- Heller, J.; Kinkorova, I.; Vodicka, P.; Mika, T. Physiological Profiles of Recreational Runners and Cyclists Aged 20 to 60 Years. Appl. Sci. 2022, 12, 3252. [Google Scholar]
- Ferguson, T.; Curtis, R.; Fraysse, F.; Olds, T.; Dumuid, D.; Brown, W.; Esterman, A.; Maher, C. Weather associations with physical activity, sedentary behaviour and sleep patterns of Australian adults: A longitudinal study with implications for climate change. Int. J. Behav. Nutr. Phys. Act. 2023, 20, 30. [Google Scholar] [CrossRef] [PubMed]
- Xu, X.; Zeng, J.; Yang, W.; Dong, T.; Zhang, X.; Cheng, S.; Zhou, X.; Zhou, M.; Niu, L.; Yi, G.; et al. Prevalence of metabolic syndrome among the adult population in western China and the association with socioeconomic and individual factors: Four cross-sectional studies. BMJ Open 2022, 12, e052457. [Google Scholar] [CrossRef]
- Chevance, G.; Baretta, D.; Romain, A.J.; Godino, J.G.; Bernard, P. Day-to-day associations between sleep and physical activity: A set of person-specific analyses in adults with overweight and obesity. J. Behav. Med. 2022, 45, 14–27. [Google Scholar] [CrossRef] [PubMed]
- Liao, Y.; Robertson, M.C.; Winne, A.; Wu, I.H.C.; Le, T.A.; Balachandran, D.D.; Basen-Engquist, K.M. Investigating the within-person relationships between activity levels and sleep duration using Fitbit data. Transl. Behav. Med. 2021, 11, 619–624. [Google Scholar]
- Pesonen, A.K.; Kahn, M.; Kuula, L.; Korhonen, T.; Leinonen, L.; Martinmäki, K.; Gradisar, M.; Lipsanen, J. Sleep and physical activity—The dynamics of bi-directional influences over a fortnight. BMC Public Health 2022, 22, 1160. [Google Scholar]
- Heiland, E.G.; Ekblom, Ö.; Bojsen-Møller, E.; Larisch, L.M.; Blom, V.; Ekblom, M.M. Bi-Directional, Day-to-Day Associations between Objectively-Measured Physical Activity, Sedentary Behavior, and Sleep among Office Workers. Int. J. Environ. Res. Public Health 2021, 18, 7999. [Google Scholar] [CrossRef] [PubMed]
- Burg, M.M.; Schwartz, J.E.; Kronish, I.M.; Diaz, K.M.; Alcantara, C.; Duer-Hefele, J.; Davidson, K.W. Does Stress Result in You Exercising Less? Or Does Exercising Result in You Being Less Stressed? Or Is It Both? Testing the Bi-directional Stress-Exercise Association at the Group and Person (N of 1) Level. Ann. Behav. Med. 2017, 51, 799–809. [Google Scholar]
- Oberlin, L.E.; Jaywant, A.; Wolff, A.; Gunning, F.M. Strategies to Promote Cognitive Health in Aging: Recent Evidence and Innovations. Curr. Psychiatry Rep. 2022, 24, 441–450. [Google Scholar] [CrossRef]
- Di Biase, M.A.; Tian, Y.E.; Bethlehem, R.A.I.; Seidlitz, J.; Alexander-Bloch, A.F.; Yeo, B.T.T.; Zalesky, A. Mapping human brain charts cross-sectionally and longitudinally. Proc. Natl. Acad. Sci. USA. 2023, 120, e2216798120. [Google Scholar] [CrossRef] [PubMed]
- Frangou, S.; Modabbernia, A.; Williams, S.C.R.; Papachristou, E.; Doucet, G.E.; Agartz, I.; Aghajani, M.; Akudjedu, T.N.; Albajes-Eizagirre, A.; Alnaes, D.; et al. Cortical thickness across the lifespan: Data from 17,075 healthy individuals aged 3–90 years. Hum. Brain Mapp. 2022, 43, 431–451. [Google Scholar] [CrossRef]
