Effect of Sleep Disturbance on Cognitive Function in Elderly Individuals: A Prospective Cohort Study
Abstract
:1. Introduction
2. Materials and Methods
2.1. Patients
2.2. Cognitive Outcome Measures
2.3. Polysomnography
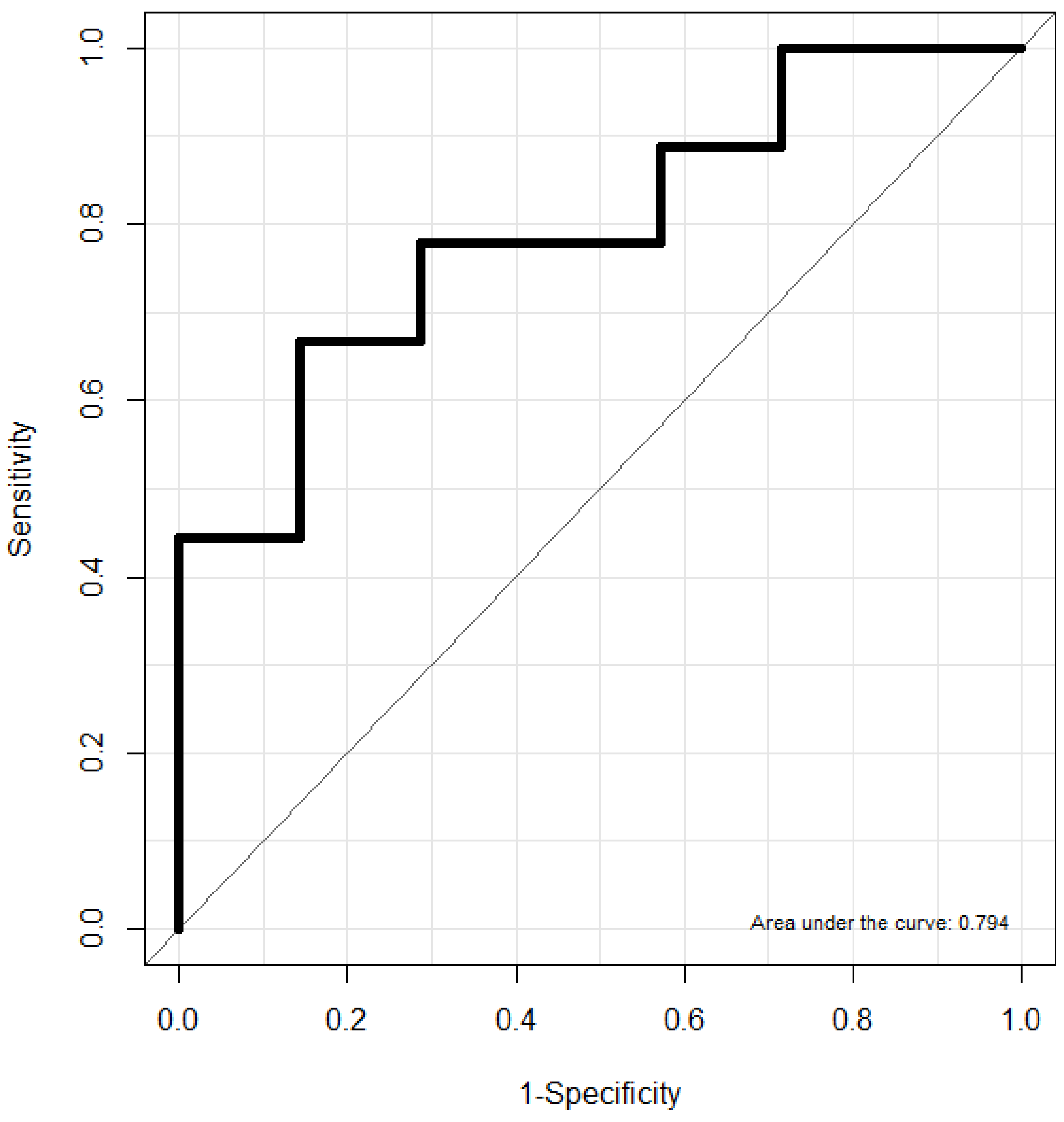
2.4. Statistical Analysis
3. Results
3.1. Demographic, Cognitive Function, Sleep-Related Problem in the Study Population
3.2. Polysomnographic Data of Patients with and without Cognitive Impairment
3.3. Relationship between Sleep-Related Factor and Cognitive Function
4. Discussion
5. Conclusions
Author Contributions
Funding
Institutional Review Board Statement
Informed Consent Statement
Data Availability Statement
Acknowledgments
Conflicts of Interest
References
- Bliwise, D.L. Sleep in Normal aging and dementia. Sleep 1993, 16, 40–81. [Google Scholar] [CrossRef] [PubMed] [Green Version]
- Cooke, J.R.; Ancoli-Israel, S. Normal and abnormal sleep in the elderly. Handb. Clin. Neurol. 2011, 98, 653–665. [Google Scholar] [CrossRef] [PubMed] [Green Version]
- Canto, C.B.; Onuki, Y.; Bruinsma, B.; van der Werf, Y.D.; De Zeeuw, C.I. The sleeping cerebellum. Trends Neurosci. 2017, 40, 309–323. [Google Scholar] [CrossRef] [PubMed] [Green Version]
- Branger, P.; Arenaza-Urquijo, E.M.; Tomadesso, C.; Mézenge, F.; André, C.; de Flores, R.; Mutlu, J.; de La Sayette, V.; Eustache, F.; Chételat, G.; et al. Relationships between sleep quality and brain volume, metabolism, and amyloid deposition in late adulthood. Neurobiol. Aging 2016, 41, 107–114. [Google Scholar] [CrossRef] [PubMed]
- Zhong, G.; Naismith, S.L.; Rogers, N.L.; Lewis, S.J. Sleep-wake disturbances in common neurodegenerative diseases: A closer look at selected aspects of the neural circuitry. J. Neurol. Sci. 2011, 307, 9–14. [Google Scholar] [CrossRef]
- Diekelmann, S.; Born, J. The Memory Function of Sleep. Nat. Rev. Neurosci. 2010, 11, 114–126. [Google Scholar] [CrossRef] [PubMed]
- Moran, M.; Lynch, C.A.; Walsh, C.; Coen, R.; Coakley, D.; Lawlor, B.A. Sleep disturbance in mild to moderate alzheimer’s disease. Sleep Med. 2005, 6, 347–352. [Google Scholar] [CrossRef]
- Bliwise, D.L. Sleep disorders in Alzheimer’s disease and other dementias. Clin. Cornerstone 2004, 6 (Suppl. 1A), S16–S28. [Google Scholar] [CrossRef]
- Vitiello, M.V.; Prinz, P.N. Alzheimer’s disease. Sleep and sleep/wake patterns. Clin. Geriatr. Med. 1989, 5, 289–299. [Google Scholar] [CrossRef]
