Risk Factors of 30-Day All-Cause Mortality in Patients with Carbapenem-Resistant Klebsiella pneumoniae Bloodstream Infection
Abstract
1. Introduction
2. Materials and Methods
2.1. Study Design and Patients
2.2. Data Collection
2.3. Microbiology and Antimicrobial Susceptibilities
2.4. Statistical Analysis
3. Results
3.1. Patient Characteristics and Antimicrobial Treatment
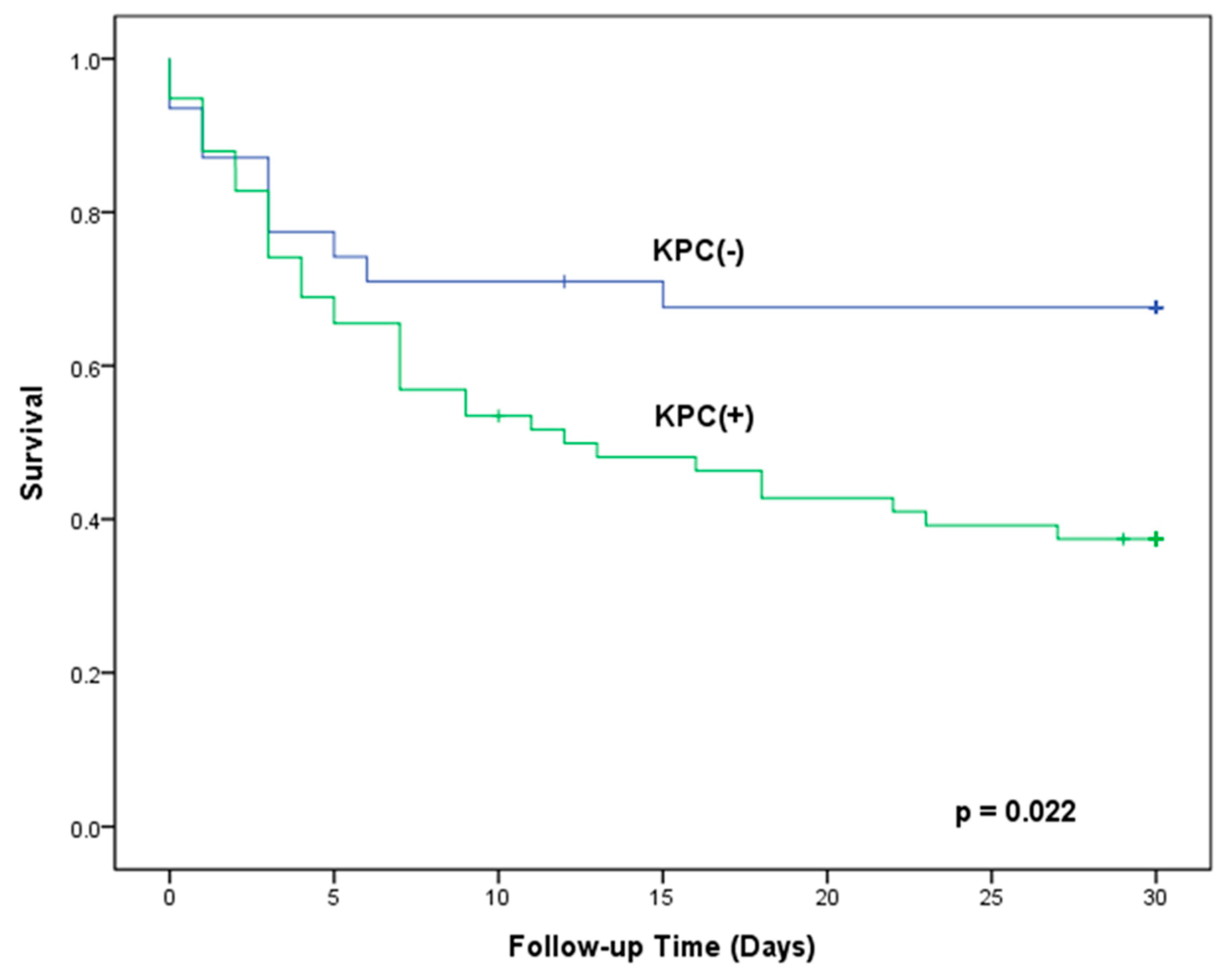
3.2. Microbiology Revealed Redcued Proportion of KPC Genes and KPC Cluster II in the Survival Group
3.3. Comparison of Antimicrobial Susceptibility
3.4. Risk Factors of 30-Day All-Cause Mortality
4. Discussion
5. Conclusions
Author Contributions
Funding
Institutional Review Board Statement
Informed Consent Statement
Data Availability Statement
Acknowledgments
Conflicts of Interest
References
- World Health Organization. Antimicrobial Resistance: Global Report on Surveillance; World Health Organization: Geneva, Switzerland, 2014. [Google Scholar]
- Grundmann, H.; Glasner, C.; Albiger, B.; Aanensen, D.M.; Tomlinson, C.T.; Andrasević, A.T.; Cantón, R.; Carmeli, Y.; Friedrich, A.W.; Giske, C.G.; et al. Occurrence of carbapenemase-producing Klebsiella pneumoniae and Escherichia coli in the European survey of carbapenemase-producing Enterobacteriaceae (EuSCAPE): A prospective, multinational study. Lancet Infect. Dis. 2017, 17, 153–163. [Google Scholar] [CrossRef]
- Yigit, H.; Queenan, A.M.; Anderson, G.J.; Domenech-Sanchez, A.; Biddle, J.W.; Steward, C.D.; Alberti, S.; Bush, K.; Tenover, F.C. Novel carbapenem-hydrolyzing beta-lactamase, KPC-1, from a carbapenem-resistant strain of Klebsiella pneumoniae. Antimicrob. Agents Chemother. 2001, 45, 1151–1161. [Google Scholar] [CrossRef]
- Gasink, L.B.; Edelstein, P.; Lautenbach, E.; Synnestvedt, M.; Fishman, N.O. Risk Factors and Clinical Impact of Klebsiella pneumoniae Carbapenemase-Producing K. pneumoniae. Infect. Control. Hosp. Epidemiol. 2009, 30, 1180–1185. [Google Scholar] [CrossRef]
