Macro-TSH: An Uncommon Explanation for Persistent TSH Elevation That Thyroidologists Have to Keep in Mind
Abstract
:1. Introduction
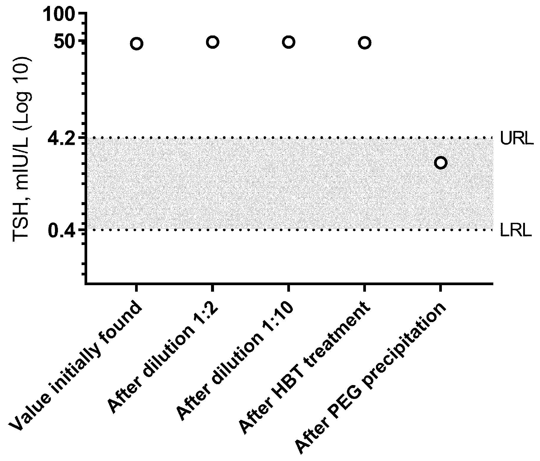
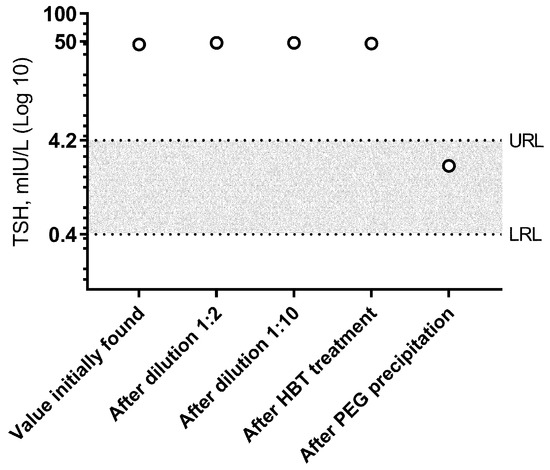
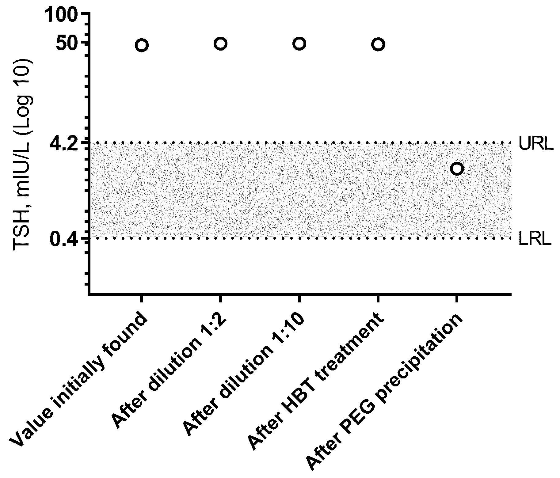
2. Case Report
3. Discussion
4. Conclusions
Author Contributions
Funding
Institutional Review Board Statement
Informed Consent Statement
Data Availability Statement
Conflicts of Interest
References
- Gurnell, M.; Halsall, D.J.; Chatterjee, V.K. What should be done when thyroid function tests do not make sense? Clin. Endocrinol. 2011, 74, 673–678. [Google Scholar] [CrossRef]
- Blackburn, G.F.; Shah, H.P.; Kenten, J.H.; Leland, J.; Kamin, R.A.; Link, J.; Peterman, J.; Powell, M.J.; Shah, A.; Talley, D.B. Electrochemiluminescence detection for development of immunoassays and DNA probe assays for clinical diagnostics. Clin. Chem. 1991, 37, 1534–1539. [Google Scholar] [CrossRef]
- Hattori, N.; Aisaka, K.; Chihara, K.; Shimatsu, A. Current Thyrotropin Immunoassays Recognize Macro-Thyrotropin Leading to Hyperthyrotropinemia in Females of Reproductive Age. Thyroid 2018, 28, 1252–1260. [Google Scholar] [CrossRef]
- Mendoza, H.; Connacher, A.; Srivastava, R. Unexplained high thyroid stimulating hormone: A “BIG” problem. BMJ Case Rep. 2009, 2009, 1474. [Google Scholar] [CrossRef]
- Hattori, N.; Ishihara, T.; Matsuoka, N.; Saito, T.; Shimatsu, A. Anti-Thyrotropin Autoantibodies in Patients with Macro-Thyrotropin and Long-Term Changes in Macro-Thyrotropin and Serum Thyrotropin Levels. Thyroid 2017, 27, 138–146. [Google Scholar] [CrossRef] [PubMed]
- Hattori, N.; Ishihara, T.; Shimatsu, A. Variability in the detection of macro TSH in different immunoassay systems. Eur. J. Endocrinol. 2016, 174, 9–15. [Google Scholar] [CrossRef] [PubMed]
- Larsen, C.B.; Petersen, E.R.B.; Overgaard, M.; Bonnema, S.J. Macro-TSH: A Diagnostic Challenge. Eur. Thyroid. J. 2021, 10, 93–97. [Google Scholar] [CrossRef] [PubMed]
- Loh, T.P.; Kao, S.L.; Halsall, D.J.; Toh, S.-A.E.S.; Chan, E.; Ho, S.C.; Tai, E.S.; Khoo, C.M. Macro-Thyrotropin: A Case Report and Review of Literature. J. Clin. Endocrinol. Metab. 2012, 97, 1823–1828. [Google Scholar] [CrossRef] [PubMed]
- Mills, F.; Jeffery, J.; Mackenzie, P.; Cranfield, A.; Ayling, R.M. An immunoglobulin G complexed form of thyroid-stimulating hormone (macro thyroid-stimulating hormone) is a cause of elevated serum thyroid-stimulating hormone concentration. Ann. Clin. Biochem. 2013, 50, 416–420. [Google Scholar] [CrossRef] [PubMed]