- Volicer, L.; Harper, D.G.; Manning, B.C.; Goldstein, R.; Satlin, A. Sundowning and circadian rhythms in Alzheimer’s disease. Am. J. Psychiatry 2001, 158, 704–711. [Google Scholar] [CrossRef]
- Gaeta, A.M.; Benítez, I.D.; Jorge, C.; Torres, G.; Dakterzada, F.; Minguez, O.; Huerto, R.; Pujol, M.; Carnes, A.; Dalmases, M.; et al. Prevalence of obstructive sleep apnea in Alzheimer’s disease patients. J. Neurol. 2020, 267, 1012–1022. [Google Scholar] [CrossRef] [PubMed]
- Yusop, C.Y.C.; Mohamad, I.; Mohammad, W.M.Z.W.; Abdullah, B. Cognitive function among obstructive sleep apnea patients in North East Malaysia. J. Natl. Med. Assoc. 2017, 109, 215–220. [Google Scholar] [CrossRef] [PubMed]
- Zhang, X.L.; Gao, B.; Han, T.; Xiang, B.Y.; Liu, X. Moderate-to-severe obstructive sleep apnea and cognitive function impairment in patients with COPD. Int. J. Chron. Obstruct. Pulmon. Dis. 2020, 15, 1813–1822. [Google Scholar] [CrossRef] [PubMed]
- Harmell, A.L.; Neikrug, A.B.; Palmer, B.W.; Avanzino, J.A.; Liu, L.; Maglione, J.E.; Natarajan, L.; Corey-Bloom, J.; Loredo, J.S.; Ancoli-Israel, S. Obstructive sleep apnea and cognition in Parkinson’s disease. Sleep Med. 2016, 21, 28–34. [Google Scholar] [CrossRef] [PubMed] [Green Version]
- Pollak, C.P.; Perlick, D.; Linsner, J.P.; Wenston, J.; Hsieh, F. Sleep problems in the community elderly as predictors of death and nursing home placement. J. Community Health 1990, 15, 123–135. [Google Scholar] [CrossRef]
- Wang, C.; Holtzman, D.M. Bidirectional relationship between sleep and Alzheimer’s disease: Role of amyloid, tau, and other factors. Neuropsychopharmacology 2020, 45, 104–120. [Google Scholar] [CrossRef]
- Ju, Y.E.; Lucey, B.P.; Holtzman, D.M. Sleep and Alzheimer disease pathology—A bidirectional relationship. Nat. Rev. Neurol. 2014, 10, 115–119. [Google Scholar] [CrossRef]
- Shi, L.; Chen, S.J.; Ma, M.Y.; Bao, Y.P.; Han, Y.; Wang, Y.M.; Shi, J.; Vitiello, M.V.; Lu, L. Sleep Disturbances Increase the Risk of Dementia: A Systematic Review and Meta-analysis. Sleep Med. Rev. 2018, 40, 4–16. [Google Scholar] [CrossRef]
- Folstein, M.F.; Folstein, S.E.; McHugh, P.R. ‘Mini-mental state’. A Practical Method for Grading the Cognitive State of Patients for the Clinician. J. Psychiatr. Res. 1975, 12, 189–198. [Google Scholar] [CrossRef]
- Lee, J.H.; Lee, K.U.; Lee, D.Y.; Kim, K.W.; Jhoo, J.H.; Kim, J.H.; Lee, K.H.; Kim, S.Y.; Han, S.H.; Woo, J.I. Development of the Korean Version of the Consortium to Establish a Registry for Alzheimer’s Disease Assessment Packet (CERAD-K): Clinical and neuropsychological assessment batteries. J. Gerontol. B Psychol. Sci. Soc. Sci. 2002, 57, P47–P53. [Google Scholar] [CrossRef] [Green Version]
