High Neutrophil–Lymphocyte Ratio and Low Lymphocyte–Monocyte Ratio Combination after Thrombolysis Is a Potential Predictor of Poor Functional Outcome of Acute Ischemic Stroke
Abstract
:1. Introduction
2. Methods
2.1. Study Population
2.2. Blood Sampling and Laboratory Measurements
2.3. Statistical Methods
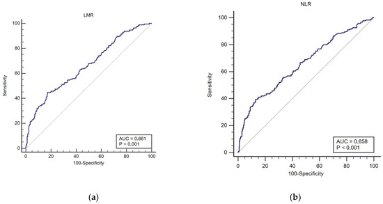
3. Results
3.1. Baseline Characteristics of Enrolled Patients
3.2. White Blood Cell Counts, NLR and LMR during Thrombolysis
4. Discussion
5. Conclusions
Supplementary Materials
Author Contributions
Funding
Institutional Review Board Statement
Informed Consent Statement
Data Availability Statement
Conflicts of Interest
References
- Feigin, V.L.; Stark, B.A.; Johnson, C.O.; Roth, G.A.; Bisignano, C.; Abady, G.G.; Abbasifard, M.; Abbasi-Kangevari, M.; Abd-Allah, F.; Abedi, V.; et al. Global, regional, and national burden of stroke, 1990–2016: A systematic analysis for the Global Burden of Disease Study 2016. Lancet Neurol. 2019, 18, 439–458. [Google Scholar] [CrossRef] [Green Version]
- Jovin, T.G.; Nogueira, R.G.; Investigators, D. Thrombectomy 6 to 24 Hours after Stroke. N. Engl. J. Med. 2018, 378, 1161–1162. [Google Scholar] [CrossRef]
- Advani, R.; Naess, H.; Kurz, M.W. The golden hour of acute ischemic stroke. Scand. J. Trauma Resusc. Emerg. Med. 2017, 25, 54. [Google Scholar] [CrossRef] [PubMed] [Green Version]
- Jivan, K.; Ranchod, K.; Modi, G. Management of ischaemic stroke in the acute setting: Review of the current status. Cardiovasc. J. Afr. 2013, 24, 86–92. [Google Scholar] [CrossRef] [PubMed] [Green Version]
- Hacke, W.; Kaste, M.; Bluhmki, E.; Brozman, M.; Davalos, A.; Guidetti, D.; Larrue, V.; Lees, K.R.; Medeghri, Z.; Machnig, T.; et al. Thrombolysis with alteplase 3 to 4.5 h after acute ischemic stroke. N. Engl. J. Med. 2008, 359, 1317–1329. [Google Scholar] [CrossRef] [PubMed] [Green Version]
- Lees, K.R.; Emberson, J.; Blackwell, L.; Bluhmki, E.; Davis, S.M.; Donnan, G.A.; Grotta, J.C.; Kaste, M.; von Kummer, R.; Lansberg, M.G.; et al. Stroke Thrombolysis Trialists’ Collaborators, G. Effects of Alteplase for Acute Stroke on the Distribution of Functional Outcomes: A Pooled Analysis of 9 Trials. Stroke 2016, 47, 2373–2379. [Google Scholar] [CrossRef] [PubMed]
- Shao, Y.; Wu, B.; Jia, W.; Zhang, Z.; Chen, Q.; Wang, D. Prognostic value of pretreatment neutrophil-to-lymphocyte ratio in renal cell carcinoma: A systematic review and meta-analysis. BMC Urol. 2020, 20, 90. [Google Scholar] [CrossRef]
- Gao, X.; Coull, B.; Lin, X.; Vokonas, P.; Sparrow, D.; Hou, L.; DeMeo, D.L.; Litonjua, A.A.; Schwartz, J.; Baccarelli, A.A. Association of Neutrophil to Lymphocyte Ratio with Pulmonary Function in a 30-Year Longitudinal Study of US Veterans. JAMA Netw. Open 2020, 3, e2010350. [Google Scholar] [CrossRef]
