Intra- and Interrater Reliability of CT- versus MRI-Based Cochlear Duct Length Measurement in Pediatric Cochlear Implant Candidates and Its Impact on Personalized Electrode Array Selection
Abstract
1. Introduction
2. Materials and Methods
2.1. Participants
2.2. Radiological Data
2.3. Measurement of Cochlear Parameters
2.4. Data Analysis
3. Results
3.1. Absolute CT- and MRI-Based Length Parameters (Mean and Range)
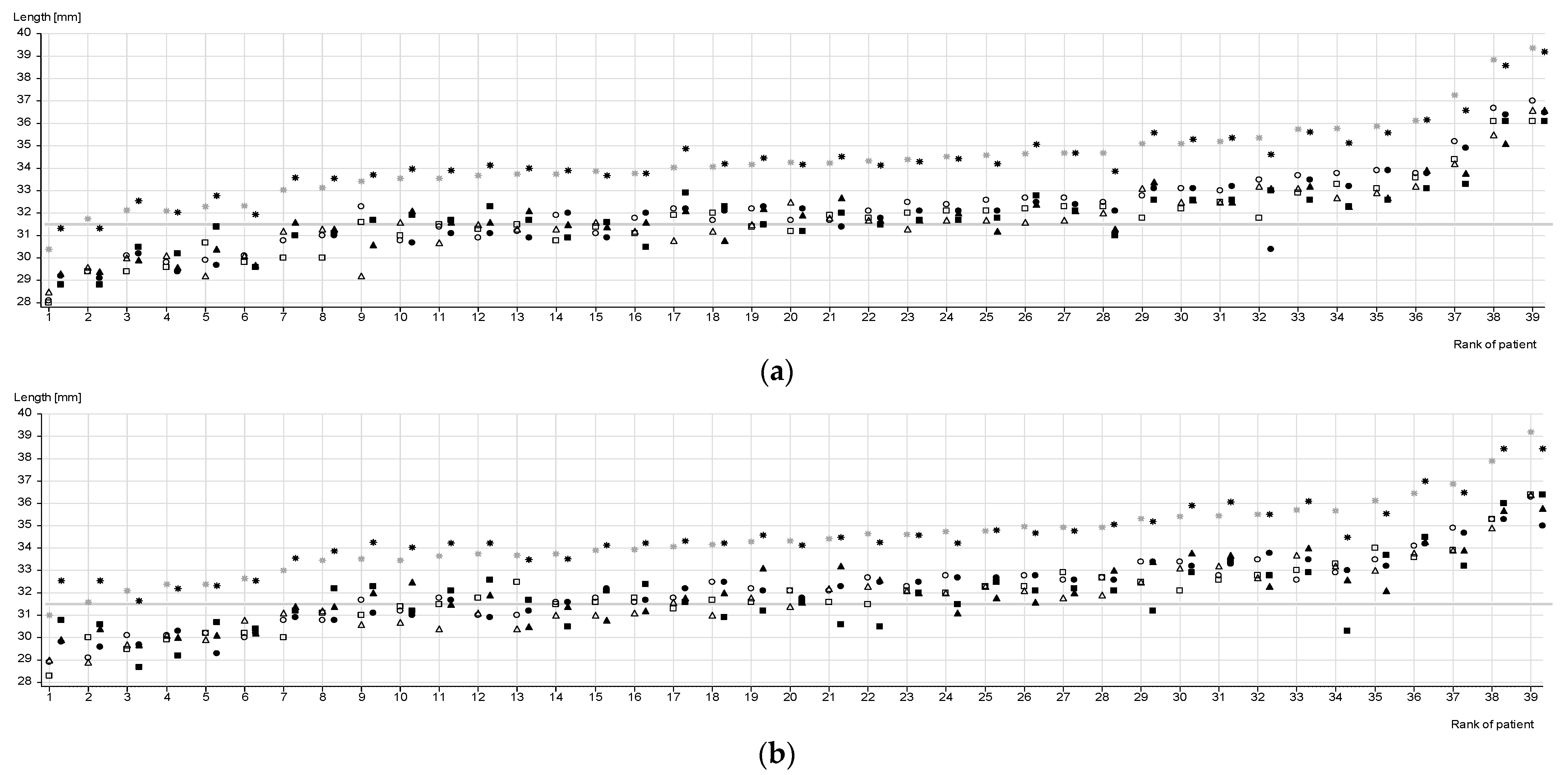
3.2. Distribution of the Individual CDLs and Lengths at 720° Based on CT Data versus MRI Data
3.3. Absolute Intrarater Differences and Intrarater Reliability According to the Comparison of CT-Based Data and MRI-Based Data
3.4. Most Appropriate Electrode Arrays (FLEX 28 vs. 31.5 mm Electrode Array) Selected by the Three Raters Based on the CT Data versus MRI Data
3.5. AID with Personalized Electrode Arrays Evaluated on the Basis of CT or MRI Data
3.6. Absolute Interrater Differences and Interrater Reliability Based on CT Data versus MRI Data
4. Discussion
5. Conclusions
Author Contributions
Funding
Institutional Review Board Statement
Informed Consent Statement
Data Availability Statement
Acknowledgments
Conflicts of Interest
References
- Boisvert, I.; Reis, M.; Au, A.; Cowan, R.; Dowell, R.C. Cochlear implantation outcomes in adults: A scoping review. PLoS ONE 2020, 15, e0232421. [Google Scholar] [CrossRef] [PubMed]
- Dazert, S.; Thomas, J.P.; Loth, A.; Zahnert, T.; Stöver, T. Cochlear Implantation. Dtsch. Arztebl. Int. 2020, 117, 690–700. [Google Scholar]
- Dornhoffer, J.R.; Reddy, P.; Meyer, T.A.; Schvartz-Leyzac, K.C.; Dubno, J.R.; McRackan, T.R. Individual Differences in Speech Recognition Changes After Cochlear Implantation. JAMA Otolaryngol. Head Neck Surg. 2021, 147, 280–286. [Google Scholar] [CrossRef] [PubMed]
- Bernhard, N.; Gauger, U.; Romo Ventura, E.; Uecker, F.C.; Olze, H.; Knopke, S.; Hänsel, T.; Coordes, A. Duration of deafness impacts auditory performance after cochlear implantation: A meta-analysis. Laryngoscope Investig. Otolaryngol. 2021, 6, 291–301. [Google Scholar] [CrossRef] [PubMed]
- Holden, L.K.; Finley, C.C.; Firszt, J.B.; Holden, T.A.; Brenner, C.; Potts, L.G.; Gotter, B.D.; Vanderhoof, S.S.; Mispagel, K.; Heydebrand, G.; et al. Factors affecting open-set word recognition in adults with cochlear implants. Ear Hear. 2013, 34, 342–360. [Google Scholar] [CrossRef] [PubMed]