- Berry, R.B.; Budhiraja, R.; Gottlieb, D.J.; Gozal, D.; Iber, C.; Kapur, V.K.; Marcus, C.L.; Mehra, R.; Parthasarathy, S.; Quan, S.F.; et al. Rules for Scoring Respiratory Events in Sleep: Update of the 2007 AASM Manual for the Scoring of Sleep and Associated Events. Deliberations of the Sleep Apnea Definitions Task Force of the American Academy of Sleep Medicine. J. Clin. Sleep Med. 2012, 8, 597–619. [Google Scholar] [CrossRef] [PubMed] [Green Version]
- Berry, R.B.; Brooks, R.; Gamaldo, C.; Harding, S.M.; Lloyd, R.M.; Quan, S.F.; Troester, M.T.; Vaughn, B.V. AASM Scoring Manual Updates for 2017 (Version 2.4). J. Clin. Sleep Med. 2017, 13, 665–666. [Google Scholar] [CrossRef] [PubMed]
- Wolkove, N.; Elkholy, O.; Baltzan, M.; Palayew, M. Sleep and aging: 1. Sleep disorders commonly found in older people. Can. Med. Assoc. J. 2007, 176, 1299–1304. [Google Scholar] [CrossRef] [PubMed] [Green Version]
- Benca, R.M.; Obermeyer, W.H.; Thisted, R.A.; Gillin, J.C. Sleep and psychiatric disorders. a meta-analysis. Arch. Gen. Psychiatry 1992, 49, 651–668; discussion 669–670. [Google Scholar] [CrossRef] [PubMed]
- Blackwell, T.; Yaffe, K.; Ancoli-Israel, S.; Schneider, J.L.; Cauley, J.A.; Hillier, T.A.; Fink, H.A.; Stone, K.L. Study of osteoporotic fractures group. poor sleep is associated with impaired cognitive function in older women: The study of osteoporotic fractures. J. Gerontol. A Biol. Sci. Med. Sci. 2006, 61, 405–410. [Google Scholar] [CrossRef] [Green Version]
- Ju, Y.E.; McLeland, J.S.; Toedebusch, C.D.; Xiong, C.; Fagan, A.M.; Duntley, S.P.; Morris, J.C.; Holtzman, D.M. Sleep quality and preclinical Alzheimer disease. JAMA Neurol. 2013, 70, 587–593. [Google Scholar] [CrossRef]
- Spira, A.P.; Gamaldo, A.A.; An, Y.; Wu, M.N.; Simonsick, E.M.; Bilgel, M.; Zhou, Y.; Wong, D.F.; Ferrucci, L.; Resnick, S.M. Self-reported sleep and β-Amyloid deposition in community-dwelling older adults. JAMA Neurol. 2013, 70, 1537–1543. [Google Scholar] [CrossRef] [Green Version]
- Ancoli-Israel, S.; Klauber, M.R.; Butters, N.; Parker, L.; Kripke, D.F. Dementia in Institutionalized elderly: Relation to sleep apnea. J. Am. Geriatr. Soc. 1991, 39, 258–263. [Google Scholar] [CrossRef]
