Next Article in Journal
Deep Learning to Measure the Intensity of Indocyanine Green in Endometriosis Surgeries with Intestinal Resection
Next Article in Special Issue
Cardiovascular Risk after Kidney Transplantation: Causes and Current Approaches to a Relevant Burden
Previous Article in Journal
More than Meets the Eye: Using Textural Analysis and Artificial Intelligence as Decision Support Tools in Prostate Cancer Diagnosis—A Systematic Review
Previous Article in Special Issue
Planned Pregnancy in Kidney Transplantation. A Calculated Risk
 
 
Font Type:
Arial Georgia Verdana
Font Size:
Aa Aa Aa
Line Spacing:
Column Width:
Background:
Article

Number of Teeth and Nutritional Status Parameters Are Related to Intima-Media Thickness in Dalmatian Kidney Transplant Recipients

by
Maja Dodig Novaković
1,
Sanja Lovrić Kojundžić
2,3,4,
Mislav Radić
5,6,
Marijana Vučković
7,
Andrea Gelemanović
8,
Marija Roguljić
9,
Katja Kovačević
10,
Josip Orešković
11 and
Josipa Radić
6,7,*
1
Department of Radiology, General Hospital Šibenik, 22000 Šibenik, Croatia
2
Department of Diagnostic and Interventional Radiology, University Hospital of Split, 21000 Split, Croatia
3
School of Medicine, University of Split, 21000 Split, Croatia
4
Department of Health Studies, University of Split, 21000 Split, Croatia
5
Department of Internal Medicine, Division of Clinical Immunology and Rheumatology, University Hospital of Split, 21000 Split, Croatia
6
Department of Internal Medicine, School of Medicine, University of Split, 21000 Split, Croatia
7
Department of Nephrology and Dialysis, University Hospital of Split, 21000 Split, Croatia
8
Biology of Robusteness Group, Mediterranean Institute for Life Sciences (MedILS), 21000 Split, Croatia
9
Department of Oral Medicine and Periodontology, School of Medicine, Study of Dental Medicine, University of Split, 21000 Split, Croatia
10
Private Dental Practice Split, 21000 Split, Croatia
11
Private Dental Practice Josip Orešković, 34000 Požega, Croatia
*
Author to whom correspondence should be addressed.
J. Pers. Med. 2022, 12(6), 984; https://doi.org/10.3390/jpm12060984
Submission received: 31 March 2022 / Revised: 31 May 2022 / Accepted: 14 June 2022 / Published: 16 June 2022
(This article belongs to the Special Issue Personalized Medicine in Kidney Transplantation and Immunology)

Abstract

Although kidney transplantation significantly improves the quality of life of patients with end-stage renal disease (ESRD), the prevalence of cardiovascular disease (CVD) in kidney transplant recipients (KTRs) remains high. Atherosclerosis, post-transplantation metabolic changes, immunosuppressive therapy, and periodontitis contribute to elevated cardiovascular risk in this population. The aim of the study was to evaluate carotid intima-media thickness (IMT) as a surrogate marker of atherosclerosis and to analyze the possible risk factors for IMT in Dalmatian KTRs. Ninety-three KTRs were included in this study. Data on clinical and laboratory parameters, body composition, anthropometry, advanced glycation end-product (AGE) measurements, blood pressure, and arterial stiffness were collected. All participants underwent ultrasound examination of IMT and evaluation of periodontal status. KTRs with carotid IMT ≥ 0.9 were significantly older, had a lower level of total cholesterol, fat mass, end-diastolic velocity (EDV), and had fewer teeth. They also had significantly higher values of pulse wave velocity (PWV) and resistive index (RI). We found positive correlations between carotid IMT and duration of dialysis, age, PWV, AGE, RI, and average total clinical attachment level (CAL). The regression model showed that IMT in KTRs is associated with higher PWV, lower fat mass, and fewer teeth. The results of our study suggest that nutritional and periodontal status are associated with carotid IMT in KTRs.

1. Introduction

Chronic kidney disease (CKD) and especially end-stage renal disease (ESRD) are known as great risk factors for cardiovascular (CV) events and complications [1]. Kidney transplantation (KTX) is the therapy of choice for the treatment of ESRD and offers multiple advantages for kidney transplant recipients (KTRs) [2]. Despite all mentioned advantages, KTRs still have a greater risk of developing major CVD and have a shorter life expectancy than the general population [3,4].
Atherosclerosis is believed to be one of the major contributors to elevated CV risk in the CKD population [5,6]. Mechanisms connecting ESRD and atherosclerosis include mineral metabolism disturbances affecting vascular calcification, chronic volume overload through effects on hypertension and hypertrophy of the left ventricle, effects of advanced glycation end-products (AGEs) through endothelial dysfunction [7], chronic infectious disease, and angiopoietin-2 effects [8]. After KTX, the effects of pretransplantation risk factors on atherosclerosis are diminutive, but the post-transplant period bears challenges such as immunosuppressants, weight gain, post-transplantation diabetes mellitus, and chronic infections, also contributing to atherosclerosis and arterial stiffness [8,9] in this patient population.
The sonographically measured intima-media thickness (IMT) is considered to represent a surrogate marker for atherosclerosis. The IMT measurement can be applied in clinical practice to detect early atherosclerosis and predict atherosclerotic plaque instability in a variety of populations [10]. Higher values of carotid IMT and femoral IMT are associated with higher rates and degrees of histopathological atherosclerosis in CKD patients [11].
The impact of KTR on carotid IMT is conflicting. One study demonstrated carotid IMT to progressively increase early (2, 4, and 6 months) after kidney transplantation [12], while, in contrast, another study reported improvements 6 months after transplant [13]. Despite these conflicting results, values of IMT in KTRs are often still higher compared to the general population [13,14].
The role of nutrition and nutritional status in the pathogenesis of atherosclerosis and CV risk is receiving more and more attention in the general population [15] and in KTRs as well [16,17]. Patients with ESRD often suffer from protein energy wasting, malnutrition, and sarcopenia [18], and shortly after KTX, they face sudden weight gain and multiple metabolic changes, which puts an additional burden on this vulnerable population [19,20].
Periodontitis is one of the most common chronic oral diseases in the adult population that affects supportive tooth tissues, causing their reduction and finally can lead to tooth loss [21]. Severe forms of periodontitis are associated with systemic chronic diseases such as CV, diabetes, and CKD responsible for a major number of deaths worldwide [22]. A significant body of evidence supports the association between severe forms of periodontitis and CKD, indicating that people with periodontitis have a higher prevalence of CKD [23]. Furthermore, in the systematic review of Dos Santos et al., it was indicated that periodontal status was associated with worsening graft function and systemic health among KTRs [24]. Considering the immunosuppressive therapy and comorbidities of this specific patient population, it is not clear whether periodontitis might present an additional risk to CKD in KTRs.
AGEs are stable compounds that accumulate on long-lived proteins. AGEs are formed by the reaction of proteins or lipids with aldose sugars and further molecular rearrangements. Age, the status of oxidative stress, inflammation, liver and kidney function, nutrition, and diet also influence AGE accumulation [25].
In CKD, accumulation of AGEs is attributed to impaired renal clearance, increased endogenous formation, and excess dietary intake [7,26]. Although plasmatic clearance of AGEs dramatically improves after KTX, their removal from slow-turnover tissues might be difficult to achieve and may contribute to this high CVD burden in this population of patients [27,28]. Some studies have linked tissue levels of AGEs with chronic allograft dysfunction and a poorer CVD outcome [29,30]. The magnitude of AGE contribution to the important cardiovascular risk in KTR is not clear.
The aim of the study was to evaluate carotid intima-media thickness (IMT) as a surrogate marker of atherosclerosis and also to analyze possible risk factors for carotid IMT in Dalmatian KTRs.

2. Materials and Methods

2.1. Study Design and Population

Kidney transplant recipients (KTRs, n = 93) older than 18 years of age, with functioning kidneys and no mobility difficulties, were included in this cross-sectional study conducted at the outpatient clinic of the Department of Nephrology and Dialysis, University Hospital of Split, Croatia, between July 2019 and October 2019. The study protocol was approved by the Ethics Committee of the University Hospital of Split, Croatia.
We excluded patients who met one of the following exclusion criteria: had an implanted pacemaker or cardioverter defibrillator, stents, or limb amputation; refused to participate in the study; did not undergo ultrasound or periodontal examination; had an active infection; or had active malignant disease.