- Mikic, B.; Miric, D.; Nikolic-Miric, M.; Ostojic, S.; Asanovic, M. Age at implantation and auditory memory in cochlear implanted children. Cochlear Implant. Int. 2014, 15 (Suppl. 1), 33–35. [Google Scholar] [CrossRef]
- O’Connell, B.P.; Cakir, A.; Hunter, J.B.; Francis, D.O.; Noble, J.H.; Labadie, R.F.; Zuniga, G.; Dawant, B.M.; Rivas, A.; Wanna, G.B. Electrode Location and Angualr Insertion Depth Are Prdictors of Audiologic Outcomes in Cochlear Implantation. Otol. Neurotol. 2016, 37, 1016–1023. [Google Scholar] [CrossRef]
- Adunka, O.F.; Buss, E.; Clark, M.S.; Pillsbury, H.C.; Buchman, C.A. Effect of preoperative residual hearing on speech perception after cochlear implantation. Laryngoscope 2008, 118, 2044–2049. [Google Scholar] [CrossRef]
- Völter, C.; Oberländer, K.; Haubitz, I.; Carroll, R.; Dazert, S.; Thomas, J.P. Poor Performer: A distinct Entity in Cochlear Implant Users? Audiol. Neurotol. 2022, 27, 356–367. [Google Scholar] [CrossRef]
- Dhanasingh, A.; Jolly, C. An overview of cochlear implant electrode array designs. Hear. Res. 2017, 356, 93–103. [Google Scholar] [CrossRef]
- Fabie, J.E.; Keller, R.G.; Hatch, J.L.; Holcomb, M.A.; Camposeo, E.L.; Lambert, P.R.; Meyer, T.A.; McRackan, T.R. Evaluation of outcome variability associated with lateral wall, mid scalar, and perimodiolar electrode arrays when controlling for pre-operative patient characteristics. Otol. Neurotol. 2018, 39, 1122–1128. [Google Scholar] [CrossRef] [PubMed]
- Sturm, J.J.; Patel, V.; Dibelius, G.; Kuhlmey, M.; Kim, A.H. Comparative Performance of Lateral Wall and Perimodiolar Cochlear Implant Arrays. Otol. Neurotol. 2021, 42, 532–539. [Google Scholar] [CrossRef] [PubMed]
- Chakravorti, S.; Noble, J.J.H.; Gifford, R.H.; Dawant, B.M.; O’Connell, B.P.; Wang, J.; Labadie, R.F. Further Evidence of the Relationship Between Cochlear Implant Electrode Positioning and Hearing Outcomes. Otol. Neurotol. 2019, 40, 617–624. [Google Scholar] [CrossRef] [PubMed]
- Dhanasingh, A.E.; Rajan, G.; van de Heyning, P. Presence of the spiral ganglion cell bodies beyond the basal turn of the human cochlea. Cochlear Implant. Int. 2020, 21, 145–152. [Google Scholar] [CrossRef]
- Buchman, C.A.; Dillon, M.T.; King, E.R.; Adunka, M.C.; Adunka, O.F.; Pillsbury, H.C. Influence of cochlear implant insertion depth on performance: A prospective randomized trial. Otol. Neurotol. 2014, 35, 1773–1779. [Google Scholar] [CrossRef]
- Canfarotta, M.W.; Dillon, M.T.; Buchman, C.A.; Buss, E.; O´Connell, B.P.; Rooth, M.A.; King, E.R.; Pillsbury, H.C.; Adunka, O.F.; Brown, K.D. Long-Term Influence of Electrode Array Length on Speech Recognition in Cochlear Implant Users. Laryngocope 2020, 131, 892–897. [Google Scholar] [CrossRef]
