Deep Learning-Based Diagnosis of Alzheimer’s Disease
Abstract
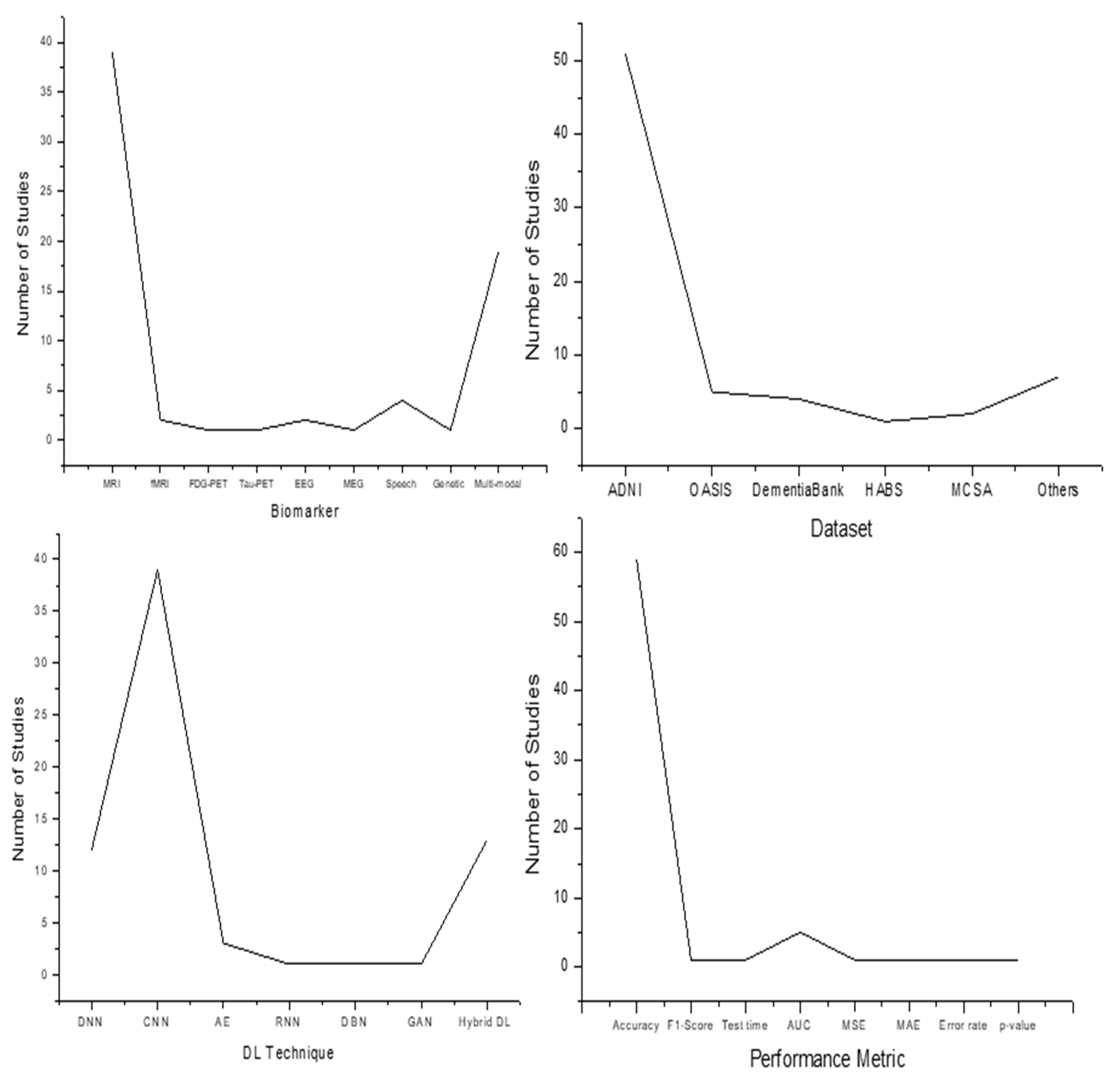
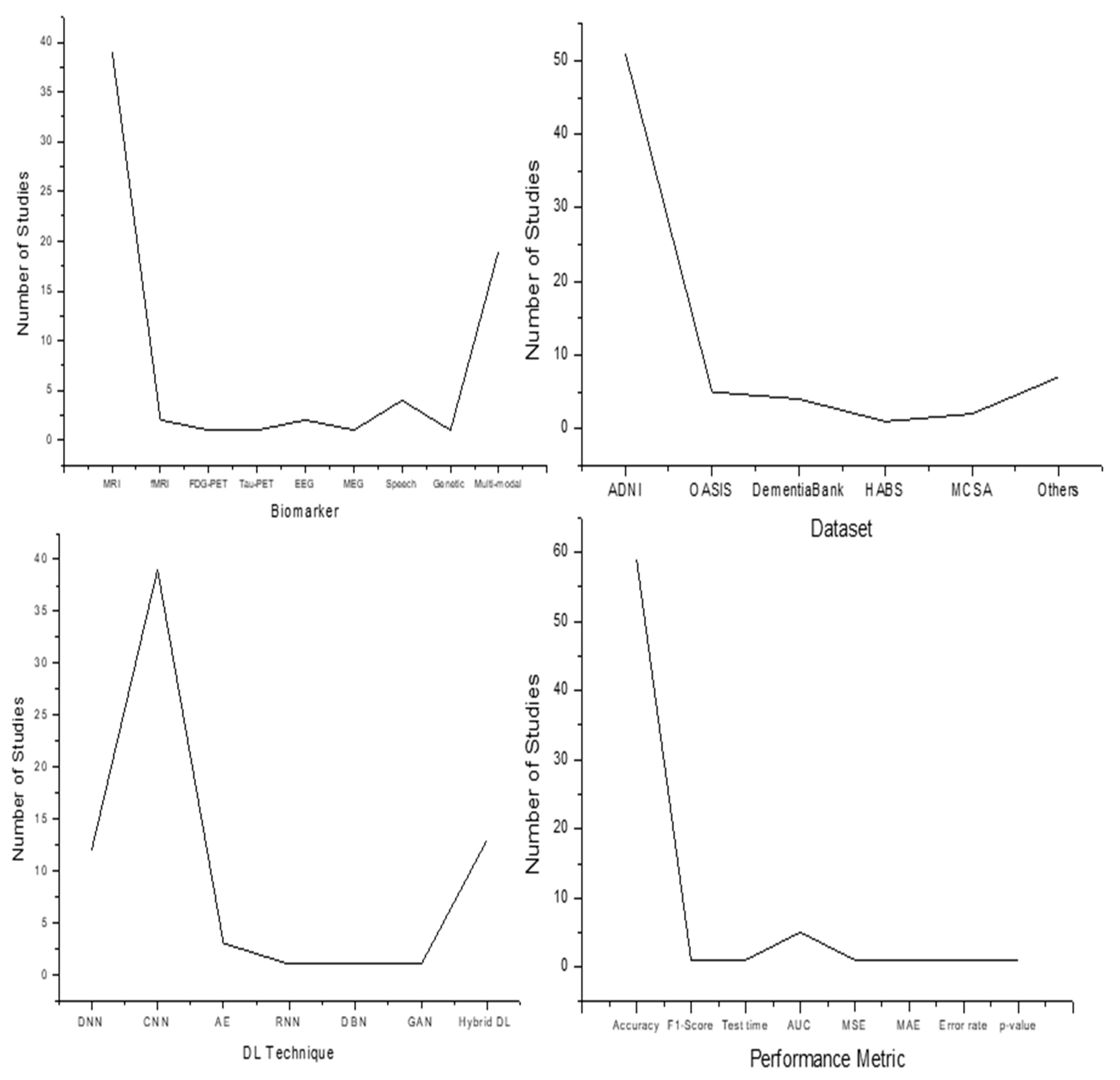
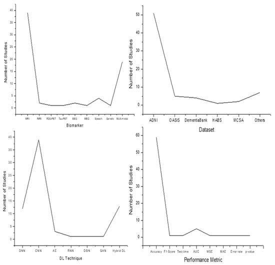
:1. Introduction
- Investigates the biomarkers for AD;
- Explores the different AD datasets;
- Discusses the different DL techniques;
- Reviews the most recent literature pertaining to DL-based AD diagnosis;
- Presents the trends and key findings from the literature review;
- Highlights the obstacles that the scientific community still faces in this area.