- Matuz-Budai, T.; Lábadi, B.; Kohn, E.; Matuz, A.; Zsidó, A.N.; Inhóf, O.; Kállai, J.; Szolcsányi, T.; Perlaki, G.; Orsi, G.; et al. Individual differences in the experience of body ownership are related to cortical thickness. Sci. Rep. 2022, 12, 808. [Google Scholar] [CrossRef] [PubMed]
- Koten, J.W.; Schüppen, A.; Morozova, M.; Lehofer, A.; Koschutnig, K.; Wood, G. On the homogeneity and heterogeneity of cortical thickness profiles in Homo sapiens sapiens. Sci. Rep. 2017, 7, 17937. [Google Scholar] [CrossRef] [PubMed]
- Chen, Y.C.; Arnatkevičiūtė, A.; McTavish, E.; Pang, J.C.; Chopra, S.; Suo, C.; Fornito, A.; Aquino, K.M. The individuality of shape asymmetries of the human cerebral cortex. eLife 2022, 11, e75056. [Google Scholar] [CrossRef]
- Jäncke, L.; Valizadeh, S.A. Identification of individual subjects based on neuroanatomical measures obtained 7 years earlier. Eur. J. Neurosci. 2022, 56, 4642–4652. [Google Scholar] [CrossRef]
- Wachinger, C.; Golland, P.; Reuter, M. BrainPrint: Identifying subjects by their brain. Med. Image Comput. Comput. Assist. Interv. 2014, 17 Pt 3, 41–48. [Google Scholar] [PubMed]
- Valizadeh, S.A.; Liem, F.; Mérillat, S.; Hänggi, J.; Jäncke, L. Identification of individual subjects on the basis of their brain anatomical features. Sci. Rep. 2018, 8, 5611. [Google Scholar] [CrossRef] [PubMed]
- Chauvin, L.; Kumar, K.; Wachinger, C.; Vangel, M.; de Guise, J.; Desrosiers, C.; Wells, W.; Toews, M. Neuroimage signature from salient keypoints is highly specific to individuals and shared by close relatives. Neuroimage 2020, 204, 116208. [Google Scholar] [CrossRef]
- Takao, H.; Hayashi, N.; Ohtomo, K. Brain morphology is individual-specific information. Magn. Reson. Imaging 2015, 33, 816–821. [Google Scholar] [CrossRef]
- Ross, R.; Goodpaster, B.H.; Koch, L.G.; Sarzynski, M.A.; Kohrt, W.M.; Johannsen, N.M.; Skinner, J.S.; Castro, A.; Irving, B.A.; Noland, R.C.; et al. Precision exercise medicine: Understanding exercise response variability. Br. J. Sports Med. 2019, 53, 1141–1153. [Google Scholar]
- Loyen, A.; Wendel-Vos, G.C.W.; Shekoh, M.I.; Verschuren, W.M.M.; Picavet, H.S.J. 20-year individual physical activity patterns and related characteristics. BMC Public Health 2022, 22, 437. [Google Scholar] [CrossRef] [PubMed]
- Kim, Y.; Wijndaele, K.; Sharp, S.J.; Strain, T.; Pearce, M.; White, T.; Wareham, N.; Brage, S. Specific physical activities, sedentary behaviours and sleep as long-term predictors of accelerometer-measured physical activity in 91,648 adults: A prospective cohort study. Int. J. Behav. Nutr. Phys. Act. 2019, 16, 41. [Google Scholar]
- Jansen, F.M.; van Kollenburg, G.H.; Kamphuis, C.B.M.; Pierik, F.H.; Ettema, D.F. Hour-by-hour physical activity patterns of adults aged 45–65 years: A cross-sectional study. J. Public Health 2018, 40, 787–796. [Google Scholar] [CrossRef]
- Jacques, M.; Landen, S.; Alvarez Romero, J.; Yan, X.; Garnham, A.; Hiam, D.; Siegwald, M.; Mercier, E.; Hecksteden, A.; Eynon, N.; et al. Individual physiological and mitochondrial responses during 12 weeks of intensified exercise. Physiol. Rep. 2021, 9, e14962. [Google Scholar] [CrossRef] [PubMed]
