Intrapartum Factors Affecting Abnormal Lipid Profiles in Early Postpartum Period
Abstract
1. Introduction
2. Materials and Methods
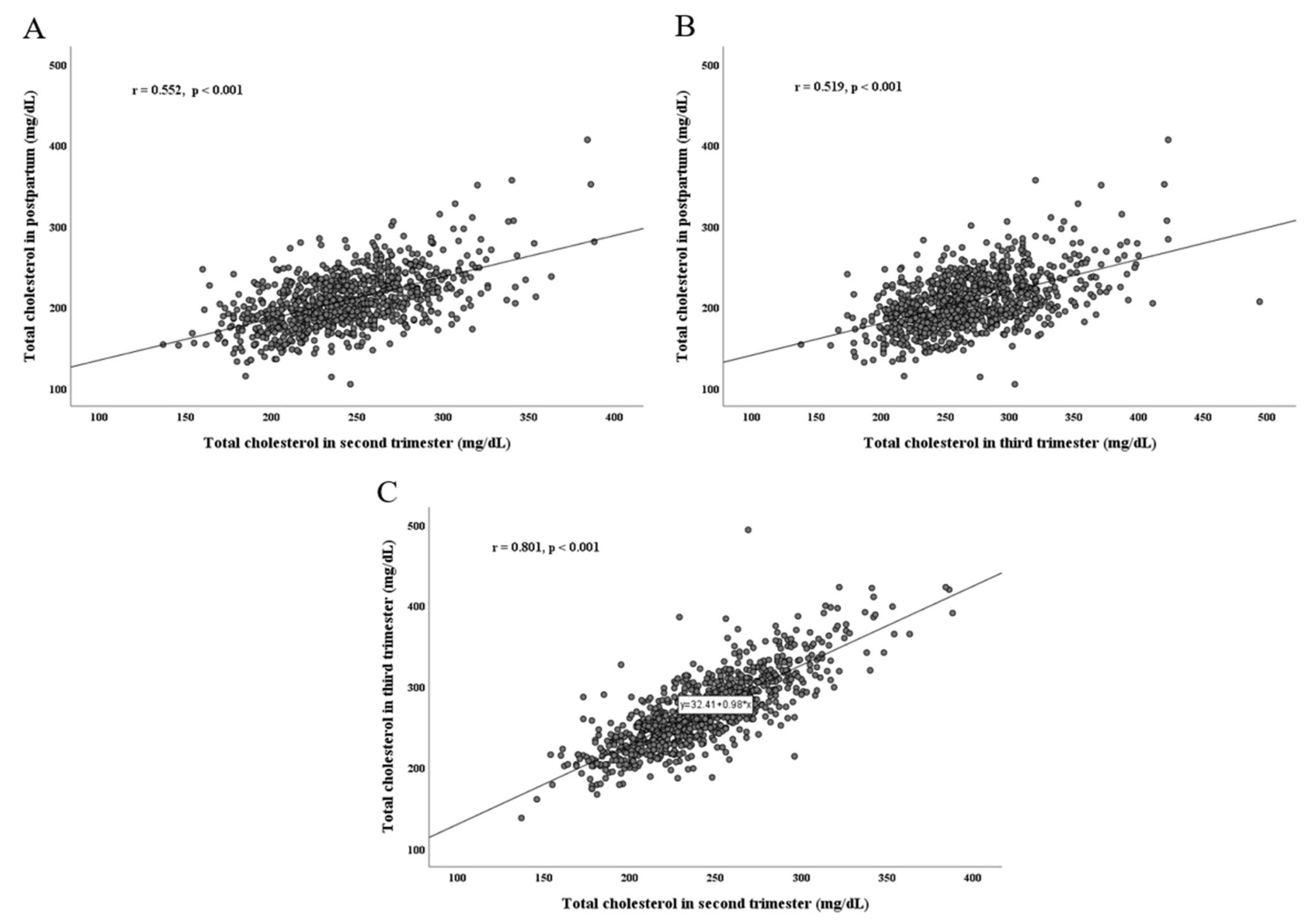
3. Results
4. Discussion
Author Contributions
Funding
Institutional Review Board Statement
Informed Consent Statement
Acknowledgments
Conflicts of Interest
Abbreviations
References
- Mankuta, D.; Elami-Suzin, M.; Elhayani, A.; Vinker, S. Lipid profile in consecutive pregnancies. Lipids Health Dis. 2010, 9, 58. [Google Scholar] [CrossRef] [PubMed]
- Belo, L.; Caslake, M.; Gaffney, D.; Santos-Silva, A.; Pereira-Leite, L.; Quintanilha, A.; Rebelo, I. Changes in LDL size and HDL concentration in normal and preeclamptic pregnancies. Atherosclerosis 2002, 162, 425–432. [Google Scholar] [CrossRef] [PubMed]
- Stoenescu, M.; Şerbănescu, M.S.; Dijmarescu, A.L.; Manolea, M.M.; Sandulescu, S.; Vrabie, S.; Camen, I.; Tabacu, M.C.; Novac, M.B. Maternal Lipid Profile as Predictor for Mother and Fetus Outcome-an Artificial Neural Network Approach. Curr. Health Sci. J. 2021, 47, 215–220. [Google Scholar] [CrossRef] [PubMed]
- Ryckman, K.K.; Spracklen, C.N.; Smith, C.J.; Robinson, J.G.; Saftlas, A.F. Maternal lipid levels during pregnancy and gestational diabetes: A systematic review and meta-analysis. BJOG 2015, 122, 643–651. [Google Scholar] [CrossRef]
- Moayeri, M.; Heida, K.Y.; Franx, A.; Spiering, W.; de Laat, M.W.; Oudijk, M.A. Maternal lipid profile and the relation with spontaneous preterm delivery: A systematic review. Arch. Gynecol. Obstet. 2017, 295, 313–323. [Google Scholar] [CrossRef]
- Charlton, F.; Tooher, J.; Rye, K.A.; Hennessy, A. Cardiovascular risk, lipids and pregnancy: Preeclampsia and the risk of later life cardiovascular disease. Heart Lung Circ. 2014, 23, 203–212. [Google Scholar] [CrossRef]
- Vrijkotte, T.G.; Krukziener, N.; Hutten, B.A.; Vollebregt, K.C.; van Eijsden, M.; Twickler, M.B. Maternal lipid profile during early pregnancy and pregnancy complications and outcomes: The ABCD study. J. Clin. Endocrinol. Metab. 2012, 97, 3917–3925. [Google Scholar] [CrossRef]
- Calabuig-Navarro, V.; Puchowicz, M.; Glazebrook, P.; Haghiac, M.; Minium, J.; Catalano, P.; Hauguel deMouzon, S.; O’Tierney-Ginn, P. Effect of ω-3 supplementation on placental lipid metabolism in overweight and obese women. Am. J. Clin. Nutr. 2016, 103, 1064–1072. [Google Scholar] [CrossRef]