2. Preliminaries
2.1. Biomarkers for AD
2.1.1. MRI
2.1.2. fMRI
2.1.3. FDG-PET
2.1.4. Amyloid-PET
2.1.5. Tau-PET
2.1.6. EEG
2.1.7. MEG
2.1.8. Speech Transcripts
2.1.9. Genetic Measures
2.1.10. CSF Measures
2.2. AD Datasets
2.2.1. ADNI Dataset
2.2.2. OASIS Dataset
2.2.3. DementiaBank Dataset
2.2.4. HABS Dataset
2.2.5. MCSA Dataset
2.3. Deep Learning Techniques
2.3.1. Feed-Forward DNN
2.3.2. CNN
2.3.3. AE
- Encoder: The weight matrix and bias are used to parameterize the encoder, which is a series of linear feed-forward filters (analogous to a multi-layer perceptron).
- Activation: The encoded coefficients are transformed into the range [0,1] through activation, a non-linear mapping.
- The input is reconstructed using a collection of reverse linear filters called a decoder.
2.3.4. RNN
2.3.5. DBN
2.3.6. GAN
3. DL for AD Diagnosis
3.1. Feed-Forward DNN for AD Diagnosis
3.2. CNN for AD Diagnosis
3.3. AE for AD Diagnosis
3.4. RNN for AD Diagnosis
3.5. DBN for AD Diagnosis
3.6. GAN for AD Diagnosis
3.7. Hybrid DL Models for AD Diagnosis
| Work | Year | Biomarker | DL Method | Dataset | Performance |
|---|---|---|---|---|---|
| [83] | 2014 | MRI and PET | SAE | ADNI-311 subjects (AD-65, cMCI-67, ncMCI-102, NC-77) | Accuracy (NC/AD): 87.76% Accuracy (NC/MCI): 76.92% |
| [88] | 2015 | MRI | Residual Self Attention 3D Convolutional Neural Network | ADNI-835 subjects (AD-200, MCI-404, NC-231) | Accuracy (NC/AD): 91.3% ± 0.012 Accuracy (sMCI/pMCI): 82.1% ± 0.092 |
| [89] | 2015 | MRI | CNN + Sparse AE | ADNI-2265 subjects (AD-755, MCI-755, HC-755) | Accuracy (HC/MCI/AD): 89.47% Accuracy (HC/AD): 95.39% Accuracy (AD/MCI): 86.84% Accuracy (HC/MCI): 92.11% |
| [43] | 2016 | MRI | CNN | ADNI-805 subjects (AD-186, MCI-393, NC-226) | Accuracy (NC/ADI): 91.02% ± 4.29 Accuracy (NC/MCI): 73.02% ± 6.44 Accuracy (sMCI/pMCI): 74.82% ± 6.80 |
| [44] | 2016 | MRI | CNN | ADNI-900 subjects (AD-300, MCI-300, HC-300) | Accuracy (HC/MCI/AD): 91.85% |
| [45] | 2016 | fMRI | CNN | ADNI-43 subjects (AD-28, NC-15) | Accuracy(NC/AD): 96.85% |
| [86] | 2016 | MRI and fMRI | DBN | ADNI-275 subjects (AD-70, MCI-111, LMCI-26, NC-68) | Accuracy (NC/AD): 90% Accuracy (MCI/AD): 84% Accuracy (NC/MCI): 83% |
| [90] | 2016 | MRI | CNN + AE | ADNI-210 subjects (AD-70, MCI-70, NC-70) | Accuracy (NC/MCI/AD): 89.1% |
| [46] | 2016 | MRI | CNN | ADNI-302 subjects (AD-211, HC-91) | Accuracy (HC/AD): 98.84% |
| [47] | 2016 | MRI and fMRI | CNN | ADNI (fMRI-144 subjects: AD-52, CN-92) ADNI(MRI-302 subjects: AD-211, CN-91) | Accuracy (fMRI (CN/AD)): 99.9% Accuracy (MRI (CN/AD)): 98.84% |
| [31] | 2017 | MRI | DNN | ADNI-240 subjects (AD-60, cMCI-60, MCI-60,HC-60) | Accuracy (HC/MCI/cMCI/AD): 53.7 ± 1.9% |
| [48] | 2017 | MRI | CNN | ADNI-504 subjects (AD-101, MCI-234, CN-169) | Accuracy (CN/MCI/AD): 96% |
| [84] | 2018 | MRI and FDG-PET | SAE | ADNI-1051 subjects (NC-304, sMCI-409, pMCI-112, AD-226) | Accuracy (NC/AD): 93.58%, Accuracy (sMCI/pMCI): 81.55% |
| [32] | 2018 | EEG | DNN | Data collected from Chosun University Hospital and Gwangju Optimal Dementia Center located in South Korea-20 subjects (MCI-10, HC-10) | Accuracy (NC/MCI): 59.3% |
| [82] | 2018 | MRI and FDG-PET images | SAE | ADNI-1242 subjects (sNC-360, sMCI-409, pNC: 18, pMCI-217, sAD-238) | Accuracy (sMCI/pMCI): 82.93% |
| [49] | 2018 | MRI | CNN | ADNI-1409 subjects (AD-294, MCI-763, HC-352), Milan dataset-229 subjects (AD-124, MCI-50, HC-55) | Accuracy (HC/AD): 98.2% Accuracy (HC/cMCI): 87.7% Accuracy (HC/sMCI): 76.4% Accuracy (cMCI/AD): 75.8% Accuracy (sMCI/AD): 86.3% Accuracy (cMCI/sMCI): 74.9% |
| [33] | 2018 | MRI and AV-45 PET data | DNN | ADNI-896 subjects (CN-248, AD-149, EMCI-296, LMCI-193) | Accuracy (CN/EMCI): 84% Accuracy (CN/LMCI): 84.1% Accuracy (CN/AD): 96.8% Accuracy (EMCI/LMCI): 69.5% Accuracy (EMCI/AD): 90.3% Accuracy (LMCI/AD): 80.2% |
| [34] | 2018 | EEG | DNN | Data collected from Medical Universities of Graz, Innsbruck and Vienna, as well as Linz General Hospital—188 subjects (Probable AD-133, Possible AD-55) | Mean Squared Error (Probable AD/Possible AD): 12.17 |
| [91] | 2018 | MRI and FDG-PET | AE + CNN | ADNI-615 subjects (AD-193, MCI-215, NC-207) | Accuracy (MCI/AD): 93% Accuracy (NC/MCI): 95% Accuracy (NC/AD): 98.8% Accuracy (NC/MCI/AD): 91.13% |
| [50] | 2018 | MRI | CNN | OASIS dataset-126 subjects (AD-28, HC-98) and data from local hospitals-70 subjects (AD-70) | Accuracy (HC/AD): 97.65% |
| [51] | 2018 | MRI | CNN | ADNI-1728 subjects (AD-346, MCI-450, LMCI-358, NC-574) | Accuracy (NC/AD): 94% Accuracy (NC/MCI): 90% Accuracy (NC/MCI/AD): 87% |
| [52] | 2018 | MRI | CNN | ADNI-391 subjects (AD-150, MCI-129, NC-112) | Accuracy (NC/AD): 96.81% Accuracy (MCI/AD): 88.43% Accuracy (NC/MCI): 92.62% Accuracy (NC/MCI/AD): 91.32% |
| [35] | 2018 | Speech transcripts | DNN | DementiaBank dataset | AUC (MCI/AD): 0.815 |
| [53] | 2018 | MRI, clinical assessment and genetic (APOe4) measures | CNN | ADNI-800 subjects (AD-200, MCI-400, NC-200) | Accuracy (NC/MCI/AD): 99% |
| [54] | 2018 | fMRI and Diffusion Tensor Imaging (DTI) | CNN | ADNI-105 subjects (AD-35, aMCI-30, NC-40) | Accuracy (NC/aMCI/AD): 92.06% |
| [92] | 2018 | Speech transcripts | Gated CNN | DementiaBank dataset-267 subjects (AD-169, HC-98) | Accuracy (HC/AD): 73.6% |
| [36] | 2018 | MRI and single nucleotide polymorphism (SNP) data | DNN | ADNI-721 subjects (AD-138, MCI-358, CN-225) | AUC (CN/MCI/AD): 0.992 |
| [55] | 2018 | MRI | CNN | OASIS dataset-416 subjects | Accuracy (Non Demented/very Mild/Mild/Moderate): 93% |
| [93] | 2018 | MRI and PET | CNN + RNN | ADNI-397 subjects (AD-93, pMCI-76, sMCI-128, CN-100) | Accuracy (NC/AD): 94.29% Accuracy (NC/pMCI): 84.66% Accuracy (NC/sMCI): 64.47% |
| [56] | 2018 | MRI | CNN | ADNI-1663 subjects (AD-336, MCI-542, CN-785) | Accuracy (NC/LMCI): 94.5% Accuracy (NC/AD): 96.9% Accuracy (LMCI/AD): 97.2% Accuracy (EMCI/AD): 97.81% Accuracy (EMCI/LMCI): 94.8% |