- Mouloudi, E.; Protonotariou, E.; Zagorianou, A.; Iosifidis, E.; Karapanagiotou, A.; Giasnetsova, T.; Tsioka, A.; Roilides, E.; Sofianou, D.; Gritsi-Gerogianni, N. Bloodstream Infections Caused by Metallo-β-Lactamase/Klebsiella pneumoniae Carbapenemase–Producing K. pneumoniae among Intensive Care Unit Patients in Greece: Risk Factors for Infection and Impact of Type of Resistance on Outcomes. Infect. Control. Hosp. Epidemiol. 2010, 31, 1250–1256. [Google Scholar] [CrossRef]
- Xu, L.; Sun, X.; Ma, X. Systematic review and meta-analysis of mortality of patients infected with carbapenem-resistant Klebsiella pneumoniae. Ann. Clin. Microbiol. Antimicrob. 2017, 16, 1–12. [Google Scholar] [CrossRef]
- Nguyen, M.; Joshi, S.G. Carbapenem resistance in Acinetobacter baumannii, and their importance in hospital-acquired infections: A scientific review. J. Appl. Microbiol. 2021. [Google Scholar] [CrossRef] [PubMed]
- Gaibani, P.; Campoli, C.; Lewis, R.E.; Volpe, S.L.; Scaltriti, E.; Giannella, M.; Pongolini, S.; Berlingeri, A.; Cristini, F.; Bartoletti, M.; et al. In vivo evolution of resistant subpopulations of KPC-producing Klebsiella pneumoniae during ceftazidime/avibactam treatment. J. Antimicrob. Chemother. 2018, 73, 1525–1529. [Google Scholar] [CrossRef] [PubMed]
- Humphries, R.M.; Hemarajata, P. Resistance to Ceftazidime-Avibactam in Klebsiella pneumoniae Due to Porin Mutations and the Increased Expression of KPC-3. Antimicrob. Agents Chemother. 2017, 61, 6. [Google Scholar] [CrossRef] [PubMed]
- Nelson, K.; Hemarajata, P.; Sun, D.; Rubio-Aparicio, D.; Tsivkovski, R.; Yang, S.; Sebra, R.; Kasarskis, A.; Nguyen, H.; Hanson, B.M.; et al. Resistance to Ceftazidime-Avibactam Is Due to Transposition of KPC in a Porin-Deficient Strain of Klebsiella pneumoniae with Increased Efflux Activity. Antimicrob. Agents Chemother. 2017, 61, e00989-17. [Google Scholar] [CrossRef] [PubMed]
- Tumbarello, M.; Trecarichi, E.M.; Corona, A.; DE Rosa, F.G.; Bassetti, M.; Mussini, C.; Menichetti, F.; Viscoli, C.; Campoli, C.; Venditti, M.; et al. Efficacy of Ceftazidime-Avibactam Salvage Therapy in Patients with Infections Caused by Klebsiella pneumoniae Carbapenemase–producing K. pneumoniae. Clin. Infect. Dis. 2019, 68, 355–364. [Google Scholar] [CrossRef]