- Li, K.J.; Xia, X.F.; Su, M.; Zhang, H.; Chen, W.H.; Zou, C.L. Predictive value of lymphocyte-to-monocyte ratio (LMR) and neutrophil-to-lymphocyte ratio (NLR) in patients with oesophageal cancer undergoing concurrent chemoradiotherapy. BMC Cancer 2019, 19, 1004. [Google Scholar] [CrossRef]
- Rodrigues, S.F.; Granger, D.N. Leukocyte-mediated tissue injury in ischemic stroke. Curr. Med. Chem. 2014, 21, 2130–2137. [Google Scholar] [CrossRef]
- Song, S.Y.; Zhao, X.X.; Rajah, G.; Hua, C.; Kang, R.J.; Han, Y.P.; Ding, Y.C.; Meng, R. Clinical Significance of Baseline Neutrophil-to–Lymphocyte Ratio in Patients with Ischemic Stroke or Hemorrhagic Stroke: An Updated Meta-Analysis. Front. Neurol. 2019, 10, 1032. [Google Scholar] [CrossRef] [PubMed]
- Goyal, N.; Tsivgoulis, G.; Chang, J.J.; Malhotra, K.; Pandhi, A.; Ishfaq, M.F.; Alsbrook, D.; Arthur, A.S.; Elijovich, L.; Alexandrov, A.V. Admission Neutrophil-to-Lymphocyte Ratio as a Prognostic Biomarker of Outcomes in Large Vessel Occlusion Strokes. Stroke 2018, 49, 1985–1987. [Google Scholar] [CrossRef] [PubMed]
- The European Stroke Organisation Executive Committee; ESO Writing Committee. Guidelines for management of ischaemic stroke and transient ischaemic attack 2008. Cerebrovasc. Dis. 2008, 25, 457–507. [Google Scholar] [CrossRef]
- Aviv, R.I.; Mandelcorn, J.; Chakraborty, S.; Gladstone, D.; Malham, S.; Tomlinson, G.; Fox, A.J.; Symons, S. Alberta Stroke Program Early CT Scoring of CT perfusion in early stroke visualization and assessment. Am. J. Neuroradiol. 2007, 28, 1975–1980. [Google Scholar] [CrossRef] [PubMed] [Green Version]
- Adams, H.P., Jr.; Bendixen, B.H.; Kappelle, L.J.; Biller, J.; Love, B.B.; Gordon, D.L.; Marsh, E.E., 3rd. Classification of subtype of acute ischemic stroke. Definitions for use in a multicenter clinical trial. TOAST. Trial of Org 10,172 in Acute Stroke Treatment. Stroke 1993, 24, 35–41. [Google Scholar] [CrossRef] [Green Version]
- Simonsen, C.Z.; Schmitz, M.L.; Madsen, M.H.; Mikkelsen, I.K.; Chandra, R.V.; Leslie-Mazwi, T.; Andersen, G. Early neurological deterioration after thrombolysis: Clinical and imaging predictors. Int. J. Stroke 2016, 11, 776–782. [Google Scholar] [CrossRef] [Green Version]
- Jin, R.; Yang, G.; Li, G. Inflammatory mechanisms in ischemic stroke: Role of inflammatory cells. J. Leukoc. Biol. 2010, 87, 779–789. [Google Scholar] [CrossRef] [PubMed] [Green Version]
- Chiba, T.; Umegaki, K. Pivotal roles of monocytes/macrophages in stroke. Mediat. Inflamm. 2013, 2013, 759103. [Google Scholar] [CrossRef]
- Kolaczkowska, E.; Kubes, P. Neutrophil recruitment and function in health and inflammation. Nat. Rev. Immunol. 2013, 13, 159–175. [Google Scholar] [CrossRef]
- Nilupul Perera, M.; Ma, H.K.; Arakawa, S.; Howells, D.W.; Markus, R.; Rowe, C.C.; Donnan, G.A. Inflammation following stroke. J. Clin. Neurosci. 2006, 13, 1–8. [Google Scholar] [CrossRef] [PubMed]