| [37] | 2019 | gene expression and DNA methylation profiles | DNN | GSE33000 and GSE44770 (gene expression), prefrontal cortex GSE80970 (DNA methylation) | Accuracy (NC/AD): 82.3% |
| [38] | 2019 | MRI | DNN | OASIS-416 subjects | Accuracy (NC/AD): 86.66% |
| [57] | 2019 | MRI | CNN | ADNI-150 subjects (AD-50, CN-50, MCI-50) | Accuracy (CN/AD): 99.14% Accuracy (AD/MCI): 99.3% Accuracy (CN/MCI): 99.2% |
| [39] | 2019 | MRI | DNN | ADNI-291 subjects (AD-97, CN-194) | Accuracy (CN/AD): 67% |
| [94] | 2019 | MRI | CNN + RNN | ADNI-807 subjects (AD-194, MCI-397, NC-216) | Accuracy (NC/AD): 91.0% Accuracy (NC/MCI): 75.8% Accuracy (sMCI/pMCI): 74.6% |
| [95] | 2019 | MRI | AE+ CNN | ADNI-694 subjects (AD-198, NC-230, sMCI-101, pMCI-166) | Accuracy (AD/NC): 86.60% ± 3.66% Accuracy (pMCI/NC): 77.37% ± 3.55% Accuracy (sMCI/NC): 63.04% ± 4.16% Accuracy (pMCI/AD): 60.97% ± 5.33% Accuracy (sMCI/AD): 75.06% ± 3.86 |
| [58] | 2019 | MRI and FDG-PET | CNN | ADNI-2145 subjects (AD-647, sMCI-441, pMCI-326, HC-731) | Accuracy (NC/AD): 90.10% Accuracy (NC/pMCI): 87.46% Accuracy (sMCI/pMCI): 76.90% |
| [59] | 2019 | MRI | CNN | ADNI-315 subjects (AD-185, HC-130) | Accuracy (HC/AD): 98.06% |
| [85] | 2019 | Demographic information, neuro-imaging phenotypes measured by MRI, cognitive performance, and CSF measurements | RNN | ADNI-1618 subjects (AD-338, MCI-865, CN-415) | Accuracy (CN/MCI/AD): 81% |
| [96] | 2019 | Speech transcripts | CNN + RNN | DementiaBank dataset | AUC (NC/AD): 0.838 |
| [97] | 2019 | MRI | CNN + AE | ADNI-1941 subjects (AD-345, MCI-991, NC-605) | Accuracy (MCI/AD): 94.6% Accuracy (NC/AD): 92.98% Accuracy (NC/MCI): 94.04% |
| [60] | 2019 | MRI and PET | CNN | ADNI-392 subjects (AD-91, MCI-200, CN-101) | Accuracy (NC/AD): 98.47% Accuracy (NC/MCI): 85.74% Accuracy (AD/MCI): 88.20% |
| [61] | 2019 | MRI | CNN | ADNI-1820 images (AD-635, MCI: 548, CN: 637) | Accuracy (CN/MCI/AD): 86.9% Accuracy (CN/AD): 100% Accuracy (MCI/AD): 96.2% Accuracy (CN/MCI): 98% |
| [40] | 2019 | MRI | DNN | ADNI-1737 subjects | AUC (NC/MCI/AD): 0.866 |
| [62] | 2019 | MRI and clinical features | CNN | ADNI-785 subjects (AD-192, MCI-409, HC-184) | Accuracy (MCI/AD): 86% |
| [87] | 2020 | MRI | GAN | ADNI-1114 subjects and Frontotemporal Lobar Degeneration Neuroimaging Initiative (NIFD)-840 subjects | Accuracy (NC/AD): 88.28% |
| [63] | 2020 | MRI | CNN | ADNI | Test time (NC/AD): 0.2 s |
| [64] | 2020 | MEG | CNN | Data collected from Centre for Biomedical Technology, Spain-132 subjects (MCI-78, HC-54) | F1-Score (HC/MCI) = 0.92 |
| [65] | 2020 | MRI | CNN | OASIS dataset-126 subjects (AD-28, HC-98) and data from local hospitals-70 subjects (AD-70) | Accuracy (HC/AD): 97.76% ± 0.41 |
| [66] | 2020 | MRI | CNN | ADNI-159 subjects (AD-45, MCI-62, NC-52) | Accuracy (NC/MCI/AD): 99.89% |
| [67] | 2020 | MRI | CNN | ADNI-390 subjects (AD-195, CN-195), SNUBH-390 subjects (AD-195, CN-195) | Accuracy (ADNI (CN/AD)): 89% Accuracy (SNUBH (CN/AD)): 88% |
| [69] | 2020 | fMRI and PET | CNN | fMRI ADNI dataset-54 subjects (AD-27, HC-27) PET ADNI dataset-2675 images (AD-900, HC-1775) | Accuracy (fMRI dataset (HC/AD)): 99.95% Accuracy (PET ADNI (HC/AD)): 73.46% |
| [70] | 2020 | MRI | CNN | Kaggle’s MRI dataset | Accuracy (MCI/AD): 96% |
| [41] | 2020 | MRI | DNN | ADNI-819 subjects (AD-192, MCI-398, CN-229) and NIMHANS-99 (AD-39, CN-60) | Accuracy (ADNI (CN/MCI/AD)): 99.50% Accuracy (NIMHANS (CN/AD)): 98.40% |
| [71] | 2020 | MRI | CNN | OASIS-382 images (No Dementia: 167, Very Mild Dementia-87, Mild Dementia-105, Moderate AD-23) | Accuracy (No Dementia/Very Mild Dementia/Mild Dementia/Moderate AD): 99.05% |
| [72] | 2020 | MRI | CNN | ADNI-465 subjects (AD-132, MCI-181, CN-152) | Accuracy (CN/MCI/AD): 97.77% |
| [73] | 2020 | MRI | CNN | ADNI-132 subjects (AD-25, MCI-61, CN-46) | Accuracy (CN/MCI/AD):84% |
| [74] | 2020 | MRI | CNN | ADNI-GO/2-663 subjects ADNI-3-575 subjects AIBL-606 subjects DELCODE-474 subjects | Accuracy (ADNI-GO/2): 86.25% Accuracy (ADNI-3): 74.375% Accuracy (AIBL): 79.225% Accuracy (DELCODE): 78% |
| [75] | 2020 | MRI | CNN | ADNI-469 subjects (AD-153, MCI-157, CN-159) | Accuracy (NC/MCI/AD): 92.11% ± 2.31 Accuracy (NC/AD): 99.10% ± 1.13 Accuracy (NC/MCI): 98.90% ± 2.78 Accuracy (MCI/AD): 89.40% ± 6.90 |
| [68] | 2020 | Tau-PET | CNN | ADNI-300 subjects (AD-66. EMCI-97, LMCI-71, CN-66) | Accuracy (CN/AD): 90.8% |
| [98] | 2021 | MRI | CNN + DNN | Gwangju Alzheimer’s and Related Dementia (GARD) | Accuracy (NC/AD): 94.02% |
| [99] | 2021 | Speech transcripts | Bidirectional encoder with logistic regression | DementiaBank dataset-269 subjects (AD-170, HC-99) | Accuracy (HC/AD): 88.08% |
| [100] | 2021 | MRI | CNN with attention mechanism | ADNI-968 subjects (AD-280, cMCI-162, ncMCI-251, NC-275) | Accuracy (NC/AD): 97.35% Accuracy (NC/MCI): 87.82% Accuracy (MCI/AD): 78.79% |
| [76] | 2021 | MRI and PET | CNN | ADNI-5556 images (AD-718, EMCI-1222, MCI-1274, LMCI-636, SMC-186, CN-1520) | Accuracy (CN/EMCI/MCI/LMCI/AD): 86% |
| [77] | 2021 | fMRI | CNN | ADNI-675 subjects | Accuracy (Low AD): 98.1% Accuracy (Mild AD): 95.2% Accuracy (Moderate AD): 89% Accuracy (Severe AD): 87.5% |
| [78] | 2021 | MRI | CNN | ADNI-450 subjects (AD-150, MCI-150, NC-150) | Accuracy (NC/AD): 90.15% ± 1.1 Accuracy (MCI/AD): 87.30% ± 1.4 Accuracy (NC/MCI): 83.90% ± 2.5 |
| [42] | 2021 | Genetic Measures | DNN | MCSA-266 subjects | p-value ˂ 1 × |
| [79] | 2021 | FDG-PET | CNN | MCSA | Mean Absolute Error: 2.8942 |
| [80] | 2021 | MRI | CNN | HABS | Error rate < 1% |
| [81] | 2021 | Tau-PET and MRI | CNN | Tau-PET and MRI images from two human brains | Area under Curve: 0.88 |
4. Discussion
- DL techniques outperform conventional machine learning techniques in AD diagnosis.
