Assessment of a Manual Method versus an Automated, Probability-Based Algorithm to Identify Patients at High Risk for Pharmacogenomic Adverse Drug Outcomes in a University-Based Health Insurance Program
Abstract
:1. Introduction
2. Materials and Methods
2.1. Study Population
2.2. Study Design
2.3. Manual Method
2.4. Automated Algorithm
3. Results
3.1. Manual Method Results
3.2. Automated Algorithm Results
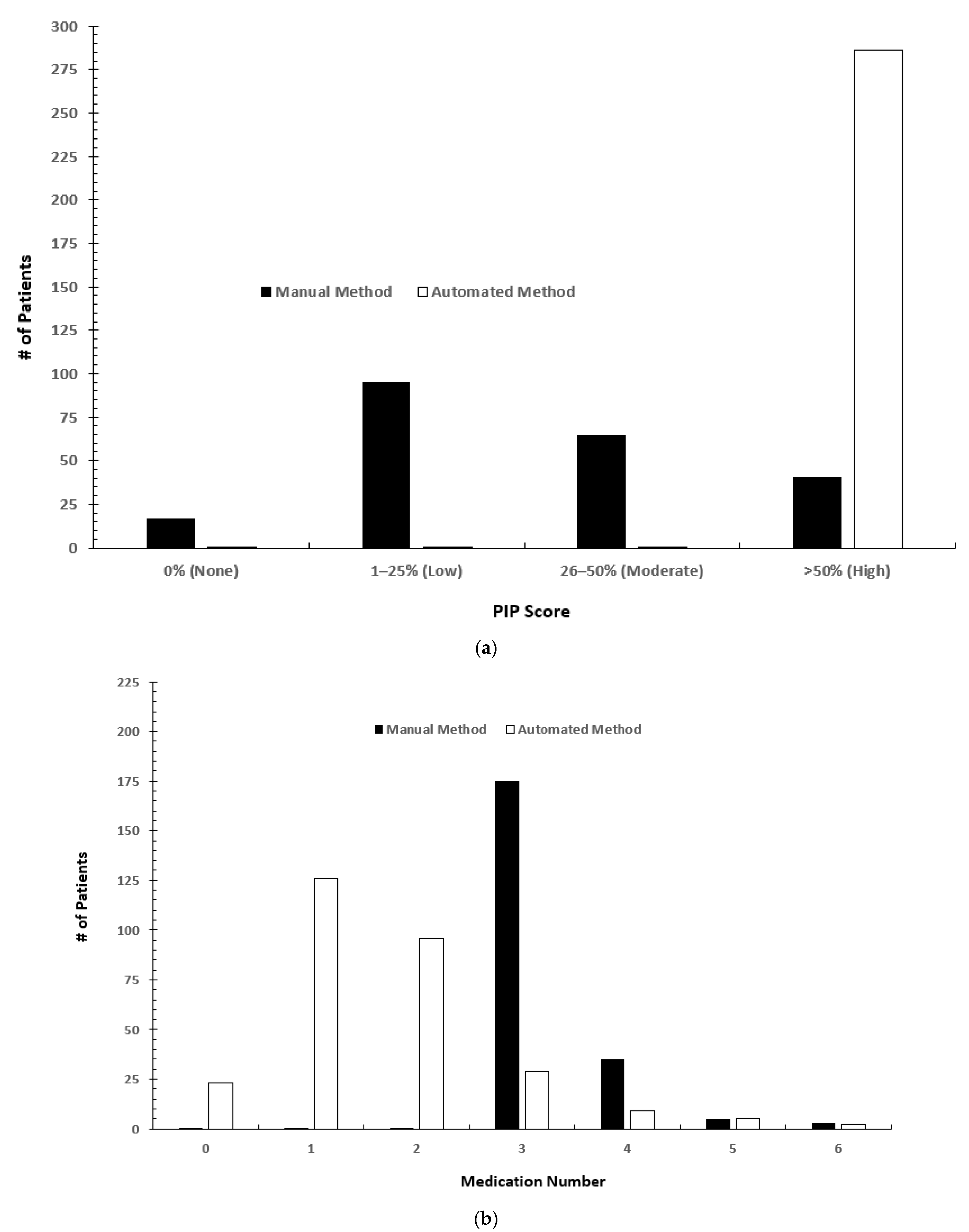
3.3. Comparison of Cohorts
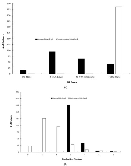
3.4. Medication Usage
4. Discussion
5. Conclusions
Author Contributions
Funding
Institutional Review Board Statement
Informed Consent Statement
Data Availability Statement
Conflicts of Interest
References
- Sperber, N.R.; Carpenter, J.S.; Cavallari, L.H.; Damschroder, L.J.; Cooper-DeHoff, R.M.; Denny, J.C.; Ginsburg, G.S.; Guan, Y.; Horowitz, C.R.; Levy, K.D. Challenges and strategies for implementing genomic services in diverse settings: Experiences from the Implementing GeNomics In pracTicE (IGNITE) network. BMC Med. Genom. 2017, 10, 35. [Google Scholar] [CrossRef] [PubMed]
- Smith, D.M.; Peshkin, B.N.; Springfield, T.B.; Brown, R.P.; Hwang, E.; Kmiecik, S.; Shapiro, R.; Eldadah, Z.; Lundergan, C.; Mcalduff, J.; et al. Pharmacogenetics in Practice: Estimating the Clinical Actionability of Pharmacogenetic Testing in Perioperative and Ambulatory Settings. Clin. Transl. Sci. 2020, 13, 618–627. [Google Scholar] [CrossRef] [PubMed] [Green Version]