2.2. Medical History, Clinical and Laboratory Parameters

By thorough examination of patients’ medical records, data on the existence and duration of primary chronic kidney disease, arterial hypertension, diabetes mellitus, and time of kidney transplantation (KTX), type, and duration of dialysis treatment before KTX were obtained.
Regarding laboratory parameters, all study participants underwent usual peripheral blood sampling, and they were asked to obtain a 24 h urine sample on the same day as the body composition and blood pressure measurement. We collected data on levels of urea (mmol/L), creatinine (mmol/L), uric acid (mmol/L), serum albumin (g/L), phosphates (mmol/L), C-reactive protein (CRP; mg/L), calcium (mmol/L), glucose (mmol/L), triglycerides (mmol/L), total cholesterol (mmol/L), low-density lipoprotein cholesterol (LDL) (mmol/L), hemoglobin (g/L), mean cellular volume (MCV), sodium (mmol/L), potassium (mmol/L), and eGFR using CKD-EPI (mL/min/1.73 m2). A complete blood count was obtained using a hematology analyzer (Advia 120, Siemens, Erlangen, Germany).

2.2.1. Ultrasound Examination

All measurements were performed by two experienced radiologists (M.D.N., S.L.K.) who were blinded to the clinical data and periodontal status of the patient. Ultrasound evaluation of the carotid artery was performed in the B-mode technique using a high-resolution ultrasound scanner (LOGIQ S8, GE, Healthcare, Medical Systems, Waukesha, WI, USA) equipped with a 7–10 MHz linear transducer. The patient was examined in the supine position with the neck semiextended. After optimization of image quality, the scanning was started from the proximal part of the common carotid artery toward the bifurcation, followed by scanning the internal carotid artery. Dynamic images were stored for the evaluation of intima-media thickness (IMT), which was defined as the distance between the leading edges of the lumen interface and the media–adventitia interface at the far wall.
The points of measurement were 0.5 cm, 1 cm, and 2 cm distances from the bifurcation in the plaque-free area. The final carotid IMT was calculated as the mean of these six measurements (three on both sides). The increased value was defined as IMT ≥ 0.9 mm. The atheromatous plaque was considered as a focal wall thickening of at least 50% greater than that of the surrounding vessel wall.
The evaluation of quantitative ultrasound Doppler parameters included peak systolic velocity (PSV), end-diastolic velocity (EDV), and resistive index (RI) of both internal carotid arteries.

2.2.2. Body Composition and Anthropometry Measurements

Body composition was assessed by bioelectrical impedance analysis (BIA) using an MC-780 Multi Frequency Segmental Body Analyzer (Tanita, Tokyo, Japan) for each participant. Data on muscle mass (kg), skeletal muscle mass (kg), skeletal muscle mass percentage (%), body mass (kg), fat mass (kg), fat mass percentage (%), fat-free mass (kg), and visceral fat were obtained. All participants were asked not to eat or drink excessively, exercise, or consume alcohol at least one day before the measurement. They also did not take any food or liquid for a minimum period of three hours prior to the measurement.
When it comes to anthropometric parameters, data on height, weight, body mass index (BMI), waist circumference (WC), mid-upper arm circumference (MUAC), and waist-to-height ratio (WHtR) were obtained for each study subject.

2.2.3. Advanced Glycation End-Product (AGE) Measurement

AGEs were measured from the skin by skin autofluorescence (SAF) using a noninvasive desktop device (AGE Reader mu, Diagnostic’s Technologies BV, Groningen, The Netherlands). SAF is expressed in arbitrary units (AU) [31]. The device uses a UV-A light-emitting lamp and a built-in spectrometer to calculate SAF by dividing the excitation light by the emitted light. Before the measurement, the skin of each participant’s dominant forearm was cleaned with alcohol and placed on top of the device. All measurements were performed at a site of the skin with no visible abnormalities. Three consecutive measurements were performed for each study participant, and the mean value of SAF was calculated.

2.2.4. Central Blood Pressure and Arterial Stiffness Measurement

The Agedio B 900 (IEM, Stolberg, Germany) device, which uses oscillometry technology, was used to assess central and peripheral blood pressure and arterial stiffness. Data on pulse wave velocity (PWV) (m/s), augmentation index (AiX) (%), peripheral systolic blood pressure (pSBP), peripheral diastolic blood pressure (pDBP), peripheral mean arterial pressure (pMAP), peripheral pulse pressure (pPP), central systolic blood pressure (cSBP), central diastolic blood pressure (cDBP), central mean arterial pressure (cMAP), and central pulse pressure (cPP) were obtained. After measuring the upper arm circumference, the right-sized cuff was selected and positioned according to the user manual. All measurements were performed with every participant sitting comfortably with their back and arm supported, feet flat on the ground, and legs not crossed. Participants were advised not to speak or move during the measurement.

2.2.5. Periodontal Status Examination

The structured periodontal anamnesis based on the questionnaire was taken from all participants. The frequency of dental check-ups, personal and family history of periodontitis, smoking and oral hygiene habits, and clinical symptoms of periodontitis were recorded. A comprehensive periodontal examination was performed by an experienced periodontist (MR) using the UNC 15 mm periodontal probe (Aesculap, Tuttlingen, Germany). All clinical parameters measured on six sites were recorded: the full-mouth plaque score (FMPS), bleeding on probing (BOP), probing pocket depth (PPD), gingival recession (GR), and clinical attachment level (CAL). FMPS and BOP were expressed in percentages, whereas PPD, GR, and CAL were expressed in millimeters. The number of teeth, mean PD, mean CAL, BOP, FMPS, number of teeth with PD of 4, 5, and ≥6 mm, percent of sites with PD of 4, 5, and ≥6 mm, and number of teeth with interdental CAL of 1–2, 3–4, and ≥5 mm were periodontal variables assessed for each participant and included in the analysis.
Periodontal variables were considered in order to determine periodontal stages according to the new classification scheme, as proposed by Tonetti et al. [32]. Mild to moderate periodontitis included stages I and II, while severe periodontitis included stages III and IV.

2.3. Statistical Analyses

The normality of the data was assessed with the Shapiro–Wilk test. In cases of parametric distribution, numerical data were described with means and standard deviations (SDs), and with medians and interquartile ranges (IQRs) in cases of nonparametric distribution. Categorical data were described with numbers and percentages. To assess if there were any statistical differences between the groups of KTRs with increased IMT (atherosclerosis, IMT ≥ 0.9 mm) and those without (no atherosclerosis, IMT, 0.9 mm), the chi-square test was used for categorical data, T-test for parametric numerical data, and the Mann–Whitney U test for nonparametric numerical data. Spearman’s rank correlation was used to assess if there were any statistically significant correlation between IMT and measured numerical parameters. Finally, multivariate logistic regression analysis was performed to find predictors for atherosclerosis in KTRs, where all statistically significant variables identified from descriptive statistics and correlation analysis (with added gender information) were used as independent variables (named Full model). All these variables were then used as input for the Boruta algorithm [33] as a feature selection algorithm, which iteratively compares the importance of variables to keep. The selected variables were then checked for collinearity, and if any had a variance inflation factor (VIF) higher than 4, it was removed. These newly selected variables were used as independent variables in the second regression model (named Reduced model), and its output was used in the stepwise regression model with both forward and backward selection to identify the most important predictors for atherosclerosis in KTRs (named Final model). All regression models were mutually compared using the Akaike information criterion (AIC), while the quality of the models was assessed with the Hosmer and Lemeshow goodness-of-fit test. Results of logistic regressions were presented with odds ratios (ORs) and 95% confidence intervals (Cis). Statistically significant results were those with a value of p < 0.05. The entire statistical analysis was performed using the free software environment for statistical computing, R version 4.0.0 [34].

