Prognostic Value of Redox Status Biomarkers in Patients Presenting with STEMI or Non-STEMI: A Prospective Case-Control Clinical Study
Abstract
1. Introduction
2. Materials and Methods
2.1. Design of Study
2.2. Patients
2.3. Determination of Cardiac Enzymes at Admission and 12 h after Admission
2.4. Assessment of Biomarkers of Oxidative Stress at Admission, 6 h, and 12 h after Admission
2.5. Determination of Superoxide Anion Radical (O2-)
2.6. Determination of Hydrogen Peroxide (H2O2)
2.7. Determination of Nitrites (NO2−)
2.8. Determination of Index of Lipid Peroxidation Measured as TBARS
2.9. Assessment of Activity of Antioxidant Enzymes at Admission, 6 h, and 12 h after Admission
2.10. Statistical Analyses
3. Results
3.1. Basic Characteristics of Study Population
3.2. Cardiac Enzymes at Admission and 12 h after Admission
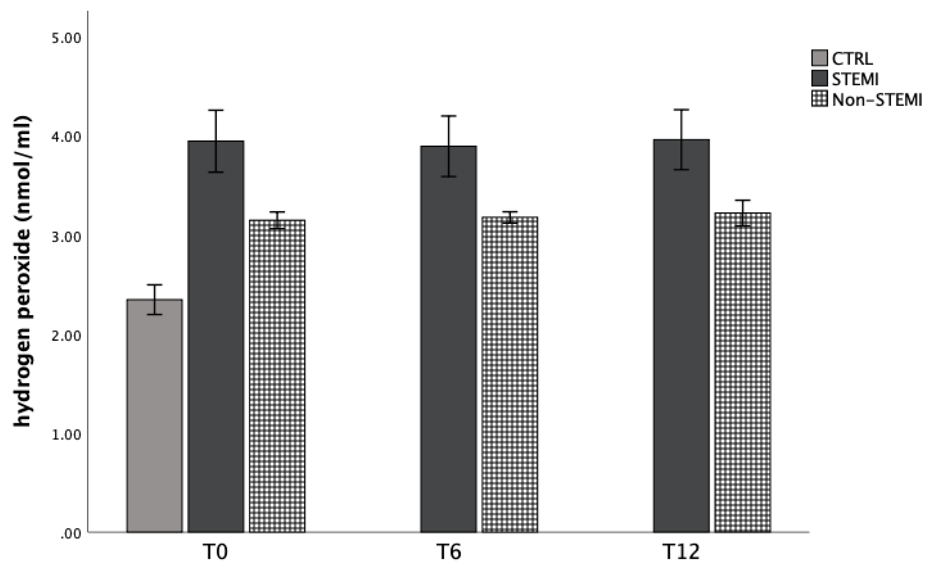
3.3. Levels of Pro-Oxidative Plasma Biomarkers in Study Groups
3.4. Antioxidant Capacity of Patients with STEMI/Non-STEMI Presentation
3.5. Correlation Analysis of the Measured Biomarkers of Redox Status and Cardiac Enzymes in Patients with STEMI and Non-STEMI Manifestation of Disease
4. Discussion
5. Conclusions
Author Contributions
Funding
Institutional Review Board Statement
Informed Consent Statement
Data Availability Statement
Conflicts of Interest
References
- Makki, N.; Brennan, T.M.; Girotra, S. Acute Coronary Syndrome. J. Intensiv. Care Med. 2015, 30, 186–200. [Google Scholar] [CrossRef] [PubMed]
- Cohen, M.; Visveswaran, G. Defining and managing patients with non-ST-elevation myocardial infarction: Sorting through type 1 vs. other types. Clin. Cardiol. 2020, 43, 242–250. [Google Scholar] [CrossRef] [PubMed]
- CDC; NCHS. Underlying Cause of Death 1999–2013 on CDC WONDER Online Database, released 2015. Data Are from the Multiple Cause of Death Files, 1999–2013, as Compiled from Data Provided by the 57 Vital Statistics Jurisdictions through the Vital Statistics Cooperative Program. Available online: https://wonder.cdc.gov/wonder/help/ucd.html (accessed on 3 February 2015).