- Croce, L.; Chytiris, S.; Coperchini, F.; Ferraro, G.; Minelli, L.; Navarra, A.; Magri, F.; Chiovato, L.; Trimboli, P.; Rotondi, M. Unexplained Hyperthyrotropinemia: A Biochemical and Clinical Challenge. J. Clin. Med. 2023, 12, 2934. [Google Scholar] [CrossRef] [PubMed]
- Smith, T.P.; Suliman, A.M.; Fahie-Wilson, M.N.; McKenna, T.J. Gross Variability in the Detection of Prolactin in Sera Containing Big Big Prolactin (Macroprolactin) by Commercial Immunoassays. J. Clin. Endocrinol. Metab. 2002, 87, 5410–5415. [Google Scholar] [CrossRef] [PubMed]
- Gibney, J.; Smith, T.P.; McKenna, T.J. Clinical relevance of macroprolactin. Clin. Endocrinol. 2005, 62, 633–643. [Google Scholar] [CrossRef]
- Ismail, A.A.; Walker, P.L.; Cawood, M.L.; Barth, J.H. Interference in immunoassay is an underestimated problem. Ann. Clin. Biochem. 2002, 39, 366–373. [Google Scholar] [CrossRef]


Disclaimer/Publisher’s Note: The statements, opinions and data contained in all publications are solely those of the individual author(s) and contributor(s) and not of MDPI and/or the editor(s). MDPI and/or the editor(s) disclaim responsibility for any injury to people or property resulting from any ideas, methods, instructions or products referred to in the content. |
© 2023 by the authors. Licensee MDPI, Basel, Switzerland. This article is an open access article distributed under the terms and conditions of the Creative Commons Attribution (CC BY) license (https://creativecommons.org/licenses/by/4.0/).
Share and Cite
Chiardi, I.; Rotondi, M.; Cantù, M.; Keller, F.; Trimboli, P. Macro-TSH: An Uncommon Explanation for Persistent TSH Elevation That Thyroidologists Have to Keep in Mind. J. Pers. Med. 2023, 13, 1471. https://doi.org/10.3390/jpm13101471
Chiardi I, Rotondi M, Cantù M, Keller F, Trimboli P. Macro-TSH: An Uncommon Explanation for Persistent TSH Elevation That Thyroidologists Have to Keep in Mind. Journal of Personalized Medicine. 2023; 13(10):1471. https://doi.org/10.3390/jpm13101471
Chicago/Turabian StyleChiardi, Isabella, Mario Rotondi, Marco Cantù, Franco Keller, and Pierpaolo Trimboli. 2023. "Macro-TSH: An Uncommon Explanation for Persistent TSH Elevation That Thyroidologists Have to Keep in Mind" Journal of Personalized Medicine 13, no. 10: 1471. https://doi.org/10.3390/jpm13101471
APA StyleChiardi, I., Rotondi, M., Cantù, M., Keller, F., & Trimboli, P. (2023). Macro-TSH: An Uncommon Explanation for Persistent TSH Elevation That Thyroidologists Have to Keep in Mind. Journal of Personalized Medicine, 13(10), 1471. https://doi.org/10.3390/jpm13101471