3. Results

This study included 93 KTR patients. The exclusion criteria and number of excluded patients are presented in Figure 1. Data on basic characteristics, comorbidities, laboratory parameters, anthropometric, body composition, blood pressure, and ultrasound parameters, as well as periodontal status parameters, are shown in Table 1. To determine the significant level of IMT, we used an IMT cut-off of 0.9 mm. Sixty-seven (72%) KTRs had IMT < 0.9 mm, and 26 (28%) of them had IMT ≥ 0.9 mm. KTRs with IMT ≥ 0.9 were significantly older, had a lower level of total cholesterol, fat mass (kg), and end-diastolic velocity (EDV), and had fewer teeth. In addition, KTRs with IMT ≥ 0.9 mm had significantly higher values of pulse wave velocity (PWV) and resistive index (RI).
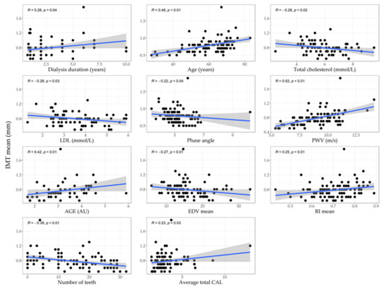
Correlations between IMT and measured parameters are shown in Figure 2 (only statistically significant parameters are shown). Positive correlations between IMT and duration of dialysis, age, PWV, AGE, RI, and average total CAL were found. On the other hand, negative correlations between IMT and total cholesterol level, LDL, phase angle, EDV, and number of teeth were found.
Results of multivariate logistic regression models aiming to find predictors for atherosclerosis in KTRs are shown in Table 2. After selecting statistically significant variables from descriptive statistics and correlation analysis, 12 variables were used as independent predictors for atherosclerosis in KTRs. Sex was additionally added as an independent variable, as it could be a potential confounder. Only LDL and total cholesterol showed significant collinearity (VIF > 4, data not shown) in the Full model, while after feature selection with the Boruta algorithm, there were no issues with collinearity (Reduced model). The Boruta algorithm selected nine variables as important (dialysis duration, LDL, and phase angle were discarded). After applying a stepwise selection of both backward and forward selection, five variables were retained in the Final model. All three regression models showed good quality (Hosmer and Lemeshow goodness-of-fit test p-value > 0.05).
The final regression model showed that the greater odds of developing atherosclerosis in KTRs are associated with higher levels of PWV, lower fat mass, and fewer teeth. Average total CAL and total cholesterol levels were also selected to remain in the final model. However, these variables were not statistically significant (Figure 3). The total explained variance of the final model was 48.7%, with PWV alone contributing to 25.5%.

4. Discussion

To our knowledge, this is the first study that evaluated the associations of carotid IMT with AGEs, body mass composition, periodontal, and blood pressure parameters in KTRs.
The results of our study state that 27% of KTRs have IMT ≥ 0.9 mm and that those KTRs with IMT ≥ 0.9 mm were statistically older. It is well known that age is a major risk factor for atherosclerotic cardiovascular disease [35]. Additionally, in previous studies that evaluated IMT in KTRs, older age was associated with an increase in IMT [36,37]. In line with that finding is the positive correlation between IMT and age among all study subjects. Our results showed that those KTRs with IMT ≥ 0.9 mm had significantly lower fat mass (in kg) and lower cholesterol levels. Lower fat mass and a lower cholesterol level might be a reflection of protein energy wasting in KTRs. In line with our result, Mineoka et al. demonstrated a relationship between malnutrition and subclinical atherosclerosis in patients with type 2 diabetes [38]. Additionally, those KTRs with IMT ≥ 0.9 mm had significantly fewer teeth. Results from a previous study in the elderly population showed that the number of teeth is related to atherosclerotic plaque in the carotid arteries [39].
Therefore, we found a significant positive correlation between dialysis duration before KTR and IMT among all study subjects. In contrast to our study, no relationship between IMT and duration of dialysis treatment was found in a previous study in hemodialysis patients [40]. The possible explanation for this difference could be the larger number of participants in our study, and our participants were not treated just with hemodialysis before KTR.
Among the 112 KTRs with ultrasound and periodontal status examined in our study, 93 (83.08%) of them had periodontists. These results suggest a high prevalence of periodontitis in this population of patients, even higher than in patients with stage 5 CKD [41]. Moreover, the results of our study showed poor plaque control in both groups of KTRs. Considering that plaque is considered the most important etiologic risk factor for periodontitis and thus a source of microorganisms that can enter the bloodstream from periodontal tissues with inflammatory changes, it would be important to improve the oral hygiene habits of KTRs. Recently, it has been suggested that the use of toothpastes containing probiotics or paraprobiotics can significantly reduce periodontal inflammation [42]. Mouthwashes based on probiotics could also be considered in place of the commonly prescribed chlorhexidine antiseptics to avoid the known side effects of long-term use of chlorhexidine, such as tooth discoloration [43]. The use of mouthwashes is particularly important for plaque control in the elderly with limited manual dexterity [44]. However, paraprobiotics should be considered more for use under KTRs because they are inactive microorganisms that pose less risk of use in this compromised patient population. Further studies should be conducted on this topic. A positive correlation between CAL and IMT was found, although there was no difference in CAL among the two groups according to IMT categories, possibly due to the small number of participants. However, KTRs with IMT ≥ 0.9 mm were significantly older and had fewer teeth, which has an impact on mastication and consequently on fat mass. The possible reasons for these findings were out of the scope of this study and warrant further exploration. Since our study showed the big prevalence of periodontitis among KTRs and the association with carotid IMT, periodontal care would be recommended as a part of whole medical management for this vulnerable patient population. Those KTRs with a higher carotid IMT value had significantly fewer teeth and a significantly higher value of CAL. Additionally, it is important to note that our results showed that those periodontal parameters are one of the most important predictors of carotid IMT in this population of KTRs [9].
Additionally, KTRs with IMT ≥ 0.9 mm had statistically higher levels of oscillometric determined PWV as an indirect parameter of arterial stiffness [45]. In addition to that, higher levels of EDV and RI were noticed in KTRs with IMT ≥ 0.9 mm. All these findings could be explained by Bernoulli’s principle of blood flow, which defines the higher blood velocity in a blood vessel with a lower diameter and lower elasticity [46].
Interestingly, we found no statistically significant differences between KTRs regarding carotid IMT thickness in parameters of central or peripheral blood pressure. Some studies suggest higher levels of blood pressure in people with higher levels of arterial stiffness in KTRs [9,47], and although we have observed this trend, it was not statistically significant in our sample size. It is important to highlight that KTR patients are under constant nephrologist supervision and great care is taken for their blood pressure regulation, which is one of the possible explanations for results in this population of patients.
It is well known that carotid IMT is a surrogate marker for the presence and progression of atherosclerosis [48]. Our results showed a significant positive correlation between PWV and IMT in this population of patients. Therefore, our final regression model showed that one of the greater odds for the carotid IMT in this population of KTRs is PWV. Both carotid IMT and PWV were thought to result from accumulative exposure to CV factors over the life course, explaining their association with CV morbidity and mortality in the general population [49]. Furthermore, data suggest that PWV predicts mortality in KTRs [50]. Data also suggest that there is no significant change in aortic PWV in the first year post-transplantation, in contrast to the majority of studies demonstrating the progression of arterial stiffness in patients with CKD over the same period [51]. Results from a recent pilot study that investigated changes in vascular abnormalities over time in stable KTRs showed the worsening of vascular structure and function where PWV and IMT increased during 6 months of follow up [51].
Additionally, our results showed a significant positive correlation between AGEs and carotid IMT among all study subjects. AGEs are involved in the progression of atherosclerosis and some chronic diseases, such as chronic renal failure, Alzheimer’s disease, and diabetes mellitus [52,53,54,55]. Additionally, AGEs have also been associated with endothelial dysfunction and early vascular aging [40]. Patients with CKD are affected by an increased level of chronic inflammation and oxidative stress, and these conditions may contribute to the increased production of AGEs [56,57]. The result of a study with KTRs showed a lower mean AGE value than in our study population (2.8 vs. 3.26). A possible explanation for these results could be that our population of KTRs is older (62 years vs. 52 years) [58].
The results showed a significant negative correlation between phase angle and carotid IMT. Phase angle is a bioimpedance analysis parameter that indirectly shows body cell mass and is associated with muscle mass, strength, physical performance, quality-of-life scale, and hospitalization-free survival in maintenance HD patients [59]. Additionally, phase angle was significantly associated with mortality during the 8-year follow-up period of KTRs [60]. These results suggest the possible correlation between nutritional status and carotid IMT in KTRs.
On the other hand, our final regression model showed that one of the greater odds for the higher value of carotid IMT in this population of KTRs is lower fat mass. This finding is in contrast with a previous study conducted by Mohsen et al., who evaluated atherosclerotic changes in the carotid artery following KTR and found that IMT measures significantly correlated with age and BMI [12]. A possible explanation for our findings could be the influence of malnutrition inflammation atherosclerosis syndrome and protein energy wasting on IMT and atherosclerosis during dialysis treatment in our population of patients. Additionally, hemodialysis patients have indicated reverse associations of obesity with all-cause and CV mortality in many survival studies [61]. Therefore, low values for BMI are associated with increased mortality, whereas higher values for BMI were found to be protective and associated with improved survival in dialysis patients. This paradox has been referred to as “reverse epidemiology” [62]. In contrast, a study on hemodialysis patients has shown that atherosclerosis was correlated with a high body fat percentage for female hemodialysis patients, but not for males [63]. It is important to note that recent data suggest that underweight and severe obesity at transplantation are associated with a significantly increased risk of graft loss and patient death. A target BMI at KTR is 22–27 kg/m2 [64].Our population of KTRs had a BMI of 26.87 kg/m2. To clarify this association between fat mass and atherosclerosis risk in KTRs, future studies with a larger number of KTRs are needed in the prospective study design.
Another important factor is vitamin D, a relevant element for CV risk and nutritional status in KTRs [65], which we, unfortunately, did not take into consideration when conducting our study.
Our study has some limitations, which primarily come from the cross-sectional design, which, as such, prevents us from any causal conclusions. Possible limitations to the measurement of AGEs in our study may include endogenous factors present in the skin that absorb emission light, such as melanin in dark-skinned subjects, acute illness, and strenuous exercise associated with glycoxidative stress, exogenous factors such as diet, and, for example, the use of skincare products. Considering the limitations, measurement with the AGE reader is a validated method with 5% to 6% intraobserver variation in repeated autofluorescence measurements within a day [66]. Prospective studies and randomized controlled trials (RCTs) with larger samples and in a multicenter setting are needed to investigate the causal relationship between periodontal disease and IMT in this patient population.