- Challier, J.C.; Basu, S.; Bintein, T.; Minium, J.; Hotmire, K.; Catalano, P.M.; Hauguel-de Mouzon, S. Obesity in pregnancy stimulates macrophage accumulation and inflammation in the placenta. Placenta 2008, 29, 274–281. [Google Scholar] [CrossRef]
- Hibbard, J.U.; Gilbert, S.; Landon, M.B.; Hauth, J.C.; Leveno, K.J.; Spong, C.Y.; Varner, M.W.; Caritis, S.N.; Harper, M.; Wapner, R.J.; et al. Trial of labor or repeat cesarean delivery in women with morbid obesity and previous cesarean delivery. Obstet. Gynecol. 2006, 108, 125–133. [Google Scholar] [CrossRef]
- Duhl, A.J.; Paidas, M.J.; Ural, S.H.; Branch, W.; Casele, H.; Cox-Gill, J.; Hamersley, S.L.; Hyers, T.M.; Katz, V.; Kuhlmann, R.; et al. Antithrombotic therapy and pregnancy: Consensus report and recommendations for prevention and treatment of venous thromboembolism and adverse pregnancy outcomes. Am. J. Obstet. Gynecol. 2007, 197, e421–e451. [Google Scholar] [CrossRef]
- Gordon, T.; Castelli, W.P.; Hjortland, M.C.; Kannel, W.B.; Dawber, T.R. High density lipoprotein as a protective factor against coronary heart disease. The Framingham Study. Am. J. Med. 1977, 62, 707–714. [Google Scholar] [CrossRef]
- Cui, Y.; Blumenthal, R.S.; Flaws, J.A.; Whiteman, M.K.; Langenberg, P.; Bachorik, P.S.; Bush, T.L. Non-high-density lipoprotein cholesterol level as a predictor of cardiovascular disease mortality. Arch. Intern. Med. 2001, 161, 1413–1419. [Google Scholar] [CrossRef]
- Shim, Y.S.; Baek, J.W.; Kang, M.J.; Oh, Y.J.; Yang, S.; Hwang, I.T. Reference Values for The Triglyceride to High-Density Lipoprotein Cholesterol Ratio and Non-High-Density Lipoprotein Cholesterol in Korean Children and Adolescents: The Korean National Health and Nutrition Examination Surveys 2007–2013. J. Atheroscler. Thromb. 2016, 23, 1334–1344. [Google Scholar] [CrossRef]
- Lusis, A.J. Atherosclerosis. Nature 2000, 407, 233–241. [Google Scholar] [CrossRef]
- Di Angelantonio, E.; Sarwar, N.; Perry, P.; Kaptoge, S.; Ray, K.K.; Thompson, A.; Wood, A.M.; Lewington, S.; Sattar, N.; Emerging Risk Factors Collaboration; et al. Major lipids, apolipoproteins, and risk of vascular disease. JAMA 2009, 302, 1993–2000. [Google Scholar] [CrossRef]
