Postoperative Nausea and Vomiting According to Target-Controlled or Manual Remifentanil Infusion in Gynecological Patients Undergoing Pelviscopic Surgery: A Randomized Controlled Trial
Abstract
1. Introduction
2. Materials and Methods
2.1. Study Design and Ethics
2.2. Participants
2.3. Outcomes
2.4. Randomization and Masking
2.5. Procedures
2.6. Outcome Assessments and Data Collection
2.7. Sample Size Calculation
2.8. Statistical Analysis
3. Results
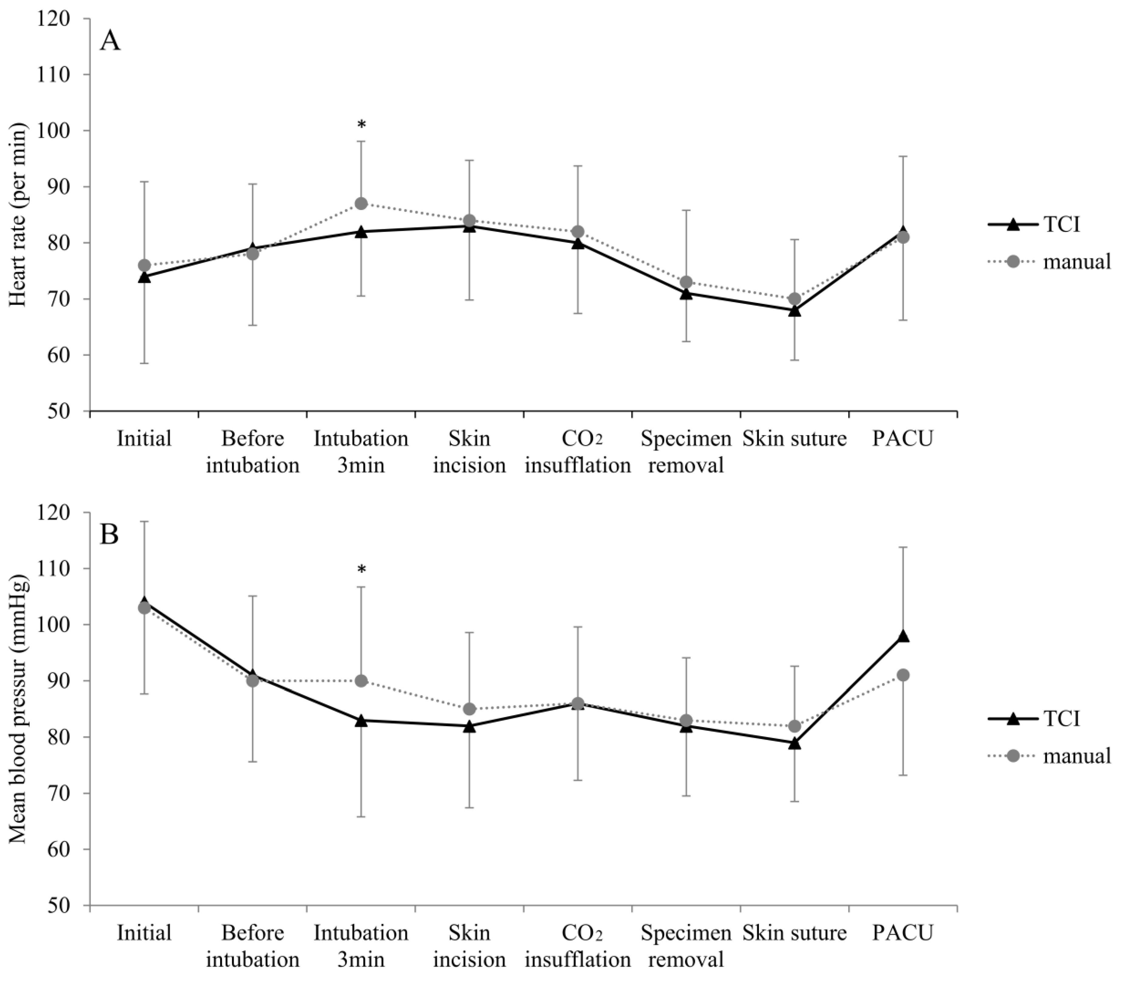
3.1. Study Population and Intraoperative Data
3.2. Primary Outcome
3.3. Secondary Outcomes
4. Discussion
Limitations
5. Conclusions
Supplementary Materials
Author Contributions
Funding
Institutional Review Board Statement
Informed Consent Statement
Data Availability Statement
Conflicts of Interest
References
- Gan, T.J.; Diemunsch, P.; Habib, A.S.; Kovac, A.; Kranke, P.; Meyer, T.A.; Watcha, M.; Chung, F.; Angus, S.; Apfel, C.C.; et al. Consensus guidelines for the management of postoperative nausea and vomiting. Anesth. Analg. 2014, 118, 85–113. [Google Scholar] [CrossRef]
- Cao, X.; White, P.F.; Ma, H. An update on the management of postoperative nausea and vomiting. J. Anesth. 2017, 31, 617–626. [Google Scholar] [CrossRef]
- Koivuranta, M.; Läärä, E.; Snåre, L.; Alahuhta, S. A survey of postoperative nausea and vomiting. Anaesthesia 1997, 52, 443–449. [Google Scholar] [CrossRef] [PubMed]
- Sinclair, D.R.; Chung, F.; Mezei, G. Can postoperative nausea and vomiting be predicted? Anesthesiology 1999, 91, 109–118. [Google Scholar] [CrossRef] [PubMed]
- Apfel, C.C.; Läärä, E.; Koivuranta, M.; Greim, C.A.; Roewer, N. A simplified risk score for predicting postoperative nausea and vomiting: Conclusions from cross-validations between two centers. Anesthesiology 1999, 91, 693–700. [Google Scholar] [CrossRef] [PubMed]
- Apfel, C.C.; Philip, B.K.; Cakmakkaya, O.S.; Shilling, A.; Shi, Y.Y.; Leslie, J.B.; Allard, M.; Turan, A.; Windle, P.; Odom-Forren, J.; et al. Who is at risk for postdischarge nausea and vomiting after ambulatory surgery? Anesthesiology 2012, 117, 475–486. [Google Scholar] [CrossRef]
- Gan, T.J.; Belani, K.G.; Bergese, S.; Chung, F.; Diemunsch, P.; Habib, A.S.; Jin, Z.; Kovac, A.L.; Meyer, T.A.; Urman, R.D.; et al. Fourth Consensus Guidelines for the Management of Postoperative Nausea and Vomiting. Anesth. Analg. 2020, 131, 411–448. [Google Scholar] [CrossRef]