- Simoni, M.G.D. Two-way communication pathways between the brain and the immune system. Neurosci. Res. Commun. 1997, 21, 10. [Google Scholar] [CrossRef]
- Jickling, G.C.; Liu, D.; Ander, B.P.; Stamova, B.; Zhan, X.; Sharp, F.R. Targeting neutrophils in ischemic stroke: Translational insights from experimental studies. J. Cereb. Blood Flow Metab. 2015, 35, 888–901. [Google Scholar] [CrossRef] [PubMed] [Green Version]
- Ruhnau, J.; Schulze, J.; Dressel, A.; Vogelgesang, A. Thrombosis, Neuroinflammation, and Poststroke Infection: The Multifaceted Role of Neutrophils in Stroke. J. Immunol. Res. 2017, 2017, 5140679. [Google Scholar] [CrossRef]
- Shi, J.; Peng, H.; You, S.; Liu, Y.; Xu, J.; Xu, Y.; Liu, H.; Shi, R.; Cao, Y.; Liu, C.F. Increase in neutrophils after recombinant tissue plasminogen activator thrombolysis predicts poor functional outcome of ischaemic stroke: A longitudinal study. Eur. J. Neurol. 2018, 25, 687-e45. [Google Scholar] [CrossRef] [PubMed]
- Brooks, S.D.; Spears, C.; Cummings, C.; VanGilder, R.L.; Stinehart, K.R.; Gutmann, L.; Domico, J.; Culp, S.; Carpenter, J.; Rai, A.; et al. Admission neutrophil-lymphocyte ratio predicts 90 day outcome after endovascular stroke therapy. J. Neurointerv. Surg. 2014, 6, 578–583. [Google Scholar] [CrossRef] [PubMed]
- Lux, D.; Alakbarzade, V.; Bridge, L.; Clark, C.N.; Clarke, B.; Zhang, L.; Khan, U.; Pereira, A.C. The association of neutrophil-lymphocyte ratio and lymphocyte-monocyte ratio with 3-month clinical outcome after mechanical thrombectomy following stroke. J. Neuroinflamm. 2020, 17, 60. [Google Scholar] [CrossRef] [PubMed] [Green Version]
- Pektezel, M.Y.; Yilmaz, E.; Arsava, E.M.; Topcuoglu, M.A. Neutrophil-to-Lymphocyte Ratio and Response to Intravenous Thrombolysis in Patients with Acute Ischemic Stroke. J. Stroke Cerebrovasc. Dis. 2019, 28, 1853–1859. [Google Scholar] [CrossRef] [PubMed]
- Wang, C.; Zhang, Q.; Ji, M.; Mang, J.; Xu, Z. Prognostic value of the neutrophil-to-lymphocyte ratio in acute ischemic stroke patients treated with intravenous thrombolysis: A systematic review and meta-analysis. BMC Neurol. 2021, 21, 191. [Google Scholar] [CrossRef]
- Switonska, M.; Slomka, A.; Korbal, P.; Piekus-Slomka, N.; Sinkiewicz, W.; Sokal, P.; Zekanowska, E. Association of Neutrophil-to-Lymphocyte Ratio and Lymphocyte-to-Monocyte Ratio with Treatment Modalities of Acute Ischaemic Stroke: A Pilot Study. Medicina 2019, 55, 342. [Google Scholar] [CrossRef] [Green Version]
- Dong, X.; Nao, J.; Gao, Y. Peripheral Monocyte Count Predicts Outcomes in Patients with Acute Ischemic Stroke Treated with rtPA Thrombolysis. Neurotox. Res. 2020, 37, 469–477. [Google Scholar] [CrossRef]
- ElAli, A.; Jean LeBlanc, N. The Role of Monocytes in Ischemic Stroke Pathobiology: New Avenues to Explore. Front. Aging Neurosci. 2016, 8, 29. [Google Scholar] [CrossRef] [PubMed] [Green Version]
