S100A6, Calumenin and Cytohesin 2 as Biomarkers for Cutaneous Involvement in Systemic Sclerosis Patients: A Case Control Study
Abstract
1. Introduction
2. Materials and Methods
2.1. Patient Evaluation
2.2. Sample Evaluation
2.2.1. S100A6 Assay
2.2.2. Calumenin Assay
2.2.3. Cytohesin 2 Assay
2.3. Statistical Analysis
3. Results
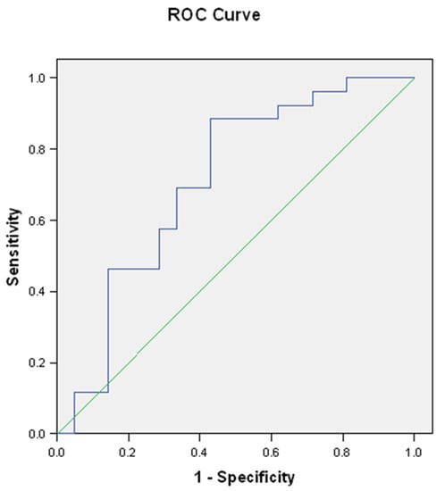
3.1. Serum Calumenin in Ssc Patients
3.2. Serum S100A6 in Ssc Patients
3.3. Serum Cytohesin 2 in Ssc Patients
3.4. Correlations between Calumenin, S100A6 and Cytohesin 2
4. Discussion
5. Conclusions
Author Contributions
Funding
Institutional Review Board Statement
Informed Consent Statement
Data Availability Statement
Acknowledgments
Conflicts of Interest
References
- Bhattacharyya, S.; Wei, J.; Varga, J. Understanding fibrosis in systemic sclerosis: Shifting paradigms, emerging opportunities. Nat. Rev. Rheumatol. 2012, 8, 42–54. [Google Scholar] [CrossRef]
- Hasegawa, M. Biomarkers in systemic sclerosis: Their potential to predict clinical courses. J. Dermatol. 2016, 43, 29–38. [Google Scholar] [CrossRef]
- Bălănescu, P.; Bălănescu, A.; Bălănescu, E.; Băicuş, C. Candidate proteomic biomarkers in systemic sclerosis discovered using mass-spectrometry: An update of a systematic review (2014–2020). Rom. J. Intern. Med. 2020. [Google Scholar] [CrossRef]
- Balanescu, P.; Ladaru, A.; Balanescu, E.; Baicus, C.; Dan, G.A. Systemic sclerosis biomarkers discovered using mass-spectrometry-based proteomics: A systematic review. Biomark. Biochem. Indic. Expo. Responseand Susceptibility Chem. 2014, 19, 345–355. [Google Scholar] [CrossRef] [PubMed]
- Galie, N.; Humbert, M.; Vachiery, J.L.; Gibbs, S.; Lang, I.; Torbicki, A.; Simonneau, G.; Peacock, A.; Noordegraaf, A.V.; Beghetti, M.; et al. 2015 ESC/ERS Guidelines for the diagnosis and treatment of pulmonary hypertension The Joint Task Force for the Diagnosis and Treatment of Pulmonary Hypertension of the European Society of Cardiology (ESC) and the European Respiratory Society (ERS) Endorsed by: Association for European Paediatric and Congenital Cardiology (AEPC), International Society for Heart and Lung Transplantation (ISHLT). Eur. Heart J. 2016, 37, 67–119. [Google Scholar] [CrossRef] [PubMed]
- Amanzi, L.; Braschi, F.; Fiori, G.; Galluccio, F.; Miniati, I.; Guiducci, S.; Conforti, M.L.; Kaloudi, O.; Nacci, F.; Sacu, O.; et al. Digital ulcers in scleroderma: Staging, characteristics and sub-setting through observation of 1614 digital lesions. Rheumatology 2010, 49, 1374–1382. [Google Scholar] [CrossRef] [PubMed]
- Clements, P.; Lachenbruch, P.; Siebold, J.; White, B.; Weiner, S.; Martin, R.; Weinstein, A.; Weisman, M.; Mayes, M.; Collier, D.; et al. Inter and Intraobserver Variability of Total Skin Thickness Score (Modified Rodnan TSS) in Systemic-Sclerosis. J. Rheumatol. 1995, 22, 1281–1285. [Google Scholar]