- Hoch, C.C.; Reynolds, C.F., III; Kupfer, D.J.; Houck, P.R.; Berman, S.R.; Stack, J.A. Sleep-disordered breathing in normal and pathologic aging. J. Clin. Psychiatry 1986, 47, 499–503. [Google Scholar]
- Cohen-Zion, M.; Stepnowsky, C.; Marler; Shochat, T.; Kripke, D.F.; Ancoli-Israel, S. Changes in cognitive function associated with sleep disordered breathing in older people. J. Am. Geriatr. Soc. 2001, 49, 1622–1627. [Google Scholar] [CrossRef]
- Spira, A.P.; Blackwell, T.; Stone, K.L.; Redline, S.; Cauley, J.A.; Ancoli-Israel, S.; Yaffe, K. Sleep-disordered breathing and cognition in older women. J. Am. Geriatr. Soc. 2008, 56, 45–50. [Google Scholar] [CrossRef] [PubMed]
- Martin, M.S.; Sforza, E.; Roche, F.; Barthélémy, J.C.; Thomas-Anterion, C.; PROOF Study Group. Sleep breathing disorders and cognitive function in the elderly: An 8-year follow-up study. The Proof-Synapse Cohort. Sleep 2015, 38, 179–187. [Google Scholar] [CrossRef] [PubMed] [Green Version]
- Zimmerman, M.E.; Aloia, M.S. Sleep-disordered breathing and cognition in older adults. Curr. Neurol. Neurosci. Rep. 2012, 12, 537–546. [Google Scholar] [CrossRef] [PubMed] [Green Version]
- Gozal, D.; Row, B.W.; Kheirandish, L.; Liu, R.; Guo, S.Z.; Qiang, F.; Brittian, K.R. Increased susceptibility to intermittent hypoxia in aging rats: Changes in proteasomal activity, neuronal apoptosis and spatial function. J. Neurochem. 2003, 86, 1545–1552. [Google Scholar] [CrossRef] [Green Version]
- Nair, D.; Dayyat, E.A.; Zhang, S.X.; Wang, Y.; Gozal, D. Intermittent hypoxia-induced cognitive deficits are mediated by NADPH oxidase activity in a murine model of sleep apnea. PLoS ONE 2011, 6, e19847. [Google Scholar] [CrossRef]
- Li, L.; Zhang, X.; Yang, D.; Luo, G.; Chen, S.; Le, W. Hypoxia increases abeta generation by altering beta- and gamma-cleavage of APP. Neurobiol. Aging 2009, 30, 1091–1098. [Google Scholar] [CrossRef]
- Gao, L.; Tian, S.; Gao, H.; Xu, Y. Hypoxia increases Aβ-induced Tau phosphorylation by calpain and promotes behavioral consequences in AD transgenic mice. J. Mol. Neurosci. 2013, 51, 138–147. [Google Scholar] [CrossRef]
- Osorio, R.S.; Ayappa, I.; Mantua, J.; Gumb, T.; Varga, A.; Mooney, A.M.; Burschtin, O.E.; Taxin, Z.; During, E.; Spector, N.; et al. Interaction between sleep-disordered breathing and apolipoprotein E genotype on cerebrospinal fluid biomarkers for Alzheimer’s disease in cognitively normal elderly individuals. Neurobiol. Aging 2014, 35, 1318–1324. [Google Scholar] [CrossRef] [Green Version]