- Kheifets, M.; Vaknin-Assa, H.; Greenberg, G.; Orvin, K.; Assali, A.; Kornowski, R.; Perl, L. Trends in ST-elevation myocardial infarction. Coron. Artery. Dis. 2022, 31, 1–8. [Google Scholar] [CrossRef] [PubMed]
- Harrington, D.H.; Stueben, F.; Lenahan, C.M. ST-Elevation Myocardial Infarction and Non-ST-Elevation Myocardial Infarction. Crit. Care Nurs. Clin. N. Am. 2018, 31, 49–64. [Google Scholar] [CrossRef]
- Montalescot, G.; Dallongeville, J.; Van Belle, E.; Rouanet, S.; Baulac, C.; Degrandsart, A.; Vicaut, E. STEMI and NSTEMI: Are they so different? 1 year outcomes in acute myocardial infarction as defined by the ESC/ACC definition (the OPERA registry). Eur. Hear. J. 2007, 28, 1409–1417. [Google Scholar] [CrossRef]
- Lorenzon dos Santos, J.; Quadros, A.S.; Weschenfelder, C.; Garofallo, S.B.; Marcadenti, A. Oxidative Stress Biomarkers, Nut-Related Antioxidants, and Cardiovascular Disease. Nutrients 2020, 12, 682. [Google Scholar] [CrossRef]
- Birben, E.; Sahiner, U.M.; Sackesen, C.; Erzurum, S.; Kalayci, O. Oxidative Stress and Antioxidant Defense. World Allergy Organ. J. 2012, 5, 9–19. [Google Scholar] [CrossRef]
- Preiser, J.C. Oxidative stress. JPEN J. Parenter. Enteral. Nutr. 2012, 36, 147–154. [Google Scholar] [CrossRef]
- Sugamura, K.; Keaney, J.F., Jr. Reactive oxygen species in cardiovascular disease. Free Radic. Biol. Med. 2011, 51, 978–992. [Google Scholar] [CrossRef]
- Vitulli, P.; Tanzilli, G.; Marullo, A.G.; Peruzzi, M.; Zoccai, G.B. Inflammation and Oxidative Stress in Acute Coronary Syndromes: A Continuum from Plaque Vulnerability to Thrombus Formation. Enliven Clin. Cardiol. Research 2014, 1, 1–7. [Google Scholar]
- Lubrano, V.; Pingitore, A.; Traghella, I.; Storti, S.; Parri, S.; Berti, S.; Ndreu, R.; Andrenelli, A.; Palmieri, C.; Iervasi, G.; et al. Emerging Biomarkers of Oxidative Stress in Acute and Stable Coronary Artery Disease: Levels and Determinants. Antioxidants 2019, 8, 115. [Google Scholar] [CrossRef] [PubMed]
- Misra, M.K.; Sarwat, M.; Bhakuni, P.; Tuteja, R.; Tuteja, N. Oxidative stress and ischemic myocardial syndromes. Med. Sci. Monit. 2009, 15, RA209–RA219. [Google Scholar] [PubMed]
- Perrelli, M.-G.; Pagliaro, P.; Penna, C. Ischemia/reperfusion injury and cardioprotective mechanisms: Role of mitochondria and reactive oxygen species. World J. Cardiol. 2011, 3, 186–200. [Google Scholar] [CrossRef]
- Kurian, G.A.; Rajagopal, R.; Vedantham, S.; Rajesh, M. The Role of Oxidative Stress in Myocardial Ischemia and Reperfusion Injury and Remodeling: Revisited. Oxid. Med. Cell. Longev. 2016, 2016, 1–14. [Google Scholar] [CrossRef] [PubMed]
- Phillips, M.; Cataneo, R.; Greenberg, J.; Grodman, R.; Salazar, M. Breath markers of oxidative stress in patients with unstable angina. Heart. Dis. 2003, 5, 95–99. [Google Scholar] [CrossRef]
- Vichova, T.; Motovska, Z. Oxidative stress: Predictive marker for coronary artery disease. Exp. Clin. Cardiol. 2013, 18, e88–e91. [Google Scholar]