- O’Connell, B.P.; Hunter, J.B.; Haynes, D.S.; Holder, J.T.; Dedmon, M.M.; Noble, J.H.; Dawant, B.M.; Wanna, G.B. Insertion Depth Impacts Speech Perception and Hearing Preservation for Lateral Wall Electrodes. Laryngoscope 2017, 127, 2352–2357. [Google Scholar] [CrossRef]
- Morrel, W.G.; Holder, J.T.; Dawant, B.M.; Noble, J.H.; Labadie, R.F. Effect of Scala Tympani Height on Insertion Depth of Straight Cochlear Implant Electrodes. Otolaryngol. Neck Surg. 2020, 162, 718–724. [Google Scholar] [CrossRef]
- Hamzavi, J.; Arnoldner, C. Effect of deep insertion of the cochlear implant electrode array on pitch estimation and speech perception. Acta Oto-Laryngol. 2006, 126, 1182–1187. [Google Scholar] [CrossRef]
- Roy, A.T.; Penninger, R.T.; Pearl, M.S.; Wuerfel, W.; Jiradejvong, P.; Carver, C.; Buechner, A.; Limb, C.J. Deeper Cochlear Implant Electrode Insertion Angle Improves Detection of Musical Sound Quality Deterioration Related to bass Frequency Removal. Otol. Neurotol. 2015, 37, 146–151. [Google Scholar] [CrossRef]
- Hardy, M. The length of the organ of Corti in man. Am. J. Anat. 1938, 62, 291–311. [Google Scholar] [CrossRef]
- Ulehlova, I.; Voldrich, L.; Janisch, R. Correlative study of sensory cell density and cochlear length in humans. Hear. Res. 1987, 28, 149–151. [Google Scholar] [CrossRef]
- Erixon, E.; Högstorp, H.; Wadin, K.; Rask-Andersen, H. Variational anatomy of the human cochlea: Implications for cochlear implantation. Otol. Neurotol. 2009, 30, 14–22. [Google Scholar] [CrossRef] [PubMed]
- Würfel, W.; Lanfermann, H.; Lenarz, T.; Majdani, O. Cochlear length determination using Cone Beam Computed Tomography in a clinical setting. Hear. Res. 2014, 316, 65–72. [Google Scholar] [CrossRef] [PubMed]
- Cooperman, S.P.; Aaron, K.A.; Fouad, A.; Tran, E.; Blevins, N.H.; Fitzgerald, M.B. Influence of electrode to cochlear duct length ratio on post-operative speech understanding outcomes. Cochlear Implant. Int. 2022, 23, 59–69. [Google Scholar] [CrossRef] [PubMed]
- Meng, J.; Li, S.; Zhang, F.; Li, Q.; Qin, Z. Cochlear size and shape variability and implication in cochlear implantation surgery. Otol. Neurotol. 2016, 37, 1307–1313. [Google Scholar] [CrossRef] [PubMed]
- Dhanasingh, A. The rationale for FLEX (cochlear implant) electrode with varying array lengths. World J. Otorhinolaryngol. -Head Neck Surg. 2021, 7, 45–53. [Google Scholar] [CrossRef]