- Macey, P.M.; Kumar, R.; Woo, M.A.; Valladares, E.M.; Yan-Go, F.L.; Harper, R.M. Brain Structural Changes in Obstructive Sleep Apnea. Sleep 2008, 31, 967–977. [Google Scholar]
- Joo, E.Y.; Tae, W.S.; Lee, M.J.; Kang, J.W.; Park, H.S.; Lee, J.Y.; Suh, M.; Hong, S.B. Reduced Brain Gray Matter Concentration in Patients with Obstructive Sleep Apnea Syndrome. Sleep 2010, 33, 235–241. [Google Scholar] [CrossRef] [Green Version]
- Robbins, J.; Redline, S.; Ervin, A.; Walsleben, J.A.; Ding, J.; Nieto, F.J. Associations of Sleep-disordered breathing and cerebral changes on MRI. J. Clin. Sleep Med. 2005, 1, 159–165. [Google Scholar] [CrossRef] [PubMed] [Green Version]
- Caamaño-Isorna, F.; Corral, M.; Montes-Martínez, A.; Takkouche, B. Education and dementia: A meta-analytic study. Neuroepidemiology 2006, 26, 226–232. [Google Scholar] [CrossRef] [PubMed]

| Patients with Normal Cognitive Function (n = 32) | Patients with Cognitive Impairment (n = 48) | p Value | |
|---|---|---|---|
| Age | 71.03 ± 4.97 | 74.54 ± 5.65 | 0.006 |
| Sex (male) | 8 (40%) | 13 (27.1%) | 1.000 |
| BMI (kg/cm2) | 26.68 ± 3.91 | 23.59 ± 2.97 | <0.001 |
| Neck circumference (cm) | 35.72 ± 2.61 | 34.44 ± 2.72 | 0.040 |
| Waist circumference (cm) | 94.44 ± 10.77 | 90.06 ± 8.67 | 0.048 |
| Hip circumference (cm) | 96.67 ± 7.57 | 91.79 ± 6.35 | 0.003 |
| Hypertension (yes) | 18 (56.3%) | 25 (52.1%) | 0.820 |
| Diabetes (yes) | 7 (21.9%) | 16 (33.3%) | 0.320 |
| Stroke (yes) | 0 (0%) | 2 (4.2%) | 0.514 |
| MMSE-KC score | 26.53 ± 1.22 | 20.58 ± 2.74 | <0.001 |
| ESS score | 7.53 ± 4.09 | 6.40 ± 4.62 | 0.263 |
| Severity of OSA | 0.606 | ||
| Normal | 0 | 0 | |
| Mild OSA | 5 | 4 | |
| Moderate OSA | 10 | 15 | |
| Severe OSA | 17 | 29 |
| Polysomnographic Data | Patients with Normal Cognitive Function | Patients with Cognitive Impairment | Effect Size | p Value |
|---|---|---|---|---|
| TST (min) | 259.76 ± 41.78 | 241.12 ±43.59 | 0.436 | 0.061 |
| Sleep efficiency (%) | 70.82 ± 12.74 | 64.60 ± 13.99 | 0.462 | 0.047 |
| Sleep stage | ||||
| N1 (%TST) | 31.97 ± 19.40 | 31.80 ± 18.67 | 0.005 | 0.970 |
| N2 (%TST) | 51.33 ± 21.17 | 52.53 ± 17.11 | −0.064 | 0.780 |
| N3 (%TST) | 2.52 ± 4.73 | 3.24 ± 5.48 | −0.139 | 0.545 |
| REM (%TST) | 14.21 ± 7.05 | 12.37 ± 8.43 | 0.233 | 0.312 |
| AI (event/h) | 5.99 ± 12.05 | 12.71 ± 16.34 | −0.456 | 0.038 |
| HI (event/h) | 29.26 ± 15.91 | 26.86 ± 12.38 | 0.173 | 0.452 |
| AHI (event/h) | 35.26 ± 22.44 | 39.58 ± 21.33 | −0.198 | 0.388 |