- Wattananit, S.; Tornero, D.; Graubardt, N.; Memanishvili, T.; Monni, E.; Tatarishvili, J.; Miskinyte, G.; Ge, R.; Ahlenius, H.; Lindvall, O.; et al. Monocyte-Derived Macrophages Contribute to Spontaneous Long-Term Functional Recovery after Stroke in Mice. J. Neurosci. 2016, 36, 4182–4195. [Google Scholar] [CrossRef] [PubMed]
- Ren, H.; Han, L.; Liu, H.; Wang, L.; Liu, X.; Gao, Y. Decreased Lymphocyte-to-Monocyte Ratio Predicts Poor Prognosis of Acute Ischemic Stroke Treated with Thrombolysis. Med. Sci. Monit. Int. Med. J. Exp. Clin. Res. 2017, 23, 5826–5833. [Google Scholar] [CrossRef] [Green Version]
- Gill, D.; Sivakumaran, P.; Aravind, A.; Tank, A.; Dosh, R.; Veltkamp, R. Temporal Trends in the Levels of Peripherally Circulating Leukocyte Subtypes in the Hours after Ischemic Stroke. J. Stroke Cerebrovasc. Dis. 2018, 27, 198–202. [Google Scholar] [CrossRef]
- Kim, J.; Song, T.J.; Park, J.H.; Lee, H.S.; Nam, C.M.; Nam, H.S.; Kim, Y.D.; Heo, J.H. Different prognostic value of white blood cell subtypes in patients with acute cerebral infarction. Atherosclerosis 2012, 222, 464–467. [Google Scholar] [CrossRef] [PubMed]
- Liesz, A.; Hu, X.; Kleinschnitz, C.; Offner, H. Functional role of regulatory lymphocytes in stroke: Facts and controversies. Stroke 2015, 46, 1422–1430. [Google Scholar] [CrossRef]
- Abo, T.; Kawamura, T. Immunomodulation by the Autonomic Nervous System: Therapeutic Approach for Cancer, Collagen Diseases, and Inflammatory Bowel Diseases. Ther. Apher. 2002, 6, 348–357. [Google Scholar] [CrossRef]
- Tracey, K.J. The inflammatory reflex. Nature 2002, 420, 853–859. [Google Scholar] [CrossRef] [PubMed]
- Fang, Y.N.; Tong, M.S.; Sung, P.H.; Chen, Y.L.; Chen, C.H.; Tsai, N.W.; Huang, C.J.; Chang, Y.T.; Chen, S.F.; Chang, W.N.; et al. Higher neutrophil counts and neutrophil-to-lymphocyte ratio predict prognostic outcomes in patients after non-atrial fibrillation-caused ischemic stroke. Biomed. J. 2017, 40, 154–162. [Google Scholar] [CrossRef] [PubMed]
- Xue, J.; Huang, W.; Chen, X.; Li, Q.; Cai, Z.; Yu, T.; Shao, B. Neutrophil-to-Lymphocyte Ratio Is a Prognostic Marker in Acute Ischemic Stroke. J. Stroke Cerebrovasc. Dis. 2017, 26, 650–657. [Google Scholar] [CrossRef]
- Semerano, A.; Laredo, C.; Zhao, Y.; Rudilosso, S.; Renu, A.; Llull, L.; Amaro, S.; Obach, V.; Planas, A.M.; Urra, X.; et al. Leukocytes, Collateral Circulation, and Reperfusion in Ischemic Stroke Patients Treated with Mechanical Thrombectomy. Stroke 2019, 50, 3456–3464. [Google Scholar] [CrossRef] [PubMed]


| All Patients n = 285 | Good Outcome (mRS = 0–1) n = 190 | Poor Outcome (mRS = 2–6) n = 95 | p Value | |
|---|---|---|---|---|
| Demographic characteristics | ||||
| Age (years) | 66 ± 12.9 | 62.8 ± 12.9 | 72.0 ± 10.2 | <0.001 |
| Gender, male (%) | 159 (55.8) | 107 (56.3) | 52 (54.7) | 0.802 |
| BMI (kg/m2) | 28.5 ± 5.9 | 28.5 ± 5.6 | 28.4 ± 6.5 | 0.900 |