- Luzum, J.A.; Pakyz, R.E.; Elsey, A.R.; Haidar, C.E.; Peterson, J.F.; Whirl-Carrillo, M.; Handelman, S.; Palmer, K.; Pulley, J.M.; Beller, M.; et al. The Pharmacogenomics Research Network Translational Pharmacogenetics Program: Outcomes and Metrics of Pharmacogenetic Implementations Across Diverse Healthcare Systems. Clin. Pharmacol. Ther. 2017, 102, 502–510. [Google Scholar] [CrossRef] [PubMed]
- Volpi, S.; Bult, C.J.; Chisholm, R.L.; Deverka, P.A.; Ginsburg, G.S.; Jacob, H.J.; Kasapi, M.; McLeod, H.L.; Roden, D.M.; Williams, M.S.; et al. Research Directions in the Clinical Implementation of Pharmacogenomics: An Overview of US Programs and Projects. Clin. Pharmacol. Ther. 2018, 103, 778–786. [Google Scholar] [CrossRef] [PubMed]
- CPIC: Clinical Pharmacogenetics Implementation Consortium. Available online: https://cpicpgx.org/guidelines/ (accessed on 25 October 2021).
- Relling, M.V.; Klein, T.E.; Gammal, R.; Whirl-Carrillo, M.; Hoffman, J.M.; Caudle, K.E. The Clinical Pharmacogenetics Implementation Consortium: 10 Years Later. Clin. Pharmacol. Ther. 2019, 107, 171–175. [Google Scholar] [CrossRef] [PubMed]
- Relling, M.V.; Klein, T.E. CPIC: Clinical Pharmacogenetics Implementation Consortium of the Pharmacogenomics Research Network. Clin. Pharmacol. Ther. 2011, 89, 464–467. [Google Scholar] [CrossRef]
- Swen, J.J.; Wilting, I.; de Goede, A.L.; Grandia, L.; Mulder, H.; Touw, D.J.; de Boer, A.; Conemans, J.M.H.; Egberts, T.C.G.; Klungel, O.H.; et al. Pharmacogenetics: From bench to byte. Clin. Pharm. Ther. 2008, 83, 781–787. [Google Scholar] [CrossRef]
- Table of Pharmacogenomic Biomarkers in Drug Labeling. Available online: https://www.fda.gov/drugs/science-and-research-drugs/table-pharmacogenomic-biomarkers-drug-labeling (accessed on 25 October 2021).
