Incidence and Time Point of Sepsis Detection as Related to Different Sepsis Definitions in Severely Burned Patients and Their Accompanying Time Course of Pro-Inflammatory Biomarkers
Abstract
:1. Introduction
2. Materials and Methods
2.1. Ethics Approval
2.2. Participants
2.3. Measurement of Serum Plasma Biomarker Concentration
2.4. Patient-Related Data
2.5. Definition of Nosocomial Infections
2.6. Definitions of Sepsis
- American Burns Association 2007 (Sepsis ABA 2007)
- Sepsis-3
- Zurich Burn Center
2.7. Statistical Analysis
3. Results
3.1. Baseline Characteristics as Related to Different Sepsis Definitions
3.2. Biomarker Time Course as Related to Different Sepsis Definitions
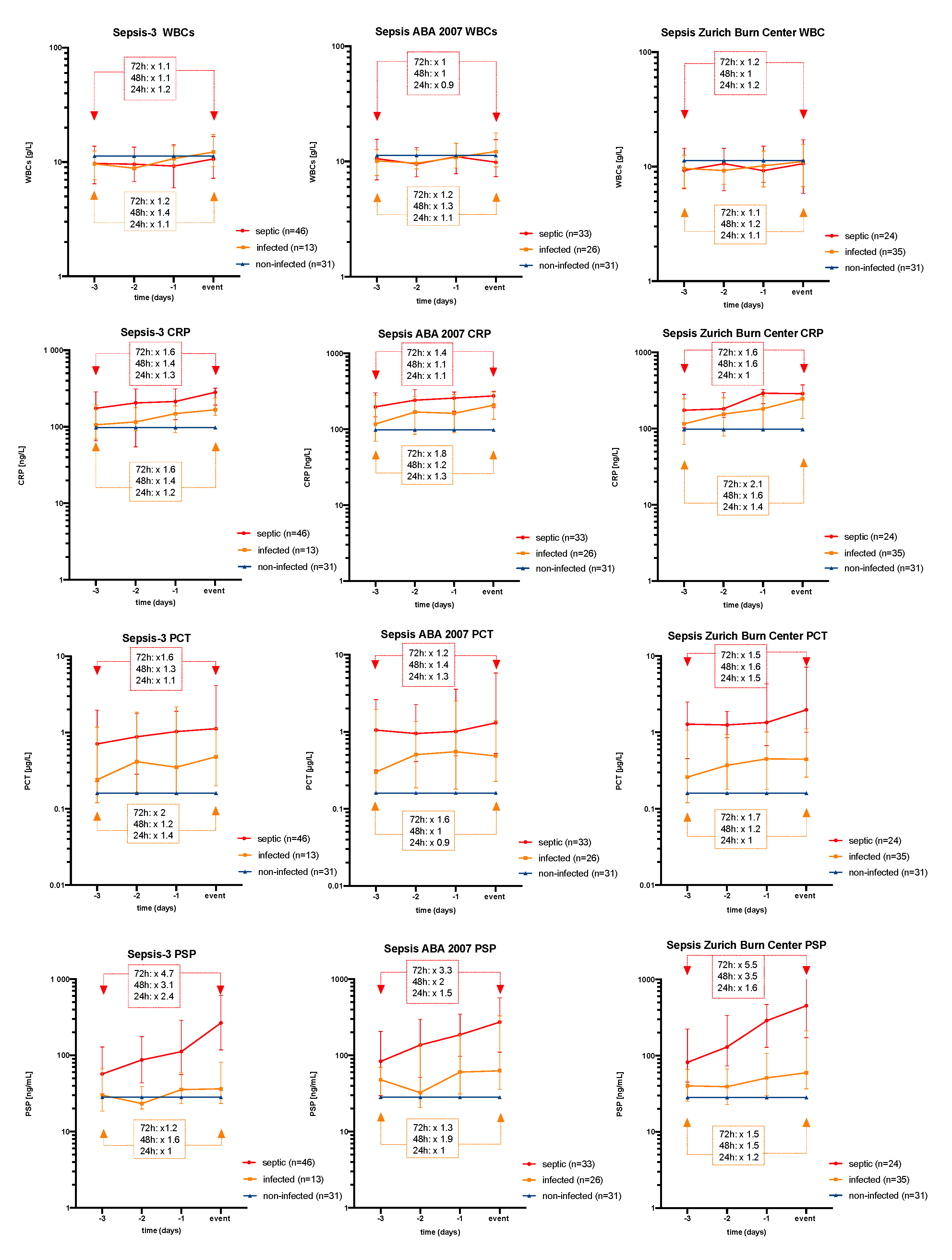
3.3. Biomarker Time Course as Related to The Event of Sepsis
4. Discussion
5. Conclusions
Supplementary Materials
Author Contributions
Funding
Institutional Review Board Statement
Informed Consent Statement
Data Availability Statement
Conflicts of Interest
Patents
References
- Lang, T.C.; Zhao, R.; Kim, A.; Wijewardena, A.; Vandervord, J.; Xue, M.; Jackson, C.J. A Critical Update of the Assessment and Acute Management of Patients with Severe Burns. Adv. Wound Care 2019, 8, 607–633. [Google Scholar] [CrossRef] [Green Version]
- Manning, J. Sepsis in the Burn Patient. Crit. Care Nurs. Clin. N. Am. 2018, 30, 423–430. [Google Scholar] [CrossRef]
- Vincent, J.L. The Clinical Challenge of Sepsis Identification and Monitoring. PLoS Med. 2016, 13, e1002022. [Google Scholar] [CrossRef] [Green Version]
- Pierrakos, C.; Vincent, J.L. Sepsis biomarkers: A review. Crit. Care 2010, 14, R15. [Google Scholar] [CrossRef] [Green Version]
- Fang, X.; Wang, Z.; Yang, J.; Cai, H.; Yao, Z.; Li, K.; Fang, Q. Clinical Evaluation of Sepsis-1 and Sepsis-3 in the ICU. Chest 2018, 153, 1169–1176. [Google Scholar] [CrossRef]
- Poutsiaka, D.D.; Porto, M.C.; Perry, W.A.; Hudcova, J.; Tybor, D.J.; Hadley, S.; Doron, S.; Reich, J.A.; Snydman, D.R.; Nasraway, S.A. Prospective Observational Study Comparing Sepsis-2 and Sepsis-3 Definitions in Predicting Mortality in Critically Ill Patients. Open Forum Infect. Dis. 2019, 6, ofz271. [Google Scholar] [CrossRef]
- Levy, M.M.; Fink, M.P.; Marshall, J.C.; Abraham, E.; Angus, D.; Cook, D.; Cohen, J.; Opal, S.M.; Vincent, J.L.; Ramsay, G.; et al. 2001 SCCM/ESICM/ACCP/ATS/SIS International Sepsis Definitions Conference. Crit. Care Med. 2003, 31, 1250–1256. [Google Scholar] [CrossRef] [PubMed]
- Tridente, A. Sepsis 3 and the burns patient: Do we need Sepsis 3.1? Scars Burn Health 2018, 4. [Google Scholar] [CrossRef] [PubMed] [Green Version]
