Nomograms for Predicting Disease-Free Survival Based on Core Needle Biopsy and Surgical Specimens in Female Breast Cancer Patients with Non-Pathological Complete Response to Neoadjuvant Chemotherapy
Abstract
1. Introduction
2. Materials and Methods
2.1. Study Subjects
2.2. Pathologic Assessment
2.3. Clinical Lymph Node Status Assessment
2.4. Follow-Up
2.5. Statistical Analyses
3. Results
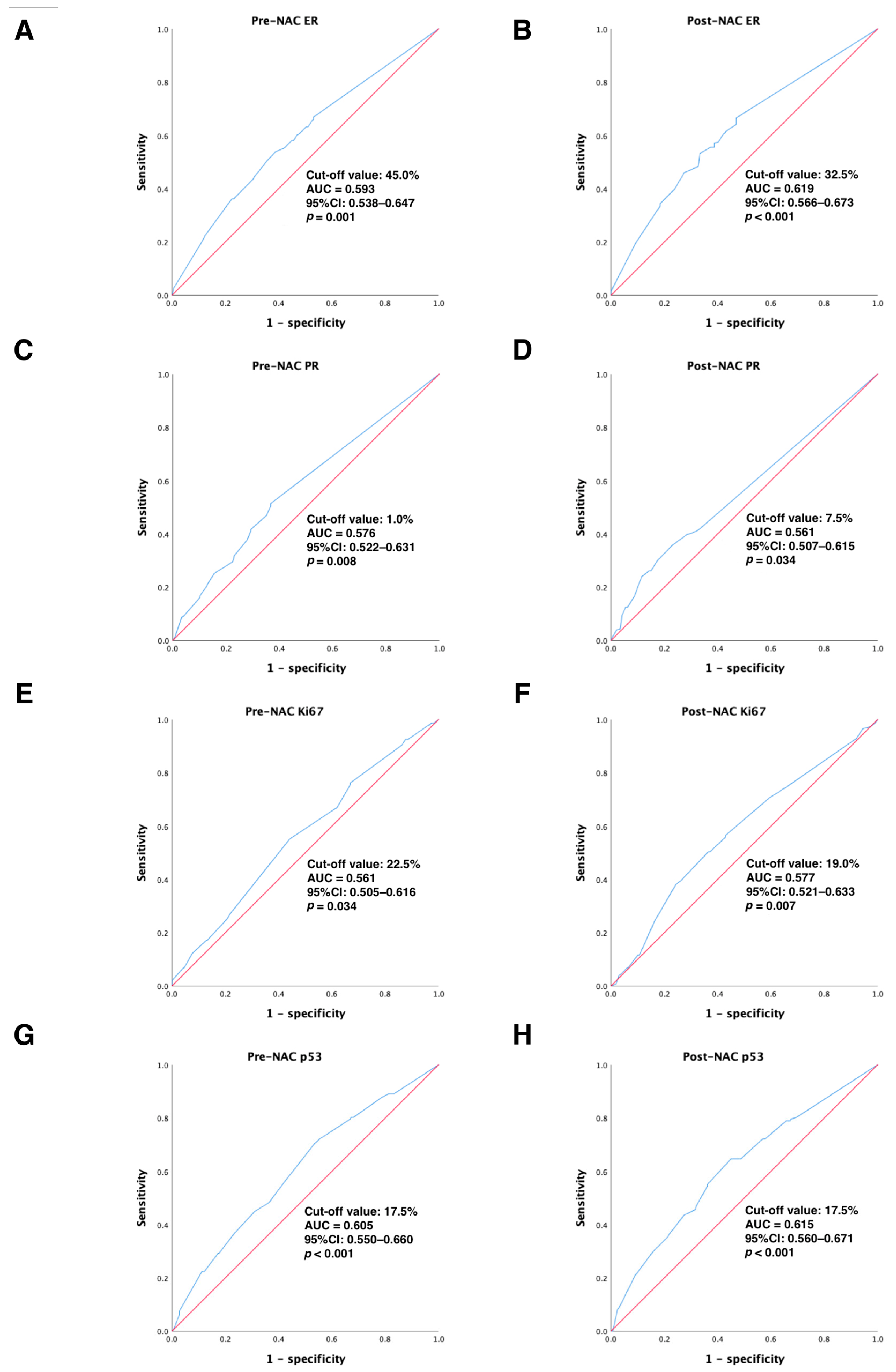
3.1. Conversion of Continuous Variables to Categorical Variables
3.2. Baseline Patient Characteristics in the Primary Cohort and Univariate Analysis
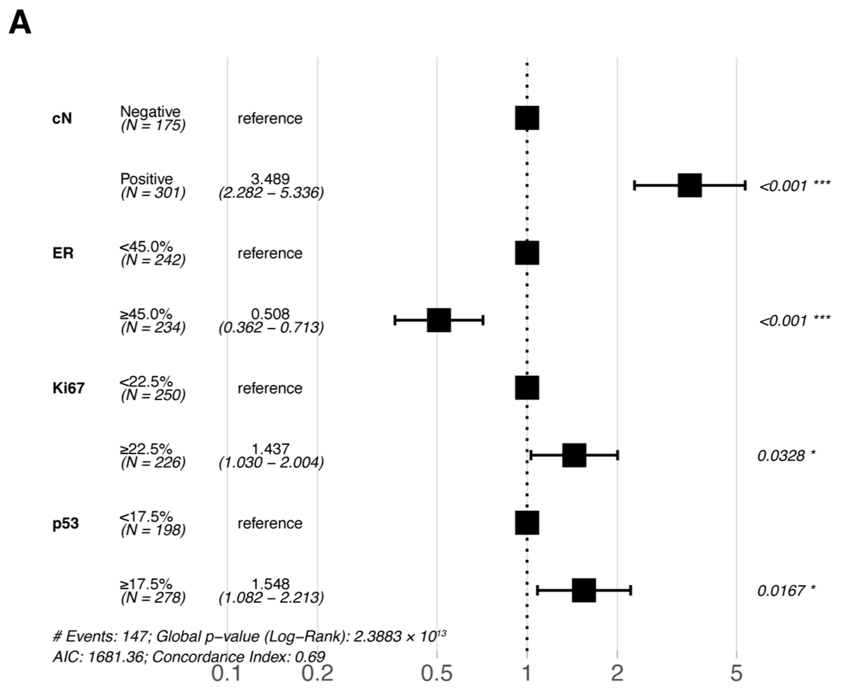
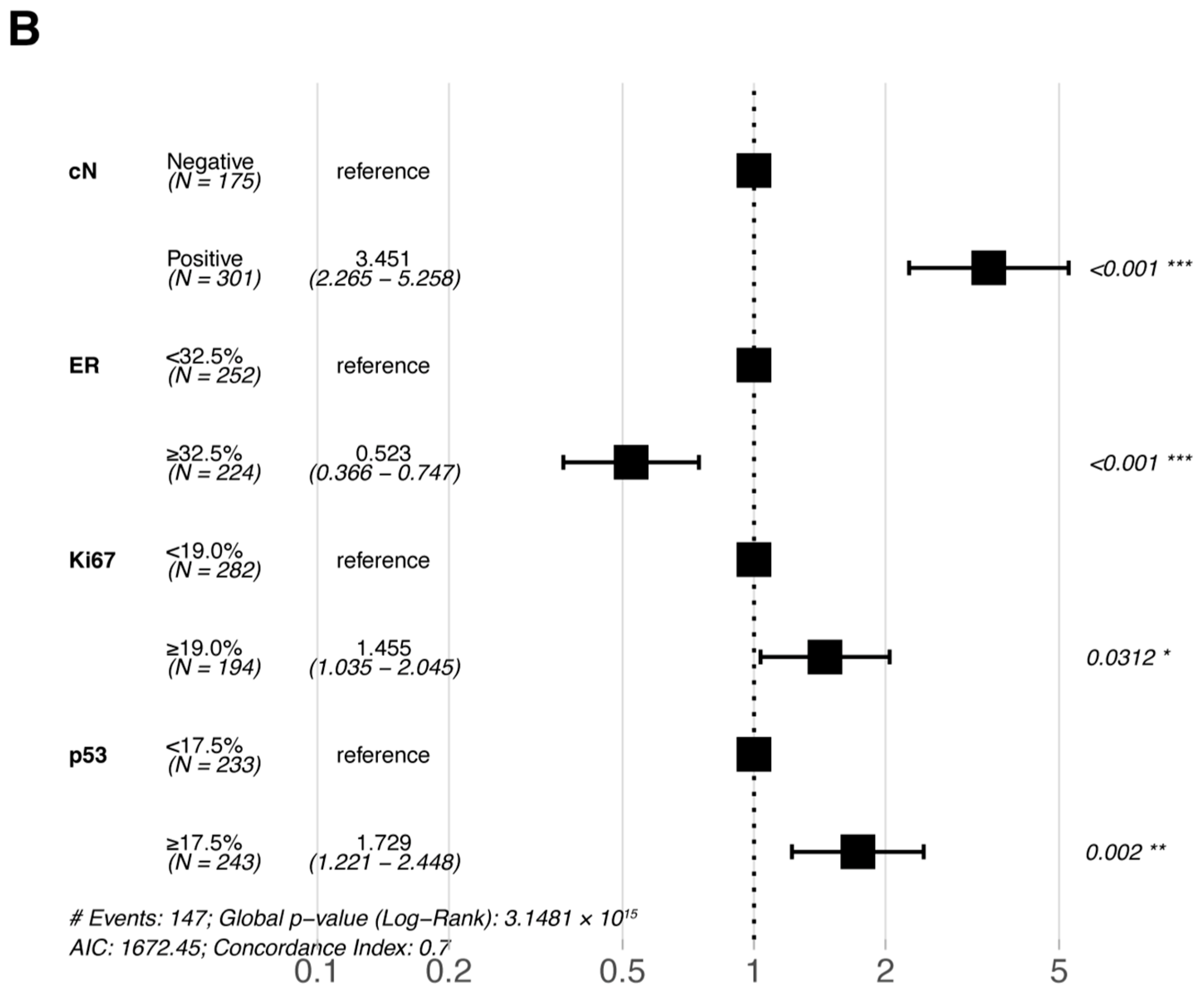
3.3. Independent Prognostic Factors for DFS
4. Nomogram Development and Validation
Risk Stratification Based on Nomogram
5. Discussion
6. Conclusions
Supplementary Materials
Author Contributions
Funding
Institutional Review Board Statement
Informed Consent Statement
Data Availability Statement
Conflicts of Interest
References
- Sung, H.; Ferlay, J.; Siegel, R.L.; Laversanne, M.; Soerjomataram, I.; Jemal, A.; Bray, F. Global Cancer Statistics 2020: GLOBOCAN Estimates of Incidence and Mortality Worldwide for 36 Cancers in 185 Countries. CA Cancer J. Clin. 2021, 71, 209–249. [Google Scholar] [CrossRef] [PubMed]
- Gradishar, W.J.; Moran, M.S.; Abraham, J.; Aft, R.; Agnese, D.; Allison, K.H.; Anderson, B.; Burstein, H.J.; Chew, H.; Dang, C.; et al. Breast Cancer, Version 3.2022, NCCN Clinical Practice Guidelines in Oncology. J. Natl. Compr. Cancer Netw. 2022, 20, 691722. [Google Scholar] [CrossRef]
- Harbeck, N.; Gnant, M. Breast cancer. Lancet 2017, 389, 1134–1150. [Google Scholar] [CrossRef]
- Goldhirsch, A.; Winer, E.P.; Coates, A.S.; Gelber, R.D.; Piccart-Gebhart, M.; Thürlimann, B.; Senn, H.-J. Personalizing the treatment of women with early breast cancer: Highlights of the St Gallen International Expert Consensus on the Primary Therapy of Early Breast Cancer 2013. Ann. Oncol. 2013, 24, 2206–2223. [Google Scholar] [CrossRef] [PubMed]
- Burstein, H.J.; Curigliano, G.; Thürlimann, B.; Weber, W.P.; Poortmans, P.; Regan, M.M.; Senn, H.J.; Winer, E.P.; Gnant, M.; Aebi, S.; et al. Customizing local and systemic therapies for women with early breast cancer: The St. Gallen International Consensus Guidelines for treatment of early breast cancer 2021. Ann. Oncol. 2021, 32, 1216–1235. [Google Scholar] [CrossRef] [PubMed]
