Short Term Caloric Restriction and Biofeedback Enhance Psychological Wellbeing and Reduce Overweight in Healthy Women
Abstract
:1. Introduction
2. Materials and Methods
2.1. Sample
2.2. Treatment Groups
2.3. Measures
2.4. Statistical Analyses
3. Results
3.1. Anthropomorphic Parameters
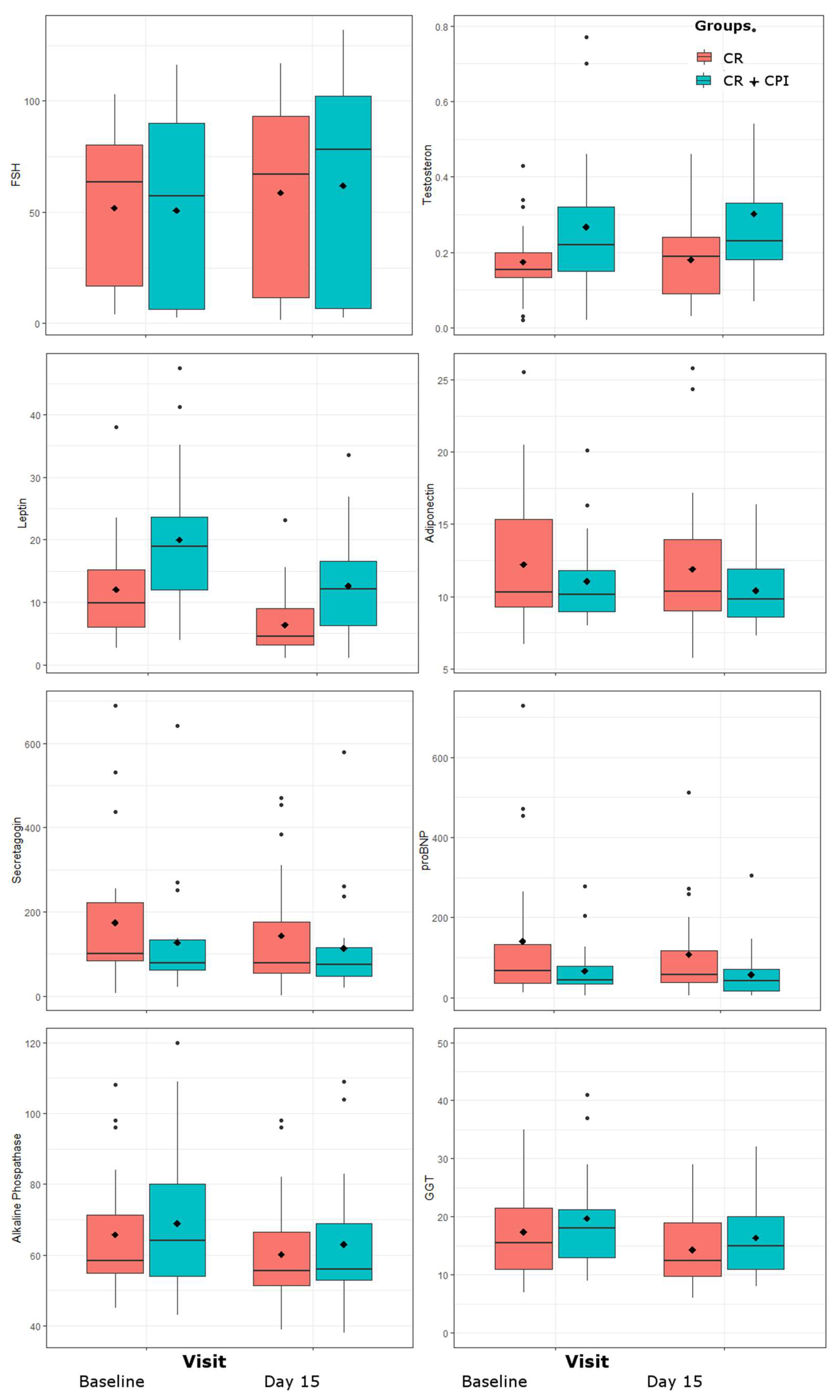
3.2. Serum and Biofeedback Parameters
3.3. Psychometric Parameters
4. Discussion
Supplementary Materials
Author Contributions
Funding
Institutional Review Board Statement
Informed Consent Statement
Data Availability Statement
Acknowledgments
Conflicts of Interest
References
- Chooi, Y.C.; Ding, C.; Magkos, F. The epidemiology of obesity. Metabolism 2019, 92, 6–10. [Google Scholar] [CrossRef] [PubMed] [Green Version]
- Carlsson, A.C.; Riserus, U.; Arnlov, J.; Borné, Y.; Leander, K.; Gigante, B.; Hellénius, M.-L.; Bottai, M.; de Faire, U. Prediction of cardiovascular disease by abdominal obesity measures is dependent on body weight and sex—Results from two community based cohort studies. Nutr. Metab. Cardiovasc. Dis. 2014, 24, 891–899. [Google Scholar] [CrossRef] [PubMed]
- Yumuk, V.; Tsigos, C.; Fried, M.; Schindler, K.; Busetto, L.; Micic, D.; Toplak, H. European Guidelines for Obesity Management in Adults. Obes. Facts 2015, 8, 402–424. [Google Scholar] [CrossRef] [PubMed]
- Anguzu, R.; Nagavally, S.; Dawson, A.Z.; Walker, R.J.; Egede, L.E. Age and Gender Differences in Trends and Impact of Depression on Quality of Life in the United States, 2008 to 2016. Womens Health Issues 2021, 31, 353–365. [Google Scholar] [CrossRef]
- Mayor, E. Gender roles and traits in stress and health. Front. Psychol. 2015, 6, 779. [Google Scholar] [CrossRef] [PubMed] [Green Version]
- Darwish, L.; Beroncal, E.; Sison, M.V.; Swardfager, W. Depression in people with type 2 diabetes: Current perspectives. Diabetes Metab. Syndr. Obes. 2018, 11, 333–343. [Google Scholar] [CrossRef] [Green Version]
- Perry, B.I.; Mcintosh, G.; Weich, S.; Singh, S.; Rees, K. The association between first-episode psychosis and abnormal glycaemic control: Systematic review and meta-analysis. Lancet Psychiatry 2016, 3, 1049–1058. [Google Scholar] [CrossRef] [Green Version]
- Moulton, C.D.; Pickup, J.C.; Ismail, K. The link between depression and diabetes: The search for shared mechanisms. Lancet Diabetes Endocrinol. 2015, 3, 461–471. [Google Scholar] [CrossRef]
- Karczewski, J.; Sledzinska, E.; Baturo, A.; Jończyk, I.; Maleszko, A.; Samborski, P.; Begier-Krasińska, B.; Dobrowolska, A. Obesity and inflammation. Eur. Cytokine Netw. 2018, 29, 83–94. [Google Scholar] [CrossRef] [PubMed]
- Joseph, J.J.; Golden, S.H. Cortisol dysregulation: The bidirectional link between stress, depression, and type 2 diabetes mellitus. Ann. N. Y. Acad. Sci. 2017, 1391, 20–34. [Google Scholar] [CrossRef] [PubMed]
