Optimized Prediction Models from Fundus Imaging and Genetics for Late Age-Related Macular Degeneration
Abstract
:1. Introduction
2. Materials and Methods
- For building AMD prediction models, we used retrospective dataset made available by the AREDS study [14]. It consists of data from 4146 participants who enrolled in the study and were monitored for over 13 years during the course of the study.
- We wanted to analyze the best and the most useful predictors of AMD disease, so we built and compared statistical and machine learning models with a variety of different combinations of data types (retinal, genetic, and medical data).
- In total, there were 566 participants chosen from the AREDS study based on the availability of all the retinal, medical, and genetic data.
- In the case of retinal image data, we already had deep-learning-based classifiers that were built using over 100,000 images from the AREDS dataset, not including the data from 566 participants used in this comparative study. The dataset was split into separate training, validation, and testing sets in the ratio of 60:20:20, respectively. The automated grading by these classifiers was used as parameters in building further machine learning models along with the other genetic and medical (and socio-demographic) parameters.
- Over the course of the AREDS study, conversions to late AMD are recorded in yearly visits. To build prediction models, we prepared datasets which included participants whose eyes converted to late AMD in 2, 5, and 10 years.
- For each of these durations, we separately built models using combinations of retinal, socio-demographic, and genetic data.
- Lastly, we analyzed the best predictors for each of the duration (2, 5, and 10 years) and proposed the best models.
The Age-Related Eye Disease Study (AREDS)
3. Data Acquisition
3.1. Genotype Data
3.2. Socio-Demographic Data
3.3. Retinal Image Data
3.4. Data Categories
3.5. Late AMD Prediction
- Socio-demographic/Clinical data.
- Genetic data.
- Automated AMD grades from retinal images.
- Socio-demographic/clinical data and genetic data.
- Socio-demographic/clinical data and retinal image data.
- All the input variables (1–5).
3.6. Ensemble Approach to Model Building
3.7. Model Optimization
3.8. Statistical Measures
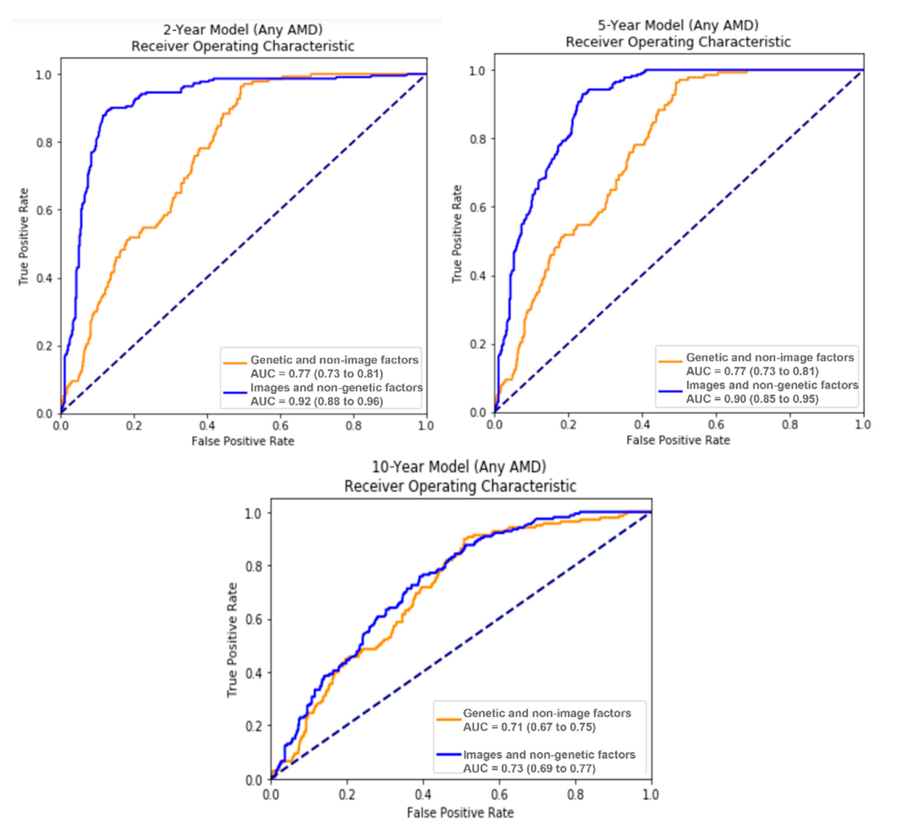