- Gralow, J.R.; Burstein, H.J.; Wood, W.; Hortobagyi, G.N.; Gianni, L.; von Minckwitz, G.; Buzdar, A.U.; Smith, I.E.; Symmans, W.F.; Singh, B.; et al. Preoperative therapy in invasive breast cancer: Pathologic assessment and systemic therapy issues in operable disease. J. Clin. Oncol. 2008, 26, 814–819. [Google Scholar] [CrossRef]
- Cortazar, P.; Zhang, L.; Untch, M.; Mehta, K.; Costantino, J.P.; Wolmark, N.; Bonnefoi, H.; Cameron, D.; Gianni, L.; Valagussa, P.; et al. Pathological complete response and long-term clinical benefit in breast cancer: The CTNeoBC pooled analysis. Lancet 2014, 384, 164–172. [Google Scholar] [CrossRef] [PubMed]
- Mazouni, C.; Peintinger, F.; Wan-Kau, S.; Andre, F.; Gonzalez-Angulo, A.M.; Symmans, W.F.; Meric-Bernstam, F.; Valero, V.; Hortobagyi, G.N.; Pusztai, L. Residual Ductal Carcinoma In Situ in Patients With Complete Eradication of Invasive Breast Cancer After Neoadjuvant Chemotherapy Does Not Adversely Affect Patient Outcome. J. Clin. Oncol. 2007, 25, 2650–2655. [Google Scholar] [CrossRef] [PubMed]
- Bonnefoi, H.; Litière, S.; Piccart, M.; MacGrogan, G.; Fumoleau, P.; Brain, E.; Petit, T.; Rouanet, P.; Jassem, J.; Moldovan, C.; et al. Pathological complete response after neoadjuvant chemotherapy is an independent predictive factor irrespective of simplified breast cancer intrinsic subtypes: A landmark and two-step approach analyses from the EORTC 10994/BIG 1-00 phase III trial. Ann Oncol. 2014, 25, 1128–1136. [Google Scholar] [CrossRef] [PubMed]
- Kruiswijk, F.; Labuschagne, C.F.; Vousden, K.H. p53 in survival, death and metabolic health: A lifeguard with a licence to kill. Nat. Rev. Mol. Cell Biol. 2015, 16, 393–405. [Google Scholar] [CrossRef] [PubMed]
- The Cancer Genome Atlas Network. Comprehensive molecular portraits of human breast tumours. Nature 2012, 490, 61–70. [Google Scholar] [CrossRef] [PubMed]
- Silwal-Pandit, L.; Vollan, H.K.M.; Chin, S.-F.; Rueda, O.M.; McKinney, S.; Osako, T.; Quigley, D.A.; Kristensen, V.N.; Aparicio, S.; Børresen-Dale, A.-L.; et al. TP53 Mutation Spectrum in Breast Cancer Is Subtype Specific and Has Distinct Prognostic Relevance. Clin. Cancer Res. 2014, 20, 3569–3580. [Google Scholar] [CrossRef] [PubMed]