- Cipriani, A.; Furukawa, T.A.; Salanti, G.; Chaimani, A.; Atkinson, L.Z.; Ogawa, Y.; Leucht, S.; Ruhe, H.G.; Turner, E.H.; Higgins, J.P.T.; et al. Comparative efficacy and acceptability of 21 antidepressant drugs for the acute treatment of adults with major depressive disorder: A systematic review and network meta-analysis. Lancet 2018, 391, 1357–1366. [Google Scholar] [CrossRef] [Green Version]
- American Diabetes Association. 2. Classification and Diagnosis of Diabetes: Standards of Medical Care in Diabetes-2021. Diabetes Care 2021, 44, S15–S33. [Google Scholar] [CrossRef] [PubMed]
- Bartova, L.; Dold, M.; Kautzky, A.; Fabbri, C.; Spies, M.; Serretti, A.; Souery, D.; Mendlewicz, J.; Zohar, J.; Montgomery, S.; et al. Results of the European Group for the Study of Resistant Depression (GSRD)-basis for further research and clinical practice. World J. Biol. Psychiatry 2019, 20, 427–448. [Google Scholar] [CrossRef] [PubMed]
- Mcgovern, A.; Tippu, Z.; Hinton, W.; Munro, N.; Whyte, M.; DE Lusignan, S. Comparison of medication adherence and persistence in type 2 diabetes: A systematic review and meta-analysis. Diabetes Obes. Metab. 2018, 20, 1040–1043. [Google Scholar] [CrossRef] [Green Version]
- Keyloun, K.R.; Hansen, R.N.; Hepp, Z.; Gillard, P.; Thase, M.E.; Devine, E.B. Adherence and Persistence Across Antidepressant Therapeutic Classes: A Retrospective Claims Analysis Among Insured, U.S. Patients with Major Depressive Disorder (MDD). CNS Drugs 2017, 31, 421–432. [Google Scholar] [CrossRef] [PubMed] [Green Version]
- Steven, S.; Hollingsworth, K.G.; Al-Mrabeh, A.; Avery, L.; Aribisala, B.; Caslake, M.; Taylor, R. Very Low-Calorie Diet and 6 Months of Weight Stability in Type 2 Diabetes: Pathophysiological Changes in Responders and Nonresponders. Diabetes Care 2016, 39, 808–815. [Google Scholar] [CrossRef] [PubMed] [Green Version]
- Steven, S.; Taylor, R. Restoring normoglycaemia by use of a very low calorie diet in long- and short-duration Type 2 diabetes. Diabet. Med. 2015, 32, 1149–1155. [Google Scholar] [CrossRef] [PubMed]
- Lim, E.L.; Hollingsworth, K.G.; Aribisala, B.S.; Chen, M.J.; Mathers, J.C.; Taylor, R. Reversal of type 2 diabetes: Normalisation of beta cell function in association with decreased pancreas and liver triacylglycerol. Diabetologia 2011, 54, 2506–2514. [Google Scholar] [CrossRef] [Green Version]
- Fond, G.; Macgregor, A.; Leboyer, M.; Michalsen, A. Fasting in mood disorders: Neurobiology and effectiveness. A review of the literature. Psychiatry Res. 2013, 209, 253–258. [Google Scholar] [CrossRef] [PubMed] [Green Version]
- Igwe, O.; Sone, M.; Matveychuk, D.; Baker, G.B.; Dursun, S.M. A review of effects of calorie restriction and fasting with potential relevance to depression. Prog. Neuropsychopharmacol. Biol. Psychiatry 2020, 110206. [Google Scholar] [CrossRef]