- Allahyari, E.; Azimi, A.; Zarei, H.; Bamdad, S. Comparison of endotracheal intubation, laryngeal mask airway, and I-gel in children undergoing strabismus surgery. J. Res. Med. Sci. Off. J. Isfahan Univ. Med. Sci. 2021, 26, 9. [Google Scholar] [CrossRef]
- Asay, K.; Olson, C.; Donnelly, J.; Perlman, E. The Use of Aromatherapy in Postoperative Nausea and Vomiting: A Systematic Review. J. Perianesthesia Nurs. Off. J. Am. Soc. PeriAnesthesia Nurses 2019, 34, 502–516. [Google Scholar] [CrossRef]
- Lee, A.; Chan, S.K.; Fan, L.T. Stimulation of the wrist acupuncture point PC6 for preventing postoperative nausea and vomiting. Cochrane Database Syst. Rev. 2015, 2015, Cd003281. [Google Scholar] [CrossRef]
- Horn, C.C.; Wallisch, W.J.; Homanics, G.E.; Williams, J.P. Pathophysiological and neurochemical mechanisms of postoperative nausea and vomiting. Eur. J. Pharmacol. 2014, 722, 55–66. [Google Scholar] [CrossRef] [PubMed]
- Zhong, W.; Shahbaz, O.; Teskey, G.; Beever, A.; Kachour, N.; Venketaraman, V.; Darmani, N.A. Mechanisms of Nausea and Vomiting: Current Knowledge and Recent Advances in Intracellular Emetic Signaling Systems. Int. J. Mol. Sci. 2021, 22, 5797. [Google Scholar] [CrossRef]
- Komatsu, R.; Turan, A.M.; Orhan-Sungur, M.; McGuire, J.; Radke, O.C.; Apfel, C.C. Remifentanil for general anaesthesia: A systematic review. Anaesthesia 2007, 62, 1266–1280. [Google Scholar] [CrossRef]
- Grape, S.; Kirkham, K.R.; Frauenknecht, J.; Albrecht, E. Intra-operative analgesia with remifentanil vs. dexmedetomidine: A systematic review and meta-analysis with trial sequential analysis. Anaesthesia 2019, 74, 793–800. [Google Scholar] [CrossRef] [PubMed]
- Yeganeh, N.; Roshani, B.; Yari, M.; Almasi, A. Target-controlled infusion anesthesia with propofol and remifentanil compared with manually controlled infusion anesthesia in mastoidectomy surgeries. Middle East J. Anaesthesiol. 2010, 20, 785–793. [Google Scholar] [PubMed]
- Struys, M.M.; De Smet, T.; Glen, J.I.; Vereecke, H.E.; Absalom, A.R.; Schnider, T.W. The History of Target-Controlled Infusion. Anesth. Analg. 2016, 122, 56–69. [Google Scholar] [CrossRef] [PubMed]
- Minto, C.F.; Schnider, T.W.; Egan, T.D.; Youngs, E.; Lemmens, H.J.; Gambus, P.L.; Billard, V.; Hoke, J.F.; Moore, K.H.; Hermann, D.J.; et al. Influence of age and gender on the pharmacokinetics and pharmacodynamics of remifentanil. I. Model development. Anesthesiology 1997, 86, 10–23. [Google Scholar] [CrossRef]