4. Results
5. Discussion and Conclusions
Author Contributions
Funding
Institutional Review Board Statement
Informed Consent Statement
Data Availability Statement
Conflicts of Interest
Appendix A
| Any Late AMD | Dry AMD (Geographic Atrophy) | Wet AMD (Neovascular AMD) | |||||
|---|---|---|---|---|---|---|---|
| SNP/Allele | Gene | Beta Coefficient | p-Value | Beta Coefficient | p-Value | Beta Coefficient | p-Value |
| rs572515 GG | CFH | 0 | n/a | 0 | n/a | 0 | n/a |
| rs572515 AA | CFH | 0.2476 | 0.551 | 0.3319 | 0.6016 | −0.2892 | 0.5372 |
| rs572515 AG | CFH | 0.1399 | 0.6903 | 0.0637 | 0.9034 | −0.146 | 0.7152 |
| rs380390 CG | CFH | 0 | n/a | 0 | n/a | 0 | n/a |
| rs380390 CC | CFH | −0.3697 | 0.3883 | 0.0346 | 0.9545 | −0.7816 | 0.13 |
| rs380390 GG | CFH | −0.1313 | 0.6557 | −0.1149 | 0.8029 | 0.132 | 0.6966 |
| rs1329428 CT | CFH | 0 | n/a | 0 | n/a | 0 | n/a |
| rs1329428 TT | CFH | 0.5493 | 0.1197 | −0.2292 | 0.6785 | 0.7087 | 0.1101 |
| rs1329428 CC | CFH | 0.6058 | 0.0011 | 0.0862 | 0.7431 | 0.6998 | 0.0035 |
| rs10801575 CT | CFH | 0 | n/a | 0 | n/a | 0 | n/a |
| rs10801575 CC | CFH | 0.1195 | 0.527 | 0.0076 | 0.9782 | 0.1903 | 0.4189 |
| rs10801575 TT | CFH | −0.7079 | 0.054 | −0.4492 | 0.3564 | −0.514 | 0.2722 |
| rs800292 AG | CFH | 0 | n/a | 0 | n/a | 0 | n/a |
| rs800292 GG | CFH | −0.0033 | 0.9884 | 0.2942 | 0.3734 | −0.2499 | 0.389 |
| rs800292 AA | CFH | 0.1808 | 0.6951 | −0.9109 | 0.3995 | 0.6387 | 0.203 |
| rs10490924 GT | ARMS2 | 0 | n/a | 0 | n/a | 0 | n/a |
| rs10490924 GG | ARMS2 | −0.7436 | 0 | −0.3108 | 0.1094 | −0.8845 | 0 |
| rs10490924 TT | ARMS2 | 0.3716 | 0.0189 | 0.2648 | 0.2702 | 0.3332 | 0.0691 |
| Type of Disease/Association | Genes/SNPs |
|---|---|
| Wet AMD | ARMS2, CFH, C3, LOXL1, HTRA1, C2-rs547154, ABCA1 |
| Dry AMD | CFH, SELP |
| AMD (general) | CFB, FBLN5, SERPING1, Tf (smoker), CACNG3, C9, CFI |
| Possible link to AMD | ERCC6 |
| Reduced Risk | LIPC |
References
- Mitchell, P.; Liew, G.; Gopinath, B.; Wong, T. Age-related macular degeneration. Lancet 2018, 392, 1147–1159. [Google Scholar] [CrossRef]
- Age-Related Macular Degeneration (AMD) Data and Statistics. Available online: https://www.nei.nih.gov/learn-about-eye-health/resources-for-health-educators/eye-health-data-and-statistics (accessed on 1 July 2021).