- Zhang, Y.; Liu, C.; Zhao, Y.; Zhang, X.; Li, B.; Cui, R. The Effects of Calorie Restriction in Depression and Potential Mechanisms. Curr. Neuropharmacol. 2015, 13, 536–542. [Google Scholar] [CrossRef] [PubMed] [Green Version]
- Kemp, A.H.; Quintana, D.S.; Gray, M.A.; Felmingham, K.L.; Brown, K.; Gatt, J.M. Impact of depression and antidepressant treatment on heart rate variability: A review and meta-analysis. Biol. Psychiatry 2010, 67, 1067–1074. [Google Scholar] [CrossRef] [PubMed]
- Sgoifo, A.; Carnevali, L.; Alfonso Mde, L.; Amore, M. Autonomic dysfunction and heart rate variability in depression. Stress 2015, 18, 343–352. [Google Scholar] [CrossRef] [PubMed]
- Tatschl, J.M.; Hochfellner, S.M.; Schwerdtfeger, A.R. Implementing Mobile, H.R.V. Biofeedback as Adjunctive Therapy During Inpatient Psychiatric Rehabilitation Facilitates Recovery of Depressive Symptoms and Enhances Autonomic Functioning Short-Term: A 1-Year Pre-Post-intervention Follow-Up Pilot Study. Front. NeuroSci. 2020, 14, 738. [Google Scholar] [CrossRef] [PubMed]
- Lin, I.M.; Fan, S.Y.; Yen, C.F.; Yeh, Y.C.; Tang, T.C.; Huang, M.F.; Liu, T.L.; Wang, P.W.; Lin, H.C.; Tsai, H.-Y.; et al. Heart Rate Variability Biofeedback Increased Autonomic Activation and Improved Symptoms of Depression and Insomnia among Patients with Major Depression Disorder. Clin. Psychopharmacol. NeuroSci. 2019, 17, 222–232. [Google Scholar] [CrossRef]
- Economides, M.; Lehrer, P.; Ranta, K.; Nazander, A.; Hilgert, O.; Raevuori, A.; Gevirtz, R.; Khazan, I.; Forman-Hoffman, V.L. Feasibility and Efficacy of the Addition of Heart Rate Variability Biofeedback to a Remote Digital Health Intervention for Depression. Appl. Psychophysiol. Biofeedback 2020, 45, 75–86. [Google Scholar] [CrossRef] [Green Version]
- Kautzky, A.; Heneis, K.; Stengg, K.; Fröhlich, S.; Kautzky-Willer, A. Biological and psychological stress correlates are linked to glucose metabolism, obesity and gender roles in women. Neuroendocrinology 2021, in press. [Google Scholar] [CrossRef] [PubMed]
- Ford, E.S. Prevalence of the metabolic syndrome defined by the International Diabetes Federation among adults in the U.S. Diabetes Care 2005, 28, 2745–2749. [Google Scholar] [CrossRef] [PubMed] [Green Version]
- Witasek, A. Diagnosis and therapy after Dr. F. X. Mayr. Komplement 1999, 6, 45–46. [Google Scholar]
- Manz, F. History of nutrition and acid-base physiology. Eur. J. Nutr. 2001, 40, 189–199. [Google Scholar] [CrossRef] [PubMed]
- Jette, M.; Sidney, K.; Blumchen, G. Metabolic equivalents (METS) in exercise testing, exercise prescription, and evaluation of functional capacity. Clin. Cardiol. 1990, 13, 555–565. [Google Scholar] [CrossRef] [PubMed]
- Stroop, J.R. Studies of Interference in Serial Verbal Reactions; George Peabody College for Teachers: Nashville, TN, USA, 1935. [Google Scholar]