| Supine AHI (event/h) | 42.61 ± 25.42 | 51.92 ± 27.95 | −0.346 | 0.134 |
| Lateral AHI (event/h) | 17.87 ± 22.74 | 16.46 ± 18.84 | 0.069 | 0.766 |
| Mean SaO2 (%) | 92.40 ± 1.99 | 93.05 ± 1.41 | −0.384 | 0.120 |
| Lowest SaO2 (%) | 82.97 ± 5.29 | 83.53 ± 4.52 | −0.116 | 0.612 |
| ODI (event/h) | 16.5 ±12.52 | 16.83 ± 11.54 | −0.027 | 0.905 |
| Snoring (%) | 22.62 ± 18.41 | 28.13 ± 20.57 | −0.278 | 0.225 |
| Variable | Unstandardized Coefficients | Standardized Coefficients | T | p Value | |
|---|---|---|---|---|---|
| B | Standard Error | Beta | |||
| Age | −0.103 | 0.071 | −0.161 | −1.446 | 0.152 |
| BMI | 0.322 | 0.104 | 0.333 | 3.106 | 0.003 |
| Sleep efficiency | 0.123 | 0.068 | 0.335 | 2.758 | 0.014 |
| Apnea index | −0.041 | 0.102 | −0.087 | −2.336 | 0.046 |
| B | Standard Error | Odds Ratio | 95% Confidence Interval | |
|---|---|---|---|---|
| Age | 0.075 | 0.051 | 1.077 | (0.977, 1.195) |
| BMI | −0.290 | 0.094 | 0.749 | (0.611, 0.886) |
| Sleep efficiency | −0.301 | 0.023 | 1.645 | (1.034, 1.673) |
| Apnea index | 0.270 | 0.021 | 1.824 | (1.006, 2.935) |
Publisher’s Note: MDPI stays neutral with regard to jurisdictional claims in published maps and institutional affiliations. |
© 2022 by the authors. Licensee MDPI, Basel, Switzerland. This article is an open access article distributed under the terms and conditions of the Creative Commons Attribution (CC BY) license (https://creativecommons.org/licenses/by/4.0/).
Share and Cite
Kim, D.-K.; Lee, I.H.; Lee, B.C.; Lee, C.Y. Effect of Sleep Disturbance on Cognitive Function in Elderly Individuals: A Prospective Cohort Study. J. Pers. Med. 2022, 12, 1036. https://doi.org/10.3390/jpm12071036
Kim D-K, Lee IH, Lee BC, Lee CY. Effect of Sleep Disturbance on Cognitive Function in Elderly Individuals: A Prospective Cohort Study. Journal of Personalized Medicine. 2022; 12(7):1036. https://doi.org/10.3390/jpm12071036
Chicago/Turabian StyleKim, Dong-Kyu, Il Hwan Lee, Byeong Chan Lee, and Chang Youl Lee. 2022. "Effect of Sleep Disturbance on Cognitive Function in Elderly Individuals: A Prospective Cohort Study" Journal of Personalized Medicine 12, no. 7: 1036. https://doi.org/10.3390/jpm12071036
APA StyleKim, D.-K., Lee, I. H., Lee, B. C., & Lee, C. Y. (2022). Effect of Sleep Disturbance on Cognitive Function in Elderly Individuals: A Prospective Cohort Study. Journal of Personalized Medicine, 12(7), 1036. https://doi.org/10.3390/jpm12071036