- Wong, W.; Su, X.; Li, X.; Cheung, C.; Klein, R.; Cheng, C.; Wong, T. Global prevalence of age-related macular degeneration and disease burden projection for 2020 and 2040: A systematic review and meta-analysis. Lancet Glob. Health 2014, 2, e106–e116. [Google Scholar] [CrossRef] [Green Version]
- Gold, B.; Merriam, J.E.; Zernant, J.; Hancox, L.S.; Taiber, A.J.; Gehrs, K.; Cramer, K.; Neel, J.; Bergeron, J.; Barile, G.R. Variation in factor B (BF) and complement component 2 (C2) genes is associated with age-related macular degeneration. Nat. Genet. 2006, 38, 458–462. [Google Scholar] [CrossRef] [Green Version]
- Geneva, I.I. Photobiomodulation for the treatment of retinal diseases: A review. Int. J. Ophthalmol. 2016, 9, 145–152. [Google Scholar]
- Guymer, R.; Wu, Z.; Hodgson, L.; Caruso, E.; Brassington, K.; Tindill, N.; Aung, K.; McGuinness, M.; Fletcher, E.; Chen, F.; et al. Subthreshold Nanosecond Laser Intervention in Age-Related Macular Degeneration: The LEAD Randomized Controlled Clinical Trial. Ophthalmology 2019, 126. [Google Scholar] [CrossRef] [Green Version]
- Bhuiyan, A.; Wong, T.Y.; Ting, D.S.W.; Govindaiah, A.; Souied, E.H.; Smith, R.T. Artificial Intelligence to Stratify Severity of Age-Related Macular Degeneration (AMD) and Predict Risk of Progression to Late AMD. Transl. Vis. Sci. Technol. 2020, 9, 25. [Google Scholar] [CrossRef] [Green Version]
- Yan, Q.; Weeks, D.E.; Xin, H.; Swaroop, A.; Chew, E.Y.; Huang, H.; Ding, Y.; Chen, W. Deep-learning-based prediction of late age-related macular degeneration progression. Nat. Mach. Intell. 2020, 2, 141–153. [Google Scholar] [CrossRef] [PubMed]
- Govindaiah, A.; Hussain, A.; Smith, R.; Bhuiyan, A. Deep Convolutional Neural Network-Based Screening and Assessment of Age-Related Macular Degeneration from Fundus Images. Proc. IEEE Int. Symp. Biomed. Imaging (ISBI) 2018, 1525–1528. [Google Scholar] [CrossRef]
- Bhuiyan, A.; Kawasaki, R.; Sasaki, M.; Lamoureux, E.; Ramamohanarao, K.; Guymer, R.; Wong, T.Y.; Kanagasingam, Y. Drusen Detection and Quantification for Early identification of age related macular degeneration using color fundus imaging. J. Clin. Exp. Ophthalmol. 2013, 4, 1–6. [Google Scholar] [CrossRef] [Green Version]
- Wu, Z.; Bogunović, H.; Asgari, R.; Schmidt-Erfurth, U.; Guymer, R.H. Predicting Progression of Age-Related Macular Degeneration Using OCT and Fundus Photography. Ophthalmol. Retin. 2021, 5, 118–125. [Google Scholar] [CrossRef] [PubMed]
- Chen, Y.; Bedell, M.; Zhang, K. Age-related Macular Degeneration: Genetic and Environmental Factors of Disease. Mol. Interv. 2010, 10, 271–279. Available online: https://www.ncbi.nlm.nih.gov/pmc/articles/PMC3002218/pdf/0100271.pdf (accessed on 1 July 2021). [CrossRef]
- Kanagasingam, Y.; Bhuiyan, A.; Abràmoff, M.; Smith, R.; Goldschmidt, L.; Wong, T. Progress on retinal image analysis for age related macular degeneration. Prog. Retin. Eye Res. 2014, 38, 20–42. [Google Scholar] [CrossRef] [PubMed] [Green Version]
- Age-Related-Eye-Disease-Study-Research-Group. A randomized, placebo-controlled, clinical trial of high-dose supplementation with vitamins C and E, beta carotene, and zinc for age-related macular degeneration and vision loss: AREDS report No. 8. Arch. Ophthalmol. 2001, 119, 1417–1436. [Google Scholar] [CrossRef] [Green Version]
- Klein, M.L.; Francis, P.J.; Rosner, B.; Reynolds, R.; Hamon, S.C.; Schultz, D.W.; Ott, J.; Seddon, J.M. CFH and LOC387715/ARMS2 genotypes and treatment with antioxidants and zinc for age-related macular degeneration. Ophthalmology 2008, 115, 1019–1025. [Google Scholar] [CrossRef]
- Mousavi, M.; Armstrong, R.A. Genetic risk factors and age-related macular degeneration (AMD). J. Optom. 2013, 6, 176–184. [Google Scholar] [CrossRef] [Green Version]
- Rajendran, A.; Dhoble, P.; Sundaresan, P.; Saravanan, V.; Vashist, P.; Nitsch, D.; Smeeth, L.; Chakravarthy, U.; Ravindran, R.D.; Fletcher, A.E. Genetic risk factors for late age-related macular degeneration in India. Br. J. Ophthalmol. 2018, 102, 1213–1217. [Google Scholar] [CrossRef] [Green Version]
- Liutkeviciene, R.; Vilkeviciute, A.; Kriauciuniene, L.; Deltuva, V.P. SIRT1 rs12778366, FGFR2 rs2981582, STAT3 rs744166, LIPC rs10468017, rs493258 and LPL rs12678919 genotypes and haplotype evaluation in patients with age-related macular degeneration. Gene 2019, 686, 8–15. [Google Scholar] [CrossRef] [PubMed]
- Seddon, J.M.; Reynolds, R.; Yu, Y.; Daly, M.J.; Rosner, B. Prediction Risk Modeling for Progression to Advanced Age-Related Macular Degeneration Using Baseline Demographic, Environmental, Genetic and Ocular Variables. Investig. Ophthalmol. Vis. Sci. 2011, 52, 5235. [Google Scholar]
- Genome-Wide Genotypic Association of AMD Status in Illumina Human-1 (100k) Chip. Available online: https://www.ncbi.nlm.nih.gov/projects/gap/cgi-bin/analysis.cgi?study_id=phs000001.v3.p1&pha=2856 (accessed on 1 July 2021).