- Valentini, G.; D’Angelo, S.; Della Rossa, A.; Bencivelli, W.; Bombardieri, S. European Scleroderma Study Group to define disease activity criteria for systemic sclerosis. IV. Assessment of skin thickening by modified Rodnan skin score. Ann. Rheum. Dis. 2003, 62, 904–905. [Google Scholar] [CrossRef]
- Vorum, H.; Hager, H.; Christensen, B.M.; Nielsen, S.; Honore, B. Human calumenin localizes to the secretory pathway and is secreted to the medium. Exp. Cell Res. 1999, 248, 473–481. [Google Scholar] [CrossRef]
- Wang, Y.; Cui, X.X.; Wang, Y.L.; Fu, Y.; Guo, X.; Long, J.; Wei, C.X.; Zhao, M. Protective effect of miR378*on doxorubicin-induced cardiomyocyte injury via calumenin. J. Cell. Physiol. 2018, 233, 6344–6351. [Google Scholar] [CrossRef]
- Yang, Y.; Wang, J.; Xu, S.H.; Shi, F.; Shan, A.J. Calumenin contributes to epithelial-mesenchymal transition and predicts poor survival in glioma. Transl. Neurosci. 2021, 12, 67–75. [Google Scholar] [CrossRef] [PubMed]
- Ostergaard, M.; Hansen, G.A.W.; Vorum, H.; Honore, B. Proteomic profiling of fibroblasts reveals a modulating effect of extracellular calumenin on the organization of the actin cytoskeleton. Proteomics 2006, 6, 3509–3519. [Google Scholar] [CrossRef] [PubMed]
- Coppinger, J.A.; Cagney, G.; Toomey, S.; Kislinger, T.; Belton, O.; McRedmond, J.P.; Cahill, D.J.; Emili, A.; Fitzgerald, D.J.; Maguire, P.B. Characterization of the proteins released from activated platelets leads to localization of novel platelet proteins in human atherosclerotic lesions. Blood 2004, 103, 2096–2104. [Google Scholar] [CrossRef] [PubMed]
- Fietta, A.M.; Bardoni, A.M.; Salvini, R.; Passadore, I.; Morosini, M.; Cavagna, L.; Codullo, V.; Pozzi, E.; Meloni, F.; Montecucco, C. Analysis of bronchoalveolar lavage fluid proteome from systemic sclerosis patients with or without functional, clinical and radiological signs of lung fibrosis. Arthritis Res. Ther. 2006, 8. [Google Scholar] [CrossRef]
- Balanescu, P.; Ladaru, A.; Balanescu, E.; Pompilian, V.; Gologanu, D.; Caraiola, S.; Baicus, C.; Dan, G.A. Circulating Reticulocalbin 1 and Reticulocalbin 3 in Systemic Sclerosis Patients: Results of a Case Control Study. Clin. Lab. 2016, 62, 1109–1116. [Google Scholar] [CrossRef] [PubMed]
- Onsurathum, S.; Haonon, O.; Pinlaor, P.; Pairojkul, C.; Khuntikeo, N.; Thanan, R.; Roytrakul, S.; Pinlaor, S. Proteomics detection of S100A6 in tumor tissue interstitial fluid and evaluation of its potential as a biomarker of cholangiocarcinoma. Tumour Biol. 2018, 40, 1010428318767195. [Google Scholar] [CrossRef] [PubMed]
- Guzel, C.; van den Berg, C.B.; Duvekot, J.J.; Stingl, C.; van den Bosch, T.P.P.; van der Weiden, M.; Steegers, E.A.P.; Steegers-Theunissen, R.P.M.; Luider, T.M. Quantification of Calcyclin and Heat Shock Protein 90 in Sera from Women with and without Preeclampsia by Mass Spectrometry. Proteom. Clin. Appl. 2019, 13. [Google Scholar] [CrossRef] [PubMed]