- Hajar, R. Framingham Contribution to Cardiovascular Disease. Heart Views 2016, 17, 78–81. [Google Scholar] [CrossRef]
- Brunelli, E.; La Russa, D.; Pellegrino, D. Impaired Oxidative Status Is Strongly Associated with Cardiovascular Risk Factors. Oxid. Med. Cell. Longev. 2017, 2017, 6480145. [Google Scholar] [CrossRef]
- Himmetoglu, S.; Dincer, Y.; Bozcali, E.; Ali Vural, V.; Akcay, T. Oxidative DNA damage and antioxidant defense after reperfusion in acute myocardial infarction. J. Investig. Med. 2009, 57, 595–599. [Google Scholar] [CrossRef]
- Braunwald, E.; Antman, E.M.; Beasley, J.W.; Califf, R.M.; Cheitlin, M.D.; Hochman, J.S.; Jones, R.H.; Kereiakes, D.; Kupersmith, J.; Levin, T.N.; et al. ACC/AHA guidelines for the management of patients with unstable angina and non-ST-segment elevation myocardial infarction: Executive summary and recommendations A report of the American College of Cardiology/American Heart Association task force on practice guidelines (committee on the management of patients with unstable angina). Circulation 2000, 102, 1193–1209. [Google Scholar]
- Ibanez, B.; James, S.; Agewall, S.; Antunes, M.J.; Bucciarelli-Ducci, C.; Bueno, H.; Caforio, A.L.P.; Crea, F.; Goudevenos, J.A.; Halvorsen, S.; et al. 2017 ESC Guidelines for the management of acute myocardial infarction in patients presenting with ST-segment elevation: The Task Force for the management of acute myocardial infarction in patients presenting with ST-segment elevation of the European Society of Cardiology (ESC). Eur. Heart J. 2018, 39, 119–177. [Google Scholar] [CrossRef] [PubMed]
- Roffi, M.; Patrono, C.; Collet, J.-P.; Mueller, C.; Valgimigli, M.; Andreotti, F.; Bax, J.J.; Borger, M.A.; Brotons, C.; Chew, D.P.; et al. 2015 ESC Guidelines for the management of acute coronary syndromes in patients presenting without persistent ST-segment elevation. Eur. Heart J. 2016, 37, 267–315. [Google Scholar] [CrossRef] [PubMed]
- Auclair, C.; Voisin, E. Nitroblue tetrazolium reduction. In Handbook of Methods for Oxygen Radical Research; Greenvvald, R.A., Ed.; CRC Press: Boca Raton, FL, USA, 1985; pp. 123–132. [Google Scholar]
- Pick, E.; Keisari, Y. A simple colorimetric method for the measurement of hydrogen peroxide produced by cells in culture. J. Immunol. Meth. 1980, 38, 161–170. [Google Scholar] [CrossRef]
- Green, L.C.; Wagner, D.A.; Glogowski, J.; Skipper, P.L.; Wishnok, J.S.; Tannenbaum, S.R. Analysis of nitrate, nitrite and [15 N] nitrate in biological fluids. Anal. Biochem. 1982, 126, 131–138. [Google Scholar] [CrossRef]
- Ohkawa, H.; Ohishi, N.; Yagi, K. Assay for lipid peroxides in animal tissues by thiobarbituric acid reaction. Anal. Biochem. 1979, 95, 351–358. [Google Scholar] [CrossRef]
- Beutler, E. “Catalase,” in Red Cell Metabolism. In Manual of Biochemical Methods; Grune and Stratton: New York, NY, USA, 1982; pp. 105–106. [Google Scholar]