- Nik-Zainal, S.; Davies, H.; Staaf, J.; Ramakrishna, M.; Glodzik, D.; Zou, X.; Martincorena, I.; Alexandrov, L.B.; Martin, S.; Wedge, D.C.; et al. Landscape of somatic mutations in 560 breast cancer whole-genome sequences. Nature 2016, 534, 47–54. [Google Scholar] [CrossRef] [PubMed]
- Hassin, O.; Oren, M. Drugging p53 in cancer: One protein, many targets. Nat. Rev. Drug Discov. 2022, 1–18. [Google Scholar] [CrossRef] [PubMed]
- Meric-Bernstam, F.; Zheng, X.; Shariati, M.; Damodaran, S.; Wathoo, C.; Brusco, L.; Demirhan, M.E.; Tapia, C.; Eterovic, A.K.; Basho, R.K.; et al. Survival Outcomes by TP53 Mutation Status in Metastatic Breast Cancer. JCO Precis. Oncol. 2018, 2, 1–15. [Google Scholar] [CrossRef]
- Shahbandi, A.; Nguyen, H.D.; Jackson, J.G. TP53 Mutations and Outcomes in Breast Cancer: Reading beyond the Headlines. Trends Cancer 2020, 6, 98–110. [Google Scholar] [CrossRef] [PubMed]
- Chen, L.; Kong, X.; Huang, S.; Su, Z.; Zhu, M.; Fang, Y.; Zhang, L.; Li, X.; Wang, J. Preoperative Breast Immune Prognostic Index as Prognostic Factor Predicts the Clinical Outcomes of Breast Cancer Patients Receiving Neoadjuvant Chemotherapy. Front. Immunol. 2022, 13, 831848. [Google Scholar] [CrossRef] [PubMed]
- Yilmaz, C.; Cavdar, D.K. Biomarker Discordances and Alterations Observed in Breast Cancer Treated with Neoadjuvant Chemotherapy: Causes, Frequencies, and Clinical Significances. Curr. Oncol. 2022, 29, 9695–9710. [Google Scholar] [CrossRef]
- Long, M.; You, C.; Song, Q.; Hu, L.X.J.; Guo, Z.; Yao, Q.; Hou, W.; Sun, W.; Liang, B.; Zhou, X.-H.; et al. Biomarker Alteration after Neoadjuvant Endocrine Therapy or Chemotherapy in Estrogen Receptor-Positive Breast Cancer. Life 2022, 13, 74. [Google Scholar] [CrossRef]
- Özdemir, Ö.; Zengel, B.; Kocatepe Çavdar, D.; Yılmaz, C.; Durusoy, R. Prognostic Value of Receptor Change After Neoadjuvant Chemotherapy in Breast Cancer Patients. Eur J. Breast Health 2022, 18, 167–171. [Google Scholar] [CrossRef]
- Jiang, Y.-Z.; Yu, K.-D.; Bao, J.; Peng, W.-T.; Shao, Z.-M. Favorable Prognostic Impact in Loss of TP53 and PIK3CA Mutations after Neoadjuvant Chemotherapy in Breast Cancer. Cancer Res. 2014, 74, 3399–3407. [Google Scholar] [CrossRef]
- Cancello, G.; Maisonneuve, P.; Rotmensz, N.; Viale, G.; Mastropasqua, M.G.; Pruneri, G.; Montagna, E.; Iorfida, M.; Mazza, M.; Balduzzi, A.; et al. Progesterone receptor loss identifies Luminal B breast cancer subgroups at higher risk of relapse. Ann. Oncol. 2012, 24, 661–668. [Google Scholar] [CrossRef]