- DNN outperforms the shallow neural network architectures in AD diagnosis.
- Conventional machine learning techniques such as Random Forest, KNN, SVM can be used to assist DL models in feature selection and discrimination processes.
- Multimodal classification models outperform single-modal settings.
- Fusion of typical neurophysiological data with MRI and PET enhances the efficiency of the AD classification models.
- Bayesian method and greedy layer-wise pre-training are effective techniques for initializing the DL model parameters such as learning rate, drop-out rate, number of hidden layers, and number of nodes in each layer.
- Due to the shift-invariant and scale-invariant properties, CNN has got a massive scope in medical image analysis.
- Transfer learning and data augmentation are suitable for avoiding over-fitting in DL models.
- CNN model with leaky ReLU activation function and Max pooling function gives the best results as compared to other combinations of activation functions and pooling functions.
- Models built on multi-modal MRI (fMRI and DTI) perform better than models built on individual fMRI and DTI.
- Hippocampus of the brain is a crucial ROI for AD diagnosis, and hippocampal atrophy is the most crucial factor for AD diagnosis.
- Batch normalization, data augmentation and drop-out regularization generate efficient AD classification models.
- Selecting the appropriate pre-processing and segmentation techniques are crucial for building efficient DL models for AD diagnosis.
- Unsupervised DL techniques such as auto-encoders are effective for limited data scenarios.
- Hybrid DL models perform better than individual DL models.
5. Challenges and Future Research Directions
- Over-fitting: DL algorithms are multilayered algorithms that need a lot of processing power and have millions of parameters. Convergence of these algorithms necessitates a huge quantity of data in proportion to the number of parameters. Although there are no hard and fast rules about how much data are needed to train DL algorithms, empirical research suggests that ten times more training data are needed than the number of parameters. Given the widespread availability of images, text and videos on the internet, it is no wonder that disciplines such as computer vision and natural language processing have experienced the fastest advancements due to DL. Neuro-imaging data, on the other hand, is largely decentralized and housed locally within hospital systems, with privacy restrictions that make it difficult to access for research. Furthermore, due to the complexity of disease processes and patient presentations, obtaining solid ground truth labels for neurological diseases including AD is exceedingly costly, and requires expert knowledge. The scarcity of labeled data continues to be a major stumbling block in the advancement of DL in AD diagnosis.
- Over-fitting is always a possibility when training a complicated classifier on a limited dataset. DL models have a strong tendency to fit data well, but this does not imply that they generalize well. Many studies have employed various tactics to mitigate over-fitting, such as regularization, early stopping, and drop-out. While the algorithm’s performance on a separate test data set can be used to assess over-fitting, the algorithm may not work well on similar images obtained in other facilities, on different scanners, or with patients with different demographics. Larger datasets from multiple locations are often gathered in diverse ways, with marginally varied image attributes, using different scanners and protocols, resulting in poor performance. Moreover, it has been observed that without consistent criteria, data augmentation will not be able to adequately address difficulties with limited datasets. Overcoming this issue is a crucial topic of study.
- Data Quality: DL algorithms are intrinsically unsuited to healthcare data in general. Electronic medical records are made up of highly heterogeneous clinical notes, a jumble of diverse codes, and other patient details often containing missing and incomplete data. This intrinsic complication of healthcare data makes it impractical for DL algorithms to separate signal from noise.
- Interpretability and Transparency: Expert intervention in preprocessing procedures for feature selection and extraction from images in traditional machine learning algorithms may be required. DL, on the other hand, does not require human mediation and digs out features straight from the input data, therefore data preprocessing is not usually required. This enables greater flexibility in feature extraction based on a variety of inputs. As a result, DL can produce an effective model at each time of the run. Because of this flexibility, DL has outperformed conventional machine learning methods that rely on preprocessing. However, this element of DL inherently introduces uncertainty about which features will be mined at each epoch, and it is hard to explain which individual features were extracted from the network unless there is a dedicated design for the feature. It is also hard to figure out how those selected characteristics lead to a conclusion and the relative relevance of various features or subclasses of features due to the intricacy of the DL algorithms, which consists of several hidden layers. This is a significant restriction for AD research in which it is desirable to understand the importance of specific traits in order to create models. These intricacies and uncertainties tend to obscure the process of attaining high accuracy, making it more difficult to rectify any biases in the dataset.
- Reproducibility: The performance of DL algorithms is affected by the values of hyper-parameters such as learning rate, drop-out, number of epochs, batch size, momentum, etc. It is crucial to use the same choice of hyper-parameters on numerous levels to get the same experimental result. Even if hyper-parameters and random seeds are not offered in most circumstances, it is necessary to keep the same code bases. The randomization of the training technique and the ambiguity of the setup may make it impossible to replicate the study and acquire the same findings.
6. Conclusions
Author Contributions
Funding
Institutional Review Board Statement
Informed Consent Statement
Data Availability Statement
Acknowledgments
Conflicts of Interest
Abbreviation
| ABF | Adaptive Bilateral Filter |
| AD | Alzheimer’s Disease |
| ADNI | Alzheimer’s Disease Neuroimaging Initiative |
| AE | Auto-Encoder |
| AHA | Adaptive Histogram Adjustment |
| AMS-MEM | Adaptive Mean Shift Modified Expectation Maximization |
| AUC | Area under Curve |
| BBB | Blood-Brain Barrier |
| BDAE | Boston Diagnostic Aphasia Examination |
| BGRU | Bidirectional Gated Recurrent Unit |
| BPTT | Back-Propagation Through Time |
| CN | Cognitively Normal |
| CNN | Convolutional Neural Network |
| CSF | Cerebrospinal Fluid |
| DBN | Deep Belief Network |
| DL | Deep Learning |
| DNA | Deoxyribonucleic Acid |
| DNN | Deep Neural Network |
| DT | Decision Tree |
| DTI | Diffusion Tensor Imaging |