- Ferris, F.L.; Davis, M.D.; Clemons, T.E.; Lee, L.Y.; Chew, E.Y.; Lindblad, A.S.; Milton, R.C.; Bressler, S.B.; Klein, R.; Age-Related-Eye-Disease-Study-Research-Group. A Simplified Severity Scale for Age-Related Macular Degeneration, AREDS Report No. 18. Arch. Ophthalmol. 2005, 123, 1570–1574. [Google Scholar] [PubMed]
- LeCun, Y.; Bengio, Y.; Hinton, G. Deep learning. Nature 2015, 521, 436. [Google Scholar] [CrossRef]
- Alauddin, S.; Bhuiyan, A.; Govindaiah, A.; Otero-Marquez, O.; Gildengorn, R.; Radell, J.E.; Ye, C.; Smith, R.T. A Prospective Trial of an Artificial Intelligence based Telemedicine Platform to Stratify Severity of Age-related Macular Degeneration (AMD). Investig. Ophthalmol. Vis. Sci. 2020, 61, 1843. [Google Scholar]
- Szegedy, C.; Vanhoucke, V.; Ioffe, S.; Shlens, J.; Wojna, Z. Rethinking the inception architecture for computer vision. In Proceedings of the IEEE Conference on Computer Vision and Pattern Recognition, Las Vegas, NV, USA, 30 June 2016; pp. 2818–2826. [Google Scholar]
- Szegedy, C.; Ioffe, S.; Vanhoucke, V. Inception-v4, inception-resnet and the impact of residual connections on learning. arXiv 2016, arXiv:1602.07261. [Google Scholar]
- Chollet, F. Xception: Deep learning with depthwise separable convolutions. In Proceedings of the IEEE Conference on Computer Vision and Pattern Recognition, Honolulu, HI, USA, 26 July 2017; pp. 1251–1258. [Google Scholar]
- Dietterich, T.G. Ensemble methods in machine learning. Int. Workshop Mult. Classif. Syst. 2000, 1857, 1–15. [Google Scholar]
- Zoph, B.; Vasudevan, V.; Shlens, J.; Le, Q.V. Learning transferable architectures for scalable image recognition. In Proceedings of the IEEE Conference on Computer Vision and Pattern Recognition, Salt Lake City, UT, USA, 11 June 2018; pp. 8697–8710. [Google Scholar]
- Friedman, N.; Geiger, D.; Goldszmidt, M. Bayesian network classifiers. Mach. Learn. 1997, 29, 131–163. [Google Scholar] [CrossRef] [Green Version]
- Hosmer, D.W., Jr.; Lemeshow, S.; Sturdivant, R.X. Applied Logistic Regression; John Wiley & Sons: Hoboken, NJ, USA, 2013; Volume 398. [Google Scholar]
- Safavian, S.R.; Landgrebe, D. A survey of decision tree classifier methodology. IEEE Trans. Syst. Man Cybern. 1991, 21, 660–674. [Google Scholar] [CrossRef] [Green Version]
- Breiman, L. Random forests. Mach. Learn. 2001, 45, 5–32. [Google Scholar] [CrossRef] [Green Version]
- Landwehr, N.; Hall, M.; Frank, E. Logistic model trees. Mach. Learn. 2005, 59, 161–205. [Google Scholar] [CrossRef] [Green Version]
- Chakravarthy, U.; Wong, T.Y.; Fletcher, A.; Piault, E.; Evans, C.; Zlateva, G.; Buggage, R.; Pleil, A.; Mitchell, P. Clinical risk factors for age-related macular degeneration: A systematic review and meta-analysis. BMC Ophthalmol. 2010, 10, 31. [Google Scholar] [CrossRef]