- Tsuchihashi, M. Zur Kenntnis der Blutkatalase. Biochem. Z. 1923, 140, 65–72. [Google Scholar]
- Misra, H.P.; Fridovich, I. The role of superoxide-anion in the autoxidation of epinephrine and a simple assay for superoxide dismutase. J. Biol. Chem. 1972, 247, 3170–3175. [Google Scholar] [CrossRef]
- Aebi, H. La catalase érythrocytaire [Erythrocyte catalase]. Expos Annu. Biochim. Med. 1969, 29, 139–166. [Google Scholar]
- Daga, L.C.; Kaul, U.; Mansoor, A. Approach to STEMI and NSTEMI. J. Assoc. Physicians India 2011, 59 (Suppl. S19–S25), 22624277. [Google Scholar]
- Zhou, T.; Chuang, C.-C.; Zuo, L. Molecular Characterization of Reactive Oxygen Species in Myocardial Ischemia-Reperfusion Injury. BioMed Res. Int. 2015, 2015, 1–9. [Google Scholar] [CrossRef]
- Raedschelders, K.; Ansley, D.M.; Chen, D.D.Y. The cellular and molecular origin of reactive oxygen species generation during myocardial ischemia and reperfusion. Pharmacol. Ther. 2012, 133, 230–255. [Google Scholar] [CrossRef]
- Jia, R.; Nie, X.; Li, H.; Zhu, H.; Pu, L.; Li, X.; Han, J.; Yang, D.; Meng, S.; Jin, Z. Impact of attenuated plaques on TIMI grade flow and clinical outcomes of coronary artery disease patients: A systematic review and meta analysis. J. Thorac. Dis. 2016, 8, 527–536. [Google Scholar] [CrossRef]
- Chiste, R.; Freitas, M.; Mercadante, A.; Fernandes, E. Superoxide Anion Radical: Generation and Detection in Cellular and Non-Cellular Systems. Curr. Med. Chem. 2015, 22, 4234–4256. [Google Scholar] [CrossRef]
- Aladağ, N.; Asoğlu, R.; Ozdemir, M.; Asoğlu, E.; Derin, A.; Demir, C.; Demir, H. Oxidants and antioxidants in myocardial infarction (MI): Investigation of ischemia modified albumin, malondialdehyde, superoxide dismutase and catalase in individuals diagnosed with ST elevated myocardial infarction (STEMI) and non-STEMI (NSTEMI). J. Med. Biochem. 2021, 40, 286–294. [Google Scholar] [CrossRef]
- Amaki, T.; Suzuki, T.; Nakamura, F.; Hayashi, D.; Imai, Y.; Morita, H.; Fukino, K.; Nojiri, T.; Kitano, S.; Hibi, N.; et al. Circulating malondialdehyde modified LDL is a biochemical risk marker for coronary artery disease. Heart 2004, 90, 1211–1213. [Google Scholar] [CrossRef] [PubMed]
- Griendling, K.K.; FitzGerald, G.A. Oxidative stress and cardiovascular injury: Part I: Basic mechanisms and in vivo monitoring of ROS. Circulation 2003, 108, 1912–1916. [Google Scholar] [CrossRef]
- Hekmat, M.; Taherkhan, M.; Saraiani, M.; Sadeghi, R.; Naser, V. Evaluation of independent impact of ST-segment resolution on outcome of patients with myocardial infarction. Res. Med. 2011, 35, 152–156. [Google Scholar]
- Montecucco, F.; Carbone, F.; Schindler, T.H. Pathophysiology of ST-segment elevation myocardial infarction: Novel mechanisms and treatments. Eur Heart J. 2015, 37, 1268–1283. [Google Scholar] [CrossRef] [PubMed]