- Sauter, G.; Lee, J.; Bartlett, J.M.; Slamon, D.J.; Press, M.F. Guidelines for Human Epidermal Growth Factor Receptor 2 Testing: Biologic and Methodologic Considerations. J. Clin. Oncol. 2009, 27, 1323–1333. [Google Scholar] [CrossRef]
- de Nonneville, A.; Houvenaeghel, G.; Cohen, M.; Sabiani, L.; Bannier, M.; Viret, F.; Gonçalves, A.; Bertucci, F. Pathological complete response rate and disease-free survival after neoadjuvant chemotherapy in patients with HER2-low and HER2-0 breast cancers. Eur. J. Cancer. 2022, 176, 181–188. [Google Scholar] [CrossRef]
- Goldhirsch, A.; Wood, W.C.; Coates, A.S.; Gelber, R.D.; Thürlimann, B.; Senn, H.J. Strategies for subtypes--dealing with the diversity of breast cancer: Highlights of the St. Gallen International Expert Consensus on the Primary Therapy of Early Breast Cancer 2011. Ann. Oncol. 2011, 22, 1736–1747. [Google Scholar] [CrossRef]
- Allison, K.H.; Hammond, M.E.H.; Dowsett, M.; McKernin, S.E.; Carey, L.A.; Fitzgibbons, P.L.; Hayes, D.F.; Lakhani, S.R.; Chavez-MacGregor, M.; Perlmutter, J.; et al. Estrogen and Progesterone Receptor Testing in Breast Cancer: ASCO/CAP Guideline Update. J. Clin. Oncol. 2020, 38, 1346–1366. [Google Scholar] [CrossRef]
- Kurbel, S.; Dmitrović, B.; Marjanović, K.; Vrbanec, D.; Juretić, A. Distribution of Ki-67 values within HER2 & ER/PgR expression variants of ductal breast cancers as a potential link between IHC features and breast cancer biology. BMC Cancer 2017, 17, 231. [Google Scholar] [CrossRef]
- Nicolini, A.; Ferrari, P.; Duffy, M.J. Prognostic and predictive biomarkers in breast cancer: Past, present and future. Semin. Cancer Biol. 2018, 52, 56–73. [Google Scholar] [CrossRef]
- Conforti, F.; Pala, L.; Bagnardi, V.; De Pas, T.; Colleoni, M.; Buyse, M.; Hortobagyi, G.; Gianni, L.; Winer, E.; Loibl, S.; et al. Surrogacy of Pathologic Complete Response in Trials of Neoadjuvant Therapy for Early Breast Cancer: Critical Analysis of Strengths, Weaknesses, and Misinterpretations. JAMA Oncol. 2022, 8, 1668–1675. [Google Scholar] [CrossRef]
- Xie, Y.; Li, X.; Wu, Y.; Cui, W.; Liu, Y. Development and validation of an extended Cox prognostic model for patients with ER/PR+ and HER2− breast cancer: A retrospective cohort study. World J. Surg. Oncol. 2022, 20, 338. [Google Scholar] [CrossRef]