5. Conclusions

The results from this study suggest possible associations between AGEs and nutritional and periodontal status with carotid IMT as a surrogate marker of atherosclerosis in KTRs. Nutritional intervention for those patients who have lost teeth is a great challenge. It should include individualized dental and nutritional counseling. Therefore, consumption of soft foods should be advised, and if that nutritional intervention does not meet the needs, oral nutritional supplementation should be implemented. All in all, more attention should be paid to the nutritional and dental management of those KTRs with tooth loss.

Author Contributions

M.D.N. and J.R. contributed equally to this paper. Conceptualization, J.R., S.L.K., methodology J.R., S.L.K., M.V., M.R. (Mislav Radić), software A.G., validation M.D.N., S.L.K., M.R. (Mislav Radić), M.V., A.G., M.R. (Marija Roguljić), K.K., J.O., J.R., investigation M.V., J.O., K.K., M.D.N., resources J.R., M.R. (Mislav Radić), M.R. (Marija Roguljić), data curation M.D.N., S.L.K., M.R. (Mislav Radić), M.V., A.G., M.R. (Marija Roguljić), K.K., J.O., J.R., writing—original draft preparation, J.R., M.D.N., S.L.K., writing—review and editing, M.R. (Mislav Radić), M.V., A.G., M.R. (Marija Roguljić), K.K., J.O., visualization, A.G., supervision, J.R., S.L.K., M.R. (Mislav Radić), M.R. (Marija Roguljić) project administration, M.V., K.K., J.O., funding acquisition, J.R., M.D.N., S.L.K. All authors have read and agreed to the published version of the manuscript.

Funding

This research is part of the project “Digitalization and improvement of nutritional care for patients with chronic diseases” co-financed by the European Regional Development Fund through the Operational Program “Competitiveness and Cohesion 2014–2020” KK.01.1.1.04.0115.

Institutional Review Board Statement

The study was conducted according to the guidelines of the Declaration of Helsinki, and approved by the Ethics Committee of the University Hospital of Split on 30 August 2019. (Ur. No. 2181-147-01/06/M.S.-19-2, Class: 500-03/19-01/72).

Informed Consent Statement

Informed consent was obtained from all subjects involved in the study.

Data Availability Statement

Raw data are available at the corresponding author mail: josiparadic1973@gmail.com.

Acknowledgments

We thank Ivana Kolčić (University of Split School of Medicine) for enabling us to use the AGE reader device.

Conflicts of Interest

The authors declare no conflict of interest.