- Baigent, C.; Blackwell, L.; Emberson, J.; Holland, L.E.; Reith, C.; Bhala, N.; Peto, R.; Barnes, E.H.; Keech, A.; Cholesterol Treatment Trialists Collaboration; et al. Efficacy and safety of more intensive lowering of LDL cholesterol: A meta-analysis of data from 170,000 participants in 26 randomised trials. Lancet 2010, 376, 1670–1681. [Google Scholar] [CrossRef]
- Al Saudi, R.M.; Kasabri, V.; Naffa, R.; Bulatova, N.; Bustanji, Y. Glycated LDL-C and glycated HDL-C in association with adiposity, blood and atherogenicity indices in metabolic syndrome patients with and without prediabetes. Ther. Adv. Endocrinol. Metab. 2018, 9, 311–323. [Google Scholar] [CrossRef]
- Alvarez, J.J.; Montelongo, A.; Iglesias, A.; Lasuncion, M.A.; Herrera, E. Longitudinal study on lipoprotein profile, high density lipoprotein subclass, and postheparin lipases during gestation in women. J. Lipid. Res. 1996, 37, 299–308. [Google Scholar] [CrossRef]
- Keaney, J.F., Jr.; Larson, M.G.; Vasan, R.S.; Wilson, P.W.; Lipinska, I.; Corey, D.; Massaro, J.M.; Sutherland, P.; Vita, J.A.; Benjamin, E.J.; et al. Obesity and systemic oxidative stress: Clinical correlates of oxidative stress in the Framingham Study. Arterioscler. Thromb. Vasc. Biol. 2003, 23, 434–439. [Google Scholar] [CrossRef]
- Moyer, V.A.; US Preventive Services Task Force. Screening for and management of obesity in adults: U.S. Preventive Services Task Force recommendation statement. Ann. Intern. Med. 2012, 157, 373–378. [Google Scholar] [CrossRef] [PubMed]
- Fernandez-Twinn, D.S.; Hjort, L.; Novakovic, B.; Ozanne, S.E.; Saffery, R. Intrauterine programming of obesity and type 2 diabetes. Diabetologia 2019, 62, 1789–1801. [Google Scholar] [CrossRef] [PubMed]
- Salmeri, N.; Carbone, I.F.; Cavoretto, P.I.; Farina, A.; Morano, D. Epigenetics Beyond Fetal Growth Restriction: A Comprehensive Overview. Mol. Diagn. Ther. 2022, 26, 607–626. [Google Scholar] [CrossRef] [PubMed]
- Argyraki, M.; Damdimopoulou, P.; Chatzimeletiou, K.; Grimbizis, G.F.; Tarlatzis, B.C.; Syrrou, M.; Lambropoulos, A. In-utero stress and mode of conception: Impact on regulation of imprinted genes, fetal development and future health. Hum. Reprod. Update 2019, 25, 777–801. [Google Scholar] [CrossRef] [PubMed]