- Singer, M.; Deutschman, C.S.; Seymour, C.W.; Shankar-Hari, M.; Annane, D.; Bauer, M.; Bellomo, R.; Bernard, G.R.; Chiche, J.D.; Coopersmith, C.M.; et al. The Third International Consensus Definitions for Sepsis and Septic Shock (Sepsis-3). JAMA 2016, 315, 801–810. [Google Scholar] [CrossRef]
- Stanojcic, M.; Vinaik, R.; Jeschke, M.G. Status and Challenges of Predicting and Diagnosing Sepsis in Burn Patients. Surg. Infect. Larchmt 2018, 19, 168–175. [Google Scholar] [CrossRef] [PubMed]
- Yan, J.; Hill, W.F.; Rehou, S.; Pinto, R.; Shahrokhi, S.; Jeschke, M.G. Sepsis criteria versus clinical diagnosis of sepsis in burn patients: A validation of current sepsis scores. Surgery 2018, 164, 1241–1245. [Google Scholar] [CrossRef] [PubMed]
- Ni Choileain, N.; Redmond, H.P. Cell response to surgery. Arch. Surg. 2006, 141, 1132–1140. [Google Scholar] [CrossRef] [Green Version]
- Cabral, L.; Afreixo, V.; Meireles, R.; Vaz, M.; Marques, M.; Tourais, I.; Chaves, C.; Almeida, L.; Paiva, J.A. Procalcitonin kinetics after burn injury and burn surgery in septic and non-septic patients—A retrospective observational study. BMC Anesthesiol. 2018, 18, 122. [Google Scholar] [CrossRef] [PubMed]
- Klein, H.J.; Buehler, P.K.; Niggemann, P.; Rittirsch, D.; Schweizer, R.; Waldner, M.; Giovanoli, P.; Cinelli, P.; Reding, T.; Graf, R.; et al. Expression of Pancreatic Stone Protein is Unaffected by Trauma and Subsequent Surgery in Burn Patients. World J. Surg. 2020, 44, 3000–3009. [Google Scholar] [CrossRef]
- Eggimann, P.; Que, Y.A.; Rebeaud, F. Measurement of pancreatic stone protein in the identification and management of sepsis. Biomark Med. 2019, 13, 135–145. [Google Scholar] [CrossRef] [PubMed] [Green Version]
- Prazak, J.; Irincheeva, I.; Llewelyn, M.J.; Stolz, D.; de Guadiana Romualdo, L.G.; Graf, R.; Reding, T.; Klein, H.J.; Eggimann, P.; Que, Y.A. Accuracy of pancreatic stone protein for the diagnosis of infection in hospitalized adults: A systematic review and individual patient level meta-analysis. Crit. Care 2021, 25, 182. [Google Scholar] [CrossRef]
- Pugin, J.; Daix, T.; Pagani, J.L.; Morri, D.; Giacomucci, A.; Dequin, P.F.; Guitton, C.; Que, Y.A.; Zani, G.; Brealey, D.; et al. Serial measurement of pancreatic stone protein for the early detection of sepsis in intensive care unit patients: A prospective multicentric study. Crit. Care 2021, 25, 151. [Google Scholar] [CrossRef] [PubMed]
- Klein, H.J.; Niggemann, P.; Buehler, P.K.; Lehner, F.; Schweizer, R.; Rittirsch, D.; Fuchs, N.; Waldner, M.; Steiger, P.; Giovanoli, P.; et al. Pancreatic Stone Protein Predicts Sepsis in Severely Burned Patients Irrespective of Trauma Severity: A Monocentric Observational Study. Ann. Surg. 2020. [Google Scholar] [CrossRef]