References

  1. Gansevoort, R.T.; Correa-Rotter, R.; Hemmelgarn, B.R.; Jafar, T.H.; Heerspink, H.J.L.; Mann, J.F.; Matsushita, K.; Wen, C.P. Chronic Kidney Disease and Cardiovascular Risk: Epidemiology, Mechanisms, and Prevention. Lancet 2013, 382, 339–352. [Google Scholar] [CrossRef]
  2. Voora, S.; Adey, D.B. Management of Kidney Transplant Recipients by General Nephrologists: Core Curriculum 2019. Am. J. Kidney Dis. Off. J. Natl. Kidney Found. 2019, 73, 866–879. [Google Scholar] [CrossRef] [PubMed]
  3. Glicklich, D.; Vohra, P. Cardiovascular risk assessment before and after kidney transplantation. Cardiol. Rev. 2014, 22, 153–162. [Google Scholar] [CrossRef] [PubMed]
  4. Pita-Fernández, S.; Pértega-Díaz, S.; Valdés-Cañedo, F.; Seijo-Bestilleiro, R.; Seoane-Pillado, T.; Fernández-Rivera, C.; Alonso-Hernández, A.; Lorenzo-Aguiar, D.; López-Calvino, B.; López-Muñiz, A. Incidence of cardiovascular events after kidney transplantation and cardiovascular risk scores: Study protocol. BMC Cardiovasc. Disord. 2011, 10, 2. [Google Scholar] [CrossRef] [PubMed]
  5. London, G.; Covic, A.; Goldsmith, D.; Wiecek, A.; Suleymanlar, G.; Ortiz, A.; Massy, Z.; Lindholm, B.; Martinez-Castelao, A.; Fliser, D.; et al. Arterial Aging and Arterial Disease: Interplay between Central Hemodynamics, Cardiac Work, and Organ Flow—Implications for CKD and Cardiovascular Disease. Kidney Int. Suppl. 2011, 1, 10–12. [Google Scholar] [CrossRef]
  6. Kolonko, A.; Chudek, J.; Szotowska, M.; Kuczera, P.; Wiecek, A. Cardiovascular Risk Factors and Markers of Atherosclerosis in Stable Kidney Transplant Recipients. Transplant. Proc. 2016, 48, 1543–1550. [Google Scholar] [CrossRef]
  7. Steenbeke, M.; Speeckaert, R.; Desmedt, S.; Glorieux, G.; Delanghe, J.R.; Speeckaert, M.M. The Role of Advanced Glycation End Products and Its Soluble Receptor in Kidney Diseases. Int. J. Mol. Sci. 2022, 23, 3439. [Google Scholar] [CrossRef]
  8. Georgianos, P.I.; Pikilidou, M.I.; Liakopoulos, V.; Balaskas, E.V.; Zebekakis, P.E. Arterial Stiffness in End-Stage Renal Disease—Pathogenesis, Clinical Epidemiology, and Therapeutic Potentials. Hypertens. Res. 2018, 41, 309–319. [Google Scholar] [CrossRef]
  9. Korogiannou, M.; Xagas, E.; Marinaki, S.; Sarafidis, P.; Boletis, J.N. Arterial Stiffness in Patients with Renal Transplantation; Associations with Co-morbid Conditions, Evolution, and Prognostic Importance for Cardiovascular and Renal Outcomes. Front. Cardiovasc. Med. 2019, 24, 67. [Google Scholar] [CrossRef]
  10. Kabłak-Ziembicka, A.; Przewłocki, T. Clinical Significance of Carotid Intima-Media Complex and Carotid Plaque Assessment by Ultrasound for the Prediction of Adverse Cardiovascular Events in Primary and Secondary Care Patients. J. Clin. Med. 2021, 10, 4628. [Google Scholar] [CrossRef]
  11. Nezami, N.; Ghabili, K.; Shokouhi-Gogani, B.; Mirchi, M.; Ghojazadeh, M.; Safa, J.; Zomorrodi, A.; Gharadaghi, A.; Mojadidi, M.K.; Tarzamni, M.K.; et al. The Relationship between Carotid and Femoral Artery Intima-Media Thickness and Histopathologic Grade of Atherosclerosis in Patients with Chronic Kidney Disease. Nephron 2018, 139, 159–169. [Google Scholar] [CrossRef]
  12. Nafar, M.; Khatami, F.; Kardavani, B.; Farjad, R.; Pour-Reza-Gholi, F.; Firoozan, A. Atherosclerosis after Kidney Transplantation: Changes of Intima-Media Thickness of Carotids During Early Posttransplant Period. Urol. J. 2007, 4, 105–110. [Google Scholar]
  13. Yilmaz, M.I.; Sonmez, A.; Saglam, M.; Cayci, T.; Kilic, S.; Unal, H.U.; Karaman, M.; Cetinkaya, H.; Eyileten, T.; Gok, M.; et al. A Longitudinal Study of Inflammation, CKD-Mineral Bone Disorder, and Carotid Atherosclerosis after Renal Transplantation. Clin. J. Am. Soc. Nephrol. 2015, 10, 471–479. [Google Scholar] [CrossRef]
  14. Recio-Mayoral, A.; Banerjee, D.; Streather, C.; Kaski, J.C. Endothelial Dysfunction, Inflammation and Atherosclerosis in Chronic Kidney Disease—A Cross-Sectional Study of Predialysis, Dialysis and Kidney-Transplantation Patients. Atherosclerosis 2011, 216, 446–451. [Google Scholar] [CrossRef]
  15. Wei, T.; Liu, J.; Zhang, D.; Wang, X.; Li, G.; Ma, R.; Chen, G.; Lin, X.; Guo, X. The Relationship between Nutrition and Atherosclerosis. Front. Bioeng. Biotechnol. 2021, 9, 635504. [Google Scholar] [CrossRef]
  16. Hwang, J.H.; Ryu, J.; An, J.N.; Kim, C.T.; Kim, H.; Yang, J.; Ha, J.; Chae, D.W.; Ahn, C.; Jung, I.M.; et al. Pretransplant Malnutrition, Inflammation, and Atherosclerosis Affect Cardiovascular Outcomes after Kidney Transplantation. BMC Nephrol. 2015, 16, 109. [Google Scholar] [CrossRef]
  17. Goldfarb Cyrino, L.; Galpern, J.; Moore, L.; Borgi, L.; Riella, L.V. A Narrative Review of Dietary Approaches for Kidney Transplant Patients. Kidney Int. Rep. 2021, 6, 1764–1774. [Google Scholar] [CrossRef]
  18. Hanna, R.M.; Ghobry, L.; Wassef, O.; Rhee, C.M.; Kalantar-Zadeh, K. A Practical Approach to Nutrition, Protein-Energy Wasting, Sarcopenia, and Cachexia in Patients with Chronic Kidney Disease. Blood Purif. 2020, 49, 202–211. [Google Scholar] [CrossRef]
  19. Sabbatini, M.; Ferreri, L.; Pisani, A.; Capuano, I.; Morgillo, M.; Memoli, A.; Riccio, E.; Guida, B. Nutritional Management in Renal Transplant Recipients: A Transplant Team Opportunity to Improve Graft Survival. Nutr. Metab. Cardiovasc. Dis. 2019, 29, 319–324. [Google Scholar] [CrossRef]
  20. Sgambat, K.; Amalya, K.; Moudgil, A. Nutritional Challenges across the Spectrum of Chronic Kidney Disease. Asian J. Pediatr. Nephrol. 2019, 2, 2. [Google Scholar]
  21. Kassebaum, N.J.; Bernabé, E.; Dahiya, M.; Bhandari, B.; Murray, C.J.L.; Marcenes, W. Global Burden of Severe Periodontitis in 1990–2010. J. Dent. Res. 2014, 93, 1045–1053. [Google Scholar] [CrossRef]
  22. Tonetti, M.S.; Jepsen, S.; Jin, L.; Otomo-Corgel, J. Impact of the Global Burden of Periodontal Diseases on Health, Nutrition and Wellbeing of Mankind: A Call for Global Action. J. Clin. Periodontol. 2017, 44, 456–462. [Google Scholar] [CrossRef]
  23. Sanz, M.; Marco del Castillo, A.; Jepsen, S.; Gonzalez-Juanatey, J.R.; D’Aiuto, F.; Bouchard, P.; Chapple, I.; Dietrich, T.; Gotsman, I.; Graziani, F.; et al. Periodontitis and Cardiovascular Diseases: Consensus Report. J. Clin. Periodontol. 2020, 47, 268–288. [Google Scholar] [CrossRef]
  24. Nunes-dos-Santos, D.L.; Gomes, S.V.; Rodrigues, V.P.; Pereira, A.L.A. Periodontal Status and Clinical Outcomes in Kidney Transplant Recipients: A Systematic Review. Oral Dis. 2020, 26, 22–34. [Google Scholar] [CrossRef]
  25. Chen, J.H.; Lin, X.; Bu, C.; Zhang, X. Role of advanced glycation end products in mobility and considerations in possible dietary and nutritional intervention strategies. Nutr. Metab. 2018, 15, 72. [Google Scholar] [CrossRef]
  26. Stinghen, A.E.; Massy, Z.A.; Vlassara, H.; Striker, G.E.; Boullier, A. Uremic Toxicity of Advanced Glycation End Products in CKD. J. Am. Soc. Nephrol. JASN 2016, 27, 354–370. [Google Scholar] [CrossRef]
  27. Colombo, G.; Reggiani, F.; Astori, E.; Altomare, A.; Finazzi, S.; Garavaglia, M.L.; Angelini, C.; Milzani, A.; Badalamenti, S.; Dalle-Donne, I. Advanced oxidation protein products in nondiabetic end stage renal disease patients on maintenance haemodialysis. Free. Radic. Res. 2019, 53, 1114–1124. [Google Scholar] [CrossRef] [PubMed]
  28. Sotomayor, C.G.; Gomes-Neto, A.W.; van Londen, M.; Gans, R.O.B.; Nolte, I.M.; Berger, S.P.; Navis, G.J.; Rodrigo, R.; Leuvenink, H.G.D.; Schalkwijk, C.G.; et al. Circulating Advanced Glycation Endproducts and Long-Term Risk of Cardiovascular Mortality in Kidney Transplant Recipients. Clin. J. Am. Soc. Nephrol. CJASN 2019, 14, 1512–1520. [Google Scholar] [CrossRef] [PubMed]
  29. Calviño, J.; Cigarran, S.; Gonzalez-Tabares, L.; Menendez, N.; Latorre, J.; Cillero, S.; Millan, B.; Cobelo, C.; Sanjurjo-Amado, A.; Quispe, J.; et al. Advanced glycation end products (AGEs) estimated by skin autofluorescence are related with cardiovascular risk in renal transplant. PLoS ONE 2018, 13, e0201118. [Google Scholar] [CrossRef] [PubMed]
  30. Baskal, S.; Post, A.; Kremer, D.; Bollenbach, A.; Bakker, S.J.L.; Tsikas, D. Urinary excretion of amino acids and their advanced glycation end-products (AGEs) in adult kidney transplant recipients with emphasis on lysine: Furosine excretion is associated with cardiovascular and all-cause mortality. Amino Acids 2021, 53, 1679–1693. [Google Scholar] [CrossRef] [PubMed]
  31. Almengló, C.; Rodriguez-Ruiz, E.; Alvarez, E.; López-Lago, A.; González-Juanatey, J.R.; Garcia-Allut, J.L. Minimal Invasive Fluorescence Methods to Quantify Advanced Glycation End Products (AGEs) in Skin and Plasma of Humans. Methods 2021, 203, 103–107. [Google Scholar] [CrossRef]