- Gutiérrez-Gutiérrez, B.; Salamanca, E.; de Cueto, M.; Hsueh, P.-R.; Viale, P.; Paño-Pardo, J.R.; Venditti, M.; Tumbarello, M.; Daikos, G.; Cantón, R.; et al. Effect of appropriate combination therapy on mortality of patients with bloodstream infections due to carbapenemase-producing Enterobacteriaceae (INCREMENT): A retrospective cohort study. Lancet Infect. Dis. 2017, 17, 726–734. [Google Scholar] [CrossRef]
- Tumbarello, M.; Viale, P.; Viscoli, C.; Trecarichi, E.M.; Tumietto, F.; Marchese, A.; Spanu, T.; Ambretti, S.; Ginocchio, F.; Cristini, F.; et al. Predictors of Mortality in Bloodstream Infections Caused by Klebsiella pneumoniae Carbapenemase-Producing K. pneumoniae: Importance of Combination Therapy. Clin. Infect. Dis. 2012, 55, 943–950. [Google Scholar] [CrossRef]
- Geng, T.T.; Xu, X.; Huang, M. High-dose tigecycline for the treatment of nosocomial carbapenem-resistant Klebsiella pneumoniae bloodstream infections: A retrospective cohort study. Medicine 2018, 97, e9961. [Google Scholar] [CrossRef]
- Gomez-Simmonds, A.; Nelson, B.; Eiras, D.P.; Loo, A.; Jenkins, S.G.; Whittier, S.; Calfee, D.P.; Satlin, M.J.; Kubin, C.J.; Furuya, E.Y. Combination Regimens for Treatment of Carbapenem-Resistant Klebsiella pneumoniae Bloodstream Infections. Antimicrob. Agents Chemother. 2016, 60, 3601–3607. [Google Scholar] [CrossRef]
- Gonzalez-Padilla, M.; Torre-Cisneros, J.; Rivera-Espinar, F.; Pontes-Moreno, A.; López-Cerero, L.; Pascual, A.; Natera, C.; Rodríguez, M.; Salcedo, I.; Rodríguez-López, F.; et al. Gentamicin therapy for sepsis due to carbapenem-resistant and colistin-resistant Klebsiella pneumoniae. J. Antimicrob. Chemother. 2014, 70, 905–913. [Google Scholar] [CrossRef][Green Version]
- Lee, N.-Y.; Tsai, C.-S.T.; Syue, L.-S.; Chen, P.-L.; Li, C.-W.; Li, M.-C.; Ko, W.-C. Treatment Outcome of Bacteremia Due to Non–Carbapenemase-producing Carbapenem-Resistant Klebsiella pneumoniae Bacteremia: Role of Carbapenem Combination Therapy. Clin. Ther. 2020, 42, e33–e44. [Google Scholar] [CrossRef]