- Manning, R.T. The serial sevens test. Arch. Intern. Med. 1982, 142, 1192. [Google Scholar] [CrossRef] [PubMed]
- Derogatis, L.R.; Spencer, P.M. Brief Symptom Inventory (BSI): Administration, Scoring and Procedures Manual; National Computer Systems: Minneapolis, MN, USA, 1993. [Google Scholar]
- Scheibenbogen, O.; Andorfer, U.; Kuderer, M.; Musalek, M. Prävalenz des Burnout-Syndroms in Österreich. Abschlussbericht Bundesministeriums für Arbeit, Soziales und Konsumentenschutz (BMASK). 2017. Available online: https://www.ibe.co.at/redx/tools/mb_download.php/mid.yf80d30c02b4d51cd/Abschlussbericht_Psychische_und_physische_Gesundheitsbeeintraechtigungen____.pdf (accessed on 20 October 2021).
- Cohen, S.; Kamarck, T.; Mermelstein, R. A global measure of perceived stress. J. Health Soc. Behav. 1983, 24, 385–396. [Google Scholar] [CrossRef] [PubMed]
- Pinheiro, J.; Bates, D.; Debroy, S.; Sarkar, D.; the R Core Team. Linear and Nonlinear Mixed Effects Models. R Package Version 2021, 3, 1–89. [Google Scholar]
- Most, J.; Redman, L.M. Impact of calorie restriction on energy metabolism in humans. Exp. Gerontol. 2020, 133, 110875. [Google Scholar] [CrossRef] [PubMed]
- Most, J.; Tosti, V.; Redman, L.M.; Fontana, L. Calorie restriction in humans: An update. Ageing Res. Rev. 2017, 39, 36–45. [Google Scholar] [CrossRef] [PubMed]
- Pittas, A.G.; Roberts, S.B.; Das, S.K.; Gilhooly, C.H.; Saltzman, E.; Golden, J.; Stark, P.C.; Greenberg, A.S. The effects of the dietary glycemic load on type 2 diabetes risk factors during weight loss. Obesity 2006, 14, 2200–2209. [Google Scholar] [CrossRef] [PubMed] [Green Version]
- Ravussin, E.; Redman, L.M.; Rochon, J.; Das, S.K.; Fontana, L.; Kraus, W.E.; Romashkan, S.; Williamson, D.A.; Meydani, S.N.; Villareal, D.T.; et al. A 2-Year Randomized Controlled Trial of Human Caloric Restriction: Feasibility and Effects on Predictors of Health Span and Longevity. J. Gerontol. A Biol. Sci. Med. Sci. 2015, 70, 1097–1104. [Google Scholar] [CrossRef] [PubMed]
- Cangemi, R.; Friedmann, A.J.; Holloszy, J.O.; Fontana, L. Long-term effects of calorie restriction on serum sex-hormone concentrations in men. Aging Cell 2010, 9, 236–242. [Google Scholar] [CrossRef] [PubMed] [Green Version]
- Tarantino, G.; Citro, V.; Capone, D. Nonalcoholic Fatty Liver Disease: A Challenge from Mechanisms to Therapy. J. Clin. Med. 2019, 9, 15. [Google Scholar] [CrossRef] [PubMed] [Green Version]
- Bedogni, G.; Bellentani, S.; Miglioli, L.; Masutti, F.; Passalacqua, M.; Castiglione, A.; Tiribelli, C. The Fatty Liver Index: A simple and accurate predictor of hepatic steatosis in the general population. BMC Gastroenterol. 2006, 6, 33. [Google Scholar] [CrossRef] [PubMed] [Green Version]