- Weitzel, K.W.; Cavallari, L.H.; Lesko, L.J. Preemptive Panel-Based Pharmacogenetic Testing: The Time is Now. Pharm. Res. 2017, 34, 1551–1555. [Google Scholar] [CrossRef]
- Weitzel, K.W.; Smith, D.M.; Elsey, A.R.; Duong, B.Q.; Burkley, B.; Clare-Salzler, M.; Gong, Y.; Higgins, T.A.; Kong, B.; Langaee, T.; et al. Implementation of Standardized Clinical Processes for TPMT Testing in a Diverse Multidisciplinary Population: Challenges and Lessons Learned. Clin. Transl. Sci. 2018, 11, 175–181. [Google Scholar] [CrossRef]
- Cicali, E.J.; Weitzel, K.W.; Elsey, A.R.; Orlando, F.A.; Vinson, M.; Mosley, S.; Smith, D.M.; Davis, R.; Drum, L.; Estores, D.; et al. Challenges and lessons learned from clinical pharmacogenetic implementation of multiple gene–drug pairs across ambulatory care settings. Genet. Med. 2019, 21, 2264–2274. [Google Scholar] [CrossRef]
- Schildcrout, J.S.; Denny, J.C.; Bowton, E.; Gregg, W.; Pulley, J.M.; Basford, M.A.; Cowan, J.D.; Xu, H.; Ramirez, A.H.; Crawford, D.; et al. Optimizing Drug Outcomes Through Pharmacogenetics: A Case for Preemptive Genotyping. Clin. Pharmacol. Ther. 2012, 92, 235–242. [Google Scholar] [CrossRef] [PubMed]
- Shi, Y.; Graves, J.A.; Garbett, S.P.; Zhou, Z.; Marathi, R.; Wang, X.; Harrell, F.E.; Lasko, T.A.; Denny, J.C.; Roden, D.M.; et al. A Decision-Theoretic Approach to Panel-Based, Preemptive Genotyping. MDM Policy Pr. 2019, 4. [Google Scholar] [CrossRef] [PubMed] [Green Version]
- Marrero, R.J.; Cicali, E.J.; Arwood, M.J.; Eddy, E.; DeRemer, D.; Ramnaraign, B.H.; Daily, K.C.; Jones, D.; Cook, K.; Cavallari, L.H.; et al. How to Transition from Single-Gene Pharmacogenetic Testing to Preemptive Panel-Based Testing: A Tutorial. Clin. Pharmacol. Ther. 2020, 108, 557–565. [Google Scholar] [CrossRef] [PubMed]
- Elliott, L.S.; Henderson, J.C.; Neradilek, M.B.; Moyer, N.A.; Ashcraft, K.C.; Thirumaran, R.K. Clinical impact of pharmacogenetic profiling with a clinical decision support tool in polypharmacy home health patients: A prospective pilot randomized controlled trial. PLoS ONE 2017, 12, e0170905. [Google Scholar] [CrossRef] [PubMed] [Green Version]
- Brixner, D.; Biltaji, E.; Bress, A.; Unni, S.; Ye, X.; Mamiya, T.; Ashcraft, K.; Biskupiak, J. The effect of pharmacogenetic profiling with a clinical decision support tool on healthcare resource utilization and estimated costs in the elderly exposed to polypharmacy. J. Med. Econ. 2015, 19, 213–228. [Google Scholar] [CrossRef]
- Reynolds, K.K.; Pierce, D.L.; Weitendorf, F.; Linder, M.W. Avoidable drug–gene conflicts and polypharmacy interactions in patients participating in a personalized medicine program. Pers. Med. 2017, 14, 221–233. [Google Scholar] [CrossRef]
- RxNorm RESTful Web API.: National Library of Medicine. Available online: https://rxnav.nlm.nih.gov/RxNormAPIREST.html (accessed on 25 October 2021).