- Charlson, M.E.; Pompei, P.; Ales, K.L.; MacKenzie, C. A new method of classifying prognostic comorbidity in longitudinal studies: Development and validation. J. Chronic Dis. 1987, 40, 373–383. [Google Scholar] [CrossRef]
- Seymour, C.W.; Liu, V.X.; Iwashyna, T.J.; Brunkhorst, F.M.; Rea, T.D.; Scherag, A.; Rubenfeld, G.; Kahn, J.M.; Shankar-Hari, M.; Singer, M.; et al. Assessment of Clinical Criteria for Sepsis: For the Third International Consensus Definitions for Sepsis and Septic Shock (Sepsis-3). JAMA 2016, 315, 762–774. [Google Scholar] [CrossRef] [PubMed]
- Bone, R.C.; Balk, R.A.; Cerra, F.B.; Dellinger, R.P.; Fein, A.M.; Knaus, W.A.; Schein, R.M.; Sibbald, W.J. Definitions for sepsis and organ failure and guidelines for the use of innovative therapies in sepsis. Chest 1992, 101, 1644–1655. [Google Scholar] [CrossRef] [PubMed]
- Rhee, J.Y.; Kwon, K.T.; Ki, H.K.; Shin, S.Y.; Jung, D.S.; Chung, D.R.; Ha, B.C.; Peck, K.R.; Song, J.H. Scoring systems for prediction of mortality in patients with intensive care unit-acquired sepsis: A comparison of the Pitt bacteremia score and the Acute Physiology and Chronic Health Evaluation II scoring systems. Shock 2009, 31, 146–150. [Google Scholar] [CrossRef] [PubMed]
- Singer, M.; Deutschman, C.S.; Seymour, C.W.; Shankar-Hari, M.; Annane, D.; Bauer, M.; Bellomo, R.; Bernard, G.R.; Chiche, J.-D.; Coopersmith, C.M.; et al. The Third International Consensus Definitions for Sepsis and Septic Shock (Sepsis-3). JAMA 2016, 315, 801–810. [Google Scholar] [CrossRef] [PubMed]
- Rhodes, A.A.; Evans, L.E.; Alhazzani, W.; Levy, M.M.; Antonelli, M.; Ferrer, R.; Kumar, A.; Sevransky, J.E.; Sprung, C.L.; Nunnally, M.E.; et al. Surviving Sepsis Campaign: International Guidelines for Management of Sepsis and Septic Shock: 2016. Crit. Care Med. 2017, 45, 486–552. [Google Scholar] [CrossRef]
- The European Committee on Antimicrobial Susceptibility Testing. Breakpoint Tables for Interpretation of MICs and Zone Diameters, Version 11.0. 2021. Available online: https://www.eucast.org/clinical_breakpoints/ (accessed on 10 April 2021).