- Koch, R.W.; Ladak, H.M.; Elfarnawany, M.; Agrawal, S.K. Measuring Cochlear Duct Length—A historical analysis of methods and results. J. Otolaryngol. Head Neck Surg. 2017, 46, 19. [Google Scholar] [CrossRef]
- Erixon, E.; Rask-Andersen, H. How to predict cochlear length before cochlear implant surgery. Acta Oto-Laryngol. 2013, 133, 1258–1265. [Google Scholar] [CrossRef]
- Vu, T.H.; Perazzini, C.; Puechmaille, M.; Bachy, A.; Mulliez, A.; Boyer, L.; Mom, T.; Gabrillargues, J. CT-scan contouring technique allows for direct and reliable measurements of the cochlear duct length: Implication in cochlear implantation with straight electrode-arrays. Eur. Arch. Oto-Rhino-Laryngol. 2019, 276, 2135–2140. [Google Scholar] [CrossRef]
- Alexiades, G.; Dhanasingh, A.; Jolly, C. Method to estimate the complete and two-turn cochlear duct length. Otol. Neurotol. 2014, 36, 904–907. [Google Scholar] [CrossRef] [PubMed]
- Chen, Y.; Chen, J.; Tan, H.; Jiang, M.; Wu, Y.; Zhang, Z.; Li, Y.; Jia, H.; Wu, H. Cochlear Duct Length Calculation: Comparison Between Using Otoplan and Curved Multiplanar Reconstruction in Nonmalformed Cochlea. Otol. Neurotol. 2021, 42, e875–e880. [Google Scholar] [CrossRef] [PubMed]
- Schurzig, D.; Timm, M.E.; Batsoulis, C.; Salcher, R.; Sieber, D.; Jolly, C.; Lenarz, T.; Zoka-Assadi, M. A Novel Method for Clinical Cochlear Duct Length Estimation toward Patient-Specific cochlear Implant Selection. OTO Open 2018, 2, 2473974X18800238. [Google Scholar] [CrossRef] [PubMed]
- Escudé, B.; Lames, C.; Deguine, O.; Cochard, N.; Eter, E.; Fraysse, B. The Size of the Cochlea and Predictions of Insertion Depth Angles for Cochlear Implant Electrodes. Audiol. Neurotol. 2006, 11 (Suppl. 1), 27–33. [Google Scholar] [CrossRef] [PubMed]
- Mertens, G.; van Rompaey, V.; Van de Heyning, P.; Gorris, E.; Topsakal, V. Prediction of the cochlear implant electrode insertion depth: Clinical applicability of two analytical cochlear models. Sci. Rep. 2020, 10, 3340. [Google Scholar] [CrossRef]
- Breitsprecher, T.; Dhanasingh, A.; Schulze, M.; Kipp, M.; Abu Dakar, R.; Oberhoffner, T.; Dau, M.; Frerich, B.; Weber, M.A.; Langner, R.; et al. CT imaging-based approaches to cochlear duct length estimation—A human temporal bone study. Eur. Radiol. 2022, 32, 1014–1023. [Google Scholar] [CrossRef] [PubMed]
- Khurayzi, T.; Almuhawas, F.; Sanosi, A. Direct measurement of cochlear parameters for automatic calculation of the cochlear duct length. Ann. Saudi Med. 2020, 40, 212–218. [Google Scholar] [CrossRef] [PubMed]