- Coleman, H.C.; Patterson, R.D.; Oesterheld, J.; Pany, R.V.; Ashcraft, K. Systems and Methods for Quantification and Presentation of Medical Risk Arising from Unknown Factors. U.S. Patent 10,210,312, 19 February 2019. [Google Scholar]
- Griffin, S.J.; Little, P.S.; Hales, C.N.; Kinmonth, A.L.; Wareham, N.J. Diabetes risk score: Towards earlier detection of type 2 diabetes in general practice. Diabetes Metab. Res. Rev. 2000, 16, 164–171. [Google Scholar] [CrossRef]
- Shah, R.R.; Smith, R.L. Addressing phenoconversion: The Achilles’ heel of personalized medicine. Br. J. Clin. Pharmacol. 2015, 79, 222–240. [Google Scholar] [CrossRef] [Green Version]
- Blagec, K.; Kuch, W.; Samwald, M. The Importance of Gene-Drug-Drug-Interactions in Pharmacogenomics Decision Support: An Analysis Based on Austrian Claims Data. Stud. Health Technol. Inform. 2017, 236, 121–127. [Google Scholar]
- Verbeurgt, P.; Mamiya, T.; Oesterheld, J. How common are drug and gene interactions? Prevalence in a sample of 1143 patients with CYP2C9, CYP2C19 and CYP2D6 genotyping. Pharmacogenomics 2014, 15, 655–665. [Google Scholar] [CrossRef]
- Ashcraft, K.; Moretz, C.; Schenning, C.; Rojahn, S.; Tanudtanud, K.V.; Magoncia, G.O.; Reyes, J.; Marquez, B.; Guo, Y.; Erdemir, E.T.; et al. Unmanaged Pharmacogenomic and Drug Interaction Risk Associations with Hospital Length of Stay among Medicare Advantage Members with COVID-19: A Retrospective Cohort Study. J. Pers. Med. 2021, 11, 1192. [Google Scholar] [CrossRef] [PubMed]
- Chanfreau-Coffinier, C.; Hull, L.E.; Lynch, J.A.; Duvall, S.L.; Damrauer, S.M.; Cunningham, F.E.; Voight, B.F.; Matheny, M.; Oslin, D.W.; Icardi, M.S.; et al. Projected Prevalence of Actionable Pharmacogenetic Variants and Level A Drugs Prescribed Among US Veterans Health Administration Pharmacy Users. JAMA Netw. Open 2019, 2, e195345. [Google Scholar] [CrossRef] [PubMed]
- Ji, Y.; Skierka, J.M.; Blommel, J.H.; Moore, B.E.; VanCuyk, D.L.; Bruflat, J.K.; Peterson, L.M.; Veldhuizen, T.L.; Fadra, N.; Peterson, S.E. Preemptive Pharmacogenomic Testing for Precision Medicine: A Comprehensive Analysis of Five Actionable Pharmacogenomic Genes Using Next-Generation DNA Sequencing and a Customized CYP2D6 Genotyping Cascade. J. Mol. Diagn. 2016, 18, 438–445. [Google Scholar] [CrossRef] [PubMed] [Green Version]
- Viktil, K.K.; Blix, H.S.; Eek, A.K.; Davies, M.N.; A Moger, T.; Reikvam, A. How are drug regimen changes during hospitalisation handled after discharge: A cohort study. BMJ Open 2012, 2, e001461. [Google Scholar] [CrossRef] [Green Version]
- Johnson, J.A.; Caudle, K.E.; Gong, L.; Whirl-Carrillo, M.; Stein, C.M.; Scott, S.A.; Lee, M.; Gage, B.; Kimmel, S.; Perera, M.; et al. Clinical Pharmacogenetics Implementation Consortium (CPIC) Guideline for Pharmacogenetics-Guided Warfarin Dosing: 2017 Update. Clin. Pharm. Ther. 2017, 102, 397–404. [Google Scholar] [CrossRef] [Green Version]
- Lopressor-Metoprolol Tartrate Tablet; Validus Pharmaceuticals LLC.: Parsippany, NJ, USA, 2021. Available online: https://dailymed.nlm.nih.gov/dailymed/drugInfo.cfm?setid=0283bc9d-6998-493a-824a-d4c85f704111 (accessed on 25 August 2021).