- Leclerc, E.; Fritz, G.; Vetter, S.W.; Heizmann, C.W. Binding of S100 proteins to RAGE: An update. Biochim. Biophys. Acta-Mol. Cell Res. 2009, 1793, 993–1007. [Google Scholar] [CrossRef]
- Guarneri, F.; Custurone, P.; Papaianni, V.; Gangemi, S. Involvement of RAGE and Oxidative Stress in Inflammatory and Infectious Skin Diseases. Antioxidants 2021, 10, 82. [Google Scholar] [CrossRef]
- Yoshizaki, A.; Komura, K.; Iwata, Y.; Ogawa, F.; Hara, T.; Muroi, E.; Takenaka, M.; Shimizu, K.; Hasegawa, M.; Fujimoto, M.; et al. Clinical Significance of Serum HMGB-1 and sRAGE Levels in Systemic Sclerosis: Association with Disease Severity. J. Clin. Immunol. 2009, 29, 180–189. [Google Scholar] [CrossRef]
- Donaldson, J.G.; Jackson, C.L. ARF family G proteins and their regulators: Roles in membrane transport, development and disease. Nat. Rev. Mol. Cell Biol. 2011, 12, 362–375. [Google Scholar] [CrossRef] [PubMed]
- van den Bosch, M.T.J.; Poole, A.W.; Hers, I. Cytohesin-2 phosphorylation by protein kinase C relieves the constitutive suppression of platelet dense granule secretion by ADP-ribosylation factor 6. J. Thromb. Haemost. 2014, 12, 726–735. [Google Scholar] [CrossRef] [PubMed]
- Pan, T.; Sun, J.F.; Hu, J.Y.; Hu, Y.W.; Zhou, J.; Chen, Z.G.; Xu, D.; Xu, W.H.; Zheng, S.; Zhang, S.Z. Cytohesins/ARNO: The Function in Colorectal Cancer Cells. PLoS ONE 2014, 9, e90997. [Google Scholar] [CrossRef] [PubMed]
- Heun, Y.; Graff, P.; Lagara, A.; Schelhorn, R.; Mettler, R.; Pohl, U.; Mannell, H. IS The GEF Cytohesin-2/ARNO Mediates Resistin induced Phenotypic Switching in Vascular Smooth Muscle Cells. Sci. Rep. 2020, 10. [Google Scholar] [CrossRef]
- Tabata, K.; Mikita, N.; Yasutake, M.; Matsumiya, R.; Tanaka, K.; Tani, S.; Okuhira, H.; Jinnin, M.; Fujii, T. Up-regulation of IGF-1, RANTES and VEGF in patients with anti-centromere antibody-positive early/mild systemic sclerosis. Mod. Rheumatol. 2021, 31, 171–176. [Google Scholar] [CrossRef]




| Ssc Patient Characteristics | All Ssc Patients (n = 53) | Healthy Controls (n = 26) | Diffuse Ssc (n = 33) | Localized Ssc (n = 20) | p-Value (between Diffuse SSc and Localized SSc) |
|---|---|---|---|---|---|
| Age (median (IQR), years) | 56 (15.75) | 51.5 (12.50) | 54 (14.25) | 60.5 (20.25) | 0.71 (NS) |
| Male/Female (n° of patients) | 4/49 | 2/24 | 3/30 | 1/19 | 1 (NS) |
| Ssc disease duration (median (IQR), months) | 84 (94.50) | N/A | 102 (95) | 77 (96) | 0.22 (NS) |
| Interstitial lung disease (n° of patients) | 28 (52.8%) | N/A | 21 (63.6%) | 7 (35%) | 0.04 |
| % DLCO (median (IQR) | 78 (22) | N/A | 77 (24) | 85.5 (15.5) | 0.10 (NS) |
| Pulmonary hypertension (n° of patients) | 7 (13.2%) | N/A | 3 (9.1%) | 4 (20%) | 0.26 (NS) |
| % predicted FVC (median (IQR)) | 97 (19.5) | N/A | 98 (18) | 96 (26.75) | 0.83 (NS) |
| Presence of Raynaud phenomenon (n° of patients) | 53 (100%) | N/A | 33 (100%) | 20 (100%) | 1 (NS) |