- Oda, M.; Fujibayashi, K.; Wakasa, M.; Takano, S.; Fujita, W.; Kitayama, M.; Nakanishi, H.; Saito, K.; Kawai, Y.; Kajinami, K. Increased plasma glutamate in non-smokers with vasospastic angina pectoris is associated with plasma cystine and antioxidant capacity. Scand. Cardiovasc. J. 2022, 56, 180–186. [Google Scholar] [CrossRef] [PubMed]
- Matin, E.; Ghaffari, S.; Garjani, A.; Roshanravan, N.; Matin, S.; Alamdari, N.M.; Safaie, N. Oxidative stress and its association with ST resolution and clinical outcome measures in patients with ST-segment elevation myocardial infarction (STEMI) undergoing primary percutaneous coronary intervention. BMC Res. Notes 2020, 13, 525. [Google Scholar] [CrossRef]









| Variables | CTRL Group (n = 20) | STEMI Group (n = 40) | Non-STEMI Group (n = 39) | Statistical Significance |
|---|---|---|---|---|
| Age (years) | 65.11 ± 2.34 | 56.17 ± 1.22 | 69.17 ± 3.65 | p > 0.674 |
| Gender (F/M%) | 10 (50%); 10 (50%) | 23 (57.5%); 17 (42.5%) | 19 (48.7%); 20 (51.3%) | p > 0.761 |
| Time to hospital admission (min) | / | 59.09 ± 0.11 | 61.02 ± 0.23 | p > 0.709 |
| Hypertension (yes%) | 0 (0%) | 40 (100%) | 39 (100%) | p > 0.623 |
| Dyslipidemia (yes%) | 0 (0%) | 40 (100%) | 39 (100%) | p > 0.611 |
| Diabetes mellitus (yes%) | 0 (0%) | 40 (100%) | 39 (100%) | p > 0.782 |
| Previous CVD (yes%) | 0 (0%) | 40 (100%) | 39 (100%) | p > 0.881 |
| Smoking (yes%) | 17 (85%) | 22 (55%) | 26 (66.7%) | p > 0.578 |
| Killip classification | / | p > 0.604 | ||
| Class I (n,%) | 0 (0%) | 1 (2.6%) | ||
| Class II (n,%) | 10 (25%) | 13 (33.3%) | ||
| Class III (n,%) | 15 (37.5%) | 12 (30.8%) | ||
| Class IV (n,%) | 15 (37.5%) | 23 (58.9%) |
| hsTnI (ng/L) at T0 (X ± SD) | hsTnI (ng/L) at T12 (X ± SD) | CKMB (IU/L) at T0 (X ± SD) | CKMB (IU/L) at T12 (X ± SD) | NT-pBNP (pg/L) at T0 (X ± SD) | NT-pBNP (pg/L) at T12 (X ± SD) | |
|---|---|---|---|---|---|---|
| STEMI | 3.69 ± 0.89 | 26.03 ± 2.13 | 40.17 ± 7.16 | 118.27 ± 8.96 | 936.91 ± 64.23 | 3724.67 ± 256.32 |
| Non-STEMI | 1.01 ± 0.35 | 5.92 ± 0.78 | 28.03 ± 5.23 | 53.45 ± 6.12 | 861.16 ± 104.23 | 3244.64 ± 151.23 |
| Statistical significance (p value) | p = 0.032 * | p = 0.002 * | p = 0.022 * | p = 0.027 * | p = 0.062 | p = 0.041 * |
| Comparisons | p Value | Comparisons | p Value | |||
|---|---|---|---|---|---|---|
| O2- (nmol/mL) | T0 | T6 | 0.275 | STEMI | Non-STEMI | 0.960 |
| T12 | 0.830 | CTRL | 0.100 | |||
| T6 | T0 | 0.275 | Non-STEMI | STEMI | 0.960 | |
| T12 | 0.750 | CTRL | 0.134 | |||
| T12 | T0 | 0.830 | CTRL | STEMI | 0.100 | |
| T6 | 0.750 | Non-STEMI | 0.134 | |||
| H2O2 (nmol/mL) | T0 | T6 | 0.955 | STEMI | Non-STEMI | 0.611 |
| T12 | 0.716 | CTRL | 0.009 * | |||
| T6 | T0 | 0.955 | Non-STEMI | STEMI | 0.611 | |
| T12 | 0.883 | CTRL | 0.033 * | |||
| T12 | T0 | 0.716 | CTRL | STEMI | 0.009 * | |
| T6 | 0.883 | Non-STEMI | 0.033 * | |||