- Thompson, D.; Peacock, O.; Western, M.; Batterham, A.M. Multidimensional physical activity: An opportunity, not a problem. Exerc. Sport. Sci. Rev. 2015, 43, 67–74. [Google Scholar] [PubMed]
- Marsh, C.E.; Thomas, H.J.; Naylor, L.H.; Scurrah, K.J.; Green, D.J. Fitness and strength responses to distinct exercise modes in twins: Studies of Twin Responses to Understand Exercise as a THerapy (STRUETH) study. J. Physiol. 2020, 598, 3845–3858. [Google Scholar]
- Chiang, J.-H.; Yang, P.-C.; Tu, H. Pattern analysis in daily physical activity data for personal health management. Pervasive Mob. Comput. 2014, 13, 13–25. [Google Scholar]
- Stern, Y.; MacKay-Brandt, A.; Lee, S.; McKinley, P.; McIntyre, K.; Razlighi, Q.; Agarunov, E.; Bartels, M.; Sloan, R.P. Effect of aerobic exercise on cognition in younger adults: A randomized clinical trial. Neurology 2019, 92, e905–e916. [Google Scholar]
- Bashir, S.; Al-Sultan, F.; Jamea, A.A.; Almousa, A.; Alzahrani, M.S.; Alhargan, F.A.; Abualait, T.; Yoo, W.K. Physical exercise and cortical thickness in healthy controls: A pilot study. Eur. Rev. Med. Pharmacol. Sci. 2021, 25, 7375–7379. [Google Scholar]
- de Manzano, O.; Ullen, F. Same genes, different brains: Neuroanatomical differences between monozygotic twins discordant for musical training. Cereb. Cortex 2018, 28, 387–394. [Google Scholar]
- Mitko, A.; Rothlein, D.; Poole, V.; Robinson, M.; McGlinchey, R.; DeGutis, J.; Salat, D.; Esterman, M. Individual differences in sustained attention are associated with cortical thickness. Hum. Brain Mapp. 2019, 40, 3243–3253. [Google Scholar]
- Oschwald, J.; Guye, S.; Liem, F.; Rast, P.; Willis, S.; Röcke, C.; Jäncke, L.; Martin, M.; Mérillat, S. Brain structure and cognitive ability in healthy aging: A review on longitudinal correlated change. Rev. Neurosci. 2020, 31, 1–57. [Google Scholar]
- Tadayon, E.; Pascual-Leone, A.; Santarnecchi, E. Differential Contribution of Cortical Thickness, Surface Area, and Gyrification to Fluid and Crystallized Intelligence. Cereb. Cortex 2020, 30, 215–225. [Google Scholar]
- Ciria, L.F.; Román-Caballero, R.; Vadillo, M.A.; Holgado, D.; Luque-Casado, A.; Perakakis, P.; Sanabria, D. An umbrella review of randomized control trials on the effects of physical exercise on cognition. Nat. Hum. Behav. 2023, 7, 928–941. [Google Scholar] [CrossRef] [PubMed]
- Diamond, A.; Ling, D.S. Aerobic-Exercise and resistance-training interventions have been among the least effective ways to improve executive functions of any method tried thus far. Dev. Cogn. Neurosci. 2019, 37, 100572. [Google Scholar] [CrossRef] [PubMed]
- Contreras-Osorio, F.; Ramirez-Campillo, R.; Cerda-Vega, E.; Campos-Jara, R.; Martínez-Salazar, C.; Araneda, R.; Ebner-Karestinos, D.; Arellano-Roco, C.; Campos-Jara, C. Effects of Sport-Based Exercise Interventions on Executive Function in Older Adults: A Systematic Review and Meta-Analysis. Int. J. Environ. Res. Public Health 2022, 19, 12573. [Google Scholar] [CrossRef]
- Paolillo, E.W.; Lee, S.Y.; VandeBunte, A.; Saloner, R.; Gaynor, L.S.; Djukic, N.; Tsuei, T.; Cobigo, Y.; Kramer, J.H.; Casaletto, K.B. Data-driven physical actigraphy patterns relate to cognitive and vascular health in older adults. Exp. Gerontol. 2023, 178, 112231. [Google Scholar] [CrossRef] [PubMed]