- Faul, F.; Erdfelder, E.; Buchner, A.; Lang, A.-G. Statistical power analyses using G*Power 3.1: Tests for correlation and regression analyses. Behav. Res. Methods 2009, 41, 1149–1160. [Google Scholar] [CrossRef] [Green Version]
- Bimmler, D.; Schiesser, M.; Perren, A.; Scheele, G.; Angst, E.; Meili, S.; Ammann, R.; Graf, R. Coordinate regulation of PSP/reg and PAP isoforms as a family of secretory stress proteins in an animal model of chronic pancreatitis. J. Surg. Res. 2004, 118, 122–135. [Google Scholar] [CrossRef]
- Graf, R.; Schiesser, M.; Lussi, A.; Went, P.; Scheele, G.A.; Bimmler, D. Coordinate regulation of secretory stress proteins (PSP/reg, PAP I, PAP II, and PAP III) in the rat exocrine pancreas during experimental acute pancreatitis. J. Surg. Res. 2002, 105, 136–144. [Google Scholar] [CrossRef]
- Garner, J.S.; Jarvis, W.R.; Emori, T.G.; Horan, T.C.; Hughes, J.M. CDC definitions for nosocomial infections, 1988. Am. J. Infect. Control. 1988, 16, 128–140. [Google Scholar] [CrossRef]
- Mann-Salinas, E.A.; Baun, M.M.; Meininger, J.C.; Murray, C.K.; Aden, J.K.; Wolf, S.E.; Wade, C.E. Novel predictors of sepsis outperform the American Burn Association sepsis criteria in the burn intensive care unit patient. J. Burn Care Res. 2013, 34, 31–43. [Google Scholar] [CrossRef] [PubMed]
- Hogan, B.K.; Wolf, S.E.; Hospenthal, D.R.; D’Avignon, L.C.; Chung, K.K.; Yun, H.C.; Mann, E.A.; Murray, C.K. Correlation of American Burn Association sepsis criteria with the presence of bacteremia in burned patients admitted to the intensive care unit. J. Burn Care Res. 2012, 33, 371–378. [Google Scholar] [CrossRef]
- Yoon, J.; Kym, D.; Hur, J.; Kim, Y.; Yang, H.T.; Yim, H.; Cho, Y.S.; Chun, W. Comparative Usefulness of Sepsis-3, Burn Sepsis, and Conventional Sepsis Criteria in Patients With Major Burns. Crit. Care Med. 2018, 46, e656–e662. [Google Scholar] [CrossRef] [PubMed]
- Klein, H.J.; Rittirsch, D.; Buehler, P.K.; Schweizer, R.; Giovanoli, P.; Cinelli, P.; Plock, J.A.; Reding, T.; Graf, R. Response of routine inflammatory biomarkers and novel Pancreatic Stone Protein to inhalation injury and its interference with sepsis detection in severely burned patients. Burns 2020, 47, 338–348. [Google Scholar] [CrossRef] [PubMed]




| Total | No Infection | Sepsis-3 | Sepsis ABA 2007 | Sepsis Zurich Burn Center | p | ||
|---|---|---|---|---|---|---|---|
| Number of patients (n,%) | 90 | 31 (34.4%) | 46 (51.1%) | 33 (36.7%) | 24 (26.6%) | - | |
| Gender (n,%) | female | 18 (20%) | 6 (33.3%) | 9 (50%) | 7 (38.9%) | 5 (27.8%) | - |
| male | 72 (80%) | 25 (34.7%) | 37 (51.4%) | 26 (36.1%) | 19 (26.4%) | - | |
| Age (years; mean ± SD) | 48.5 ± 18.8 | 50.4 ± 20.6 | 47.1 ± 18.2 | 50.2 ± 17.3 | 43.5 ± 18.2 | 0.38 | |