| NO− (nmol/mL) | T0 | T6 | 0.923 | STEMI | Non-STEMI | 0.000 ** |
| T12 | 0.508 | CTRL | 0.980 | |||
| T6 | T0 | 0.923 | Non-STEMI | STEMI | 0.000 ** | |
| T12 | 0.300 | CTRL | 0.015 * | |||
| T12 | T0 | 0.508 | CTRL | STEMI | 0.980 | |
| T6 | 0.300 | Non-STEMI | 0.015 * | |||
| TBARS (μmol/mL) | T0 | T6 | 0.817 | STEMI | Non-STEMI | 0.000 ** |
| T12 | 0.619 | CTRL | 0.000 ** | |||
| T6 | T0 | 0.817 | Non-STEMI | STEMI | 0.000 ** | |
| T12 | 0.946 | CTRL | 0.950 | |||
| T12 | T0 | 0.619 | CTRL | STEMI | 0.000 ** | |
| T6 | 0.946 | Non-STEMI | 0.950 | |||
| SOD (U/Hg × 103) | T0 | T6 | 0.023 * | STEMI | Non-STEMI | 0.000 ** |
| T12 | 0.072 | CTRL | 0.949 | |||
| T6 | T0 | 0.023 * | Non-STEMI | STEMI | 0.000 ** | |
| T12 | 0.000 * | CTRL | 0.000 ** | |||
| T12 | T0 | 0.072 | CTRL | STEMI | 0.949 | |
| T6 | 0.000 * | Non-STEMI | 0.000 ** | |||
| GSH (U/Hg × 103) | T0 | T6 | 0.620 | STEMI | Non-STEMI | 0.071 |
| T12 | 0.000 * | CTRL | 0.006 | |||
| T6 | T0 | 0.620 | Non-STEMI | STEMI | 0.071 | |
| T12 | 0.001 ** | CTRL | 0.101 | |||
| T12 | T0 | 0.000 ** | CTRL | STEMI | 0.006 * | |
| T6 | 0.001 ** | Non-STEMI | 0.101 | |||
| CAT (U/Hg × 103) | T0 | T6 | 0.000 ** | STEMI | Non-STEMI | 0.000 ** |
| T12 | 0.045 * | CTRL | 0.024 * | |||
| T6 | T0 | 0.000 ** | Non-STEMI | STEMI | 0.000 ** | |
| T12 | 0.049 * | CTRL | 0.751 | |||
| T12 | T0 | 0.045 * | CTRL | STEMI | 0.024 * | |
| T6 | 0.049 * | Non-STEMI | 0.751 | |||
| Markers | O2− (nmol/mL) | H2O2 (nmol/mL) | NO− (nmol/mL) | TBARS (μmol/mL) | CAT (U/Hg × 103) | GSH (U/Hg × 103) | SOD (U/Hg × 103) | |
|---|---|---|---|---|---|---|---|---|
| O2− (nmol/mL) | r | 1 | −0.076 | 0.148 * | 0.069 | 0.120 | 0.078 | 0.023 |
| p | 0.309 | 0.047 | 0.358 | 0.109 | 0.300 | 0.764 | ||
| H2O2 (nmol/mL) | r | −0.076 | 1 | −0.268 ** | −0.407 ** | −0.069 | −0.029 | −0.156 * |
| p | 0.309 | 0.000 | 0.000 | 0.319 | 0.670 | 0.024 | ||
| NO− (nmol/mL) | r | 0.148 * | −0.268 ** | 1 | 0.323 ** | −0.005 | −0.083 | 0.345 ** |
| p | 0.047 | 0.000 | 0.000 | 0.941 | 0.227 | 0.000 | ||
| TBARS (μmol/mL) | r | 0.069 | −0.407 ** | 0.323 ** | 1 | −0.112 | 0.204 ** | 0.420 ** |
| p | 0.358 | 0.000 | 0.000 | 0.105 | 0.003 | 0.000 | ||
| CAT (U/Hg × 103) | r | 0.120 | −0.069 | −0.005 | −0.112 | 1 | 0.118 | −0.230 ** |
| p | 0.109 | 0.319 | 0.941 | 0.105 | 0.086 | 0.001 | ||
| GSH (U/Hg × 103) | r | 0.078 | −0.029 | −0.083 | 0.204 ** | 0.118 | 1 | 0.034 |
| p | 0.300 | 0.670 | 0.227 | 0.003 | 0.086 | 0.626 | ||
| SOD (U/Hg × 103) | r | 0.023 | −0.156 * | 0.345 ** | 0.420 ** | −0.230 ** | 0.034 | 1 |
| p | 0.764 | 0.024 | 0.000 | 0.000 | 0.001 | 0.626 | ||
| hsTnI (ng/L) at admission | r | 0.955 * | −0.604 | −0.789 | −0.291 | 0.900 | 0.583 | −0.483 |
| p | 0.045 | 0.396 | 0.211 | 0.709 | 0.100 | 0.417 | 0.517 | |
| CKMB (IU/L) at admission | r | 0.642 | 0.318 | −0.144 | 0.633 | 0.859 | −0.174 | −0.180 |
| p | 0.358 | 0.682 | 0.856 | 0.367 | 0.141 | 0.826 | 0.820 | |