- Heun, E. Therapeutic fasting. Med. Klin. 1956, 51, 947–949. [Google Scholar] [PubMed]
- Rooth, G.; Carlstrom, S. Therapeutic fasting. Acta Med. Scand. 1970, 187, 455–463. [Google Scholar] [CrossRef] [PubMed]
- Suzuki, J.; Yamauchi, Y.; Horikawa, M.; Yamagata, S. Fasting therapy for psychosomatic diseases with special reference to its indication and therapeutic mechanism. Tohoku J. Exp. Med. 1976, 118, 245–259. [Google Scholar] [CrossRef] [Green Version]
- Manchishi, S.M.; Cui, R.J.; Zou, X.H.; Cheng, Z.Q.; Li, B.J. Effect of caloric restriction on depression. J. Cell Mol. Med. 2018, 22, 2528–2535. [Google Scholar] [CrossRef] [PubMed] [Green Version]
- Moore, M.N.; Shaw, J.P.; Ferrar Adams, D.R.; Viarengo, A. Anti-oxidative cellular protection effect of fasting-induced autophagy as a mechanism for hormesis. Mar. Environ. Res. 2015, 107, 35–44. [Google Scholar] [CrossRef] [PubMed] [Green Version]
- Marx, W.; Lane, M.; Hockey, M.; Aslam, H.; Berk, M.; Walder, K.; Borsini, A.; Firth, J.; Pariante, C.M.; Berding, K.; et al. Diet and depression: Exploring the biological mechanisms of action. Mol. Psychiatry 2020. [Google Scholar] [CrossRef] [PubMed]
- Fontana, L.; Klein, S.; Holloszy, J.O. Effects of long-term calorie restriction and endurance exercise on glucose tolerance, insulin action, and adipokine production. Age 2010, 32, 97–108. [Google Scholar] [CrossRef] [PubMed] [Green Version]
- Zou, X.; Zhong, L.; Zhu, C.; Zhao, H.; Zhao, F.; Cui, R.; Gao, S.; Li, B. Role of Leptin in Mood Disorder and Neurodegenerative Disease. Front. NeuroSci. 2019, 13, 378. [Google Scholar] [CrossRef] [PubMed]
- Hariri, M.A.; Jaffa, M.A.; Saoud, R.; Zhao, J.; Zhu, R.; Jaffa, A.A.; El-Achkar, G.A.; Moussa, M.; Kobeissy, F.; Hassan, A.; et al. Vascular Cells Proteome Associated with Bradykinin and Leptin Inflammation and Oxidative Stress Signals. Antioxidants 2020, 9, 1251. [Google Scholar] [CrossRef]
- Milaneschi, Y.; Sutin, A.R.; Terracciano, A.; Canepa, M.; Gravenstein, K.S.; Egan, J.M.; Vogelzangs, N.; Guralnik, J.M.; Bandinelli, S.; Penninx, B.W.; et al. The association between leptin and depressive symptoms is modulated by abdominal adiposity. Psychoneuroendocrinology 2014, 42, 1–10. [Google Scholar] [CrossRef] [PubMed] [Green Version]
- Fusco, S.; Ripoli, C.; Podda, M.V.; Ranieri, S.C.; Leone, L.; Toietta, G.; McBurney, M.W.; Schütz, G.; Riccio, A.; Grassi, C.; et al. A role for neuronal cAMP responsive-element binding (CREB)-1 in brain responses to calorie restriction. Proc. Natl. Acad. Sci. USA 2012, 109, 621–626. [Google Scholar] [CrossRef] [PubMed] [Green Version]
- Araya, A.V.; Orellana, X.; Espinoza, J. Evaluation of the effect of caloric restriction on serum BDNF in overweight and obese subjects: Preliminary evidences. Endocrine 2008, 33, 300–304. [Google Scholar] [CrossRef]