- Sidebottom, A.C.; Brown, J.E.; Jacobs, D.R., Jr. Pregnancy-related changes in body fat. Eur. J. Obstet. Gynecol. Reprod. Biol. 2001, 94, 216–223. [Google Scholar] [CrossRef]
- Soria-Contreras, D.C.; Trejo-Valdivia, B.; Cantoral, A.; Pizano-Zarate, M.L.; Baccarelli, A.A.; Just, A.C.; Colicino, E.; Deierlein, A.L.; Wright, R.O.; Oken, E.; et al. Patterns of Weight Change One Year after Delivery Are Associated with Cardiometabolic Risk Factors at Six Years Postpartum in Mexican Women. Nutrients 2020, 12, 170. [Google Scholar] [CrossRef]
- Einbinder, Y.; Biron-Shental, T.; Agassi-Zaitler, M.; Tzadikevitch-Geffen, K.; Vaya, J.; Khatib, S.; Ohana, M.; Benchetrit, S.; Zitman-Gal, T. High-density lipoproteins (HDL) composition and function in preeclampsia. Arch. Gynecol. Obstet. 2018, 298, 405–413. [Google Scholar] [CrossRef]
- Genoux, A.; Picot, M.; Duparc, T.; Combes, G.; Vayssieres, C.; Perret, B.; Hamdi, S.; Martinez, L. 184. High density lipoproteins lose their antioxidant protective effect during pre-eclampsia. Pregnancy Hypertens. 2018, 13, S94. [Google Scholar] [CrossRef]
- Arai, H.; Yamamoto, A.; Matsuzawa, Y.; Saito, Y.; Yamada, N.; Oikawa, S.; Mabuchi, H.; Teramoto, T.; Sasaki, J.; Nakaya, N.; et al. Serum lipid survey and its recent trend in the general Japanese population in 2000. J. Atheroscler. Thromb. 2005, 12, 98–106. [Google Scholar] [CrossRef]
- Ridefelt, P.; Hagstrom, E.; Svensson, M.K.; Akerfeldt, T.; Larsson, A. Age- and sex-specific reference values for non-HDL cholesterol and remnant cholesterol derived from the Nordic Reference Interval Project (NORIP). Scand. J. Clin. Lab. Invest. 2019, 79, 39–42. [Google Scholar] [CrossRef]
- Prados, M.; Flores-Le Roux, J.A.; Benaiges, D.; Llaurado, G.; Chillaron, J.J.; Paya, A.; Pedro-Botet, J. Previous Gestational Diabetes Increases Atherogenic Dyslipidemia in Subsequent Pregnancy and Postpartum. Lipids 2018, 53, 387–392. [Google Scholar] [CrossRef]
- O’Higgins, A.C.; O’Dwyer, V.; O’Connor, C.; Daly, S.F.; Kinsley, B.T.; Turner, M.J. Postpartum dyslipidaemia in women diagnosed with gestational diabetes mellitus. Ir. J. Med. Sci. 2017, 186, 403–407. [Google Scholar] [CrossRef]