- Zhu, X.; Chen, L.; Huang, B.; Wang, Y.; Ji, L.; Wu, J.; Di, G.; Liu, G.; Yu, K.; Shao, Z.; et al. The prognostic and predictive potential of Ki-67 in triple-negative breast cancer. Sci. Rep. 2020, 10, 225. [Google Scholar] [CrossRef] [PubMed]
- Huang, X.; Luo, Z.; Liang, W.; Xie, G.; Lang, X.; Gou, J.; Liu, C.; Xu, X.; Fu, D. Survival Nomogram for Young Breast Cancer Patients Based on the SEER Database and an External Validation Cohort. Ann. Surg. Oncol. 2022, 29, 5772–5781. [Google Scholar] [CrossRef] [PubMed]
- Park, J.H.; Kwon, M.J.; Seo, J.; Kim, H.Y.; Min, S.K.; Kim, L.S. Somatic Mutations of TP53 Identified by Targeted Next-Generation Sequencing Are Poor Prognostic Factors for Primary Operable Breast Cancer: A Single-Center Study. J. Breast Cancer 2022, 25, 379–386. [Google Scholar] [CrossRef] [PubMed]
- Denkert, C.; Budczies, J.; von Minckwitz, G.; Wienert, S.; Loibl, S.; Klauschen, F. Strategies for developing Ki67 as a useful biomarker in breast cancer. Breast 2015, 24, S67–S72. [Google Scholar] [CrossRef] [PubMed]
- Shaaban, A.M.; Provenzano, E. Receptor Status after Neoadjuvant Therapy of Breast Cancer: Significance and Implications. Pathobiology 2022, 89, 297–308. [Google Scholar] [CrossRef]
- Parinyanitikul, N.; Lei, X.; Chavez-MacGregor, M.; Liu, S.; Mittendorf, E.A.; Litton, J.K.; Woodward, W.; Zhang, A.; Hortobagyi, G.N.; Valero, V.; et al. Receptor Status Change From Primary to Residual Breast Cancer After Neoadjuvant Chemotherapy and Analysis of Survival Outcomes. Clin. Breast Cancer 2014, 15, 153–160. [Google Scholar] [CrossRef]
- Jiang, P.; Huang, J.; Deng, Y.; Hu, J.; Huang, Z.; Jia, M.; Long, J.; Hu, Z. Predicting Recurrence in Endometrial Cancer Based on a Combination of Classical Parameters and Immunohistochemical Markers. Cancer Manag. Res. 2020, 12, 7395–7403. [Google Scholar] [CrossRef]
- Grootes, I.; Keeman, R.; Blows, F.M.; Milne, R.L.; Giles, G.G.; Swerdlow, A.J.; Fasching, P.A.; Abubakar, M.; Andrulis, I.L.; Anton-Culver, H.; et al. Incorporating progesterone receptor expression into the PREDICT breast prognostic model. Eur. J. Cancer 2022, 173, 178–193. [Google Scholar] [CrossRef]
- Feng, J.; Li, J.; Huang, X.; Yi, J.; Wu, H.; Zou, X.; Zhong, W.; Wang, X. Nomogram to Predict Tumor-Infiltrating Lymphocytes in Breast Cancer Patients. Front. Mol. Biosci. 2021, 8, 761163. [Google Scholar] [CrossRef]