- Wyeth Pharmaceuticals Inc. TYGACIL® (Tigecycline); Wyeth Pharmaceuticals Inc.: Madison, NJ, USA, 2005. [Google Scholar]
- Poirel, L.; Walsh, T.; Cuvillier, V.; Nordmann, P. Multiplex PCR for detection of acquired carbapenemase genes. Diagn. Microbiol. Infect. Dis. 2011, 70, 119–123. [Google Scholar] [CrossRef] [PubMed]
- Kuo, H.-C.; Lauderdale, T.-L.; Lo, D.-Y.; Chen, C.-L.; Chen, P.-C.; Liang, S.-Y.; Kuo, J.-C.; Liao, Y.-S.; Liao, C.-H.; Tsao, C.-S.; et al. An Association of Genotypes and Antimicrobial Resistance Patterns among Salmonella Isolates from Pigs and Humans in Taiwan. PLoS ONE 2014, 9, e95772. [Google Scholar] [CrossRef] [PubMed]
- Chiu, S.K.; Wu, T.L.; Chuang, Y.C.; Lin, J.C.; Fung, C.P.; Lu, P.L.; Wang, J.T.; Wang, L.S.; Siu, L.K.; Yeh, K.M. National surveillance study on carbapenem non-susceptible Klebsiella pneumoniae in Taiwan: The emergence and rapid dissemination of KPC-2 carbapenemase. PLoS ONE 2013, 8, e69428. [Google Scholar]
- Lu, M.-C.; Tang, H.-L.; Chiou, C.-S.; Wang, Y.-C.; Chiang, M.-K.; Lai, Y.-C. Clonal dissemination of carbapenemase-producing Klebsiella pneumoniae: Two distinct sub-lineages of Sequence Type 11 carrying blaKPC-2 and blaOXA-48. Int. J. Antimicrob. Agents 2018, 52, 658–662. [Google Scholar] [CrossRef]
- Wang, Z.; Qin, R.-R.; Huang, L.; Sun, L.-Y. Risk Factors for Carbapenem-resistant Klebsiella pneumoniae Infection and Mortality of Klebsiella pneumoniae Infection. Chin. Med. J. 2018, 131, 56–62. [Google Scholar] [CrossRef]
- Shen, L.; Lian, C.; Zhu, B.; Yao, Y.; Yang, Q.; Zhou, J.; Zhou, H. Bloodstream Infections due to Carbapenem-Resistant Klebsiella pneumoniae: A Single-Center Retrospective Study on Risk Factors and Therapy Options. Microb. Drug Resist. 2021, 27, 227–233. [Google Scholar] [CrossRef]
- Xiao, T.; Zhu, Y.; Zhang, S.; Wang, Y.; Shen, P.; Zhou, Y.; Yu, X.; Xiao, Y. A Retrospective Analysis of Risk Factors and Outcomes of Carbapenem-Resistant Klebsiella pneumoniae Bacteremia in Nontransplant Patients. J. Infect. Dis. 2020, 221 (Suppl. S2), S174–S183. [Google Scholar] [CrossRef] [PubMed]
- Zhang, S.; Cui, Y.-L.; Diao, M.-Y.; Chen, D.-C.; Lin, Z.-F. Use of Platelet Indices for Determining Illness Severity and Predicting Prognosis in Critically Ill Patients. Chin. Med. J. 2015, 128, 2012–2018. [Google Scholar] [CrossRef]
- Chuang, C.; Su, C.-F.; Lin, J.-C.; Lu, P.-L.; Huang, C.-T.; Wang, J.-T.; Chuang, Y.-C.; Siu, L.K.; Fung, C.-P.; Lin, Y.-T. Does Antimicrobial Therapy Affect Mortality of Patients with Carbapenem-Resistant Klebsiella pneumoniae Bacteriuria? A Nationwide Multicenter Study in Taiwan. Microorganisms 2020, 8, 2035. [Google Scholar] [CrossRef]