- Xu, W.; Yao, X.; Zhao, F.; Zhao, H.; Cheng, Z.; Yang, W.; Cui, R.; Xu, S.; Li, B. Changes in Hippocampal Plasticity in Depression and Therapeutic Approaches Influencing These Changes. Neural Plast. 2020, 2020, 8861903. [Google Scholar] [CrossRef]
- Zainuddin, M.S.; Thuret, S. Nutrition, adult hippocampal neurogenesis and mental health. Br. Med. Bull. 2012, 103, 89–114. [Google Scholar] [CrossRef] [PubMed] [Green Version]
- Milaneschi, Y.; Lamers, F.; Bot, M.; Drent, M.L.; Penninx, B.W. Leptin Dysregulation Is Specifically Associated With Major Depression With Atypical Features: Evidence for a Mechanism Connecting Obesity and Depression. Biol. Psychiatry 2017, 81, 807–814. [Google Scholar] [CrossRef]
- Polyakova, M.; Stuke, K.; Schuemberg, K.; Mueller, K.; Schoenknecht, P.; Schroeter, M.L. BDNF as a biomarker for successful treatment of mood disorders: A systematic & quantitative meta-analysis. J. Affect. Disord. 2015, 174, 432–440. [Google Scholar] [PubMed]
- Serretti, A.; Mandelli, L. Antidepressants and body weight: A comprehensive review and meta-analysis. J. Clin. Psychiatry 2010, 71, 1259–1272. [Google Scholar] [CrossRef] [Green Version]
- Steven, S.; Lim, E.L.; Taylor, R. Population response to information on reversibility of Type 2 diabetes. Diabet. Med. 2013, 30, e135-8. [Google Scholar] [CrossRef]
- Karavidas, M.K.; Lehrer, P.M.; Vaschillo, E.; Vaschillo, B.; Marin, H.; Buyske, S.; Malinovsky, I.; Radvanski, D.; Hassett, A. Preliminary results of an open label study of heart rate variability biofeedback for the treatment of major depression. Appl. Psychophysiol. Biofeedback 2007, 32, 19–30. [Google Scholar] [CrossRef] [PubMed]
- Hartogs, B.M.A.; Bartels-Velthuis, A.A.; van der Ploeg, K.; Bos, E.H. Heart Rate Variability Biofeedback Stress Relief Program for Depression*. A Replicated Single-Subject Design. Methods Inf. Med. 2017, 56, 419–426. [Google Scholar] [PubMed]
- Siepmann, M.; Aykac, V.; Unterdorfer, J.; Petrowski, K.; Mueck-Weymann, M. A pilot study on the effects of heart rate variability biofeedback in patients with depression and in healthy subjects. Appl. Psychophysiol. Biofeedback 2008, 33, 195. [Google Scholar] [CrossRef] [PubMed]
- Gade, H.; Rosenvinge, J.H.; Hjelmesaeth, J.; Friborg, O. Psychological correlates to dysfunctional eating patterns among morbidly obese patients accepted for bariatric surgery. Obes. Facts 2014, 7, 111–119. [Google Scholar] [CrossRef] [PubMed]




| Outcome | Predictor | numDF | denDF | F-Value | p-Value |
|---|---|---|---|---|---|
| (A) Anthropometric Parameters | |||||
| Body Mass Index | Visit | 1 | 39 | 87.990 | <0.0001 |
| Visit * CPI | 1 | 41 | 4.4 | 0.041 | |
| Waist-to-Height Ratio | Visit | 1 | 40 | 43.5 | <0.0001 |
| Waist Circumference | Visit | 1 | 38 | 36.6 | <0.0001 |
| Body Fat | Visit | 1 | 21 | 49.8 | <0.0001 |