| DVE | Discrete Volume Estimation |
| EEG | Electroencephalography |
| EMCI | Early Mild Cognitive Impairment |
| FCNN | Fine tuning Convolutional Neural Network |
| FDG-PET | Fluorodeoxyglucose-Positron Emission Tomography |
| fMRI | Functional Magnetic Resonance Imaging |
| GAN | Generative Adversarial Network |
| GLCM | Gray Level Co-Occurrence Matrix |
| HABS | Harvard Aging Brain Study |
| HC | Healthy Control |
| HiLCAE | High-Level Layer Concatenation Auto-Encoder |
| HOG | Histogram of Oriented Gradients |
| KNN | K Nearest Neighbour |
| LDA | Linear Discriminant Analysis |
| LMCI | Late Mild Cognitive Impairment |
| LR | Logistic Regression |
| MAD | Moderate Alzheimer’s Disease |
| MCI | Mild Cognitive Impairment |
| MCSA | Mayo Clinic Study of Aging |
| MEG | Magnetoencephalography |
| MMDNN | Multi-scale and Multi-modal Deep Neural Network |
| MR | Magnetic Resonance |
| MRI | Magnetic Resonance Imaging |
| MSE | Mean Squared Error |
| NC | Normal Control |
| ND | No Dementia |
| OASIS | Open Access Series of Imaging Studies |
| PET | Positron Emission Tomography |
| pMCI | probable Mild Cognitive Impairment |
| PUP | PET Unified Pipeline |
| RCNN | Regional Convolutional Neural Network |
| RF | Random Forest |
| RNN | Recurrent Neural Network |
| ROI | Region of Interest |
| SAE | Stacked Auto- Encoder |
| SBi-RNN | Stacked Bidirectional RNN |
| SCNN | Siamese Convolutional Neural Network |
| sMCI | stable Mild Cognitive Impairment |
| SVM | Support Vector Machine |
| VMD | Very Mild Dementia |
References
- Rabeh, A.B.; Benzarti, F.; Amiri, H. Diagnosis of alzheimer diseases in early step using SVM (Support Vector Machine). In Proceedings of the 2016 13th International Conference on Computer Graphics, Imaging and Visualization (CGiV), Beni Mellal, Morocco, 29 March–1 April 2016; IEEE: Piscataway, NJ, USA, 2016; pp. 364–367. [Google Scholar]
- Alam, S.; Kwon, G.R.; Kim, J.I.; Park, C.S. Twin SVM-based classification of Alzheimer’s disease using complex dual-tree wavelet principal coefficients and LDA. J. Healthc. Eng. 2017, 2017, 1–12. [Google Scholar] [CrossRef] [PubMed]
- Acharya, U.R.; Fernandes, S.L.; WeiKoh, J.E.; Ciaccio, E.J.; Fabell, M.K.M.; Tanik, U.J.; Rajinikanth, V.; Yeong, C.H. Automated detection of Alzheimer’s disease using brain MRI images–a study with various feature extraction techniques. J. Med. Syst. 2019, 43, 302. [Google Scholar] [PubMed]
- Tufail, A.B.; Abidi, A.; Siddiqui, A.M.; Younis, M.S. Automatic classification of initial categories of Alzheimer’s disease from structural MRI phase images: A comparison of PSVM, KNN and ANN methods. Int. J. Biomed. Biol. Eng. 2012, 6, 713–717. [Google Scholar]
- Ramírez, J.; Górriz, J.M.; Segovia, F.; Chaves, R.; Salas-Gonzalez, D.; López, M.; Álvarez, I.; Padilla, P. Computer aided diagnosis system for the Alzheimer’s disease based on partial least squares and random forest SPECT image classification. Neurosci. Lett. 2010, 472, 99–103. [Google Scholar] [CrossRef]
- Vemuri, P.; Wiste, H.J.; Weigand, S.D.; Shaw, L.M.; Trojanowski, J.Q.; Weiner, M.W.; Knopman, D.S.; Petersen, R.C.; Jack, C.R. MRI and CSF biomarkers in normal, MCI, and AD subjects: Predicting future clinical change. Neurology 2009, 73, 294–301. [Google Scholar] [CrossRef]
- Sperling, R. The potential of functional MRI as a biomarker in early Alzheimer’s disease. Neurobiol. Aging 2011, 32, S37–S43. [Google Scholar] [CrossRef] [Green Version]
- Gray, K.R.; Wolz, R.; Heckemann, R.A.; Aljabar, P.; Hammers, A.; Rueckert, D.; Alzheimer’s Disease Neuroimaging Initiative. Multi-region analysis of longitudinal FDG-PET for the classification of Alzheimer’s disease. NeuroImage 2012, 60, 221–229. [Google Scholar] [CrossRef] [Green Version]
- Rice, L.; Bisdas, S. The diagnostic value of FDG and amyloid PET in Alzheimer’s disease—A systematic review. Eur. J. Radiol. 2017, 94, 16–24. [Google Scholar]
- James, O.G.; Doraiswamy, P.M.; Borges-Neto, S. PET imaging of tau pathology in Alzheimer’s disease and tauopathies. Front. Neurol. 2015, 6, 38. [Google Scholar] [CrossRef]
- Thal, D.R.; Rüb, U.; Orantes, M.; Braak, H. Phases of Aβ-deposition in the human brain and its relevance for the development of AD. Neurology 2002, 58, 1791–1800. [Google Scholar] [CrossRef]
- Tanner, J.A.; Rabinovici, G.D. Relationship between tau and cognition in the evolution of Alzheimer’s disease: New insights from tau PET. J. Nucl. Med. 2021, 62, 612–613. [Google Scholar] [CrossRef]
- Altomare, D.; Caprioglio, C.; Assal, F.; Allali, G.; Mendes, A.; Ribaldi, F.; Ceyzeriat, K.; Martins, M.; Tomczyk, S.; Stampacchia, S.; et al. Diagnostic value of amyloid-PET and tau-PET: A head-to-head comparison. Eur. J. Nucl. Med. Mol. Imaging 2021, 48, 2200–2211. [Google Scholar]
- Bucci, M.; Chiotis, K.; Nordberg, A. Alzheimer’s disease profiled by fluid and imaging markers: Tau PET best predicts cognitive decline. Mol. Psychiatry 2021, 26, 5888–5898. [Google Scholar]
- Al-Nuaimi, A.H.; Jammeh, E.; Sun, L.; Ifeachor, E. Changes in the EEG amplitude as a biomarker for early detection of Alzheimer’s disease. In Proceedings of the 2016 38th Annual International Conference of the IEEE Engineering in Medicine and Biology Society (EMBC), Orlando, FL, USA, 16–20 August 2016; IEEE: Piscataway, NJ, USA, 2016; pp. 993–996. [Google Scholar]
- Mandal, P.K.; Banerjee, A.; Tripathi, M.; Sharma, A. A comprehensive review of magnetoencephalography (MEG) studies for brain functionality in healthy aging and Alzheimer’s disease (AD). Front. Comput. Neurosci. 2018, 12, 60. [Google Scholar]
- Nevler, N.; Ash, S.; Cho, S.; Shellikeri, S.; Parjane, N.; Irwin, D.J.; Liberman, M.Y.; Grossman, M. Automated semantic speech analysis in AD and lvPPA: Biomarkers (non-neuroimaging)/novel biomarkers. Alzheimer’s Dement. 2020, 16, e045300. [Google Scholar] [CrossRef]
- Shen, L.; Thompson, P.M.; Potkin, S.G.; Bertram, L.; Farrer, L.A.; Foroud, T.M.; Green, R.C.; Hu, X.; Huentelman, M.J.; Kim, S.; et al. Genetic analysis of quantitative phenotypes in AD and MCI: Imaging, cognition and biomarkers. Brain Imaging Behav. 2014, 8, 183–207. [Google Scholar]
- Mandelkow, E.M.; Mandelkow, E. Tau in Alzheimer’s disease. Trends Cell Biol. 1998, 8, 425–427. [Google Scholar] [CrossRef]
- Formichi, P.; Battisti, C.; Radi, E.; Federico, A. Cerebrospinal fluid tau, Ass, and phosphorylated tau protein for the diagnosis of Alzheimer’s disease. J. Cell. Physiol. 2006, 208, 39–46. [Google Scholar]
- Koopman, K.; Le Bastard, N.; Martin, J.J.; Nagels, G.; De Deyn, P.P.; Engelborghs, S. Improved discrimination of autopsy-confirmed Alzheimer’s disease (AD) from non-AD dementias using CSF P-tau181P. Neurochem. Int. 2009, 55, 214–218. [Google Scholar]
- Hampel, H.; Buerger, K.; Zinkowski, R.; Teipel, S.J.; Goernitz, A.; Andreasen, N.; Sjoegren, M.; DeBernardis, J.; Kerkman, D.; Ishiguro, K.; et al. Measurement of phosphorylated Tau epitopes in the differential diagnosisof Alzheimer disease: A comparative cerebrospinal fluid study. Arch. Gen. Psychiatry 2004, 61, 95–102. [Google Scholar] [CrossRef] [Green Version]