- Ambrosio, A.A.; Loundon, N.; Vinocur, D.; Kruk, P.; Le Ponte, H.D.; Chalard, F.; Zapala, M.; Carvalho, D. The role of computed tomography and magnetic resonance imaging for preoperative pediatric cochlear implantation work-up in academic institutions. Cochlear Implant. Int. 2021, 22, 96–102. [Google Scholar] [CrossRef]
- Pearce, M.S.; Salotti, J.A.; Little, M.P.; McHugh, K.; Lee, C.; Kim, K.P.; Howe, N.L.; Ronckers, C.M.; Rajaraman, P.; Sir Craft, A.W.; et al. Radiation exposure from CT scans in childhood and subsequent risk of leukemia and brain tumours: A retrospective cohort study. Lancet 2012, 380, 499–505. [Google Scholar] [CrossRef]
- Stein, S.C.; Hurst, R.W.; Sonnad, S.S. Meta-analysis of cranial CT scans in children. A mathematical model to predict radiation-induced tumors. Pediatr. Neurosurg. 2008, 44, 448–457. [Google Scholar] [CrossRef]
- Berrington de Gonzalez, A.; Salotti, J.A.; McHugh, K.; Little, M.P.; Harbron, R.W.; Lee, C.; Ntowe, E.; Braganza, M.Z.; Parker, L.; Rajaraman, P.; et al. Relationship between paediatric CT scans and subsequent risk of leukaemia and brain tumours: Assessment of the impact of underlying conditions. Br. J. Cancer 2016, 114, 388–394. [Google Scholar] [CrossRef]
- Foucault, A.; Ancelet, S.; Dreuil, S.; Caer-Lorho, S.; Ducou Le Ponte, H.; Brisse, H.; Chateil, J.F.; Lee, C.; Leuraud, K.; Bernier, M.O. Childhood cancer risks estimates following CT scans: An update of the French CT cohort study. Eur. Radiol. 2022, 32, 5491–5498. [Google Scholar] [CrossRef] [PubMed]
- Nash, R.; Otero, S.; Lavy, J. Use of MRI to determine cochlear duct length in patients undergoing cochlear implantation. Cochlear Implant. Int. 2019, 20, 57–61. [Google Scholar] [CrossRef] [PubMed]
- Ehrmann-Mueller, W.; Shehata-Dieler, W.; Kaulitz, S.; Back, D.; Kurz, A.; Kühn, H.; Hagen, R.; Rak, K. Cochlear implantation in children without preoperative computed tomography diagnostics. Analysis of procedure and rate of complications. Int. J. Pediatr. Otorhinolaryngol. 2020, 138, 110266. [Google Scholar] [CrossRef]
- Mistrik, P.; Jolly, C. Optimal electrode length to match patient specific cochlear anatomy. Eur. Ann. Otorhinolaryngol. Head Neck Dis. 2016, 133 (Suppl. 1), 68–71. [Google Scholar] [CrossRef] [PubMed]
- Cicchetti, D.V. Guidelines, criteria and rules of thumb for evaluation normed and standardized assessment instruments in psychology. Psychol. Assess. 1994, 6, 284–290. [Google Scholar] [CrossRef]