  32. Tonetti, M.S.; Greenwell, H.; Kornman, K.S. Staging and Grading of Periodontitis: Framework and Proposal of a New Classification and Case Definition. J. Periodontol. 2018, 89, S159–S172. [Google Scholar] [CrossRef] [PubMed]
  33. Kursa, M.B.; Rudnicki, W.R. Feature Selection with the Boruta Package. J. Stat. Softw. 2010, 36, 1–13. [Google Scholar] [CrossRef]
  34. R Core Team. R: A Language and Environment for Statistical Computing; R Foundation for Statistical Computing: Vienna, Austria, 2020; Available online: https://www.r-project.org/.
  35. Tyrrell, D.J.; Goldstein, D.R. Ageing and Atherosclerosis: Vascular Intrinsic and Extrinsic Factors and Potential Role of IL-6. Nat. Rev. Cardiol. 2021, 18, 58–68. [Google Scholar] [CrossRef]
  36. Ossareh, S.; Alaei, A.; Saedi, D. Dialysis Carotid Intima-Media Thickness in Maintenance Hemodialysis Patients Role of Cardiovascular Risk Factor. Iran. J. Kidney Dis. 2011, 5, 169–174. [Google Scholar] [PubMed]
  37. Aghaghazvini, L.; Hakemi, M.; Vaghardoost, A.; Shakiba, M.; Saberi-Demneh, A.; Fathi, M. The Effect of Kidney Transplantation on Carotid Artery Intima-Media Thickness in End-Stage Renal Disease Patients. SN Compr. Clin. Med. 2019, 1, 855–860. [Google Scholar] [CrossRef]
  38. Mineoka, Y.; Ishii, M.; Hashimoto, Y.; Nakamura, N.; Fukui, M. Malnutrition Assessed by Controlling Nutritional Status Is Correlated to Carotid Atherosclerosis in Patients with Type 2 Diabetes. Endocr. J. 2019, 66, 1073–1082. [Google Scholar] [CrossRef] [PubMed]
  39. Holmlund, A.; Lind, L. Number of Teeth Is Related to Atherosclerotic Plaque in the Carotid Arteries in an Elderly Population. J. Periodontol. 2012, 83, 287–291. [Google Scholar] [CrossRef] [PubMed]
  40. Nakashima, A.; Yorioka, N.; Asakimori, Y.; Ito, T.; Masaki, T.; Shigemoto, K.; Harada, S. Different risk factors for the maximum and the mean carotid intima-media thickness in hemodialysis patients. Intern. Med. 2003, 42, 1095–1099. [Google Scholar] [CrossRef][Green Version]
  41. Ruospo, M.; Palmer, S.C.; Craig, J.C.; Gentile, G.; Johnson, D.W.; Ford, P.J.; Tonelli, M.; Petruzzi, M.; de Benedittis, M.; Strippoli, G.F.M. Prevalence and Severity of Oral Disease in Adults with Chronic Kidney Disease: A Systematic Review of Observational Studies. Nephrol. Dial. Transplant. 2014, 29, 364–375. [Google Scholar] [CrossRef]
  42. Butera, A.; Gallo, S.; Pascadopoli, M.; Maiorani, C.; Milone, A.; Alovisi, M.; Scribante, A. Paraprobiotics in Non-Surgical Periodontal Therapy: Clinical and Microbiological Aspects in a 6-Month Follow-Up Domiciliary Protocol for Oral Hygiene. Microorganisms 2022, 10, 337. [Google Scholar] [CrossRef]
  43. Butera, A.; Gallo, S.; Maiorani, C.; Molino, D.; Chiesa, A.; Preda, C.; Esposito, F.; Scribante, A. Probiotic Alternative to Chlorhexidine in Periodontal Therapy: Evaluation of Clinical and Microbiological Parameters. Microorganisms 2021, 9, 69. [Google Scholar] [CrossRef]
  44. Hitz Lindenmüller, I.; Lambrecht, J.T. Oral Care. In Topical Applications and the Mucosa; KARGER: Basel, Switzerland, 2011. [Google Scholar]
  45. Rocha, E. Pulse Wave Velocity: A Marker of Arterial Stiffness and Its Applicability in Clinical Practice. Rev. Port. Cardiol. 2011, 30, 699–702. [Google Scholar] [CrossRef]
  46. Lawence-Brown, M.; Liffman, K.; Semmens, J.; Sutalo, I. Vascular Arterial Haemodynamics. In Mechanisms of Vascular Disease: A Reference Book for Vascular Specialists; University of Adelaide: Adelaide, SA, Australia, 2011. [Google Scholar]
  47. Mallamaci, F.; Tripepi, R.; Leonardis, D.; Mafrica, A.; Versace, M.C.; Provenzano, F.; Tripepi, G.; Zoccali, C. Nocturnal Hypertension and Altered Night–Day BP Profile and Atherosclerosis in Renal Transplant Patients. Transplantation 2016, 100, 2211–2218. [Google Scholar] [CrossRef]
  48. Grobbee, D.E.; Bots, M.L. Carotid Artery Intima-Media Thickness as an Indicator of Generalized Atherosclerosis. J. Intern. Med. 1994, 236, 567–573. [Google Scholar] [CrossRef]
  49. Devine, P.A.; Courtney, A.E.; Maxwell, A.P. Cardiovascular risk in renal transplant recipients. J. Nephrol. 2019, 32, 389–399. [Google Scholar] [CrossRef]
  50. Mitchell, A.; Saez, A.; Kos, M.; Witzke, O.; Kribben, A.; Nürnberger, J. Pulse Wave Velocity Predicts Mortality in Renal Transplant Patients. Eur. J. Med. Res. 2010, 15, 452. [Google Scholar] [CrossRef][Green Version]
  51. Birdwell, K.A.; Jaffe, G.; Bian, A.; Wu, P.; Ikizler, T.A. Assessment of Arterial Stiffness Using Pulse Wave Velocity in Tacrolimus Users the First Year Post Kidney Transplantation: A Prospective Cohort Study. BMC Nephrol. 2015, 16, 93. [Google Scholar] [CrossRef]
  52. Prasad, K. AGE–RAGE Stress: A Changing Landscape in Pathology and Treatment of Alzheimer’s Disease. Mol. Cell. Biochem. 2019, 459, 95–112. [Google Scholar] [CrossRef]
  53. Oleniuc, M.; Schiller, A.; Secara, I.; Onofriescu, M.; Hogas, S.; Apetrii, M.; Siriopol, D.; Covic, A. Evaluation of Advanced Glycation End Products Accumulation, Using Skin Autofluorescence, in CKD and Dialysis Patients. Int. Urol. Nephrol. 2012, 44, 1441–1449. [Google Scholar] [CrossRef]
  54. Yamagishi, S.-I.; Matsui, T.; Ueda, S.-I.; Nakamura, K.; Imaizumi, T. Advanced Glycation End Products (AGEs) and Cardiovascular Disease (CVD) in Diabetes. Cardiovasc. Hematol. Agents Med. Chem. 2007, 5, 236–240. [Google Scholar] [CrossRef] [PubMed]
  55. Prasad, A.; Bekker, P.; Tsimikas, S. Advanced Glycation End Products and Diabetic Cardiovascular Disease. Cardiol. Rev. 2012, 20, 177–183. [Google Scholar] [CrossRef]
  56. Atzeni, I.M.; van de Zande, S.C.; Westra, J.; Zwerver, J.; Smit, A.J.; Mulder, D.J. The AGE Reader: A Non-Invasive Method to Assess Long-Term Tissue Damage. Methods 2021, 203, 533–541. [Google Scholar] [CrossRef] [PubMed]
  57. Goldin, A.; Beckman, J.A.; Schmidt, A.M.; Creager, M.A. Advanced Glycation End Products. Circulation 2006, 114, 597–605. [Google Scholar] [CrossRef] [PubMed]
  58. Singh, V.P.; Bali, A.; Singh, N.; Jaggi, A.S. Advanced glycation end products and diabetic complications. Korean J. Physiol. Pharmacol. 2014, 18, 1–14. [Google Scholar] [CrossRef]
  59. Kang, S.H.; Do, J.Y.; Kim, J.C. Impedance-Derived Phase Angle Is Associated with Muscle Mass, Strength, Quality of Life, and Clinical Outcomes in Maintenance Hemodialysis Patients. PLoS ONE 2022, 17, e0261070. [Google Scholar] [CrossRef]
  60. Kaya, E.; Bakir, A.; Koseoglu, Y.K.; Velidedeoglu, M.; Trabulus, S.; Seyahi, N. Association of Nutritional Assessment by Phase Angle with Mortality in Kidney Transplant Patients in an 8-Year Follow-Up. Prog. Transplant. 2019, 29, 321–326. [Google Scholar] [CrossRef]
  61. Yajima, T.; Yajima, K.; Takahashi, H.; Yasuda, K. The Impact of Abdominal Fat Levels on All-Cause Mortality Risk in Patients Undergoing Hemodialysis. Nutrients 2018, 10, 480. [Google Scholar] [CrossRef]
  62. Kalantar-Zadeh, K.; Block, G.; Humphreys, M.H.; Kopple, J.D. Reverse Epidemiology of Cardiovascular Risk Factors in Maintenance Dialysis Patients. Kidney Int. 2003, 63, 793–808. [Google Scholar] [CrossRef]
  63. Sezer, S.; Karakan, Ş.; Şaşak, G.; Tutal, E.; Özdemir Acar, F.N. Body Fat Percentage as a Risk Factor for Atherosclerosis but Not for Inflammation for Hemodialysis Patients: Differences between Genders. J. Ren. Nutr. 2012, 22, 490–498. [Google Scholar] [CrossRef]
  64. Yin, S.; Wu, L.; Huang, Z.; Fan, Y.; Lin, T.; Song, T. Nonlinear Relationship between Body Mass Index and Clinical Outcomes after Kidney Transplantation: A Dose-Response Meta-Analysis of 50 Observational Studies. Surgery 2021, 171, 1396–1405. [Google Scholar] [CrossRef]
  65. Battaglia, Y.; Cojocaru, E.; Fiorini, F.; Granata, A.; Esposito, P.; Russo, L.; Bortoluzzi, A.; Storari, A.; Russo, D. Vitamin D in Kidney Transplant Recipients. Clin. Nephrol. 2020, 93, 57–64. [Google Scholar] [CrossRef]
  66. Hartog, J.W.L.; de Vries, A.P.J.; Lutgers, H.L.; Meerwaldt, R.; Huisman, R.M.; van Son, W.J.; de Jong, P.E.; Smit, A.J. Accumulation of Advanced Glycation End Products, Measured as Skin Autofluorescence, in Renal Disease. Ann. N. Y. Acad. Sci. 2005, 1043, 299–307. [Google Scholar] [CrossRef]
Figure 1. Flow diagram of the study. Abbreviations: KTR, kidney transplant recipient; IMT, intima-media thickness.
Figure 1. Flow diagram of the study. Abbreviations: KTR, kidney transplant recipient; IMT, intima-media thickness.
Jpm 12 00984 g001
Figure 2. Correlations between IMT and measured parameters. Abbreviations: IMT, intima-media thickness; LDL, low-density lipoprotein cholesterol (mmol/L); PWV, pulse wave velocity (m/s); AGE, advanced glycation end-products (AU); EDV, end-diastolic velocity; RI, resistive index; CAL, clinical attachment loss.