- Petersen, R.C.; Aisen, P.S.; Beckett, L.A.; Donohue, M.C.; Gamst, A.C.; Harvey, D.J.; Jack, C.R.; Jagust, W.J.; Shaw, L.M.; Toga, A.W.; et al. Alzheimer’s disease neuroimaging initiative (ADNI): Clinical characterization. Neurology 2010, 74, 201–209. [Google Scholar] [CrossRef] [Green Version]
- Marcus, D.S.; Fotenos, A.F.; Csernansky, J.G.; Morris, J.C.; Buckner, R.L. Open access series of imaging studies: Longitudinal MRI data in nondemented and demented older adults. J. Cogn. Neurosci. 2010, 22, 2677–2684. [Google Scholar]
- Wahlforss, A.; Jonasson, A.A. Early dementia diagnosis from spoken language using a transformer approach. Alzheimer’s Dement. 2020, 16, e043445. [Google Scholar] [CrossRef]
- Dagley, A.; LaPoint, M.; Huijbers, W.; Hedden, T.; McLaren, D.G.; Chatwal, J.P.; Papp, K.V.; Amariglio, R.E.; Blacker, D.; Rentz, D.M.; et al. Harvard aging brain study: Dataset and accessibility. Neuroimage 2017, 144, 255–258. [Google Scholar] [CrossRef] [Green Version]
- Roberts, R.O.; Geda, Y.E.; Knopman, D.S.; Cha, R.H.; Pankratz, V.S.; Boeve, B.F.; Ivnik, R.J.; Tangalos, E.G.; Petersen, R.C.; Rocca, W.A. The Mayo Clinic Study of Aging: Design and sampling, participation, baseline measures and sample characteristics. Neuroepidemiology 2008, 30, 58–69. [Google Scholar]
- Saleem, T.J.; Chishti, M.A. Data analytics in the Internet of Things: A survey. Scalable Comput. Pract. Exp. 2019, 20, 607–630. [Google Scholar] [CrossRef] [Green Version]
- Saleem, T.J.; Chishti, M.A. Deep learning for Internet of Things data analytics. Procedia Comput. Sci. 2019, 163, 381–390. [Google Scholar]
- Zahra, S.R.; Chishti, M.A. Fuzzy logic and fog based secure architecture for internet of things (flfsiot). J. Ambient. Intell. Humaniz. Comput. 2020, 1–25. [Google Scholar]
- Amoroso, N.; Diacono, D.; Fanizzi, A.; La Rocca, M.; Monaco, A.; Lombardi, A.; Guaragnella, C.; Bellotti, R.; Tangaro, S.; Alzheimer’s Disease Neuroimaging Initiative. Deep learning reveals Alzheimer’s disease onset in MCI subjects: Results from an international challenge. J. Neurosci. Methods 2018, 302, 3–9. [Google Scholar] [PubMed] [Green Version]
- Kim, D.; Kim, K. Detection of early stage Alzheimer’s disease using EEG relative power with deep neural network. In Proceedings of the 2018 40th Annual International Conference of the IEEE Engineering in Medicine and Biology Society (EMBC), Honolulu, HI, USA, 18–21 July 2018; IEEE: Piscataway, NJ, USA, 2018; pp. 352–355. [Google Scholar]
- Forouzannezhad, P.; Abbaspour, A.; Li, C.; Cabrerizo, M.; Adjouadi, M. A deep neural network approach for early diagnosis of mild cognitive impairment using multiple features. In Proceedings of the 2018 17th IEEE International Conference on Machine Learning and Applications (ICMLA), Orlando, FL, USA, 17–20 December 2018; IEEE: Piscataway, NJ, USA, 2018; pp. 1341–1346. [Google Scholar]
- Fruehwirt, W.; Cobb, A.D.; Mairhofer, M.; Weydemann, L.; Garn, H.; Schmidt, R.; Benke, T.; Dal-Bianco, P.; Ransmayr, G.; Waser, M.; et al. Bayesian deep neural networks for low-cost neurophysiological markers of Alzheimer’s disease severity. arXiv 2018, arXiv:1812.04994. [Google Scholar]
- Orimaye, S.O.; Wong, J.S.M.; Wong, C.P. Deep language space neural network for classifying mild cognitive impairment and Alzheimer-type dementia. PLoS ONE 2018, 13, e0205636. [Google Scholar] [CrossRef]
- Ning, K.; Chen, B.; Sun, F.; Hobel, Z.; Zhao, L.; Matloff, W.; Toga, A.W.; Alzheimer’s Disease Neuroimaging Initiative. Classifying Alzheimer’s disease with brain imaging and genetic data using a neural network framework. Neurobiol. Aging 2018, 68, 151–158. [Google Scholar]
- Park, C.; Ha, J.; Park, S. Prediction of Alzheimer’s disease based on deep neural network by integrating gene expression and DNA methylation dataset. Expert Syst. Appl. 2020, 140, 112873. [Google Scholar]
- Benyoussef, E.M.; Elbyed, A.; El Hadiri, H. 3D MRI classification using KNN and deep neural network for Alzheimer’s disease diagnosis. In International Conference on Advanced Intelligent Systems for Sustainable Development; Tangier, Morocco, 12–14 July, Springer: Cham, Switzerland, 2018; pp. 154–158. [Google Scholar]
- Manzak, D.; Çetinel, G.; Manzak, A. Automated Classification of Alzheimer’s Disease using Deep Neural Network (DNN) by Random Forest Feature Elimination. In Proceedings of the 2019 14th International Conference on Computer Science & Education (ICCSE), Toronto, ON, Canada, 19–21 August 2019; IEEE: Piscataway, NJ, USA, 2019; pp. 1050–1053. [Google Scholar]
- Albright, J.; Alzheimer’s Disease Neuroimaging Initiative. Forecasting the progression of Alzheimer’s disease using neural networks and a novel preprocessing algorithm. Alzheimer’s Dement. Transl. Res. Clin. Interv. 2019, 5, 483–491. [Google Scholar]
- Suresha, H.S.; Parthasarathy, S.S. Alzheimer Disease Detection Based on Deep Neural Network with Rectified Adam Optimization Technique using MRI Analysis. In Proceedings of the 2020 Third International Conference on Advances in Electronics, Computers and Communications (ICAECC), Bengaluru, India, 11–12 December 2020; IEEE: Piscataway, NJ, USA, 2020; pp. 1–6. [Google Scholar]
- Wang, Q.; Readhead, B.; Chen, K.; Su, Y.; Reiman, E.M.; Dudley, J.T. Deep Learning-Based Brain Transcriptomic Signatures Associated with the Neuropathological and Clinical Severity of Alzheimer’s Disease. Brain Commun. 2021, 4, fcab293. [Google Scholar]
- Suk, H.I.; Shen, D. Deep ensemble sparse regression network for Alzheimer’s disease diagnosis. In International Workshop on Machine Learning in Medical Imaging; Springer: Cham, Switzerland, 2016; pp. 113–121. [Google Scholar]
- Billones, C.D.; Demetria, O.J.L.D.; Hostallero, D.E.D.; Naval, P.C. DemNet: A convolutional neural network for the detection of Alzheimer’s disease and mild cognitive impairment. In Proceedings of the 2016 IEEE Region 10 Conference (TENCON), Singapore, 22–25 November 2016; IEEE: Piscataway, NJ, USA, 2016; pp. 3724–3727. [Google Scholar]
- Sarraf, S.; Tofighi, G. Classification of alzheimer’s disease using fmri data and deep learning convolutional neural networks. arXiv 2016, arXiv:1603.08631. [Google Scholar]
- Sarraf, S.; Tofighi, G. Classification of Alzheimer’s disease structural MRI data by deep learning convolutional neural networks. arXiv 2016, arXiv:1607.06583. [Google Scholar]
- Sarraf, S.; Tofighi, G.; Alzheimer’s Disease Neuroimaging Initiative. DeepAD: Alzheimer’s disease classification via deep convolutional neural networks using MRI and fMRI. BioRxiv 2016, 070441. [Google Scholar]
- Gunawardena, K.A.N.N.P.; Rajapakse, R.N.; Kodikara, N.D. Applying convolutional neural networks for pre-detection of alzheimer’s disease from structural MRI data. In Proceedings of the 2017 24th International Conference on Mechatronics and Machine Vision in Practice (M2VIP), Auckland, New Zealand, 21–23 November 2017; IEEE: Piscataway, NJ, USA, 2017; pp. 1–7. [Google Scholar]
- Basaia, S.; Agosta, F.; Wagner, L.; Canu, E.; Magnani, G.; Santangelo, R.; Filippi, M.; Alzheimer’s Disease Neuroimaging Initiative. Automated classification of Alzheimer’s disease and mild cognitive impairment using a single MRI and deep neural networks. NeuroImage Clin. 2019, 21, 101645. [Google Scholar] [CrossRef]