- Singer, C.F.; Holst, F.; Steurer, S.; Burandt, E.C.; Lax, S.F.; Jakesz, R.; Rudas, M.; Stöger, H.; Greil, R.; Sauter, G.; et al. Estrogen Receptor Alpha Gene Amplification Is an Independent Predictor of Long-Term Outcome in Postmenopausal Patients with Endocrine-Responsive Early Breast Cancer. Clin. Cancer Res. 2022, 28, OF1–OF9. [Google Scholar] [CrossRef]
- Fujii, T.; Kogawa, T.; Dong, W.; Sahin, A.A.; Moulder, S.; Litton, J.K.; Tripathy, D.; Iwamoto, T.; Hunt, K.K.; Pusztai, L.; et al. Revisiting the definition of estrogen receptor positivity in HER2-negative primary breast cancer. Ann. Oncol. 2017, 28, 2420–2428. [Google Scholar] [CrossRef] [PubMed]
- Kurozumi, S.; Matsumoto, H.; Hayashi, Y.; Tozuka, K.; Inoue, K.; Horiguchi, J.; Takeyoshi, I.; Oyama, T.; Kurosumi, M. Power of PgR expression as a prognostic factor for ER-positive/HER2-negative breast cancer patients at intermediate risk classified by the Ki67 labeling index. BMC Cancer 2017, 17, 354. [Google Scholar] [CrossRef]
- Nielsen, T.; Leung, S.C.Y.; Rimm, D.L.; Dodson, A.; Acs, B.; Badve, S.; Denkert, C.; Ellis, M.J.; Fineberg, S.; Flowers, M.; et al. Assessment of Ki67 in Breast Cancer: Updated Recommendations from the International Ki67 in Breast Cancer Working Group. Gynecol. Oncol. 2020, 113, 808–819. [Google Scholar] [CrossRef] [PubMed]
- Olivier, M.; Langerød, A.; Carrieri, P.; Bergh, J.; Klaar, S.; Eyfjord, J.; Theillet, C.; Rodriguez, C.; Lidereau, R.; Biche, I.; et al. The clinical value of somatic TP53 gene mutations in 1794 patients with breast cancer. Clin. Cancer Res. 2006, 12, 1157–1167. [Google Scholar] [CrossRef] [PubMed]
- Griffith, O.L.; Spies, N.C.; Anurag, M.; Griffith, M.; Luo, J.; Tu, D.; Yeo, B.; Kunisaki, J.; A Miller, C.; Krysiak, K.; et al. The prognostic effects of somatic mutations in ER-positive breast cancer. Nat. Commun. 2018, 9, 3476. [Google Scholar] [CrossRef] [PubMed]
- Lee, S.K.; Bae, S.Y.; Lee, J.H.; Lee, H.-C.; Yi, H.; Kil, W.H.; Lee, J.E.; Kim, S.W.; Nam, S.J. Distinguishing Low-Risk Luminal A Breast Cancer Subtypes with Ki-67 and p53 Is More Predictive of Long-Term Survival. PLoS ONE 2015, 10, e0124658. [Google Scholar] [CrossRef] [PubMed]











| Predictive Factors | Comparison of Predictive Factors between the Two Groups [M (P25, P75)] | ||||
|---|---|---|---|---|---|