- Hozumi, J.; Egi, M.; Sugita, S.; Sato, T. Dose of intraoperative remifentanil administration is independently associated with increase in the risk of postoperative nausea and vomiting in elective mastectomy under general anesthesia. J. Clin. Anesth. 2016, 34, 227–231. [Google Scholar] [CrossRef]
- Kasputytė, G.; Gecevičienė, P.; Karbonskienė, A.; Macas, A.; Maleckas, A. Comparison of Postoperative Recovery after Manual and Target-Controlled Infusion of Remifentanil in Bariatric Surgery. Medicina 2021, 57, 1114. [Google Scholar] [CrossRef]
- Fletcher, D.; Martinez, V. Opioid-induced hyperalgesia in patients after surgery: A systematic review and a meta-analysis. Br. J. Anaesth. 2014, 112, 991–1004. [Google Scholar] [CrossRef]
- Yu, E.H.; Tran, D.H.; Lam, S.W.; Irwin, M.G. Remifentanil tolerance and hyperalgesia: Short-term gain, long-term pain? Anaesthesia 2016, 71, 1347–1362. [Google Scholar] [CrossRef] [PubMed]
- Mu, J.; Jiang, T.; Xu, X.B.; Yuen, V.M.; Irwin, M.G. Comparison of target-controlled infusion and manual infusion for propofol anaesthesia in children. Br. J. Anaesth. 2018, 120, 1049–1055. [Google Scholar] [CrossRef] [PubMed]
- Kuizenga, M.H.; Colin, P.J.; Reyntjens, K.; Touw, D.J.; Nalbat, H.; Knotnerus, F.H.; Vereecke, H.E.M.; Struys, M. Population Pharmacodynamics of Propofol and Sevoflurane in Healthy Volunteers Using a Clinical Score and the Patient State Index: A Crossover Study. Anesthesiology 2019, 131, 1223–1238. [Google Scholar] [CrossRef] [PubMed]
- Ryu, K.H.; Kim, J.A.; Ko, D.C.; Lee, S.H.; Choi, W.J. Desflurane reduces intraoperative remifentanil requirements more than sevoflurane: Comparison using surgical pleth index-guided analgesia. Br. J. Anaesth. 2018, 121, 1115–1122. [Google Scholar] [CrossRef] [PubMed]
- Daccache, G.; Caspersen, E.; Pegoix, M.; Monthé-Sagan, K.; Berger, L.; Fletcher, D.; Hanouz, J.L. A targeted remifentanil administration protocol based on the analgesia nociception index during vascular surgery. Anaesth. Crit. Care Pain Med. 2017, 36, 229–232. [Google Scholar] [CrossRef]
- Li, H.J.; Liu, S.; Geng, Z.Y.; Li, X.Y. Adding dexmedetomidine to morphine-based analgesia reduces early postoperative nausea in patients undergoing gynecological laparoscopic surgery: A randomized controlled trial. BMC Anesthesiol. 2020, 20, 11. [Google Scholar] [CrossRef] [PubMed]