Figure 2. Correlations between IMT and measured parameters. Abbreviations: IMT, intima-media thickness; LDL, low-density lipoprotein cholesterol (mmol/L); PWV, pulse wave velocity (m/s); AGE, advanced glycation end-products (AU); EDV, end-diastolic velocity; RI, resistive index; CAL, clinical attachment loss.
Jpm 12 00984 g002
Figure 3. Most important predictors of atherosclerosis in KTRs (final model). Abbreviations: PWV, pulse wave velocity (m/s); CAL, clinical attachment loss; CI, confidence interval.
Figure 3. Most important predictors of atherosclerosis in KTRs (final model). Abbreviations: PWV, pulse wave velocity (m/s); CAL, clinical attachment loss; CI, confidence interval.
Jpm 12 00984 g003
Table 1. Basic characteristics and differences according to intima-media thickness (IMT) in KTRs.
Table 1. Basic characteristics and differences according to intima-media thickness (IMT) in KTRs.
All
(N = 93)
IMT < 0.9 mm
(N = 67)
IMT ≥ 0.9 mm
(N = 26)
p
Time since transplantation (years), median (IQR)4.5 (6.62)4 (6.25)6 (6.5)0.206
Dialysis type, N (%)
PD35 (38.04)26 (39.39)9 (34.62)0.686
HD51 (55.43)35 (53.03)16 (61.54)
PD + HD6 (6.52)5 (7.58)1 (3.85)
Dialysis duration (years), median (IQR)2 (3)2 (2)3.5 (2.25)0.130
Age (years), median (IQR)62 (14)59 (15)69.5 (7.75)<0.001
Sex, N (%)
Women43 (46.24)34 (50.75)9 (34.62)0.243
Men50 (53.76)33 (49.25)17 (65.38)
Presence of arterial hypertension, N (%)
No12 (12.9)10 (14.93)2 (7.69)0.556
Yes81 (87.1)57 (85.07)24 (92.31)
Presence of diabetes mellitus, N (%)
No73 (78.49)54 (80.6)19 (73.08)0.609
Yes20 (21.51)13 (19.4)7 (26.92)
Smoking status, N (%)
Nonsmoker41 (48.81)29 (47.54)12 (52.17)0.690
Former smoker27 (32.14)19 (31.15)8 (34.78)
Smoker16 (19.05)13 (21.31)3 (13.04)
Presence of chronic kidney disease, N (%)
eGFR > 60 mL/min/1.73 m227 (30.34)18 (28.12)9 (36)0.638
eGFR < 60 mL/min/1.73 m262 (69.66)46 (71.88)16 (64)
Laboratory parameters
Alb (g/L), median (IQR)42 (4.75)42 (5)42 (4.25)0.878
Ca (mmol/L), median (IQR)2.43 (0.17)2.44 (0.18)2.42 (0.12)0.711
CRP (mg/L), median (IQR)2.5 (3.78)2.6 (3.75)1.8 (2.7)0.406
E, median (IQR)4.71 (0.65)4.69 (0.65)4.78 (0.66)0.546
GUP (mmol/L), median (IQR)5.3 (0.88)5.34 (0.82)5.19 (1.04)0.483
Hb (g/L), median (IQR)135.24 (15.97)133.67 (16.57)139.24 (13.82)0.140
K (mmol/L), mean (SD)4.11 (0.49)4.13 (0.5)4.03 (0.44)0.375
Total cholesterol (mmol/L), mean (SD)5.96 (1.27)6.2 (1.23)5.42 (1.2)0.016
Creatinine (mmol/L), median (IQR)126 (59)127.5 (54.5)117 (50)0.246
LDL (mmol/L), median (IQR)3.6 (1.03)3.75 (1.01)3.25 (1.04)0.056
MCV (fL), mean (SD)87.89 (5.6)87.67 (5.88)88.44 (4.93)0.566
Na (mmol/L), median (IQR)141 (3)141 (3)141 (3.25)0.984
P (mmol/L), median (IQR)1 (0.22)1.01 (0.23)0.99 (0.15)0.263
Tgl (mmol/L), median (IQR)1.8 (1.25)1.9 (1.1)1.65 (0.79)0.152
Uric acid (mmol/L), median (IQR)394 (76.25)400 (81)387 (60)0.485
Urea (mmol/L), median (IQR)9 (6)9.15 (5.47)8.9 (4.9)0.338
eGFR (mL/min/1.73 m2), median (IQR)47.1 (27.4)46.35 (30.17)50.9 (26.9)0.235
Anthropometric parameters
BMI (kg/m2), mean (SD)26.84 (4.02)27.07 (4.36)26.29 (3.07)0.412
Middle upper arm circumference (cm), median (IQR)30 (7)30 (5)27 (8.5)0.568
Waist circumference (cm), mean (SD)101 (12.24)100.95 (12.89)101.17 (10.22)0.948
WHtR, mean (SD)0.58 (0.07)0.58 (0.07)0.59 (0.06)0.927
Body composition parameters
Fat mass (kg), median (IQR)20.24 (8.49)21.43 (8.97)17.43 (6.6)0.044
Fat mass (%), mean (SD)24.57 (8.58)25.7 (8.88)21.94 (7.31)0.061
Fat-free mass (kg), median (IQR)60.2 (18.25)57.2 (16.5)64.6 (17.93)0.547
Visceral fat, mean (SD)9.72 (3.82)9.4 (4.08)10.46 (3.09)0.239
Muscle mass (kg), median (IQR)57.2 (17.4)54.3 (15.7)61.35 (17.05)0.547
Skeletal muscle mass (kg), median (IQR)32 (11.4)31.1 (11.9)35.1 (11.12)0.650
Skeletal muscle mass (%), median (IQR)40.78 (6.3)40.27 (6.67)41.98 (5.25)0.246
Phase angle, median (IQR)5.1 (0.9)5.1 (0.8)4.95 (0.85)0.134
Bone mass (kg), mean (SD)3.03 (0.54)3.01 (0.53)3.08 (0.55)0.572
Trunk visceral fat (kg), mean (SD)10.63 (5.01)11.25 (5.28)9.2 (4.04)0.081
Blood pressure parameters
pSBP (mHg), mean (SD)134.14 (19.52)132.25 (18.87)139.17 (20.71)0.140
pDBP (mHg), mean (SD)86.31 (12.85)85.8 (12.06)87.67 (14.97)0.546
pMAP (mHg), mean (SD)109.27 (14.23)108.16 (13.67)112.5 (15.62)0.231
pPP (mHg), mean (SD)50.88 (14)49.2 (12.27)55.79 (17.57)0.063
cSBP (mHg), mean (SD)127.95 (17.6)126.07 (16.45)133.4 (20.03)0.100
cDBP (mHg), mean (SD)86.98 (12.58)86.66 (12)87.93 (14.38)0.692
cMAP (mHg), mean (SD)100.64 (13.15)99.8 (12.57)103.08 (14.76)0.327
cPP (mHg), mean (SD)37.51 (11.73)36.21 (10.53)41.26 (14.29)0.089
HR, mean (SD)71.47 (11.19)71.48 (11.11)71.44 (11.65)0.988
PR, median (IQR)1.83 (0.35)1.83 (0.33)1.83 (0.46)0.852
AIx, median (IQR)19.75 (19)19.5 (19)23 (17)0.865
PWV (m/s), mean (SD)9.05 (1.75)8.55 (1.6)10.38 (1.43)<0.001
AGE (AU), mean (SD)3.26 (0.88)3.16 (0.89)3.58 (0.81)0.130
Ultrasound parameters
IMT mean, mean (SD)0.8 (0.2)0.7 (0.2)1 (0.18)<0.001
PSV mean, mean (SD)57.11 (13.33)56.88 (12.27)57.72 (15.99)0.786
EDV mean, median (IQR)15 (6.55)15.85 (6.25)13.68 (2.9)0.007
RI mean, mean (SD)0.71 (0.09)0.69 (0.09)0.75 (0.08)0.008
Periodontal status parameters
Number of teeth, median (IQR)14 (16)16 (13.5)10 (13.75)0.024
Dental plaque (%), median (IQR)87.5 (40)87 (40)90 (40)0.611
Bleeding (%), median (IQR)10 (26.75)13 (24)5 (34)0.457
Average pocket depth, median (IQR)1.98 (0.84)2.08 (0.86)1.91 (0.79)0.340
Average total CAL, median (IQR)2.86 (1.34)2.75 (1.41)2.97 (1.21)0.602
Reason for tooth loss, N (%)
Periodontitis39 (41.94)24 (35.82)15 (57.69)0.092
Other54 (58.06)43 (64.18)11 (42.31)
Periodontitis stage, N (%)
I + II (mild)48 (51.61)39 (58.21)9 (34.62)0.070
III + IV (severe)45 (48.39)28 (41.79)17 (65.38)
Abbreviations: IMT, intima-media thickness; PD, peritoneal dialysis; HD, hemodialysis; eGFR, estimated glomerular filtration rate using CKD-EPI (mL/min/1.73 m2); BMI, body mass index (kg/m2); WHtR, waist-to-height ratio; Alb, serum albumin (g/L); Ca, calcium (mmol/L); CRP, C-reactive protein (mg/L); E, erythrocyte count; GUP, fasting glucose (mmol/L); Hb, hemoglobin (g/L); K, potassium (mmol/L); LDL, low-density lipoprotein cholesterol (mmol/L); MCV, mean cellular volume (fL); Na, sodium (mmol/L); P, phosphates (mmol/L); Tgl, triglycerides (mmol/L); pSBP, peripheral systolic blood pressure (mHg); pDBP, peripheral diastolic blood pressure (mHg); pMAP, peripheral mean arterial pressure (mHg); pPP, peripheral pulse pressure (mHg); cSBP, central systolic blood pressure (mHg); cDBP, central diastolic blood pressure (mHg); cMAP, central mean arterial pressure (mHg); cPP, central pulse pressure (mHg), HR, heart rate (beat/minute); PR, peripheral resistance; Aix, augmentation index; PWV, pulse wave velocity (m/s); AGE, advanced glycation endproducts (AU); IMT, intima-media thickness; PSV, peak systolic velocity; EDV, end-diastolic velocity; RI, resistive index; CAL, clinical attachment loss.
Table 2. Multivariate logistic regression for identification of predictors for atherosclerosis in KTRs.
Table 2. Multivariate logistic regression for identification of predictors for atherosclerosis in KTRs.
PredictorOR95% CIp
Full model (Nagelkerke’s R2:0.566, AIC: 91.83)
Dialysis duration (years)1.290.9–1.850.172
Age (years)1.10.93–1.30.278
Sex (men)3.60.62–20.870.153
Total cholesterol (mmol/L)0.570.07–4.430.591
LDL (mmol/L)1.330.12–14.850.815
Fat mass (kg)0.930.84–1.020.142
Phase angle2.90.75–11.20.123
PWV (m/s)2.491.05–5.920.038
AGE (AU)0.510.18–1.480.218
EDV mean0.870.68–1.110.266
RI mean00–33.840.139
Number of teeth0.870.77–0.990.035
Average total CAL0.540.3–0.970.038
Reduced model (after feature selection with Boruta; Nagelkerke’s R2: 0.513, AIC: 89.26)
Sex (men)3.450.8–14.910.098
Age (years)1.020.89–1.180.765
Total cholesterol (mmol/L)0.670.38–1.20.183
Fat mass (kg)0.950.88–1.030.194
PWV (m/s)2.41.02–5.640.045
EDV mean0.890.72–1.110.313
RI mean00–204.340.257
N teeth0.880.79–0.980.024
Average total CAL0.70.45–1.060.095
Final model (after stepwise selection; Nagelkerke’s R2: 0.487, AIC: 83.88)
Total cholesterol (mmol/L)0.570.33–10.051
Fat mass (kg)0.920.85–0.990.033
PWV (m/s) *2.241.37–3.690.001
Number of teeth0.910.84–0.990.032
Average total CAL0.690.46–1.030.072
* PWV contributes to 25.5% of total explained variance. Abbreviations: LDL, low-density lipoprotein cholesterol (mmol/L); PWV, pulse wave velocity (m/s); AGE, advanced glycation end-products (AU); EDV, end-diastolic velocity; RI, resistive index; CAL, clinical attachment loss.
Publisher’s Note: MDPI stays neutral with regard to jurisdictional claims in published maps and institutional affiliations.