| All Subjects (n = 476) n (%) | Event Group (n = 147) n (%) | Non-Event Group (n = 329) n (%) | Z/x2 | p | |
| Age at diagnosis, y | 49.0 (43.0–57.0) | 48.0 (42.0–57.0) | 49.0 (44.0–57.0) | −1.437 | 0.151 |
| Menopausal status | 0.055 | 0.841 | |||
| Pre-menopause | 279 (58.6%) | 85 (57.8%) | 194 (59.0%) | ||
| Post-menopause | 197 (41.4%) | 62 (42.2%) | 135 (41.0%) | ||
| cT | 8.758 | 0.012 | |||
| cT1 | 23 (4.8%) | 6 (4.1%) | 17 (5.2%) | ||
| cT2 | 333 (70.0%) | 91 (61.9%) | 242 (73.6%) | ||
| cT3 + cT4 | 120 (25.2%) | 50 (34.0%) | 70 (21.3%) | ||
| cN | 30.963 | <0.001 | |||
| Negative | 175 (36.8%) | 27 (18.4%) | 148 (45.0%) | ||
| Positive | 301 (63.2%) | 120 (81.6%) | 181 (55.0%) | ||
| Pre-NAC ER status (%) | 9.176 | 0.003 | |||
| <45.0 | 242 (50.8%) | 90 (61.2%) | 152 (46.2%) | ||
| ≥45.0 | 234 (49.2%) | 57 (38.8%) | 177 (53.8%) | ||
| Post-NAC ER status (%) | 16.082 | <0.001 | |||
| <32.5 | 252 (52.9%) | 98 (66.7%) | 154 (46.8%) | ||
| ≥32.5 | 224 (47.1%) | 49 (33.3%) | 175 (53.2%) | ||
| Pre-NAC PR status (%) | 8.737 | 0.004 | |||
| <1.0 | 253 (53.2%) | 93 (63.3%) | 160 (48.6%) | ||
| ≥1.0 | 223 (46.8%) | 54 (36.7%) | 169 (51.4%) | ||
| Post-NAC PR status (%) | 7.583 | 0.008 | |||
| <7.5 | 324 (68.1%) | 113 (76.9%) | 211 (64.1%) | ||
| ≥7.5 | 152 (31.9%) | 34 (23.1%) | 118 (35.9%) | ||
| Pre-HER2 status | 6.034 | 0.050 | |||
| HER2-0 | 71 (14.9%) | 23 (15.6%) | 48 (14.6%) | ||
| HER2-low | 223 (46.8%) | 57 (38.8%) | 166 (50.5%) | ||
| HER2-postive | 182 (38.2%) | 67 (45.6%) | 115 (35.0%) | ||
| Post-HER2 status | 3.902 | 0.145 | |||
| HER2-0 | 72 (15.1%) | 22 (15.0%) | 50 (15.2%) | ||
| HER2-low | 217 (45.6%) | 58 (39.5%) | 159 (48.3%) | ||
| HER2-postive | 187 (39.3%) | 67 (45.6%) | 120 (36.5%) | ||
| Pre-NAC Ki67 status (%) | 4.956 | 0.029 | |||
| <22.5 | 250 (52.5%) | 66 (44.9%) | 184 (55.9%) | ||
| ≥22.5 | 226 (47.5%) | 81 (55.1%) | 145 (44.1%) | ||
| Post-NAC Ki67 status (%) | 8.090 | 0.005 | |||
| <19.0 | 282 (59.2%) | 73 (49.7%) | 209 (63.5%) | ||
| ≥19.0 | 194 (40.8%) | 74 (50.3%) | 120 (36.5%) | ||
| Pre-NAC p53 status (%) | 11.912 | 0.001 | |||
| <17.5 | 198 (41.6%) | 44 (29.9%) | 154 (46.8%) | ||
| ≥17.5 | 278 (58.4%) | 103 (70.1%) | 175 (53.2%) | ||
| Post-NAC p53 status (%) | 15.685 | <0.001 | |||
| <17.5 | 233 (48.9%) | 52 (35.4%) | 181 (55.0%) | ||
| ≥17.5 | 243 (51.1%) | 95 (64.6%) | 148 (45.0%) | ||