| Characteristics | n = 869 | |
|---|---|---|
| Age | <35 yrs | 418 (48.1) |
| ≥35 yrs | 451 (51.9) | |
| Parity | Nulliparous | 674 (77.6) |
| Mutiparous | 195 (22.4) | |
| Thyroid disease history | Hypothyroidism | 45 (5.2) |
| Hyperthyroidism | 9 (1.0%) | |
| IVF | No | 598 (68.8) |
| Yes | 271 (31.2) | |
| BMI (kg/m2) | Pre-pregnancy | 21.0 ± 2.9 |
| Pre-delivery | 26.1 ± 3.2 | |
| Postpartum 6 weeks | 22.5 ± 3.0 | |
| Weight gain (kg) | During pregnancy | 13.5 ± 4.6 |
| Weight reduction (kg) | After delivery | 9.4 ± 2.9 |
| Twin pregnancy at delivery | 40 (4.6) | |
| Preterm birth | 76 (8.7) | |
| HTN | Gestational HTN | 7 (0.8) |
| Preeclampsia | 20 (2.3) | |
| Preeclampsia with chronic HTN | 2 (0.2) | |
| DM | GDM | 55 (6.3) |
| DM | 2 (0.2) | |
| Thyroid disease after pregnancy | Hypothyroidism | 69 (7.9) |
| Hyperthyroidism | 9 (1.0) | |
| Total cholesterol (mg/dL) | 2nd trimester | 242.7 ± 37.0 |
| 3rd trimester | 270.2 ± 45.3 | |
| Postpartum | 208.1 ± 34.4 | |
| HDL (mg/dL) | Postpartum | 59.7 ± 12.8 |
| TG (mg/dL) | Postpartum | 100.7 ± 66.1 |
| LDL (mg/dL) | Postpartum | 128.2 ± 30.5 |
| Normal | Borderline | Abnormal | Normal vs. Borderline to Abnormal | Normal to Borderline vs. Abnormal | ||||||
|---|---|---|---|---|---|---|---|---|---|---|
| (n = 372) | (n = 360) | (n = 137) | p | OR | CI | p | OR | CI | p | |
| Age (years) | 34.4 ± 3.9 | 34.8 ± 3.8 | 35.3 ± 4.0 | 0.057 | 1.036 | 0.997–1.076 | 0.072 | 1.043 | 0.990–1.099 | 0.111 |
| Multi-parity | 83 (22.3) | 80 (22.2) | 32 (23.4) | 0.961 | 0.927 | 0.659–1.303 | 0.661 | 0.942 | 0.598–1.484 | 0.796 |
| IVF | 114 (30.6) | 111 (30.8) | 46 (33.6) | 0.510 | 0.921 | 0.663–1.281 | 0.626 | 1.049 | 0.679–1.621 | 0.829 |
| BMI (kg/m2) | 20.9 ± 2.9 | 20.8 ± 2.9 | 21.3 ± 3.0 | 0.275 | 0.999 | 0.950–1.050 | 0.961 | 1.048 | 0.984–1.116 | 0.146 |
| Weight gain (kg) | 13.6 ± 4.7 | 13.5 ± 4.8 | 13.1 ± 4.0 | 0.498 | 1.008 | 0.971–1.047 | 0.667 | 0.993 | 0.944–1.044 | 0.779 |
| Weigh reduction (kg) | 9.6 ± 3.0 | 9.4 ± 2.9 | 9.1 ± 2.6 | 0.224 | 0.960 | 0.903–1.021 | 0.197 | 0.964 | 0.888–1.046 | 0.375 |
| Twin pregnancy | 16 (4.3) | 19 (5.3) | 5 (3.6) | 0.693 | 1.212 | 0.565–2.597 | 0.621 | 0.978 | 0.325–2.946 | 0.969 |