| TBSA (%; median, IQR) | 32 (21) | 29.5 (21.6) | 35 (24.5) | 36 (26) | 39.5 (28.8) | 0.28 | |
| BMI (kg/m2; median, IQR) | 26.3 (6.8) | 27.6 (7.2) | 24.8 (6.8) | 24.7 (7) | 24.7 (7) | 0.93 | |
| Inhalation injury (n, %) | 25 (27.8%) | 7 (28 %) | 16 (64%) | 16 (64%) | 8 (32%) | - | |
| Total length of stay (days, median, IQR) | 28 (38) | 18 (24) | 46 (61.2) | 51 (77) | 58 (55.5) | 0.70 | |
| ICU length of stay (days, median, IQR) | 16 (30) | 6.5 (11.5) | 28 (40) | 40 (60) | 44 (42.5) | 0.81 | |
| ABSI (median, IQR) | 7.5 (4) | 7 (6) | 8 (3) | 9 (4) | 9 (4) | 0.55 | |
| Baux score (median, IQR) | 84 (37.5) | 83.5 (48) | 86.5 (32) | 90 (35) | 91.5 (28.5) | 0.66 | |
| Mortality (n, %) | 14 (15.5%) | 10 (71.4%) | 4 (28.6%) | 4 (28.6%) | 3 (21.4%) | - | |
Publisher’s Note: MDPI stays neutral with regard to jurisdictional claims in published maps and institutional affiliations. |
© 2021 by the authors. Licensee MDPI, Basel, Switzerland. This article is an open access article distributed under the terms and conditions of the Creative Commons Attribution (CC BY) license (https://creativecommons.org/licenses/by/4.0/).
Share and Cite
Niggemann, P.; Rittirsch, D.; Buehler, P.K.; Schweizer, R.; Giovanoli, P.; Reding, T.; Graf, R.; Plock, J.A.; Klein, H.J. Incidence and Time Point of Sepsis Detection as Related to Different Sepsis Definitions in Severely Burned Patients and Their Accompanying Time Course of Pro-Inflammatory Biomarkers. J. Pers. Med. 2021, 11, 701. https://doi.org/10.3390/jpm11080701
Niggemann P, Rittirsch D, Buehler PK, Schweizer R, Giovanoli P, Reding T, Graf R, Plock JA, Klein HJ. Incidence and Time Point of Sepsis Detection as Related to Different Sepsis Definitions in Severely Burned Patients and Their Accompanying Time Course of Pro-Inflammatory Biomarkers. Journal of Personalized Medicine. 2021; 11(8):701. https://doi.org/10.3390/jpm11080701
Chicago/Turabian StyleNiggemann, Pia, Daniel Rittirsch, Philipp Karl Buehler, Riccardo Schweizer, Pietro Giovanoli, Theresia Reding, Rolf Graf, Jan Alexander Plock, and Holger Jan Klein. 2021. "Incidence and Time Point of Sepsis Detection as Related to Different Sepsis Definitions in Severely Burned Patients and Their Accompanying Time Course of Pro-Inflammatory Biomarkers" Journal of Personalized Medicine 11, no. 8: 701. https://doi.org/10.3390/jpm11080701
APA StyleNiggemann, P., Rittirsch, D., Buehler, P. K., Schweizer, R., Giovanoli, P., Reding, T., Graf, R., Plock, J. A., & Klein, H. J. (2021). Incidence and Time Point of Sepsis Detection as Related to Different Sepsis Definitions in Severely Burned Patients and Their Accompanying Time Course of Pro-Inflammatory Biomarkers. Journal of Personalized Medicine, 11(8), 701. https://doi.org/10.3390/jpm11080701