- Timm, M.E.; Majdani, O.; Weller, T.; Windeler, M.; Lenarz, T.; Büchner, A.; Salcher, R.B. Patient specific selection of lateral wall cochlear implant electrodes based on anatomical indication ranges. PLoS ONE 2018, 13, e0206435. [Google Scholar] [CrossRef]
- Bast, T.H. XXXII Development of the otic capsule: VI. Histological Changes and Variations in the Growing Bony Capsule of the Vestibule and Cochlea. Ann. Otol. Rhinol. Laryngol. 1942, 51, 343–357. [Google Scholar] [CrossRef]
- Müller-Graff, F.T.; Ilgen, L.; Schendzielorz, P.; Voelker, J.; Taeger, J.; Kurz, A.; Hagen, R.; Neun, T.; Rak, K. Implementation of secondary reconstructions of flat-panel volume computed tomography (fpVCT) and otological planning software for anatomically based cochlear implantation. Eur. Arch. Oto-Rhino-Laryngol. 2021, 279, 2309–2319. [Google Scholar] [CrossRef]
- Weber, L.; Kwok, P.; Picou, E.M.; Wendl, C.; Bohr, C.; Marcrum, S.C. Measuring the cochlea using a tablet-based software package: Influence of imaging modality and rater background. HNO 2022, 70, 769–777. [Google Scholar] [CrossRef]
- Spiegel, J.L.; Polterauer, D.; Hempel, J.M.; Canis, M.; Spiro, J.E.; Müller, J. Variation of the cochlear anatomy and cochlea duct length: Analysis with a new tablet-based software. Eur. Arch. Oto-Rhino-Laryngol. 2022, 279, 1851–1861. [Google Scholar] [CrossRef] [PubMed]
- Taeger, J.; Müller-Graff, F.T.; Ilgen, L.; Schendzielorz, P.; Hagen, R.; Neun, T.; Rak, K. Cochlear Duct Length Measurements in Computed Tomography and Magentic Resonance Imaging Using Newly Developed Techniques. OTO Open 2021, 5, 2473974X211045312. [Google Scholar] [CrossRef] [PubMed]
- George-Jones, N.A.; Tolisano, A.M.; Kutz, J.W.; Isaacson, B.; Hunter, J.B. Comparing Cochlear Duct Lengths between CT and MRI Images Using an Otological Surgical Planning Software. Otol. Neurotol. 2020, 41, e1118–e1121. [Google Scholar] [CrossRef] [PubMed]
- Eser, M.B.; Atalay, B.; Dogan, M.B.; Gündüz, M.B.; Kalcioglu, M.T. Measuring 3D Cochlear Duct Length on MRI: Is It Accurate and Reliable? Am. J. Neuroradiol. 2021, 42, 2016–2022. [Google Scholar] [CrossRef] [PubMed]
- Canfarotta, M.W.; Dillon, M.T.; Buss, E.; Pillsbury, H.C.; Brown, K.D.; O´Connell, B.P. Validating a New Tablet-Based Tool in the Determination of Cochlear Implant Angular Insertion Depth. Otol. Neurotol. 2019, 40, 1006–1010. [Google Scholar] [CrossRef]