- Nguyen, M.; Eschenauer, G.A.; Bryan, M.; O’Neil, K.; Furuya, E.Y.; Della-Latta, P.; Kubin, C.J. Carbapenem-resistant Klebsiella pneumoniae bacteremia: Factors correlated with clinical and microbiologic outcomes. Diagn. Microbiol. Infect. Dis. 2010, 67, 180–184. [Google Scholar] [CrossRef]
- Falcone, M.; Bassetti, M.; Tiseo, G.; Giordano, C.; Nencini, E.; Russo, A.; Graziano, E.; Tagliaferri, E.; Leonildi, A.; Barnini, S.; et al. Time to appropriate antibiotic therapy is a predictor of outcome in patients with bloodstream infection caused by KPC-producing Klebsiella pneumoniae. Crit. Care 2020, 24, 1–12. [Google Scholar] [CrossRef]
- Patel, G.; Huprikar, S.; Factor, S.H.; Jenkins, S.G.; Calfee, D.P. Outcomes of Carbapenem-Resistant Klebsiella pneumoniae Infection and the Impact of Antimicrobial and Adjunctive Therapies. Infect. Control. Hosp. Epidemiol. 2008, 29, 1099–1106. [Google Scholar] [CrossRef]
- Medeiros, G.S.; Rigatto, M.H.; Falci, D.R.; Zavascki, A.P. Combination therapy with polymyxin B for carbapenemase-producing Klebsiella pneumoniae bloodstream infection. Int. J. Antimicrob. Agents 2019, 53, 152–157. [Google Scholar] [CrossRef] [PubMed]
- Javan, A.O.; Shokouhi, S.; Sahraei, Z. A review on colistin nephrotoxicity. Eur. J. Clin. Pharmacol. 2015, 71, 801–810. [Google Scholar] [CrossRef]
- Oliveira, J.F.P.; Silva, C.A.; Barbieri, C.D.; Oliveira, G.M.; Zanetta, D.M.T.; Burdmann, E.A. Prevalence and Risk Factors for Aminoglycoside Nephrotoxicity in Intensive Care Units. Antimicrob. Agents Chemother. 2009, 53, 2887–2891. [Google Scholar] [CrossRef] [PubMed]
- Vardakas, K.Z.; Matthaiou, D.K.; Falagas, M.E.; Antypa, E.; Koteli, A.; Antoniadou, E. Characteristics, risk factors and outcomes of carbapenem-resistant Klebsiella pneumoniae infections in the intensive care unit. J. Infect. 2015, 70, 592–599. [Google Scholar] [CrossRef] [PubMed]
- Stein, G.E.; Babinchak, T. Tigecycline: An update. Diagn. Microbiol. Infect. Dis. 2013, 75, 331–336. [Google Scholar] [CrossRef]
- Shirley, M. Ceftazidime-Avibactam: A Review in the Treatment of Serious Gram-Negative Bacterial Infections. Drugs 2018, 78, 675–692. [Google Scholar] [CrossRef]
- Holmes, A.H.; Moore, L.S.P.; Sundsfjord, A.; Steinbakk, M.; Regmi, S.; Karkey, A.; Guerin, P.J.; Piddock, L.J.V. Understanding the mechanisms and drivers of antimicrobial resistance. Lancet 2016, 387, 176–187. [Google Scholar] [CrossRef]



| Variables | All (n = 89) | Survival Group (n = 43) (48.3%) | Mortality Group (n = 46) (51.7%) | p Value |
|---|---|---|---|---|
| Demographics | ||||
| Male; n (%) | 53 (59.6%) | 26 (60.5%) | 27 (58.7%) | 1.000 |
| Age; y/o (IQR) | 75.6 (63.8–83.7) | 74.5 (62.3–83.4) | 80.5 (65.8–85.2) | 0.153 |