| Preterm birth | 30 (8.1) | 37 (10.3) | 9 (6.6) | 0.352 | 1.081 | 0.624–1.873 | 0.781 | 0.713 | 0.320–1.588 | 0.408 |
| HTN | 13 (3.5) | 15 (4.2) | 1 (0.7) | 0.159 | 0.926 | 0.416–2.061 | 0.850 | 0.183 | 0.024–1.397 | 0.102 |
| GDM | 20 (5.4) | 27 (7.5) | 10 (7.3) | 0.480 | 1.440 | 0.796–2.605 | 0.227 | 0.921 | 0.436–1.945 | 0.829 |
| Hypo-thyroidism | 44 (11.8) | 45 (12.5) | 23 (16.8) | 0.320 | 1.124 | 0.744–1.697 | 0.579 | 1.330 | 0.798–2.215 | 0.274 |
| Normal | Borderline | Abnormal | Normal vs. Borderline to Abnormal | Normal to Borderline vs. Abnormal | ||||||
|---|---|---|---|---|---|---|---|---|---|---|
| (n = 385) | (n = 458) | (n = 26) | P | OR | CI | p | OR | CI | p | |
| Age (years) | 34.3 ± 3.8 | 35.1 ± 3.9 | 33.6 ± 4.7 | 0.011 | 1.037 | 0.997–1.078 | 0.071 | 0.884 | 0.786–0.994 | 0.039 |
| Multi-parity | 83 (21.6) | 108 (23.6) | 4 (15.4) | 0.533 | 0.966 | 0.681–1.372 | 0.849 | 0.929 | 0.292–2.958 | 0.900 |
| IVF | 262 (31.9) | 139 (30.3) | 9 (34.6) | 0.820 | 0.833 | 0.592–1.172 | 0.293 | 1.396 | 0.516–3.777 | 0.512 |
| BMI (kg/m2) | 20.3 ± 2.3 | 21.4 ± 3.2 | 22.4 ± 3.4 | <0.001 | 1.182 | 1.116–1.252 | <0.001 | 1.157 | 1.023–1.307 | 0.020 |
| Weight gain (kg) | 12.9 ± 4.1 | 13.8 ± 4.8 | 15.5 ± 5.4 | 0.002 | 1.085 | 1.042–1.131 | <0.001 | 1.139 | 1.039–1.249 | 0.006 |
| Weigh reduction (kg) | 9.4 ± 2.9 | 9.4 ± 2.9 | 9.9 ± 3.3 | 0.372 | 0.941 | 0.882–1.005 | 0.068 | 0.880 | 0.756–1.024 | 0.098 |
| Twin pregnancy | 19 (4.9) | 19 (4.1) | 2 (7.7) | 0.645 | 0.945 | 0.428–2.084 | 0.888 | 1.418 | 0.214–9.407 | 0.717 |
| Preterm birth | 37 (9.6) | 36 (7.9) | 3 (11.5) | 0.587 | 0.780 | 0.442–1.378 | 0.392 | 0.876 | 0.178–4.322 | 0.871 |
| HTN | 5 (1.3) | 19 (4.1) | 5 (19.2) | <0.001 | 3.451 | 1.224–9.727 | 0.019 | 9.945 | 2.793–35.416 | <0.001 |
| GDM | 24 (6.2) | 29 (6.3) | 4 (15.4) | 0.183 | 0.878 | 0.481–1.604 | 0.672 | 3.116 | 0.914–10.619 | 0.069 |
| Hypo- thyroidism | 39 (10.1) | 67 (14.6) | 6 (23.1) | 0.044 | 1.498 | 0.971–2.311 | 0.068 | 2.585 | 0.954–7.007 | 0.062 |
| Normal | Borderline | Abnormal | Normal vs. Borderline to Abnormal | Normal to Borderline vs. Abnormal | ||||||
|---|---|---|---|---|---|---|---|---|---|---|
| (n = 730) | (n = 79) | (n = 60) | P | OR | CI | p | OR | CI | p | |