| Baseline laboratory results | ||||
| hsCRP (g/L) | 2.8 (1.4–6.0) | 2.5 (1.3–5.2) | 3.5 (1.7–7.7) | 0.060 |
| White blood cell count (G/L) | 8.1 (6.5–9.9) | 8.04 (6.45–9.59) | 8.15 (6.48–10.33) | 0.455 |
| Neutrophil count (G/L) | 5.2 (4.0–7.1) | 5.12 (3.99–6.86) | 5.62 (4.17–7.55) | 0.157 |
| Lymphocyte count (G/L) | 1.7 (1.2–2.3) | 1.77 (1.31–2.3) | 1.61 (1.15–2.24) | 0.053 |
| Monocyte count (G/L) | 0.56 (0.44–0.69) | 0.54 (0.43–0.69) | 0.58 (0.47–0.71) | 0.164 |
| NLR | 2.9 (1.94–4.82) | 2.72 (1.86–4.66) | 3.18 (2.17–5.94) | 0.036 |
| LMR | 3.22 (2.42–4.29) | 3.41 (2.51–4.55) | 2.97 (1.87–3.92) | 0.005 |
| Vascular risk factors, n (%) | ||||
| Smoking | ||||
| Non-smoker | 204 (71.6) | 131 (68.8) | 73 (76.8) | 0.152 |
| Previous smoker | 2 (0.7) | 2 (1.1) | 0 | |
| Current smoker | 79 (27.7) | 57 (30.2) | 22 (23.2) | |
| Previous stroke/TIA | 67 (23.5) | 38 (20) | 29 (30.5) | 0.055 |
| Atrial fibrillation | 29 (10.2) | 14 (7.4) | 15 (15.8) | 0.026 |
| PAD | 9 (3.2) | 6 (3.2) | 3 (3.2) | 1.000 |
| Hyperlipidemia | 181 (63.5) | 123 (64.7) | 58 (61.0) | 0.602 |
| DM | 71 (24.9) | 41 (21.6) | 30 (31.6) | 0.081 |
| Hypertension | 246 (86.3) | 158 (83.2) | 88 (92.6) | 0.029 |
| Therapy at stroke onset, n (%) | ||||
| ACE inhibitor | 148 (51.9) | 92 (48.4) | 56 (58.9) | 0.103 |
| Diuretic | 118 (41.4) | 71 (37.4) | 48 (50.5) | 0.056 |
| Beta blocker | 97 (34) | 62 (32.6) | 35 (36.8) | 0.509 |
| Calcium channel blocker | 69 (24.2) | 46 (24.2) | 23 (24.2) | 1.000 |
| Alfa blocker | 23 (8.1) | 14 (7.4) | 9 (9.5) | 0.645 |
| Hypertension therapy | 189 (66.3) | 121 (63.7) | 68 (71.6) | 0.231 |
| Acetylsalicylic acid | 86 (30.2) | 52 (27.4) | 34 (35.8) | 0.171 |
| Clopidogrel | 23 (8.1) | 16 (8.4) | 7 (7.4) | 0.822 |
| Anticoagulant therapy, n (%) | ||||
| Vitamin K antagonist | 9 (3.2) | 5 (2.6) | 4 (4.2) | |
| Direct thrombin inhibitor | 1 (0.4) | 1 (0.5) | 0 | |
| Direct factor Xa inhibitor | 0 | 0 | 0 | |
| Low molecular weight heparin | 3 (1.1) | 2 (1.1) | 1 (1.1) | |
| Lipid lowering therapy, n (%) | 78 (25) | 44 (23.3) | 27 (28.4) | 0.384 |
| Anti-diabetic therapy, n (%) | 52 (17) | 27 (14.2) | 21 (22.1) | 0.094 |
| Stroke severity, n (%) | ||||
| NIHSS at day 1 | ||||
| 0–5 | 110 (38.7) | 93 (48.9) | 17 (18.1) | <0.001 |
| 6–10 | 98 (34.5) | 65 (34.2) | 33 (35.1) | |
| 11–15 | 50 (17.6) | 24 (12.6) | 26 (27.7) | |
| >15 | 26 (9.2) | 8 (4.2) | 18 (19.1) | |
| NIHSS at day 7 | ||||
| 0–5 | 129 (46.9) | 109 (57.7) | 20 (23.3) | <0.001 |
| 6–10 | 113 (41.1) | 77 (40.7) | 36 (41.9) | |
| 11–15 | 24 (8.7) | 3 (1.6) | 21 (24.4) | |
| >15 | 9 (3.3) | 0 | 9 (10.5) | |
| Hemorrhagic transformation, n (%) | ||||
| aSICH | 13 (4.6) | 4 (2.1) | 9 (9.5) | 0.110 |
| SICH | 7 (2.5) | 0 | 7 (7.4) | |
| Stroke localization, n (%) | ||||
| ICA | 193 (67.7) | 112 (58.9) | 81 (85.3) | <0.001 |
| VB | 92 (32.3) | 78 (41.1) | 14 (14.7) | |