- Buitendijk, G.H.; Rochtchina, E.; Myers, C.; van Duijn, C.M.; Lee, K.E.; Klein, B.E.; Meuer, S.M.; de Jong, P.T.; Holliday, E.G.; Tan, A.G. Prediction of age-related macular degeneration in the general population: The Three Continent AMD Consortium. Ophthalmology 2013, 120, 2644–2655. [Google Scholar] [CrossRef] [Green Version]
- Souied, E.; Delcourt, C.; Querques, G.; Merle, B.; Smith, T.; Benlian, P. NAT2 study: OMEGA-3 levels in red blood cells membranes CORRELATES the PREVENTIVE effect. Investig. Ophthalmol. Vis. Sci. 2013, 54, 3277. [Google Scholar]


| Input Variables | Socio-Demographic/Medical Data | Genetic Data Only | Socio-Demographic/Medical/Genetic Data | Retinal Images Data Only | Retinal Images/Socio-Demographic/Medical Data | All Input Variables |
|---|---|---|---|---|---|---|
| Sensitivity (any AMD) | 77.69% (73.17% to 81.77%) | 75.07% (70.41% to 79.33%) | 79.79% (75.40% to 83.71%) | 89.24% (85.69% to 92.17%) | 91.34% (88.05% to 93.96%) | 92.13% (88.95% to 94.62%) |
| Specificity (any AMD) | 60.43% (53.03% to 67.49%) | 51.34% (43.93% to 58.70%) | 66.84% (59.60% to 73.54%) | 83.96% (77.90% to 88.91%) | 84.49% (78.49% to 89.36%) | 84.49% (78.49% to 89.36%) |
| Accuracy (any AMD) | 72.01% (68.12% to 75.66%) | 67.25% (63.22% to 71.10%) | 75.53% (71.78% to 79.01%) | 87.50% (84.50% to 90.11%) | 89.08% (86.23% to 91.53%) | 89.61% (86.81% to 92.00%) |
| Unweighted kappa (any AMD) | 0.38 (0.29 to 0.46) | 0.26 (0.18 to 0.35) | 0.46 (0.38 to 0.54) | 0.72 (0.66 to 0.78) | 0.75 (0.70 to 0.81) | 0.77 (0.71 to 0.82) |
| Area under ROC (any AMD) | 0.76 (0.72 to 0.80) | 0.69 (0.65 to 0.74) | 0.77 (0.73 to 0.81) | 0.90 (0.86 to 0.94) | 0.92 (0.88 to 0.96) | 0.92 (0.88 to 0.96) |
| Sensitivity (dry AMD) | 72.28% (65.22% to 78.61%) | 71.20% (64.07% to 77.62%) | 72.28% (65.22% to 78.61%) | 74.46% (67.52% to 80.59%) | 74.46% (67.52% to 80.59%) | 75.00% (68.10% to 81.08%) |
| Specificity (dry AMD) | 65.24% (57.95% to 72.04%) | 52.41% (44.99% to 59.74%) | 67.38% (60.16% to 74.04%) | 70.59% (63.50% to 77.01%) | 70.59% (63.50% to 77.01%) | 71.66% (64.62% to 77.99%) |
| Accuracy (dry AMD) | 68.73% (63.75% to 73.42%) | 61.73% (56.57% to 66.69%) | 69.81% (64.86% to 74.44%) | 72.51% (67.66% to 76.99%) | 72.51% (67.66% to 76.99%) | 73.32% (68.51% to 77.75%) |
| Unweighted kappa (dry AMD) | 0.38 (0.28 to 0.47) | 0.24 (0.14 to 0.33) | 0.40 (0.30 to 0.49) | 0.45 (0.36 to 0.54) | 0.45 (0.36 to 0.54) | 0.47 (0.38 to 0.56) |
| Area under ROC (dry AMD) | 0.72 (0.67 to 0.76) | 0.67 (0.63 to 0.71) | 0.72 (0.68 to 0.76) | 0.75 (0.71 to 0.78) | 0.75 (0.71 to 0.78) | 0.78 (0.74 to 0.82) |