| Age (years) | 34.5 ± 3.9 | 35.5 ± 3.7 | 35.4 ± 3.9 | 0.028 | 1.045 | 0.991–1.103 | 0.107 | 1.066 | 0.989–1.149 | 0.096 |
| Multi-parity | 163 (22.3) | 22 (27.8) | 10 (16.7) | 0.289 | 0.895 | 0.555–1.444 | 0.650 | 0.538 | 0.255–1.134 | 0.103 |
| IVF | 224 (30.7) | 31 (39.2) | 16 (26.7) | 0.218 | 1.070 | 0.682–1.680 | 0.768 | 0.556 | 0.280–1.104 | 0.093 |
| BMI (kg/m2) | 20.7 ± 2.7 | 22.0 ± 3.4 | 22.3 ± 3.6 | <0.001 | 1.178 | 1.106–1.254 | <0.001 | 1.148 | 1.059–1.243 | 0.001 |
| Weight gain (kg) | 13.5 ± 4.5 | 13.6 ± 5.4 | 13.6 ± 4.0 | 0.945 | 1.108 | 1.054–1.165 | <0.001 | 1.066 | 0.997–1.140 | 0.060 |
| Weigh reduction (kg) | 9.6 ± 2.9 | 8.4 ± 3.0 | 9.0 ± 3.0 | 0.001 | 0.791 | 0.727–0.861 | <0.001 | 0.874 | 0.783–0.976 | 0.017 |
| Twin pregnancy | 32 (4.4) | 5 (6.3) | 3 (5.0) | 0.727 | 2.447 | 0.888–6.743 | 0.084 | 3.499 | 0.799–15.317 | 0.096 |
| Preterm birth | 63 (8.6) | 11 (13.9) | 2 (3.3) | 0.088 | 0.692 | 0.316–1.515 | 0.357 | 0.191 | 0.036–1.020 | 0.053 |
| HTN | 18 (2.5) | 7 (8.9) | 4 (6.7) | 0.004 | 2.891 | 1.168–7.156 | 0.022 | 1.731 | 0.448–6.694 | 0.426 |
| GDM | 44 (6.0) | 4 (5.1) | 9 (15.3) | 0.019 | 1.239 | 0.604–2.542 | 0.559 | 2.453 | 1.068–5.630 | 0.034 |
| Hypo- thyroidism | 90 (12.3) | 12 (15.2) | 10 (16.7) | 0.512 | 1.165 | 0.679–1.998 | 0.579 | 1.278 | 0.608–2.689 | 0.518 |
| Normal | Borderline | Abnormal | Normal vs. Borderline to Abnormal | Normal to Borderline vs. Abnormal | ||||||
|---|---|---|---|---|---|---|---|---|---|---|
| (n = 474) | (n = 272) | (n = 123) | P | OR | CI | p | OR | CI | p | |
| Age (years) | 34.4 ± 3.8 | 35.0 ± 4.0 | 35.1 ± 3.9 | 0.092 | 1.029 | 0.990–1.068 | 0.146 | 1.024 | 0.970–1.081 | 0.382 |
| Multi-parity | 98 (20.7) | 64 (23.5) | 33 (26.8) | 0.302 | 1.150 | 0.821–1.612 | 0.416 | 1.239 | 0.785–1.956 | 0.357 |
| IVF | 142 (30.0) | 91 (33.5) | 38 (30.9) | 0.609 | 1.035 | 0.747–1.435 | 0.835 | 0.978 | 0.616–1.551 | 0.923 |
| BMI (kg/m2) | 20.8 ± 2.9 | 21.0 ± 2.9 | 21.3 ± 3.0 | 0.256 | 1.033 | 0.984–1.085 | 0.191 | 1.047 | 0.980–1.118 | 0.173 |
| Weight gain (kg) | 13.5 ± 4.6 | 13.6 ± 4.7 | 13.5 ± 4.0 | 0.931 | 1.022 | 0.985–1.061 | 0.250 | 0.997 | 0.946–1.051 | 0.914 |
| Weigh reduction (kg) | 9.5 ± 2.9 | 9.3 ± 3.0 | 9.5 ± 2.6 | 0.746 | 0.961 | 0.904–1.021 | 0.199 | 1.015 | 0.932–1.106 | 0.734 |