| Stroke etiology (TOAST), n (%) | ||||
| Large-artery atherosclerosis | 62 (21.8) | 55 (28.9) | 7 (7.4) | <0.001 |
| Small-vessel occlusion | 103 (36.1) | 59 (31.1) | 44 (46.3) | |
| Cardioembolic | 23 (8.1) | 17 (8.9) | 6 (6.3) | |
| Other/undetermined | 97 (34) | 59 (31.1) | 38 (40) |
| Before Thrombolysis | 24 h after Thrombolysis | p Value | |
|---|---|---|---|
| Neutrophil (G/L) | 5.24 (4.04–7.14) | 6.26 (4.7–8.3) | <0.001 |
| Lymphocyte (G/L) | 1.74 (1.25–2.3) | 1.69 (1.28–2.15) | 0.061 |
| Monocyte (G/L) | 0.56 (0.44–0.69) | 0.66 (0.53–0.83) | <0.001 |
| NLR | 2.9 (1.94–4.82) | 3.58 (2.48–5.6) | <0.001 |
| LMR | 3.22 (2.42–4.29) | 2.58 (1.74–3.56) | <0.001 |
| Time of Blood Sampling | Neutrophil (G/L) | Lymphocyte (G/L) | Monocyte (G/L) | NLR | LMR | |
|---|---|---|---|---|---|---|
| Hemorrhagic transformation according to ECASS II | At admission | |||||
| No hemorrhage (n = 264) | 5.2 (4.1–7.1) | 1.7 (1.2–2.3) | 0.56 (0.44–0.70) | 2.88 (1.93–4.82) | 3.22 (2.42–4.30) | |
| aSICH (n = 13) | 5.3 (3.8–7.2) | 1.7 (1.3–1.9) | 0.45 (0.39–0.58) | 3.07 (2.32–6.50) | 3.82 (2.68–5.10) | |
| SICH (n = 7) | 6.2 (3.6–8.0) | 1.8 (1.4–2.2) | 0.60 (0.53–0.68) | 3.41 (1.96–4.54) | 2.97 (2.56–3.91) | |
| p value | 0.987 | 0.688 | 0.152 | 0.805 | 0.551 | |
| 24 h after thrombolysis | ||||||
| No hemorrhage (n = 264) | 6.1 (4.6–8.2) | 1.7 (1.3–2.2) | 0.66 (0.52–0.83) | 3.44 (2.45–5.20) | 2.63 (1.75–3.59) | |
| aSICH (n = 13) | 8.2 (6.6–9.1) | 1.3 (1.1–1.9) | 0.69 (0.62–0.87) | 5.63 (3.31–8.58) | 2.07 (1.2–2.59) | |
| SICH (n = 7) | 9.7 (7.3–15.4) | 1.3 (0.8–2.2) | 0.91 (0.80–1.17) | 7.12 (4.15–19.7) | 1.51 (0.8–2.04) | |
| p value | 0.002 | 0.091 | 0.030 | 0.002 | 0.005 | |
| Stroke severity | At admission | |||||
| NIHSS 0–5 (n = 110) | 5.1 (4.0–7.0) | 1.8 (1.4–2.4) | 0.57 (0.44–0.71) | 2.75 (1.81–3.98) | 3.45 (2.51–4.51) | |
| NIHSS 6–10 (n = 97) | 5.5 (4.4–6.8) | 1.7 (1.2–2.3) | 0.57 (0.45–0.70) | 2.78 (2.00–4.95) | 3.01 (2.33–4.34) | |
| NIHSS 11–16 (n = 50) | 5.1 (4.0–7.5) | 1.6 (1.2–2.1) | 0.53 (0.42–0.66) | 2.99 (2.08–6.56) | 3.11 (2.41–4.13) | |
| NIHSS > 16 (n = 25) | 5.3 (3.6–6.9) | 1.6 (1.1–1.9) | 0.55 (0.44–0.63) | 3.27 (2.10–5.73) | 3.04 (2.36–4.06) | |
| p value | 0.782 | 0.067 | 0.581 | 0.330 | 0.441 | |
| 24 h after thrombolysis | ||||||
| NIHSS 0–5 (n = 110) | 5.4 (4.3–7.5) | 1.8 (1.4–2.4) | 0.61 (0.49–0.79) | 3.08 (2.10–4.47) | 2.95 (2.27–3.92) | |
| NIHSS 6–10 (n = 97) | 6.4 (4.7–8.0) | 1.7 (1.4–2.2) | 0.66 (0.56–0.82) | 3.30 (2.48–5.17) | 2.54 (1.85–3.59) | |
| NIHSS 11–16 (n = 50) | 7.7 (5.0–9.7) | 1.4 (1.2–2.0) | 0.67 (0.56–0.85) | 4.66 (3.04–6.85) | 2.26 (1.67–2.87) | |
| NIHSS > 16 (n = 25) | 9.7 (7.2–13.4) | 1.2 (0.9–1.7) | 0.83 (0.68–1.08) | 8.4 (4.05–12.98) | 1.34 (1.04–1.87) | |
| p value | <0.001 | <0.001 | 0.004 | <0.001 | <0.001 | |
| Characteristics | Univariate Analysis, Crude OR (95% CI) | p Value | Multivariate Analysis, Adjusted OR (95% CI) a | p Value |