| Sensitivity (wet AMD) | 70.97% (64.89% to 76.54%) | 70.16% (64.05% to 75.79%) | 71.37% (65.31% to 76.91%) | 72.58% (66.58% to 78.03%) | 72.98% (67.00% to 78.41%) | 72.98% (67.00% to 78.41%) |
| Specificity (wet AMD) | 64.71% (57.40% to 71.54%) | 53.48% (46.05% to 60.79%) | 67.91% (60.71% to 74.54%) | 72.19% (65.18% to 78.48%) | 71.66% (64.62% to 77.99%) | 72.19% (65.18% to 78.48%) |
| Accuracy (wet AMD) | 68.28% (63.67% to 72.63%) | 62.99% (58.26% to 67.54%) | 69.89% (65.33% to 74.16%) | 72.41% (67.96% to 76.56%) | 72.41% (67.96% to 76.56%) | 72.64% (68.19% to 76.78%) |
| Unweighted kappa (wet AMD) | 0.36 (0.27 to 0.44) | 0.24 (0.15 to 0.33) | 0.39 (0.30 to 0.48) | 0.44 (0.36 to 0.53) | 0.45 (0.36 to 0.53) | 0.45 (0.36 to 0.53) |
| Area under ROC (wet AMD) | 0.71 (0.67 to 0.75) | 0.66 (0.62 to 0.70) | 0.73 (0.69 to 0.77) | 0.76 (0.72 to 0.80) | 0.76 (0.72 to 0.80) | 0.77 (0.73 to 0.81) |
| Input Variables | Socio-Demographic/Medical Data | Genetic Data Only | Socio-Demographic/Medical/Genetic Data | Retinal Images Data Only | Retinal Images/Socio-Demographic/Medical Data | All Input Variables |
|---|---|---|---|---|---|---|
| Sensitivity (any AMD) | 75.23% (72.78% to 80.01%) | 75.00% (70.00% to 79.99%) | 79.79% (75.40% to 83.71%) | 87.77% (84.61% to 91.56%) | 88.24% (85.4% to 91.91%) | 90.11% (87.05% to 93.32%) |
| Specificity (any AMD) | 60.01% (56.0% to 65.72%) | 51.55% (43.99% to 59.67%) | 66.84% (59.60% to 73.54%) | 82.67% (76.31% to 87.91%) | 82.49% (76.45% to 87.11%) | 83.45% (76.49% to 88.26%) |
| Accuracy (any AMD) | 68.07% (63.12% to 74.06%) | 68.21% (63.02% to 71.56%) | 75.53% (71.78% to 79.01%) | 86.2% (82.9% to 88.56%) | 86.58% (84.20% to 90.13%) | 87.21% (84.34% to 91.29%) |
| Unweighted kappa (any AMD) | 0.34 (0.26 to 0.43) | 0.27 (0.18 to 0.36) | 0.46 (0.38 to 0.54) | 0.72 (0.66 to 0.78) | 0.75 (0.70 to 0.80) | 0.76 (0.70 to 0.81) |
| Area under ROC (any AMD) | 0.74 (0.70 to 0.78) | 0.70 (0.65 to 0.75) | 0.77 (0.73 to 0.81) | 0.88 (0.84 to 0.93) | 0.90 (0.85 to 0.95) | 0.90 (0.86 to 0.95) |
| Sensitivity (dry AMD) | 63.56% (57.34% to 70.02%) | 70.01% (63.29% to 74.65%) | 71.19% (65.02% to 77.74%) | 73.31% (67.02% to 79.51%) | 73.46% (66.22% to 79.59%) | 74.51% (67.10% to 80.53%) |
| Specificity (dry AMD) | 62.34% (56.95% to 70.11%) | 52.45% (44.99% to 59.74%) | 66.38% (60.16% to 74.04%) | 70.59% (63.50% to 77.01%) | 70.59% (63.50% to 77.01%) | 70.98% (64.03% to 77.12%) |
| Accuracy (dry AMD) | 62.73% (57.75% to 70.21%) | 62.22% (56.57% to 66.69%) | 69.81% (64.86% to 74.44%) | 72.06% (67.66% to 76.99%) | 72.15% (67.36% to 76.99%) | 72.69% (67.01% to 77.43%) |
| Unweighted kappa (dry AMD) | 0.34 (0.26 to 0.44) | 0.25 (0.14 to 0.33) | 0.41 (0.31 to 0.50) | 0.45 (0.36 to 0.54) | 0.45 (0.36 to 0.54) | 0.46 (0.37 to 0.56) |