- Beloeil, H.; Garot, M.; Lebuffe, G.; Gerbaud, A.; Bila, J.; Cuvillon, P.; Dubout, E.; Oger, S.; Nadaud, J.; Becret, A.; et al. Balanced Opioid-free Anesthesia with Dexmedetomidine versus Balanced Anesthesia with Remifentanil for Major or Intermediate Noncardiac Surgery. Anesthesiology 2021, 134, 541–551. [Google Scholar] [CrossRef]



| TCI (n = 44) | Manual (n = 45) | p Value | |
|---|---|---|---|
| Demographics | |||
| Age (y) | 43 (35–52) | 47 (40–52) | 0.684 |
| Height (cm) | 160 (154–165) | 160 (155–163) | 0.742 |
| Weight (kg) | 60 (52.5–72.5) | 58 (53.8–61.4) | 0.308 |
| Body mass index (kg/m2) | 23.6 (20.8–28.2) | 23.1 (20.9–25.2) | 0.331 |
| ASA class (I/II) | 27 (61.4%)/17 (38.6%) | 27 (60.0%)/18 (40.0%) | 1.000 |
| PONV risk score | 0.747 | ||
| 2 | 4 (9.1%) | 3 (6.7%) | |
| 3 | 22 (50.0%) | 26 (57.8%) | |
| 4 | 18 (40.9%) | 16 (35.6%) | |
| Diabetes | 5 (11.4%) | 2 (4.4%) | 0.413 |
| Hypertension | 5 (11.4%) | 7 (15.6%) | 0.788 |
| Hemoglobin (g/dL) | 13.4 (12.4–14.0) | 12.8 (12.0–13.3) | 0.092 |
| Platelet (×103/μL) | 268 (236–321) | 273 (259–326) | 0.416 |
| Albumin (g/dL) | 4.5 (4.3–4.6) | 4.3 (4.2–4.6) | 0.137 |
| Total bilirubin (mg/dL) | 0.6 (0.4–0.7) | 0.6 (0.5–0.8) | 0.329 |
| Creatinine (mg/dL) | 0.7 (0.6–0.7) | 0.6 (0.6–0.7) | 0.483 |
| Intraoperative data | |||
| Remifentanil total (μg) | 350 (255–499) | 230 (155–330) | 0.001 * |
| Remifentanil infusion rate (μg/kg/min) | 0.093 (0.078–0.112) | 0.062 (0.052–0.076) | <0.001 * |
| Anesthesia time (min) | 100 (75–118) | 100 (75–130) | 0.752 |
| Surgical time (min) | 70 (46–88) | 65 (45–95) | 0.831 |
| Crystalloid infusion (mL) | 300 (225–400) | 400 (200–500) | 0.192 |
| Estimated blood loss (mL) | 65 (50–150) | 100 (50–150) | 0.412 |
| Urine output (mL) | 100 (50–150) | 150 (50–200) | 0.108 |
| Type of surgery | 0.832 | ||
| Hysterectomy | 22 (50.0%) | 21 (46.7%) | |
| Adnexectomy | 21 (47.7%) | 22 (48.9%) | |
| Myoma enucleation | 1 (2.3%) | 2 (4.4%) |
| TCI (n = 44) | Manual (n = 45) | p Value | |
|---|---|---|---|
| Emergence time | |||
| Eye open (s) | 265 (225–335) | 289 (234–342) | 0.266 |
| Extubation (s) | 327 (248–395) | 324 (270–393) | 0.485 |
| Exit the OR (s) | 366 (282–435) | 361 (300–435) | 0.752 |