| Digital ulcers (n° of patients) | 12 (22.6%) | N/A | 12 (36.4%) | 0 (0%) | 0.03 |
| No of digital ulcers (median (IQR)) | 0 (2) | N/A | 0 (2) | 0 (0) | 0.001 |
| Presence of telangiectasia (no of patients) | 27 (51%) | N/A | 16 (48.5%) | 11 (55%) | 0.64 (NS) |
| Palpable friction rubs (n° of patients) | 18 (34%) | N/A | 14 (42.4%) | 4 (20%) | 0.10 |
| PAP (median (IQR) mm Hg) | 25 (4) | N/A | 25 (4) | 25 (8) | 0.72 (NS) |
| ANA (n° of patients) | 53 (100%) | N/A | 33 (100%) | 20 (100%) | 1 (NS) |
| Presence of anti-centromere antibodies (n° of patients) | 20 (37.7%) | N/A | 0 (0%) | 20 (100%) | < 0.001 |
| Presence of anti Scl-70 antibodies (n° of positive patients) | 23 (43.4%) | N/A | 23 (70%) | 0 (0%) | 0.002 |
| CRP (median (IQR) mg/L) | 3.53 (7.28) | N/A | 3.98 (11.24) | 3.34 (6.44) | 0.45 (NS) |
| ESR (median (IQR) mm/1 h) | 16 (16.5) | N/A | 16.5 (15.5) | 14 (18.50) | 0.38 (NS) |
| Hypocomplementemia (n° of patients) | 6 (11.3%) | N/A | 4 (12.1%) | 2 (10%) | 0.81 (NS) |
| EUSTAR score (median (IQR)) | 3 (2.50) | N/A | 3.50 (2.75) | 1.75 (2) | 0.001 |
| Steroid therapy (n° of patients) | 30 (56.6%) | N/A | 18 (54.4%) | 12 (60%) | 0.69 (NS) |
| Calcium blockers (n° of patients) | 16 (30.2%) | N/A | 10 (30.3%) | 6 (30%) | 0.98 (NS) |
| ACE inhibitors (n° of patients) | 11 (20.7%) | N/A | 8 (24.3%) | 3 (15%) | 0.42 (NS) |
Publisher’s Note: MDPI stays neutral with regard to jurisdictional claims in published maps and institutional affiliations. |
© 2021 by the authors. Licensee MDPI, Basel, Switzerland. This article is an open access article distributed under the terms and conditions of the Creative Commons Attribution (CC BY) license (https://creativecommons.org/licenses/by/4.0/).
Share and Cite
Balanescu, P.; Balanescu, E.; Baicus, C.; Balanescu, A. S100A6, Calumenin and Cytohesin 2 as Biomarkers for Cutaneous Involvement in Systemic Sclerosis Patients: A Case Control Study. J. Pers. Med. 2021, 11, 368. https://doi.org/10.3390/jpm11050368
Balanescu P, Balanescu E, Baicus C, Balanescu A. S100A6, Calumenin and Cytohesin 2 as Biomarkers for Cutaneous Involvement in Systemic Sclerosis Patients: A Case Control Study. Journal of Personalized Medicine. 2021; 11(5):368. https://doi.org/10.3390/jpm11050368
Chicago/Turabian StyleBalanescu, Paul, Eugenia Balanescu, Cristian Baicus, and Anca Balanescu. 2021. "S100A6, Calumenin and Cytohesin 2 as Biomarkers for Cutaneous Involvement in Systemic Sclerosis Patients: A Case Control Study" Journal of Personalized Medicine 11, no. 5: 368. https://doi.org/10.3390/jpm11050368
APA StyleBalanescu, P., Balanescu, E., Baicus, C., & Balanescu, A. (2021). S100A6, Calumenin and Cytohesin 2 as Biomarkers for Cutaneous Involvement in Systemic Sclerosis Patients: A Case Control Study. Journal of Personalized Medicine, 11(5), 368. https://doi.org/10.3390/jpm11050368