| Area under ROC (dry AMD) | 0.67 (0.63 to 0.71) | 0.67 (0.63 to 0.71) | 0.71 (0.68 to 0.76) | 0.72 (0.68 to 0.76) | 0.74 (0.70 to 0.78) | 0.75 (0.71 to 0.80) |
| Sensitivity (wet AMD) | 60.67% (54.89% to 66.24%) | 71.06% (66.02% to 76.79%) | 70.21% (65.01% to 74.91%) | 71.52% (67.68% to 76.03%) | 71.03% (67.00% to 76.41%) | 72.21% (66.3% to 78.41%) |
| Specificity (wet AMD) | 63.76% (56.40% to 69.54%) | 54.18% (47.05% to 61.29%) | 66.36% (61.71% to 74.99%) | 73.19% (65.18% to 78.48%) | 72.66% (64.62% to 77.99%) | 72.03% (65.18% to 77.48%) |
| Accuracy (wet AMD) | 62.28% (58.67% to 66.63%) | 63.05% (58.39% to 67.59%) | 70.03% (65.89% to 74.77%) | 71.41% (67.02% to 75.96%) | 71.01% (67.86% to 75.56%) | 72.23% (67.99% to 76.71%) |
| Unweighted kappa (wet AMD) | 0.32 (0.27 to 0.39) | 0.25 (0.15 to 0.32) | 0.39 (0.30 to 0.48) | 0.44 (0.36 to 0.53) | 0.44 (0.36 to 0.53) | 0.44 (0.36 to 0.53) |
| Area under ROC (wet AMD) | 0.69 (0.65 to 0.74) | 0.67 (0.63 to 0.71) | 0.73 (0.69 to 0.77) | 0.75 (0.72 to 0.80) | 0.75 (0.72 to 0.80) | 0.75 (0.72 to 0.80) |
| Input Variables | Socio-Demographic/Medical Data | Genetic Data Only | Socio-Demographic/Medical/Genetic Data | Retinal Images Data Only | Retinal Images/Socio-Demographic/Medical Data | All Input Variables |
|---|---|---|---|---|---|---|
| Sensitivity (any AMD) | 68.23% (62.78% to 80.01%) | 75.00% (70.00% to 79.99%) | 75.79% (70.40% to 83.71%) | 73.77% (64.61% to 81.56%) | 74.24% (65.4% to 81.91%) | 76.11% (67.05% to 83.32%) |
| Specificity (any AMD) | 56.01% (56.0% to 65.72%) | 51.55% (43.99% to 59.67%) | 66.84% (59.60% to 73.54%) | 72.67% (66.31% to 77.91%) | 72.49% (66.45% to 77.11%) | 73.45% (66.49% to 78.26%) |
| Accuracy (any AMD) | 64.07% (63.12% to 74.06%) | 68.21% (63.02% to 71.56%) | 70.53% (71.78% to 79.01%) | 72.9% (70.9% to 77.56%) | 73.58% (64.20% to 80.13%) | 75.21% (64.34% to 81.29%) |
| Unweighted kappa (any AMD) | 0.33 (0.26 to 0.43) | 0.27 (0.18 to 0.36) | 0.46 (0.38 to 0.54) | 0.53 (0.46 to 0.68) | 0.55 (0.40 to 0.70) | 0.55 (0.40 to 0.61) |
| Area under ROC (any AMD) | 0.71 (0.62 to 0.78) | 0.70 (0.65 to 0.75) | 0.71 (0.63 to 0.81) | 0.73 (0.84 to 0.93) | 0.73 (0.65 to 0.85) | 0.75 (0.66 to 0.85) |
| Sensitivity (dry AMD) | 61.56% (57.34% to 70.02%) | 70.01% (63.29% to 74.65%) | 71.19% (65.02% to 77.74%) | 65.31% (57.02% to 69.51%) | 68.46% (66.22% to 79.59%) | 71.99% (67.10% to 80.53%) |
| Specificity (dry AMD) | 60.34% (56.95% to 70.11%) | 52.45% (44.99% to 59.74%) | 65.38% (60.16% to 74.04%) | 66.59% (63.50% to 71.01%) | 67.59% (53.50% to 67.01%) | 69.98% (64.03% to 77.12%) |
| Accuracy (dry AMD) | 60.73% (57.75% to 70.21%) | 62.22% (56.57% to 66.69%) | 68.81% (54.86% to 74.44%) | 65.66% (57.66% to 76.99%) | 65.95% (57.36% to 76.99%) | 70.69% (67.01% to 77.43%) |