| A. Gene | B. Medication Class | C. Both Methods | D. Manual Only | E. Automated Only |
|---|---|---|---|---|
| CYP2C19 | antifungal | voriconazole | ||
| antiplatelet | cilostazol | |||
| clopidogrel | ||||
| benzodiazepine | clobazam | |||
| proton pump inhibitor | esomeprazole | |||
| dexlansoprazole | ||||
| lansoprazole | ||||
| omeprazole | ||||
| pantoprazole | ||||
| rabeprazole | ||||
| SSRI | citalopram | |||
| escitalopram | ||||
| sertraline | ||||
| tricyclic antidepressant | amitriptyline | |||
| clomipramine | ||||
| doxepin | ||||
| imipramine | ||||
| trimipramine | ||||
| CYP2D6 | 5-HT3 antagonist | ondansetron | ||
| alpha adrenergic blocker | tamsulosin | |||
| alpha agonist | clonidine | |||
| antiarrhythmic | flecainide | |||
| mexiletine | ||||
| risperidone | ||||
| anticholinergic | benztropine | |||
| antiestrogen | tamoxifen | |||
| antihistamine | meclizine | |||
| antipsychotic | haloperidol | |||
| pimozide | ||||
| propafenone | ||||
| anxiolytic | buspirone | |||
| atypical antipsychotic | aripiprazole | |||
| brexpiprazole | ||||
| beta blocker | metoprolol | |||
| nebivolol | ||||
| timolol | ||||
| CNS stimulant | lisdexamfetamine | |||
| methamphetamine | ||||
| pain | codeine | |||
| hydrocodone | ||||
| oxycodone | ||||
| tramadol | ||||
| phenothiazine | promethazine | |||
| serotonin modulator | vortioxetine | |||
| SNRI | atomoxetine | |||
| venlafaxine | ||||
| SSRI | fluvoxamine | |||
| paroxetine | ||||
| tricyclic antidepressant | amitriptyline | |||
| clomipramine | ||||
| desipramine | ||||
| doxepin | ||||
| imipramine | ||||
| nortriptyline | ||||
| trimipramine | ||||
| CYP2C9 | angiotensin receptor blocker | azilsartan | ||
| anticoagulant | warfarin | |||
| antiepileptic | phenytoin | |||
| nonsteroidal anti-inflammatory | celecoxib | |||
| mefenamic acid | ||||
| sulfonylurea | glimepiride | |||
| CYP3A5 | immunosuppressant | tacrolimus | ||
| CYP4F2 | anticoagulant | warfarin | ||
| SLCO1B1 | statin | simvastatin | ||
| TPMT | immunosuppressant | azathioprine | ||
| purine antagonist | mercaptopurine | |||
| purine analog | thioguanine | |||
| VKORC1 | anticoagulant | warfarin |
| Eligible Patients (n = 6916) | Manual Cohort (n = 218) | Automated Cohort (n = 286) | p-Value | |||
|---|---|---|---|---|---|---|
| Manual vs. Eligible Cohort | Automated vs. Eligible Cohort | Manual vs. Automated | ||||
| Age, years (mean, SD) | 35 ± 17.4 | 33 ± 16.8 | 34 ± 17.5 | 0.09 | 0.31 | 0.57 |
| Sex (n, %) | 0.07 | 0.03 | 0.95 | |||
| Male | 2647, 38% | 97, 45% | 128, 45% | |||
| Female | 4269, 62% | 121, 55% | 158, 55% | |||
| Metric | Manual Cohort n = 218 | Automated Cohort n = 286 | p Value |
|---|---|---|---|