| PACU LOS (min) | 30 (30–30) | 30 (30–35) | 0.118 |
| PACU opioid requirement (n) | 10 (22.7%) | 5 (11.1%) | 0.238 |
| POD1 analgesics requirement (n) | 29 (65.9%) | 34 (75.6%) | 0.443 |
| POD2 analgesics requirement (n) | 19 (43.2%) | 24 (53.3%) | 0.456 |
| NRS pain scores | |||
| PACU | 3 (3–3) | 3 (3–3) | 0.139 |
| POD1 | 3 (2–3) | 3 (3–3) | 0.088 |
| POD2 | 2 (2–3) | 2 (2–3) | 0.308 |
| Postoperative hospital LOS (d) | 4 (3–4) | 4 (3–4) | 0.372 |
Disclaimer/Publisher’s Note: The statements, opinions and data contained in all publications are solely those of the individual author(s) and contributor(s) and not of MDPI and/or the editor(s). MDPI and/or the editor(s) disclaim responsibility for any injury to people or property resulting from any ideas, methods, instructions or products referred to in the content. |
© 2023 by the authors. Licensee MDPI, Basel, Switzerland. This article is an open access article distributed under the terms and conditions of the Creative Commons Attribution (CC BY) license (https://creativecommons.org/licenses/by/4.0/).
Share and Cite
Lee, S.; You, A.H.; Kim, M.; Kang, H.Y. Postoperative Nausea and Vomiting According to Target-Controlled or Manual Remifentanil Infusion in Gynecological Patients Undergoing Pelviscopic Surgery: A Randomized Controlled Trial. J. Pers. Med. 2023, 13, 176. https://doi.org/10.3390/jpm13020176
Lee S, You AH, Kim M, Kang HY. Postoperative Nausea and Vomiting According to Target-Controlled or Manual Remifentanil Infusion in Gynecological Patients Undergoing Pelviscopic Surgery: A Randomized Controlled Trial. Journal of Personalized Medicine. 2023; 13(2):176. https://doi.org/10.3390/jpm13020176
Chicago/Turabian StyleLee, Sangho, Ann Hee You, Miyun Kim, and Hee Yong Kang. 2023. "Postoperative Nausea and Vomiting According to Target-Controlled or Manual Remifentanil Infusion in Gynecological Patients Undergoing Pelviscopic Surgery: A Randomized Controlled Trial" Journal of Personalized Medicine 13, no. 2: 176. https://doi.org/10.3390/jpm13020176
APA StyleLee, S., You, A. H., Kim, M., & Kang, H. Y. (2023). Postoperative Nausea and Vomiting According to Target-Controlled or Manual Remifentanil Infusion in Gynecological Patients Undergoing Pelviscopic Surgery: A Randomized Controlled Trial. Journal of Personalized Medicine, 13(2), 176. https://doi.org/10.3390/jpm13020176