| Lean Mass | Visit | 1 | 22 | 5.3 | 0.031 |
| Fatty Liver Index | Visit | 1 | 39 | 18 | 0.0001 |
| (B) Serum and Biofeedback Parameters | |||||
| Total Cholesterol | Visit | 1 | 40 | 7.1 | 0.011 |
| HDL | Visit | 1 | 40 | 25.3 | <0.0001 |
| Testosterone | Visit | 1 | 39 | 4.5 | 0.04 |
| FSH | Visit | 1 | 39 | 27.1 | <0.0001 |
| AP | Visit | 1 | 39 | 33.6 | <0.0001 |
| Gamma GT | Visit | 1 | 39 | 16.7 | 0.0002 |
| proBNP | Visit | 1 | 39 | 5.5 | 0.024 |
| Adiponectin | Visit | 1 | 38 | 5 | 0.032 |
| Secretagogin | Visit | 1 | 34 | 7.1 | 0.012 |
| Leptin | Visit | 1 | 38 | 56.4 | <0.0001 |
| Systolic Blood Pressure | Visit | 1 | 40 | 12.7 | 0.001 |
| (C) Psychometric Parameters | |||||
| PSS | Visit | 1 | 31 | 16.1 | 0.0003 |
| BODI 3 | Visit | 1 | 29 | 10.2 | 0.003 |
| GSI | Visit | 1 | 41 | 52.8 | <0.0001 |
| Interpersonal Sensitivity | Visit | 1 | 41 | 24.5 | <0.0001 |
| Somatization | Visit | 1 | 41 | 6.9 | 0.012 |
| Depression | Visit | 1 | 41 | 25.1 | <0.0001 |
| Anxiety | Visit | 1 | 41 | 30 | <0.0001 |
| Aggression | Visit | 1 | 41 | 21.1 | 0.0001 |
| Compulsion | Visit | 1 | 41 | 25.4 | <0.0001 |
| Paranoia | Visit | 1 | 41 | 35.7 | <0.0001 |
| Psychoticism | Visit | 1 | 41 | 22.5 | <0.0001 |
| Stress Self-Oriented (BODI Self-Rating) | Visit | 1 | 31 | 5.7 | 0.023 |
Publisher’s Note: MDPI stays neutral with regard to jurisdictional claims in published maps and institutional affiliations. |
© 2021 by the authors. Licensee MDPI, Basel, Switzerland. This article is an open access article distributed under the terms and conditions of the Creative Commons Attribution (CC BY) license (https://creativecommons.org/licenses/by/4.0/).
Share and Cite
Kautzky, A.; Heneis, K.; Stengg, K.; Fröhlich, S.; Kautzky-Willer, A. Short Term Caloric Restriction and Biofeedback Enhance Psychological Wellbeing and Reduce Overweight in Healthy Women. J. Pers. Med. 2021, 11, 1096. https://doi.org/10.3390/jpm11111096
Kautzky A, Heneis K, Stengg K, Fröhlich S, Kautzky-Willer A. Short Term Caloric Restriction and Biofeedback Enhance Psychological Wellbeing and Reduce Overweight in Healthy Women. Journal of Personalized Medicine. 2021; 11(11):1096. https://doi.org/10.3390/jpm11111096
Chicago/Turabian StyleKautzky, Alexander, Kathrin Heneis, Karin Stengg, Sabine Fröhlich, and Alexandra Kautzky-Willer. 2021. "Short Term Caloric Restriction and Biofeedback Enhance Psychological Wellbeing and Reduce Overweight in Healthy Women" Journal of Personalized Medicine 11, no. 11: 1096. https://doi.org/10.3390/jpm11111096
APA StyleKautzky, A., Heneis, K., Stengg, K., Fröhlich, S., & Kautzky-Willer, A. (2021). Short Term Caloric Restriction and Biofeedback Enhance Psychological Wellbeing and Reduce Overweight in Healthy Women. Journal of Personalized Medicine, 11(11), 1096. https://doi.org/10.3390/jpm11111096