| NT-pBNP (pg/L) at admission | r | 0.677 | 0.229 | −0.250 | 0.563 | 0.891 | −0.148 | −0.151 |
| p | 0.323 | 0.771 | 0.750 | 0.437 | 0.109 | 0.852 | 0.849 | |
| hsTnI (ng/L) during hospital treatment | r | 0.626 | 0.353 | −0.099 | 0.660 | 0.843 | −0.183 | −0.193 |
| p | 0.374 | 0.647 | 0.901 | 0.340 | 0.157 | 0.817 | 0.807 | |
| CKMB (IU/L) during hospital treatment | r | 0.650 | 0.340 | −0.093 | 0.645 | 0.854 | −0.142 | −0.240 |
| p | 0.350 | 0.660 | 0.907 | 0.355 | 0.146 | 0.858 | 0.760 | |
| NT-pBNP (pg/L) during hospital treatment | r | −0.619 | 0.572 | 0.202 | 0.558 | −0.305 | −0.973 * | 0.927 |
| p | 0.381 | 0.428 | 0.798 | 0.442 | 0.695 | 0.027 | 0.073 |
Disclaimer/Publisher’s Note: The statements, opinions and data contained in all publications are solely those of the individual author(s) and contributor(s) and not of MDPI and/or the editor(s). MDPI and/or the editor(s) disclaim responsibility for any injury to people or property resulting from any ideas, methods, instructions or products referred to in the content. |
© 2023 by the authors. Licensee MDPI, Basel, Switzerland. This article is an open access article distributed under the terms and conditions of the Creative Commons Attribution (CC BY) license (https://creativecommons.org/licenses/by/4.0/).
Share and Cite
Savovic, Z.; Pindovic, B.; Nikolic, M.; Simic, I.; Davidovic, G.; Ignjatovic, V.; Vuckovic, J.; Zornic, N.; Nikolic Turnic, T.; Zivkovic, V.; et al. Prognostic Value of Redox Status Biomarkers in Patients Presenting with STEMI or Non-STEMI: A Prospective Case-Control Clinical Study. J. Pers. Med. 2023, 13, 1050. https://doi.org/10.3390/jpm13071050
Savovic Z, Pindovic B, Nikolic M, Simic I, Davidovic G, Ignjatovic V, Vuckovic J, Zornic N, Nikolic Turnic T, Zivkovic V, et al. Prognostic Value of Redox Status Biomarkers in Patients Presenting with STEMI or Non-STEMI: A Prospective Case-Control Clinical Study. Journal of Personalized Medicine. 2023; 13(7):1050. https://doi.org/10.3390/jpm13071050
Chicago/Turabian StyleSavovic, Zorica, Bozidar Pindovic, Maja Nikolic, Ivan Simic, Goran Davidovic, Vladimir Ignjatovic, Jelena Vuckovic, Nenad Zornic, Tamara Nikolic Turnic, Vladimir Zivkovic, and et al. 2023. "Prognostic Value of Redox Status Biomarkers in Patients Presenting with STEMI or Non-STEMI: A Prospective Case-Control Clinical Study" Journal of Personalized Medicine 13, no. 7: 1050. https://doi.org/10.3390/jpm13071050
APA StyleSavovic, Z., Pindovic, B., Nikolic, M., Simic, I., Davidovic, G., Ignjatovic, V., Vuckovic, J., Zornic, N., Nikolic Turnic, T., Zivkovic, V., Srejovic, I., Bolevich, S., Jakovljevic, V., & Iric Cupic, V. (2023). Prognostic Value of Redox Status Biomarkers in Patients Presenting with STEMI or Non-STEMI: A Prospective Case-Control Clinical Study. Journal of Personalized Medicine, 13(7), 1050. https://doi.org/10.3390/jpm13071050