| Unweighted kappa (dry AMD) | 0.31 (0.26 to 0.43) | 0.25 (0.14 to 0.33) | 0.41 (0.31 to 0.50) | 0.39 (0.36 to 0.54) | 0.42 (0.36 to 0.54) | 0.43 (0.37 to 0.56) |
| Area under ROC (dry AMD) | 0.61 (0.53 to 0.71) | 0.67 (0.63 to 0.71) | 0.67 (0.58 to 0.76) | 0.66 (0.58 to 0.76) | 0.68 (0.70 to 0.78) | 0.69 (0.61 to 0.78) |
| Sensitivity (wet AMD) | 60.67% (54.89% to 66.24%) | 71.06% (66.02% to 76.79%) | 71.21% (65.01% to 74.91%) | 64.52% (57.68% to 76.03%) | 66.03% (67.00% to 76.41%) | 72.21% (66.3% to 78.41%) |
| Specificity (wet AMD) | 63.76% (56.40% to 69.54%) | 54.18% (47.05% to 61.29%) | 66.36% (61.71% to 74.99%) | 60.19% (55.18% to 78.48%) | 62.66% (64.62% to 77.99%) | 67.03% (62.18% to 73.48%) |
| Accuracy (wet AMD) | 62.28% (58.67% to 66.63%) | 63.05% (58.39% to 67.59%) | 63.44% (60.89% to 70.77%) | 62.41% (67.02% to 75.96%) | 65.01% (67.86% to 75.56%) | 69.93% (67.99% to 73.71%) |
| Unweighted kappa (wet AMD) | 0.32 (0.27 to 0.39) | 0.25 (0.15 to 0.32) | 0.39 (0.30 to 0.48) | 0.42 (0.36 to 0.53) | 0.42 (0.36 to 0.53) | 0.43 (0.36 to 0.53) |
| Area under ROC (wet AMD) | 0.59 (0.55 to 0.64) | 0.66 (0.63 to 0.71) | 0.63 (0.59 to 0.77) | 0.65 (0.52 to 0.80) | 0.68 (0.62 to 0.80) | 0.69 (0.62 to 0.80) |
Publisher’s Note: MDPI stays neutral with regard to jurisdictional claims in published maps and institutional affiliations. |
© 2021 by the authors. Licensee MDPI, Basel, Switzerland. This article is an open access article distributed under the terms and conditions of the Creative Commons Attribution (CC BY) license (https://creativecommons.org/licenses/by/4.0/).
Share and Cite
Govindaiah, A.; Baten, A.; Smith, R.T.; Balasubramanian, S.; Bhuiyan, A. Optimized Prediction Models from Fundus Imaging and Genetics for Late Age-Related Macular Degeneration. J. Pers. Med. 2021, 11, 1127. https://doi.org/10.3390/jpm11111127
Govindaiah A, Baten A, Smith RT, Balasubramanian S, Bhuiyan A. Optimized Prediction Models from Fundus Imaging and Genetics for Late Age-Related Macular Degeneration. Journal of Personalized Medicine. 2021; 11(11):1127. https://doi.org/10.3390/jpm11111127
Chicago/Turabian StyleGovindaiah, Arun, Abdul Baten, R. Theodore Smith, Siva Balasubramanian, and Alauddin Bhuiyan. 2021. "Optimized Prediction Models from Fundus Imaging and Genetics for Late Age-Related Macular Degeneration" Journal of Personalized Medicine 11, no. 11: 1127. https://doi.org/10.3390/jpm11111127
APA StyleGovindaiah, A., Baten, A., Smith, R. T., Balasubramanian, S., & Bhuiyan, A. (2021). Optimized Prediction Models from Fundus Imaging and Genetics for Late Age-Related Macular Degeneration. Journal of Personalized Medicine, 11(11), 1127. https://doi.org/10.3390/jpm11111127