|---|---|---|---|---|
| At admission | ||||
| Low NLR–High LMR (n = 211) | Ref | - | Ref | - |
| High NLR–High LMR (n = 22) | 0.766 (0.310–1.891) | p = 0.563 | 0.338 (0.075–1.530) | p = 0.159 |
| Low NLR–Low LMR (n = 19) | 0.993 (0.516–1.914) | p = 0.507 | 1.486 (0.462–4.779) | p = 0.507 |
| High NLR–Low LMR (n = 33) | 5.496 (3.236–9.336) | p < 0.001 | 3.049 (1.205–7.714) | p = 0.019 |
| On day 1 | ||||
| Low NLR–High LMR (n = 178) | Ref | - | Ref | - |
| High NLR–High LMR (n = 10) | 1.412 (0.555–3.591) | p = 0.469 | 4.860 (0.816–28.944) | p = 0.082 |
| Low NLR–Low LMR (n = 35) | 1.831 (0.914–3.671) | p = 0.088 | 1.168 (0.439–3.107) | p = 0.755 |
| High NLR–Low LMR (n = 62) | 10.13 (5.685–18.066) | p < 0.001 | 6.353 (2.774–14.548) | p < 0.001 |
Publisher’s Note: MDPI stays neutral with regard to jurisdictional claims in published maps and institutional affiliations. |
© 2022 by the authors. Licensee MDPI, Basel, Switzerland. This article is an open access article distributed under the terms and conditions of the Creative Commons Attribution (CC BY) license (https://creativecommons.org/licenses/by/4.0/).
Share and Cite
Sadeghi, F.; Sarkady, F.; Zsóri, K.S.; Szegedi, I.; Orbán-Kálmándi, R.; Székely, E.G.; Vasas, N.; Berényi, E.; Csiba, L.; Bagoly, Z.; et al. High Neutrophil–Lymphocyte Ratio and Low Lymphocyte–Monocyte Ratio Combination after Thrombolysis Is a Potential Predictor of Poor Functional Outcome of Acute Ischemic Stroke. J. Pers. Med. 2022, 12, 1221. https://doi.org/10.3390/jpm12081221
Sadeghi F, Sarkady F, Zsóri KS, Szegedi I, Orbán-Kálmándi R, Székely EG, Vasas N, Berényi E, Csiba L, Bagoly Z, et al. High Neutrophil–Lymphocyte Ratio and Low Lymphocyte–Monocyte Ratio Combination after Thrombolysis Is a Potential Predictor of Poor Functional Outcome of Acute Ischemic Stroke. Journal of Personalized Medicine. 2022; 12(8):1221. https://doi.org/10.3390/jpm12081221
Chicago/Turabian StyleSadeghi, Farzaneh, Ferenc Sarkady, Katalin S. Zsóri, István Szegedi, Rita Orbán-Kálmándi, Edina G. Székely, Nikolett Vasas, Ervin Berényi, László Csiba, Zsuzsa Bagoly, and et al. 2022. "High Neutrophil–Lymphocyte Ratio and Low Lymphocyte–Monocyte Ratio Combination after Thrombolysis Is a Potential Predictor of Poor Functional Outcome of Acute Ischemic Stroke" Journal of Personalized Medicine 12, no. 8: 1221. https://doi.org/10.3390/jpm12081221
APA StyleSadeghi, F., Sarkady, F., Zsóri, K. S., Szegedi, I., Orbán-Kálmándi, R., Székely, E. G., Vasas, N., Berényi, E., Csiba, L., Bagoly, Z., & Shemirani, A. H. (2022). High Neutrophil–Lymphocyte Ratio and Low Lymphocyte–Monocyte Ratio Combination after Thrombolysis Is a Potential Predictor of Poor Functional Outcome of Acute Ischemic Stroke. Journal of Personalized Medicine, 12(8), 1221. https://doi.org/10.3390/jpm12081221