- Galle, S.A.; Deijen, J.B.; Milders, M.V.; De Greef, M.H.G.; Scherder, E.J.A.; van Duijn, C.M.; Drent, M.L. The effects of a moderate physical activity intervention on physical fitness and cognition in healthy elderly with low levels of physical activity: A randomized controlled trial. Alzheimers Res. Ther. 2023, 15, 12. [Google Scholar] [CrossRef]
- Pucci, V.; Guerra, C.; Barsi, A.; Nucci, M.; Mondini, S. How long have you exercised in your life? The effect of motor reserve and current physical activity on cognitive performance. J. Int. Neuropsychol. Soc. 2023, 1–7. [Google Scholar] [CrossRef]
- Yuan, X.; Li, D.; Hu, Y.; Qi, M.; Kong, Y.; Zhao, C.; Huang, J.; Song, Y. Neural and behavioral evidence supporting the relationship between habitual exercise and working memory precision in healthy young adults. Front. Neurosci. 2023, 17, 1146465. [Google Scholar] [CrossRef]
- Cheval, B.; Darrous, L.; Choi, K.W.; Klimentidis, Y.C.; Raichlen, D.A.; Alexander, G.E.; Cullati, S.; Kutalik, Z.; Boisgontier, M.P. Genetic insights into the causal relationship between physical activity and cognitive functioning. Sci. Rep. 2023, 13, 5310. [Google Scholar] [PubMed]
- Xu, L.; Gu, H.; Cai, X.; Zhang, Y.; Hou, X.; Yu, J.; Sun, T. The Effects of Exercise for Cognitive Function in Older Adults: A Systematic Review and Meta-Analysis of Randomized Controlled Trials. Int. J. Environ. Res. Public Health 2023, 20, 1088. [Google Scholar] [PubMed]
- Festa, F.; Medori, S.; Macrì, M. Move Your Body, Boost Your Brain: The Positive Impact of Physical Activity on Cognition across All Age Groups. Biomedicines 2023, 11, 1765. [Google Scholar]
- Augusto-Oliveira, M.; Arrifano, G.P.; Leal-Nazaré, C.G.; Santos-Sacramento, L.; Lopes-Araújo, A.; Royes, L.F.F.; Crespo-Lopez, M.E. Exercise Reshapes the Brain: Molecular, Cellular, and Structural Changes Associated with Cognitive Improvements. Mol. Neurobiol. 2023, 60, 6950–6974. [Google Scholar]
- Chen, C.; Nakagawa, S. Physical activity for cognitive health promotion: An overview of the underlying neurobiological mechanisms. Ageing Res. Rev. 2023, 86, 101868. [Google Scholar] [CrossRef]
- Erickson, K.I.; Donofry, S.D.; Sewell, K.R.; Brown, B.M.; Stillman, C.M. Cognitive Aging and the Promise of Physical Activity. Annu. Rev. Clin. Psychol. 2022, 18, 417–442. [Google Scholar]








| Sun | Mon | Tue | Wed | Thu | Fri | Sat | |
|---|---|---|---|---|---|---|---|
| Preceding week 1 | |||||||
| R2 | 0.088 | 0.030 | 0.007 | 0.055 | 0.001 | 0.033 | 0.005 |
| r | 0.296 | 0.172 | 0.084 | 0.234 | 0.035 | 0.180 | 0.072 |
| p | 0.006 | 0.117 | 0.449 | 0.032 | 0.749 | 0.100 | 0.515 |
| T | NS | NS | T | NS | NS | NS | |
| Preceding week 2 | |||||||
| R2 | 0.114 | 0.037 | 0.138 | 0.064 | 0.009 | 0.0007 | 0.012 |
| r | 0.337 | 0.192 | 0.371 | 0.254 | 0.097 | 0.028 | 0.111 |
| p | 0.002 | 0.088 | 0.001 | 0.023 | 0.390 | 0.806 | 0.316 |
| S | NS | S | T | NS | NS | NS | |
| Preceding week 3 | |||||||
| R2 | 0.059 | 0.070 | 0.039 | 0.062 | 0.0008 | 0.039 | 0.006 |
| r | 0.244 | 0.265 | 0.197 | 0.249 | 0.029 | 0.197 | 0.077 |