| BMI; kg/m2 (IQR) | 21.3 (18.3–25.9) | 20.8 (18.2–24.8) | 21.4 (19.2–30.0) | 0.223 |
| Comorbidities | ||||
| Charlson comorbidity index; score (IQR) | 8 (6–10) | 7 (6–9) | 8 (7–11) | 0.008 |
| Diabetes mellitus; n (%) | 53 (59.6%) | 24 (55.8%) | 29 (63.0%) | 0.523 |
| Cardiovascular disease; n (%) | 57 (64.0%) | 34 (79.1%) | 23 (50.0%) | 0.008 |
| Chronic obstructive pulmonary disease; n (%) | 21 (23.6%) | 9 (21.4%) | 12 (26.1%) | 0.628 |
| Chronic liver disease; n (%) | 15 (16.9%) | 4 (9.5%) | 11 (23.9%) | 0.092 |
| Chronic kidney disease; n (%) | 15 (16.9%) | 9 (21.4%) | 6 (13.0%) | 0.397 |
| Malignancy; n (%) | 18 (20.2%) | 7 (16.7%) | 11 (23.9%) | 0.439 |
| Steroid use ≥ 3 months; n (%) | 15 (16.9%) | 4 (9.5%) | 11 (23.9%) | 0.092 |
| Immunocompromised condition; n (%) | 8 (9.0%) | 3 (7.1%) | 5 (10.9%) | 0.716 |
| Events in the prior year | ||||
| Hospitalization; events (%) | 65 (73.0%) | 36 (85.7%) | 29 (64.4%) | 0.028 |
| Admitted to intensive care units; events (%) | 30 (33.7%) | 16 (38.1%) | 14 (30.4%) | 0.504 |
| Nursing home residence; events (%) | 31 (34.8%) | 14 (32.6%) | 17 (37.0%) | 0.824 |
| CRKP colonization; events (%) | 14 (15.7%) | 7 (16.7%) | 7 (15.2%) | 1.000 |
| Surgery; events (%) | 24 (27.0%) | 12 (27.9%) | 12 (26.1%) | 1.000 |
| Initial presentation | ||||
| Pitt bacteremia score; score (IQR) | 4 (2–6) | 3 (1–4) | 6 (4–8) | < 0.001 |
| SIRS; score (IQR) | 3 (2–4) | 3 (2–3) | 3 (2–4) | 0.273 |
| SIRS ≥ 2; n (%) | 76 (85.4%) | 35 (81.4%) | 41 (89.1%) | 0.375 |
| qSOFA; score (IQR) | 2 (1–3) | 1 (1–2) | 2 (2–3) | < 0.001 |
| Sepsis; n (%) | 54 (60.7%) | 18 (41.9%) | 36 (78.3%) | 0.001 |
| Septic shock; n (%) | 27 (30.3%) | 7 (16.3%) | 20 (43.5%) | 0.006 |
| Body temperature ≥38 °C; n (%) | 54 (60.7%) | 27 (62.8%) | 27 (58.7%) | 0.828 |
| White blood cell count (103/mm3); count (IQR) | 13.2 (8.7–17.8) | 13.7 (10.1–17.8) | 10.7 (6.4–18.0) | 0.249 |
| Hemoglobin (g/dL); value (IQR) | 9.8 (9.0–10.6) | 9.8 (9.1–11) | 9.7 (8.6–10.5) | 0.352 |
| Platelet count (104/mm3); count (IQR) | 12.4 (5.2–23.8) | 17.5 (10.8–26.3) | 8.15 (3.8–18.2) | 0.002 |
| Creatinine (mg/dL); value (IQR) | 1.3 (0.8–2.8) | 1 (0.7–2.8) | 1.4 (0.9–2.8) | 0.088 |
| Albumin (g/dL); value (IQR) | 2.6 (2.2–2.9) | 2.9 (2.5–3.0) | 2.4 (2.1–2.7) | < 0.001 |
| C-reactive protein (mg/dL); value (IQR) | 11.6 (4.9–19.4) | 10.8 (3.6–19.3) | 12.7 (8.0–19.6) | 0.256 |
| Microbiology | ||||
| Presence of KPC gene; n (%) | 58 (65.2%) | 22 (51.2%) | 36 (78.3%) | 0.008 |
| Clonal relatedness of CRKP strain | 0.006 | |||
| Cluster I; n (%) | 11 (12.4%) | 8 (18.6%) | 3 (6.5%) | |
| Cluster II; n (%) | 62 (69.7%) | 23 (53.5%) | 39 (84.8%) | |
| Others; n (%) | 16 (18.0%) | 12 (27.9%) | 4 (8.7%) |