- Cooperman, S.P.; Aaron, K.A.; Fouad, A.; Tran, E.; Bleviins, N.H.; Fitzgerald, M.B. Assessment of Inter- and Intra-rater Reliability of tablet-based Software to Measure Cochlear Duct Length. Otol. Neurotol. 2021, 42, 558–565. [Google Scholar] [CrossRef]
- Rivas, A.; Cakir, A.; Hunter, J.B.; Labadie, R.F.; Zuniga, M.G.; Wanna, G.B.; Dawant, B.M.; Noble, J.H. Automatic cochlear duct length estimation for selection of cochlear implant electrode arrays. Otol. Neurotol. 2017, 38, 339–346. [Google Scholar] [CrossRef]




| Rater 1 | Rater 1 | Rater 2 | Rater 2 | Rater 3 | Rater 3 | |
|---|---|---|---|---|---|---|
| CT | MRI | CT | MRI | CT | MRI | |
| Right cochlea | ||||||
| CDL | 34.628 ± 1.687 (31.2–39.1) | 34.641 ± 1.595 (31.5–38.1) | 34.426 ± 1.655 (30.5–39.2) | 34.392 ± 1.672 (31.0–39.2) | 34.264 ± 1.667 (31.1–39.3) | 34.59 ± 1.596 (32.0–38.5) |
| Length at 720° | 32.136 ± 1.567 (28.9–36.3) | 32.151 ± 1.482 (29.3–35.3) | 31.946 ± 1.53 (28.3–36.4) | 31.918 ± 1.548 (28.7–36.4) | 31.792 ± 1.545 (28.9–36.4) | 32.11 ± 1.481 (29.7–35.8) |
| Diameter A | 8.913 ± 0.397 (8.0–9.7) | 9.021 ± 0.418 (8.3–10.0) | 8.864 ± 0.324 (8.3–9.6) | 8.787 ± 0.379 (8.1–9.8) | 8.913 ± 0.388 (7.9–9.8) | 8.882 ± 0.389 (8.2–9.8) |
| Width B | 6.81 ± 0.345 (6.0–7.7) | 6.777 ± 0.301 (6.1–7,3) | 6.774 ± 0.372 (5.9–7.9) | 6.795 ± 0.348 (6.2–7.9) | 6.718 ± 0.342 (6.0–7.7) | 6.81 ± 0.309 (6.3–7.6) |
| Height H | 3.738 ± 0.318 3.0–4.4 | 3.9 ± 0.298 (3.1–4.5) | 3.733 ± 0.267 (3.1–4.3) | 3.803 ± 0.33 (3.2–4.8) | 3.597 ± 0.27 (3.2–4.1) | 3.618 ± 0.263 (3.1–4.2) |
| Left cochlea | ||||||
| CDL | 34.644 ± 1.915 (30.3–39.8) | 34.436 ± 1.831 (31.3–39.3) | 34.195 ± 1.738 (30.2–38.9) | 34.341 ± 1.563 (31.0–38.9) | 34.177 ± 1.712 (30.7–39.4) | 34.382 ± 1.592 (31.5–39.4) |
| Length at 720° | 32.156 ± 1.794 (28.1–37.0) | 31.972 ± 1.71 (29.1–36.5) | 31.746 ± 1.617 (28.0–36.1) | 31.874 ± 1.456 (28.8–36.1) | 31.728 ± 1.59 (28.5–36.6) | 31.923 ± 1.473 (29.3–36.6) |
| Diameter A | 8.938 ± 0.335 (8.2–9.5) | 8.9 ± 0.384 (8.2–9.8) | 8.895 ± 0.329 (8.1–9.4) | 8.856 ± 0.376 (8.3–9.7) | 8.91 ± 0.34 (8.2–9.4) | 8.892 ± 0.365 (8.1–9.6) |
| Width B | 6.805 ± 0.452 (5.6–8.0) | 6.787 ± 0.361 (6.1–7.8) | 6.721 ± 0.411 (5.6–7.8) | 6.754 ± 0.323 (6.0–7.7) | 6.695 ± 0.405 (5.8–8.0) | 6.751 ± 0.352 (6.0–7.8) |
| Height H | 3.823 ± 0.346 (3.1–4.3) | 4.021 ± 0.318 (3.4–4.6) | 3.744 ± 0.312 (3.1–4.3) | 3.856 ± 0.339 (2.8–4.5) | 3.644 ± 0.279 (3.0–4.1) | 3.662 ± 0.248 (3.0–4.1) |
| Left Side | Right Side | |||||||||
|---|---|---|---|---|---|---|---|---|---|---|
| Rater | HR-CT | MRI | HR-CT | MRI | ||||||
| 1 | 2 | 3 | n | % | n | % | n | % | n | % |