| Chemotherapy cycles | 3.005 | 0.227 | |||
| 3 | 10 (2.1%) | 3 (2.0%) | 7 (2.1%) | ||
| 4 | 432 (90.8%) | 129 (87.8%) | 303 (92.1%) | ||
| 5–8 | 34 (7.1%) | 15 (10.2%) | 19 (5.8%) | ||
Disclaimer/Publisher’s Note: The statements, opinions and data contained in all publications are solely those of the individual author(s) and contributor(s) and not of MDPI and/or the editor(s). MDPI and/or the editor(s) disclaim responsibility for any injury to people or property resulting from any ideas, methods, instructions or products referred to in the content. |
© 2023 by the authors. Licensee MDPI, Basel, Switzerland. This article is an open access article distributed under the terms and conditions of the Creative Commons Attribution (CC BY) license (https://creativecommons.org/licenses/by/4.0/).
Share and Cite
Lan, A.; Li, H.; Chen, J.; Shen, M.; Jin, Y.; Dai, Y.; Jiang, L.; Dai, X.; Peng, Y.; Liu, S. Nomograms for Predicting Disease-Free Survival Based on Core Needle Biopsy and Surgical Specimens in Female Breast Cancer Patients with Non-Pathological Complete Response to Neoadjuvant Chemotherapy. J. Pers. Med. 2023, 13, 249. https://doi.org/10.3390/jpm13020249
Lan A, Li H, Chen J, Shen M, Jin Y, Dai Y, Jiang L, Dai X, Peng Y, Liu S. Nomograms for Predicting Disease-Free Survival Based on Core Needle Biopsy and Surgical Specimens in Female Breast Cancer Patients with Non-Pathological Complete Response to Neoadjuvant Chemotherapy. Journal of Personalized Medicine. 2023; 13(2):249. https://doi.org/10.3390/jpm13020249
Chicago/Turabian StyleLan, Ailin, Han Li, Junru Chen, Meiying Shen, Yudi Jin, Yuran Dai, Linshan Jiang, Xin Dai, Yang Peng, and Shengchun Liu. 2023. "Nomograms for Predicting Disease-Free Survival Based on Core Needle Biopsy and Surgical Specimens in Female Breast Cancer Patients with Non-Pathological Complete Response to Neoadjuvant Chemotherapy" Journal of Personalized Medicine 13, no. 2: 249. https://doi.org/10.3390/jpm13020249
APA StyleLan, A., Li, H., Chen, J., Shen, M., Jin, Y., Dai, Y., Jiang, L., Dai, X., Peng, Y., & Liu, S. (2023). Nomograms for Predicting Disease-Free Survival Based on Core Needle Biopsy and Surgical Specimens in Female Breast Cancer Patients with Non-Pathological Complete Response to Neoadjuvant Chemotherapy. Journal of Personalized Medicine, 13(2), 249. https://doi.org/10.3390/jpm13020249