| Average unique medication count per patient, mean ± SD | 9.8 ± 4.1 | 7.4 ± 3.9 | <0.0001 |
| Drug interactions mean (moderate-or-higher severity), mean ± SD | 3.3 ± 2.6 | 1.1 ± 1.9 | <0.0001 |
| Drug interactions (moderate-or-higher severity), % patients | 80.3% | 40.2% | <0.0001 |
| Average Pharmacogenetic Interaction Probability (PIP) score, % (range) | 29% (0–81%) | 62% (51–81%) | <0.0001 |
| At least one ER Visit Q4 2018, % patients | 26.6% | 11.2% | <0.0001 |
| ER visit claim cost, overall, mean ± SD | USD 558 ± 1150 | USD 253 ± 873 | 0.001 |
| Inpatient visit(s) Q4 2018, % patients | 19.3% | 6.6% | <0.0001 |
| Inpatient claim cost, overall, mean ± SD | USD 4423 ± 16,981 | USD 3607 ± 27,006 | 0.68 |
Publisher’s Note: MDPI stays neutral with regard to jurisdictional claims in published maps and institutional affiliations. |
© 2022 by the authors. Licensee MDPI, Basel, Switzerland. This article is an open access article distributed under the terms and conditions of the Creative Commons Attribution (CC BY) license (https://creativecommons.org/licenses/by/4.0/).
Share and Cite
Grande, K.J.; Dalton, R.; Moyer, N.A.; Arwood, M.J.; Nguyen, K.A.; Sumfest, J.; Ashcraft, K.C.; Cooper-DeHoff, R.M. Assessment of a Manual Method versus an Automated, Probability-Based Algorithm to Identify Patients at High Risk for Pharmacogenomic Adverse Drug Outcomes in a University-Based Health Insurance Program. J. Pers. Med. 2022, 12, 161. https://doi.org/10.3390/jpm12020161
Grande KJ, Dalton R, Moyer NA, Arwood MJ, Nguyen KA, Sumfest J, Ashcraft KC, Cooper-DeHoff RM. Assessment of a Manual Method versus an Automated, Probability-Based Algorithm to Identify Patients at High Risk for Pharmacogenomic Adverse Drug Outcomes in a University-Based Health Insurance Program. Journal of Personalized Medicine. 2022; 12(2):161. https://doi.org/10.3390/jpm12020161
Chicago/Turabian StyleGrande, Kendra J., Rachel Dalton, Nicolas A. Moyer, Meghan J. Arwood, Khoa A. Nguyen, Jill Sumfest, Kristine C. Ashcraft, and Rhonda M. Cooper-DeHoff. 2022. "Assessment of a Manual Method versus an Automated, Probability-Based Algorithm to Identify Patients at High Risk for Pharmacogenomic Adverse Drug Outcomes in a University-Based Health Insurance Program" Journal of Personalized Medicine 12, no. 2: 161. https://doi.org/10.3390/jpm12020161
APA StyleGrande, K. J., Dalton, R., Moyer, N. A., Arwood, M. J., Nguyen, K. A., Sumfest, J., Ashcraft, K. C., & Cooper-DeHoff, R. M. (2022). Assessment of a Manual Method versus an Automated, Probability-Based Algorithm to Identify Patients at High Risk for Pharmacogenomic Adverse Drug Outcomes in a University-Based Health Insurance Program. Journal of Personalized Medicine, 12(2), 161. https://doi.org/10.3390/jpm12020161