| 31 | 31 | 31 | 17 | 43.6 | 16 | 41.0 | 19 | 48.7 | 17 | 43.6 |
| 31 | 31 | 28 | 6 | 15.4 | 3 | 7.7 | 8 | 20.5 | 3 | 7.7 |
| 31 | 28 | 31 | 4 | 10.2 | 3 | 7.7 | 2 | 5.1 | 6 | 15.4 |
| 31 | 28 | 28 | 3 | 7.7 | 1 | 2.6 | 2 | 5.1 | 1 | 2.5 |
| 28 | 31 | 31 | 1 | 2.6 | 6 | 15.4 | 0 | 0 | 2 | 5.1 |
| 28 | 31 | 28 | 0 | 0 | 2 | 5.1 | 1 | 2.6 | 2 | 5.1 |
| 28 | 28 | 31 | 1 | 2.6 | 1 | 2.6 | 0 | 0 | 1 | 2.6 |
| 28 | 28 | 28 | 7 | 17.9 | 7 | 17.9 | 7 | 18.0 | 7 | 18.0 |
Disclaimer/Publisher’s Note: The statements, opinions and data contained in all publications are solely those of the individual author(s) and contributor(s) and not of MDPI and/or the editor(s). MDPI and/or the editor(s) disclaim responsibility for any injury to people or property resulting from any ideas, methods, instructions or products referred to in the content. |
© 2023 by the authors. Licensee MDPI, Basel, Switzerland. This article is an open access article distributed under the terms and conditions of the Creative Commons Attribution (CC BY) license (https://creativecommons.org/licenses/by/4.0/).
Share and Cite
Thomas, J.P.; Klein, H.; Haubitz, I.; Dazert, S.; Völter, C. Intra- and Interrater Reliability of CT- versus MRI-Based Cochlear Duct Length Measurement in Pediatric Cochlear Implant Candidates and Its Impact on Personalized Electrode Array Selection. J. Pers. Med. 2023, 13, 633. https://doi.org/10.3390/jpm13040633
Thomas JP, Klein H, Haubitz I, Dazert S, Völter C. Intra- and Interrater Reliability of CT- versus MRI-Based Cochlear Duct Length Measurement in Pediatric Cochlear Implant Candidates and Its Impact on Personalized Electrode Array Selection. Journal of Personalized Medicine. 2023; 13(4):633. https://doi.org/10.3390/jpm13040633
Chicago/Turabian StyleThomas, Jan Peter, Hannah Klein, Imme Haubitz, Stefan Dazert, and Christiane Völter. 2023. "Intra- and Interrater Reliability of CT- versus MRI-Based Cochlear Duct Length Measurement in Pediatric Cochlear Implant Candidates and Its Impact on Personalized Electrode Array Selection" Journal of Personalized Medicine 13, no. 4: 633. https://doi.org/10.3390/jpm13040633
APA StyleThomas, J. P., Klein, H., Haubitz, I., Dazert, S., & Völter, C. (2023). Intra- and Interrater Reliability of CT- versus MRI-Based Cochlear Duct Length Measurement in Pediatric Cochlear Implant Candidates and Its Impact on Personalized Electrode Array Selection. Journal of Personalized Medicine, 13(4), 633. https://doi.org/10.3390/jpm13040633