- Wang, S.H.; Phillips, P.; Sui, Y.; Liu, B.; Yang, M.; Cheng, H. Classification of Alzheimer’s disease based on eight-layer convolutional neural network with leaky rectified linear unit and max pooling. J. Med. Syst. 2018, 42, 1–11. [Google Scholar] [CrossRef]
- Karasawa, H.; Liu, C.L.; Ohwada, H. Deep 3d convolutional neural network architectures for alzheimer’s disease diagnosis. In Asian Conference on Intelligent Information and Database Systems; Springer: Cham, Switzerland, 2018; pp. 287–296. [Google Scholar]
- Tang, H.; Yao, E.; Tan, G.; Guo, X. A fast and accurate 3D fine-tuning convolutional neural network for Alzheimer’s disease diagnosis. In International CCF Conference on Artificial Intelligence; Springer: Singapore, 2018; pp. 115–126. [Google Scholar]
- Spasov, S.E.; Passamonti, L.; Duggento, A.; Liò, P.; Toschi, N. A multi-modal convolutional neural network framework for the prediction of Alzheimer’s disease. In Proceedings of the 2018 40th Annual International Conference of the IEEE Engineering in Medicine and Biology Society (EMBC), Honolulu, HI, USA, 18–21 July 2018; IEEE: Piscataway, NJ, USA, 2018; pp. 1271–1274. [Google Scholar]
- Wang, Y.; Yang, Y.; Guo, X.; Ye, C.; Gao, N.; Fang, Y.; Ma, H.T. A novel multimodal MRI analysis for Alzheimer’s disease based on convolutional neural network. In Proceedings of the 2018 40th Annual International Conference of the IEEE Engineering in Medicine and Biology Society (EMBC), Honolulu, HI, USA, 18–21 July 2018; IEEE: Piscataway, NJ, USA, 2018; pp. 754–757. [Google Scholar]
- Islam, J.; Zhang, Y. Brain MRI analysis for Alzheimer’s disease diagnosis using an ensemble system of deep convolutional neural networks. Brain Inform. 2018, 5, 2. [Google Scholar]
- Yue, L.; Gong, X.; Chen, K.; Mao, M.; Li, J.; Nandi, A.K.; Li, M. Auto-detection of Alzheimer’s disease using deep convolutional neural networks. In Proceedings of the 2018 14th International Conference on Natural Computation, Fuzzy Systems and Knowledge Discovery (ICNC-FSKD), Huangshan, China, 28–30 July 2018; IEEE: Piscataway, NJ, USA, 2018; pp. 228–234. [Google Scholar]
- Jain, R.; Jain, N.; Aggarwal, A.; Hemanth, D.J. Convolutional neural network based Alzheimer’s disease classification from magnetic resonance brain images. Cogn. Syst. Res. 2019, 57, 147–159. [Google Scholar]
- Huang, Y.; Xu, J.; Zhou, Y.; Tong, T.; Zhuang, X. Diagnosis of Alzheimer’s disease via multi-modality 3D convolutional neural network. Front. Neurosci. 2019, 13, 509. [Google Scholar]
- Goceri, E. Diagnosis of Alzheimer’s disease with Sobolev gradient-based optimization and 3D convolutional neural network. Int. J. Numer. Methods Biomed. Eng. 2019, 35, e3225. [Google Scholar]
- Zhang, F.; Li, Z.; Zhang, B.; Du, H.; Wang, B.; Zhang, X. Multi-modal deep learning model for auxiliary diagnosis of Alzheimer’s disease. Neurocomputing 2019, 361, 185–195. [Google Scholar]
- Basheera, S.; Ram, M.S.S. Convolution neural network–based Alzheimer’s disease classification using hybrid enhanced independent component analysis based segmented gray matter of T2 weighted magnetic resonance imaging with clinical valuation. Alzheimer’s Dement. Transl. Res. Clin. Interv. 2019, 5, 974–986. [Google Scholar] [CrossRef]
- Spasov, S.; Passamonti, L.; Duggento, A.; Lio, P.; Toschi, N.; Alzheimer’s Disease Neuroimaging Initiative. A parameter-efficient deep learning approach to predict conversion from mild cognitive impairment to Alzheimer’s disease. Neuroimage 2019, 189, 276–287. [Google Scholar]
- Ahmad, I.; Pothuganti, K. Analysis of different convolution neural network models to diagnose Alzheimer’s disease. Mater. Today Proc. 2020, in press. [Google Scholar] [CrossRef]
- Lopez-Martin, M.; Nevado, A.; Carro, B. Detection of early stages of Alzheimer’s disease based on MEG activity with a randomized convolutional neural network. Artif. Intell. Med. 2020, 107, 101924. [Google Scholar] [PubMed]
- Jiang, X.; Chang, L.; Zhang, Y.D. Classification of Alzheimer’s disease via eight-layer convolutional neural network with batch normalization and dropout techniques. J. Med. Imaging Health Inform. 2020, 10, 1040–1048. [Google Scholar] [CrossRef]
- Nawaz, A.; Anwar, S.M.; Liaqat, R.; Iqbal, J.; Bagci, U.; Majid, M. Deep Convolutional Neural Network based Classification of Alzheimer’s Disease using MRI Data. In Proceedings of the 2020 IEEE 23rd International Multitopic Conference (INMIC), Bahawalpur, Pakistan, 5–7 November 2020; IEEE: Piscataway, NJ, USA, 2020; pp. 1–6. [Google Scholar]
- Bae, J.B.; Lee, S.; Jung, W.; Park, S.; Kim, W.; Oh, H.; Han, J.W.; Kim, G.E.; Kim, J.S.; Kim, J.H.; et al. Identification of Alzheimer’s disease using a convolutional neural network model based on T1-weighted magnetic resonance imaging. Sci. Rep. 2020, 10, 22252. [Google Scholar]
- Jo, T.; Nho, K.; Risacher, S.L.; Saykin, A.J. Deep learning detection of informative features in tau PET for Alzheimer’s disease classification. BMC Bioinform. 2020, 21, 496. [Google Scholar] [CrossRef]
- Janghel, R.R.; Rathore, Y.K. Deep Convolution Neural Network Based System for Early Diagnosis of Alzheimer’s Disease. IRBM 2021, 42, 258–267. [Google Scholar]
- Sathiyamoorthi, V.; Ilavarasi, A.K.; Murugeswari, K.; Ahmed, S.T.; Devi, B.A.; Kalipindi, M. A deep convolutional neural network based computer aided diagnosis system for the prediction of Alzheimer’s disease in MRI images. Measurement 2021, 171, 108838. [Google Scholar] [CrossRef]
- Mehmood, A.; Maqsood, M.; Bashir, M.; Shuyuan, Y. A deep siamese convolution neural network for multi-class classification of alzheimer disease. Brain Sci. 2020, 10, 84. [Google Scholar]
- Raju, M.; Gopi, V.P.; Anitha, V.S.; Wahid, K.A. Multi-class diagnosis of Alzheimer’s disease using cascaded three dimensional-convolutional neural network. Phys. Eng. Sci. Med. 2020, 43, 1219–1228. [Google Scholar]
- Sun, J.; Yan, S.; Song, C.; Han, B. Dual-functional neural network for bilateral hippocampi segmentation and diagnosis of Alzheimer’s disease. Int. J. Comput. Assist. Radiol. Surg. 2020, 15, 445–455. [Google Scholar]
- Dyrba, M.; Hanzig, M.; Altenstein, S.; Bader, S.; Ballarini, T.; Brosseron, F.; Buerger, K.; Cantré, D.; Dechent, P.; Dobisch, L.; et al. Improving 3D convolutional neural network comprehensibility via interactive visualization of relevance maps: Evaluation in Alzheimer’s disease. arXiv 2020, arXiv:2012.10294. [Google Scholar]
- Feng, W.; Halm-Lutterodt, N.V.; Tang, H.; Mecum, A.; Mesregah, M.K.; Ma, Y.; Li, H.; Zhang, F.; Wu, Z.; Yao, E.; et al. Automated MRI-based deep learning model for detection of Alzheimer’s disease process. Int. J. Neural Syst. 2020, 30, 2050032. [Google Scholar]
- Solano-Rojas, B.; Villalón-Fonseca, R. A Low-Cost Three-Dimensional DenseNet Neural Network for Alzheimer’s Disease Early Discovery. Sensors 2021, 21, 1302. [Google Scholar] [CrossRef]
- Amini, M.; Pedram, M.; Moradi, A.; Ouchani, M. Diagnosis of Alzheimer’s Disease Severity with fMRI Images Using Robust Multitask Feature Extraction Method and Convolutional Neural Network (CNN). Comput. Math. Methods Med. 2021, 2021, 5514839. [Google Scholar]