| p | 0.034 | 0.021 | 0.088 | 0.030 | 0.801 | 0.089 | 0.499 |
| T | T | NS | T | NS | NS | NS |
| 1st Week | 2nd Week | 3rd Week | 4th Week | 5th Week | 6th Week | 7th Week | 8th Week | 9th Week | |
|---|---|---|---|---|---|---|---|---|---|
| R2 | 0.115 | 0.073 | 0.089 | 0.151 | 0.061 | 0.127 | 0.129 | 0.124 | 0.026 |
| r | 0.339 | 0.270 | 0.298 | 0.389 | 0.246 | 0.357 | 0.359 | 0.352 | 0.161 |
| p | 0.002 | 0.011 | 0.005 | 0.001 | 0.021 | 0.001 | 0.001 | 0.001 | 0.135 |
| S | T | S | S | T | S | S | S | NS |
| 1st Week | 2nd Week | 3rd Week | 4th Week | 5th Week | 6th Week | 7th Week | 8th Week | |||||||||
|---|---|---|---|---|---|---|---|---|---|---|---|---|---|---|---|---|
| Early | Latter | Early | Latter | Early | Latter | Early | Latter | Early | Latter | Early | Latter | Early | Latter | Early | Latter | |
| R2 | 0.166 | 0.037 | 0.128 | 0.015 | 0.089 | 0.060 | 0.147 | 0.104 | 0.082 | 0.027 | 0.108 | 0.104 | 0.092 | 0.120 | 0.111 | 0.086 |
| r | 0.407 | 0.192 | 0.358 | 0.122 | 0.298 | 0.245 | 0.383 | 0.322 | 0.286 | 0.166 | 0.329 | 0.323 | 0.304 | 0.347 | 0.333 | 0.293 |
| p | 0.001 | 0.080 | 0.001 | 0.256 | 0.005 | 0.021 | 0.001 | 0.002 | 0.007 | 0.123 | 0.002 | 0.002 | 0.004 | 0.001 | 0.002 | 0.006 |
| S | NS | S | NS | T | T | S | S | T | NS | S | S | T | S | S | T | |
Disclaimer/Publisher’s Note: The statements, opinions and data contained in all publications are solely those of the individual author(s) and contributor(s) and not of MDPI and/or the editor(s). MDPI and/or the editor(s) disclaim responsibility for any injury to people or property resulting from any ideas, methods, instructions or products referred to in the content. |
© 2024 by the authors. Licensee MDPI, Basel, Switzerland. This article is an open access article distributed under the terms and conditions of the Creative Commons Attribution (CC BY) license (https://creativecommons.org/licenses/by/4.0/).
Share and Cite
Wall, J.; Xie, H.; Wang, X. Temporal Interactions between Maintenance of Cerebral Cortex Thickness and Physical Activity from an Individual Person Micro-Longitudinal Perspective and Implications for Precision Medicine. J. Pers. Med. 2024, 14, 127. https://doi.org/10.3390/jpm14020127
Wall J, Xie H, Wang X. Temporal Interactions between Maintenance of Cerebral Cortex Thickness and Physical Activity from an Individual Person Micro-Longitudinal Perspective and Implications for Precision Medicine. Journal of Personalized Medicine. 2024; 14(2):127. https://doi.org/10.3390/jpm14020127
Chicago/Turabian StyleWall, John, Hong Xie, and Xin Wang. 2024. "Temporal Interactions between Maintenance of Cerebral Cortex Thickness and Physical Activity from an Individual Person Micro-Longitudinal Perspective and Implications for Precision Medicine" Journal of Personalized Medicine 14, no. 2: 127. https://doi.org/10.3390/jpm14020127
APA StyleWall, J., Xie, H., & Wang, X. (2024). Temporal Interactions between Maintenance of Cerebral Cortex Thickness and Physical Activity from an Individual Person Micro-Longitudinal Perspective and Implications for Precision Medicine. Journal of Personalized Medicine, 14(2), 127. https://doi.org/10.3390/jpm14020127