| Variables | All (n = 89) | Survival Group (n = 43) | Mortality Group (n = 46) | p Value |
|---|---|---|---|---|
| Appropriate antimicrobial regimen; n (%) | 52 (58.4%) | 28 (65.1%) | 24 (52.2%) | 0.283 |
| Colistin included; n (%) | 28 (31.5%) | 10 (23.3%) | 18 (39.1%) | 0.006 |
| Amikacin included; n (%) | 13 (14.6%) | 9 (20.9%) | 4 (8.7%) | 0.336 |
| Carbapenem included; n (%) | 37 (41.6%) | 17 (39.5%) | 20 (43.5%) | 0.124 |
| Tigecycline included; n (%) | 3 (3.4%) | 0 (0%) | 3 (6.5%) | 0.092 |
| Monotherapy; n (%) | 12 (13.5%) | 11 (25.6%) | 1 (2.2%) | 0.003 |
| Appropriate empiric regimen; n (%) | 9 (10.1%) | 3 (7.0%) | 6 (13.0%) | 0.487 |
| Appropriate definitive regimen; n (%) | 50 (56.2%) | 28 (65.1%) | 22 (47.8%) | 0.135 |
| Microbiologic eradication within 7 days; n (%) | 37 (41.6%) | 31 (72.1%) | 6 (13.0%) | <0.001 |
| Length of hospitalization; days (IQR) | 21.5 (13.0–34.0) | 21.5 (14.0–40.0) | 21.5 (13.0–33.0) | 0.483 |
| Variables | Adjusted Hazard Ratio | 95% Confidence Interval | p |
|---|---|---|---|
| Microbiologic eradication within 7 days (yes vs. no) | 0.09 | 0.03–0.26 | <0.001 |
| Platelet count (per 1 × 104/mm3) | 0.95 | 0.92–0.98 | 0.002 |
| Pitt bacteremia score (per 1 unit) | 1.40 | 1.21–1.61 | <0.001 |
Publisher’s Note: MDPI stays neutral with regard to jurisdictional claims in published maps and institutional affiliations. |
© 2021 by the authors. Licensee MDPI, Basel, Switzerland. This article is an open access article distributed under the terms and conditions of the Creative Commons Attribution (CC BY) license (https://creativecommons.org/licenses/by/4.0/).
Share and Cite
Liu, K.-S.; Tong, Y.-S.; Lee, M.-T.; Lin, H.-Y.; Lu, M.-C. Risk Factors of 30-Day All-Cause Mortality in Patients with Carbapenem-Resistant Klebsiella pneumoniae Bloodstream Infection. J. Pers. Med. 2021, 11, 616. https://doi.org/10.3390/jpm11070616
Liu K-S, Tong Y-S, Lee M-T, Lin H-Y, Lu M-C. Risk Factors of 30-Day All-Cause Mortality in Patients with Carbapenem-Resistant Klebsiella pneumoniae Bloodstream Infection. Journal of Personalized Medicine. 2021; 11(7):616. https://doi.org/10.3390/jpm11070616
Chicago/Turabian StyleLiu, Keh-Sen, Yao-Shen Tong, Ming-Tsung Lee, Hung-Yu Lin, and Min-Chi Lu. 2021. "Risk Factors of 30-Day All-Cause Mortality in Patients with Carbapenem-Resistant Klebsiella pneumoniae Bloodstream Infection" Journal of Personalized Medicine 11, no. 7: 616. https://doi.org/10.3390/jpm11070616
APA StyleLiu, K.-S., Tong, Y.-S., Lee, M.-T., Lin, H.-Y., & Lu, M.-C. (2021). Risk Factors of 30-Day All-Cause Mortality in Patients with Carbapenem-Resistant Klebsiella pneumoniae Bloodstream Infection. Journal of Personalized Medicine, 11(7), 616. https://doi.org/10.3390/jpm11070616