Share and Cite

MDPI and ACS Style

Dodig Novaković, M.; Lovrić Kojundžić, S.; Radić, M.; Vučković, M.; Gelemanović, A.; Roguljić, M.; Kovačević, K.; Orešković, J.; Radić, J. Number of Teeth and Nutritional Status Parameters Are Related to Intima-Media Thickness in Dalmatian Kidney Transplant Recipients. J. Pers. Med. 2022, 12, 984. https://doi.org/10.3390/jpm12060984

AMA Style

Dodig Novaković M, Lovrić Kojundžić S, Radić M, Vučković M, Gelemanović A, Roguljić M, Kovačević K, Orešković J, Radić J. Number of Teeth and Nutritional Status Parameters Are Related to Intima-Media Thickness in Dalmatian Kidney Transplant Recipients. Journal of Personalized Medicine. 2022; 12(6):984. https://doi.org/10.3390/jpm12060984

Chicago/Turabian Style

Dodig Novaković, Maja, Sanja Lovrić Kojundžić, Mislav Radić, Marijana Vučković, Andrea Gelemanović, Marija Roguljić, Katja Kovačević, Josip Orešković, and Josipa Radić. 2022. "Number of Teeth and Nutritional Status Parameters Are Related to Intima-Media Thickness in Dalmatian Kidney Transplant Recipients" Journal of Personalized Medicine 12, no. 6: 984. https://doi.org/10.3390/jpm12060984

APA Style

Dodig Novaković, M., Lovrić Kojundžić, S., Radić, M., Vučković, M., Gelemanović, A., Roguljić, M., Kovačević, K., Orešković, J., & Radić, J. (2022). Number of Teeth and Nutritional Status Parameters Are Related to Intima-Media Thickness in Dalmatian Kidney Transplant Recipients. Journal of Personalized Medicine, 12(6), 984. https://doi.org/10.3390/jpm12060984

Note that from the first issue of 2016, this journal uses article numbers instead of page numbers. See further details here.

Article Metrics

Back to TopTop