| Twin pregnancy | 20 (4.2) | 16 (5.9) | 4 (3.3) | 0.431 | 1.264 | 0.597–2.677 | 0.541 | 0.708 | 0.215–2.332 | 0.570 |
| Preterm birth | 40 (8.4) | 28 (10.3) | 8 (6.5) | 0.439 | 0.964 | 0.561–1.656 | 0.893 | 0.755 | 0.328–1.741 | 0.510 |
| HTN | 15 (3.2) | 12 (4.4) | 2 (1.6) | 0.344 | 1.153 | 0.523–2.540 | 0.724 | 0.479 | 0.108–2.133 | 0.334 |
| GDM | 32 (6.8) | 19 (7.0) | 6 (4.9) | 0.712 | 0.892 | 0.504–1.577 | 0.694 | 0.602 | 0.244–1.486 | 0.271 |
| Hypo- thyroidism | 53 (11.2) | 37 (13.6) | 22 (17.9) | 0.129 | 1.310 | 0.874–1.962 | 0.191 | 1.492 | 0.887–2.510 | 0.132 |
Disclaimer/Publisher’s Note: The statements, opinions and data contained in all publications are solely those of the individual author(s) and contributor(s) and not of MDPI and/or the editor(s). MDPI and/or the editor(s) disclaim responsibility for any injury to people or property resulting from any ideas, methods, instructions or products referred to in the content. |
© 2023 by the authors. Licensee MDPI, Basel, Switzerland. This article is an open access article distributed under the terms and conditions of the Creative Commons Attribution (CC BY) license (https://creativecommons.org/licenses/by/4.0/).
Share and Cite
Hong, D.K.; Cho, H.Y.; Kim, J.Y.; Park, H.J.; Cha, D.H.; Shim, S.S.; Yun, B.S. Intrapartum Factors Affecting Abnormal Lipid Profiles in Early Postpartum Period. J. Pers. Med. 2023, 13, 444. https://doi.org/10.3390/jpm13030444
Hong DK, Cho HY, Kim JY, Park HJ, Cha DH, Shim SS, Yun BS. Intrapartum Factors Affecting Abnormal Lipid Profiles in Early Postpartum Period. Journal of Personalized Medicine. 2023; 13(3):444. https://doi.org/10.3390/jpm13030444
Chicago/Turabian StyleHong, Da Kyung, Hee Young Cho, Ji Youn Kim, Hee Jin Park, Dong Hyun Cha, Sung Shin Shim, and Bo Seong Yun. 2023. "Intrapartum Factors Affecting Abnormal Lipid Profiles in Early Postpartum Period" Journal of Personalized Medicine 13, no. 3: 444. https://doi.org/10.3390/jpm13030444
APA StyleHong, D. K., Cho, H. Y., Kim, J. Y., Park, H. J., Cha, D. H., Shim, S. S., & Yun, B. S. (2023). Intrapartum Factors Affecting Abnormal Lipid Profiles in Early Postpartum Period. Journal of Personalized Medicine, 13(3), 444. https://doi.org/10.3390/jpm13030444