- Turkson, R.E.; Qu, H.; Mawuli, C.B.; Eghan, M.J. Classification of Alzheimer’s Disease Using Deep Convolutional Spiking Neural Network. Neural Processing Lett. 2021, 53, 2649–2663. [Google Scholar] [CrossRef]
- Lee, J.; Burkett, B.; Min, H.K.; Senjem, M.; Lundt, E.; Botha, H.; Graff-Radford, J.; Barnard, L.; Gunter, J.; Schwarz, C.; et al. Deep learning-based brain age prediction in normal aging and dementia. Nat. Aging 2021, 2, 412–424. [Google Scholar]
- Greve, D.N.; Billot, B.; Cordero, D.; Hoopes, A.; Hoffmann, M.; Dalca, A.V.; Fischl, B.; Iglesias, J.E.; Augustinack, J.C. A deep learning toolbox for automatic segmentation of subcortical limbic structures from MRI images. Neuroimage 2021, 244, 118610. [Google Scholar]
- Ushizima, D.; Chen, Y.; Alegro, M.; Ovando, D.; Eser, R.; Lee, W.; Poon, K.; Shankar, A.; Kantamneni, N.; Satrawada, S.; et al. Deep Learning for Alzheimer’s Disease: Mapping Large-scale Histological Tau Protein for Neuroimaging Biomarker Validation. NeuroImage 2021, 248, 118790. [Google Scholar]
- Lu, D.; Popuri, K.; Ding, G.W.; Balachandar, R.; Beg, M.F. Multimodal and multiscale deep neural networks for the early diagnosis of Alzheimer’s disease using structural MR and FDG-PET images. Sci. Rep. 2018, 8, 5697. [Google Scholar] [CrossRef] [Green Version]
- Liu, S.; Liu, S.; Cai, W.; Pujol, S.; Kikinis, R.; Feng, D. Early diagnosis of Alzheimer’s disease with deep learning. In Proceedings of the 2014 IEEE 11th International Symposium on Biomedical Imaging (ISBI), Beijing, China, 29 April–2 May 2014; IEEE: Piscataway, NJ, USA, 2014; pp. 1015–1018. [Google Scholar]
- Lu, D.; Popuri, K.; Ding, G.W.; Balachandar, R.; Beg, M.F.; Alzheimer’s Disease Neuroimaging Initiative. Multiscale deep neural network based analysis of FDG-PET images for the early diagnosis of Alzheimer’s disease. Med. Image Anal. 2018, 46, 26–34. [Google Scholar]
- Lee, G.; Nho, K.; Kang, B.; Sohn, K.A.; Kim, D. Predicting Alzheimer’s disease progression using multi-modal deep learning approach. Sci. Rep. 2019, 9, 1952. [Google Scholar]
- Ortiz, A.; Munilla, J.; Gorriz, J.M.; Ramirez, J. Ensembles of deep learning architectures for the early diagnosis of the Alzheimer’s disease. Int. J. Neural Syst. 2016, 26, 1650025. [Google Scholar]
- Ma, D.; Lu, D.; Popuri, K.; Wang, L.; Beg, M.F.; Alzheimer’s Disease Neuroimaging Initiative. Differential Diagnosis of Frontotemporal Dementia, Alzheimer’s Disease, and Normal Aging Using a Multi-Scale Multi-Type Feature Generative Adversarial Deep Neural Network on Structural Magnetic Resonance Images. Front. Neurosci. 2020, 14, 853. [Google Scholar]
- Zhang, X.; Han, L.; Zhu, W.; Sun, L.; Zhang, D. An Explainable 3D Residual Self-Attention Deep Neural Network For Joint Atrophy Localization and Alzheimer’s Disease Diagnosis using Structural MRI. IEEE J. Biomed. Health Inform. 2021. [Google Scholar] [CrossRef] [PubMed]
- Payan, A.; Montana, G. Predicting Alzheimer’s disease: A neuroimaging study with 3D convolutional neural networks. arXiv 2015, arXiv:1502.02506. [Google Scholar]
- Hosseini-Asl, E.; Keynton, R.; El-Baz, A. Alzheimer’s disease diagnostics by adaptation of 3D convolutional network. In Proceedings of the 2016 IEEE International Conference on Image Processing (ICIP), Phoenix, AZ, USA, 25–28 September 2016; IEEE: Piscataway, NJ, USA, 2016; pp. 126–130. [Google Scholar]
- Vu, T.D.; Ho, N.H.; Yang, H.J.; Kim, J.; Song, H.C. Non-white matter tissue extraction and deep convolutional neural network for Alzheimer’s disease detection. Soft Comput. 2018, 22, 6825–6833. [Google Scholar] [CrossRef]
- Warnita, T.; Inoue, N.; Shinoda, K. Detecting Alzheimer’s disease using gated convolutional neural network from audio data. arXiv 2018, arXiv:1803.11344. [Google Scholar]
- Feng, C.; Elazab, A.; Yang, P.; Wang, T.; Lei, B.; Xiao, X. 3D convolutional neural network and stacked bidirectional recurrent neural network for Alzheimer’s disease diagnosis. In International Workshop on Predictive Intelligence in Medicine; Springer: Cham, Switzerland, 2018; pp. 138–146. [Google Scholar]
- Li, F.; Liu, M.; Alzheimer’s Disease Neuroimaging Initiative. A hybrid convolutional and recurrent neural network for hippocampus analysis in Alzheimer’s disease. J. Neurosci. Methods 2019, 323, 108–118. [Google Scholar]
- Oh, K.; Chung, Y.C.; Kim, K.W.; Kim, W.S.; Oh, I.S. Classification and visualization of Alzheimer’s disease using volumetric convolutional neural network and transfer learning. Sci. Rep. 2019, 9, 18150. [Google Scholar]
- Chien, Y.W.; Hong, S.Y.; Cheah, W.T.; Yao, L.H.; Chang, Y.L.; Fu, L.C. An automatic assessment system for Alzheimer’s disease based on speech using feature sequence generator and recurrent neural network. Sci. Rep. 2019, 9, 19597. [Google Scholar]
- Kruthika, K.R.; Maheshappa, H.D.; Alzheimer’s Disease Neuroimaging Initiative. CBIR system using Capsule Networks and 3D CNN for Alzheimer’s disease diagnosis. Inform. Med. Unlocked 2019, 14, 59–68. [Google Scholar] [CrossRef]
- Basher, A.; Kim, B.C.; Lee, K.H.; Jung, H.Y. Volumetric Feature-Based Alzheimer’s Disease Diagnosis From sMRI Data Using a Convolutional Neural Network and a Deep Neural Network. IEEE Access 2021, 9, 29870–29882. [Google Scholar] [CrossRef]
- Roshanzamir, A.; Aghajan, H.; Baghshah, M.S. Transformer-based deep neural network language models for Alzheimer’s disease risk assessment from targeted speech. BMC Med. Inform. Decis. Mak. 2021, 21, 92. [Google Scholar]
- Zhang, J.; Zheng, B.; Gao, A.; Feng, X.; Liang, D.; Long, X. A 3D densely connected convolution neural network with connection-wise attention mechanism for Alzheimer’s disease classification. Magn. Reson. Imaging 2021, 78, 119–126. [Google Scholar]




Publisher’s Note: MDPI stays neutral with regard to jurisdictional claims in published maps and institutional affiliations. |
© 2022 by the authors. Licensee MDPI, Basel, Switzerland. This article is an open access article distributed under the terms and conditions of the Creative Commons Attribution (CC BY) license (https://creativecommons.org/licenses/by/4.0/).
Share and Cite
Saleem, T.J.; Zahra, S.R.; Wu, F.; Alwakeel, A.; Alwakeel, M.; Jeribi, F.; Hijji, M. Deep Learning-Based Diagnosis of Alzheimer’s Disease. J. Pers. Med. 2022, 12, 815. https://doi.org/10.3390/jpm12050815
Saleem TJ, Zahra SR, Wu F, Alwakeel A, Alwakeel M, Jeribi F, Hijji M. Deep Learning-Based Diagnosis of Alzheimer’s Disease. Journal of Personalized Medicine. 2022; 12(5):815. https://doi.org/10.3390/jpm12050815
Chicago/Turabian StyleSaleem, Tausifa Jan, Syed Rameem Zahra, Fan Wu, Ahmed Alwakeel, Mohammed Alwakeel, Fathe Jeribi, and Mohammad Hijji. 2022. "Deep Learning-Based Diagnosis of Alzheimer’s Disease" Journal of Personalized Medicine 12, no. 5: 815. https://doi.org/10.3390/jpm12050815
APA StyleSaleem, T. J., Zahra, S. R., Wu, F., Alwakeel, A., Alwakeel, M., Jeribi, F., & Hijji, M. (2022). Deep Learning-Based Diagnosis of Alzheimer’s Disease. Journal of Personalized Medicine, 12(5), 815. https://doi.org/10.3390/jpm12050815

